Charge Separating Microfiltration Membrane with pH-Dependent Selectivity
Abstract
1. Introduction
2. Materials and Methods
2.1. Reagents and Materials
2.2. Membrane Preparation
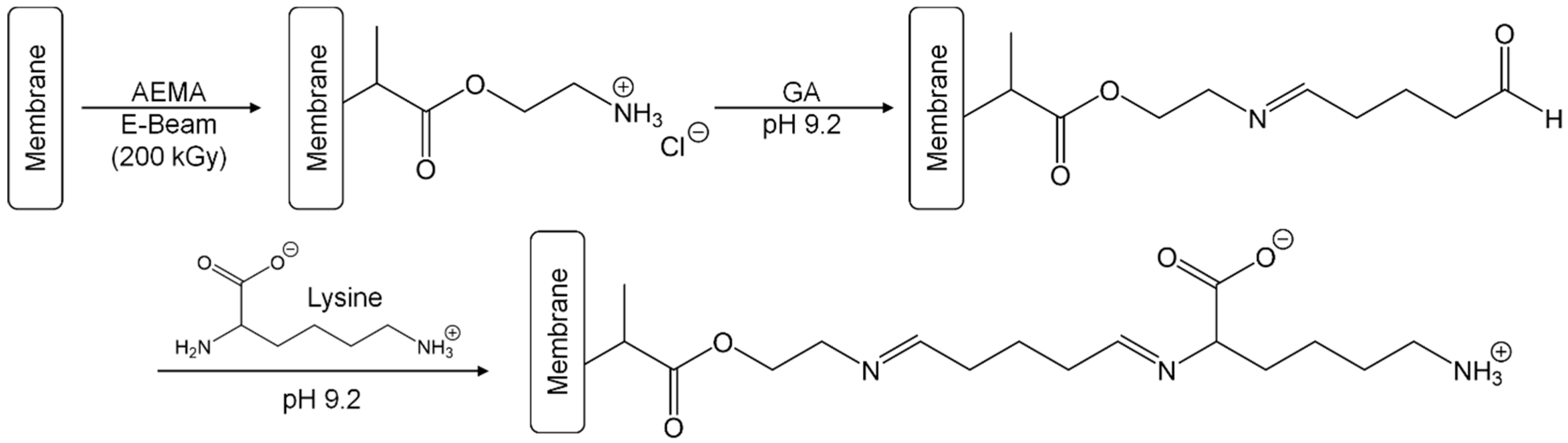
2.3. Membrane Modification
2.4. Membrane Characterization
2.5. Preparation and Characteriztion of PS Beads
2.6. Filtration of PS Beads
2.7. Static Binding of PS Beads
3. Results and Discussion
3.1. Zwitterionic PES–Lysine Membrane
3.2. Selective Filtration
3.3. Selective Adsorption
4. Conclusions
- Electrostatic interaction are important during both filtration and adsorption processes. In case of evenly charged surfaces, no adsorption occurs due to electrostatic repulsion, while electrostatic attraction results in adsorption due to electrostatic attraction.
- Mixtures of differently charged PS beads can be selectively separated by switching the pH value of the solution, and therefore, the respective charged state of the PES–Lysine membrane. While evenly charged components can pass the membrane, oppositely charged PS beads are attracted to the membrane.
- Retention of PS beads (during filtration) was ~80% for cationic PS beads at pH 9 and ~30% for anionic PS beads at pH 4 (after high adsorption during initial phase). Filtration of cationic beads at pH 4 and anionic beads at pH 9 resulted in no significant retention.
- Once the membrane surface is completely covered by a layer of the oppositely charged components, the selectivity of this membrane is lost or reversed. Thus, the adsorption capacity of such a membrane needs to be considered.
Author Contributions
Funding
Acknowledgments
Conflicts of Interest
References
- Ge, L.; Mondal, A.N.; Liu, X.; Wu, B.; Yu, D.; Li, Q.; Miao, J.; Ge, Q.; Xu, T. Advanced charged porous membranes with ultrahigh selectivity and permeability for acid recovery. J. Membr. Sci. 2017, 536, 11–18. [Google Scholar] [CrossRef]
- Cseri, L.; Baugh, J.; Alabi, A.; AlHajaj, A.; Zou, L.; Dryfe, R.A.W.; Budd, P.M.; Szekely, G. Graphene oxide–polybenzimidazolium nanocomposite anion exchange membranes for electrodialysis. J. Mater. Chem. A 2018. [Google Scholar] [CrossRef]
- Tamilarasan, P.; Ramaprabhu, S. A polymerized ionic liquid functionalized cathode catalyst support for a proton exchange membrane CO2 conversion cell. RSC Adv. 2015, 5, 24864–24871. [Google Scholar] [CrossRef]
- Emin, C.; Kurnia, E.; Katalia, I.; Ulbricht, M. Polyarylsulfone-based blend ultrafiltration membranes with combined size and charge selectivity for protein separation. Sep. Purif. Technol. 2018, 193, 127–138. [Google Scholar] [CrossRef]
- Mika, A.M.; Childs, R.F.; Dickson, J.M.; McCarry, B.E.; Gagnon, D.R. A new class of polyelectrolyte-filled microfiltration membranes with environmentally controlled porosity. J. Membr. Sci. 1995, 108, 37–56. [Google Scholar] [CrossRef]
- Baroña, G.N.B.; Cha, B.J.; Jung, B. Negatively charged poly(vinylidene fluoride) microfiltration membranes by sulfonation. J. Membr. Sci. 2007, 290, 46–54. [Google Scholar] [CrossRef]
- Breite, D.; Went, M.; Prager, A.; Schulze, A. Tailoring Membrane Surface Charges: A Novel Study on Electrostatic Interactions during Membrane Fouling. Polymers 2015, 7, 2017–2030. [Google Scholar] [CrossRef]
- Breite, D.; Went, M.; Prager, A.; Schulze, A. The critical zeta potential of polymer membranes: How electrolytes impact membrane fouling. RSC Adv. 2016, 6, 98180–98189. [Google Scholar] [CrossRef]
- Breite, D.; Went, M.; Thomas, I.; Prager, A.; Schulze, A. Particle adsorption on a polyether sulfone membrane: How electrostatic interactions dominate membrane fouling. RSC Adv. 2016, 6, 65383–65391. [Google Scholar] [CrossRef]
- Haynes, C.A.; Norde, W. Structures and Stabilities of Adsorbed Proteins. J. Colloid Interface Sci. 1995, 169, 313–328. [Google Scholar] [CrossRef]
- Wahlgren, M.; Arnebrant, T. Protein adsorption to solid surfaces. Trends Biotechnol. 1991, 9, 201–208. [Google Scholar] [CrossRef]
- Lundström, I. Surface Physics and Biological Phenomena. Phys. Scr. 1983, T4, 5–13. [Google Scholar] [CrossRef]
- Chen, H.; Belfort, G. Surface modification of poly(ether sulfone) ultrafiltration membranes by low-temperature plasma-induced graft polymerization. J. Appl. Polym. Sci. 1999, 72, 1699–1711. [Google Scholar] [CrossRef]
- Saxena, N.; Prabhavathy, C.; De, S.; DasGupta, S. Flux enhancement by argon–oxygen plasma treatment of polyethersulfone membranes. Sep. Purif. Technol. 2009, 70, 160–165. [Google Scholar] [CrossRef]
- Van der Bruggen, B. Chemical modification of polyethersulfone nanofiltration membranes: A review. J. Appl. Polym. Sci. 2009, 114, 630–642. [Google Scholar] [CrossRef]
- Chang, Y.; Ko, C.-Y.; Shih, Y.-J.; Quémener, D.; Deratani, A.; Wei, T.-C.; Wang, D.-M.; Lai, J.-Y. Surface grafting control of PEGylated poly(vinylidene fluoride) antifouling membrane via surface-initiated radical graft copolymerization. J. Membr. Sci. 2009, 345, 160–169. [Google Scholar] [CrossRef]
- Chu, P.K.; Chen, J.Y.; Wang, L.P.; Huang, N. Plasma-surface modification of biomaterials. Mater. Sci. Eng. R 2002, 36, 143–206. [Google Scholar] [CrossRef]
- Du, J.R.; Peldszus, S.; Huck, P.M.; Feng, X. Modification of poly(vinylidene fluoride) ultrafiltration membranes with poly(vinyl alcohol) for fouling control in drinking water treatment. Water Res. 2009, 43, 4559–4568. [Google Scholar] [CrossRef]
- Khulbe, K.C.; Feng, C.; Matsuura, T. The art of surface modification of synthetic polymeric membranes. J. Appl. Polym. Sci. 2010, 115, 855–895. [Google Scholar] [CrossRef]
- Liu, S.X.; Kim, J.T.; Kim, S. Effect of Polymer Surface Modification on Polymer–Protein Interaction via Hydrophilic Polymer Grafting. J. Food Sci. 2008, 73, E143–E150. [Google Scholar] [CrossRef]
- Shi, Q.; Su, Y.; Chen, W.; Peng, J.; Nie, L.; Zhang, L.; Jiang, Z. Grafting short-chain amino acids onto membrane surfaces to resist protein fouling. J. Membr. Sci. 2011, 366, 398–404. [Google Scholar] [CrossRef]
- Ulbricht, M. Advanced functional polymer membranes. Polymer 2006, 47, 2217–2262. [Google Scholar] [CrossRef]
- Schulze, A.; Marquardt, B.; Kaczmarek, S.; Schubert, R.; Prager, A.; Buchmeiser, M.R. Electron Beam-Based Functionalization of Poly(ethersulfone) Membranes. Macromol. Rapid Commun. 2010, 31, 467–472. [Google Scholar] [CrossRef] [PubMed]
- Schulze, A.; Marquardt, B.; Went, M.; Prager, A.; Buchmeiser, M.R. Electron beam-based functionalization of polymer membranes. Water Sci. Technol. 2012, 65, 574–580. [Google Scholar] [CrossRef] [PubMed]
- Davis, A.; Gleaves, M.H.; Golden, J.H.; Huglin, M.B. The electron irradiation stability of polysulphone. Makromolekul. Chem. 1969, 129, 63–72. [Google Scholar] [CrossRef]
- Asfardjani, K.; Segui, Y.; Aurelle, Y.; Abidine, N. Effect of plasma treatments on wettability of polysulfone and polyetherimide. J. Appl. Polym. Sci. 1991, 43, 271–281. [Google Scholar] [CrossRef]
- Boulares-Pender, A.; Thomas, I.; Prager, A.; Schulze, A. Surface modification of polyamide and poly(vinylidene fluoride) membranes. J. Appl. Polym. Sci. 2013, 128, 322–331. [Google Scholar] [CrossRef]
- Buonomenna, M.G.; Lopez, L.C.; Favia, P.; d’Agostino, R.; Gordano, A.; Drioli, E. New PVDF membranes: The effect of plasma surface modification on retention in nanofiltration of aqueous solution containing organic compounds. Water Res. 2007, 41, 4309–4316. [Google Scholar] [CrossRef] [PubMed]
- Khulbe, K.C.; Matsuura, T. Characterization of PPO membranes by oxygen plasma etching, gas separation and atomic force microscopy. J. Membr. Sci. 2000, 171, 273–284. [Google Scholar] [CrossRef]
- Kull, K.R.; Steen, M.L.; Fisher, E.R. Surface modification with nitrogen-containing plasmas to produce hydrophilic, low-fouling membranes. J. Membr. Sci. 2005, 246, 203–215. [Google Scholar] [CrossRef]
- Vandencasteele, N.; Reniers, F. Plasma-modified polymer surfaces: Characterization using XPS. J. Electron Spectrosc. 2010, 178–179, 394–408. [Google Scholar] [CrossRef]
- Cai, H.; Fan, H.; Zhao, L.; Hong, H.; Shen, L.; He, Y.; Lin, H.; Chen, J. Effects of surface charge on interfacial interactions related to membrane fouling in a submerged membrane bioreactor based on thermodynamic analysis. J. Colloid Interface Sci. 2016, 465, 33–41. [Google Scholar] [CrossRef] [PubMed]
- Childress, A.E.; Elimelech, M. Relating Nanofiltration Membrane Performance to Membrane Charge (Electrokinetic) Characteristics. Environ. Sci. Technol. 2000, 34, 3710–3716. [Google Scholar] [CrossRef]
- Dudchenko, A.V.; Rolf, J.; Russell, K.; Duan, W.; Jassby, D. Organic fouling inhibition on electrically conducting carbon nanotube–polyvinyl alcohol composite ultrafiltration membranes. J. Membr. Sci. 2014, 468, 1–10. [Google Scholar] [CrossRef]
- Hadidi, M.; Zydney, A.L. Fouling behavior of zwitterionic membranes: Impact of electrostatic and hydrophobic interactions. J. Membr. Sci. 2014, 452, 97–103. [Google Scholar] [CrossRef]
- Hong, S.; Elimelech, M. Chemical and physical aspects of natural organic matter (NOM) fouling of nanofiltration membranes. J. Membr. Sci. 1997, 132, 159–181. [Google Scholar] [CrossRef]
- Kumar, M.; Ulbricht, M. Novel ultrafiltration membranes with adjustable charge density based on sulfonated poly(arylene ether sulfone) block copolymers and their tunable protein separation performance. Polymer 2014, 55, 354–365. [Google Scholar] [CrossRef]
- Trzaskus, K.W.; de Vos, W.M.; Kemperman, A.; Nijmeijer, K. Towards controlled fouling and rejection in dead-end microfiltration of nanoparticles—Role of electrostatic interactions. J. Membr. Sci. 2015, 496, 174–184. [Google Scholar] [CrossRef]
- Xiao, K.; Wang, X.; Huang, X.; Waite, T.D.; Wen, X. Combined effect of membrane and foulant hydrophobicity and surface charge on adsorptive fouling during microfiltration. J. Membr. Sci. 2011, 373, 140–151. [Google Scholar] [CrossRef]
- Zhang, Q.; Vecitis, C.D. Conductive CNT-PVDF membrane for capacitive organic fouling reduction. J. Membr. Sci. 2014, 459, 143–156. [Google Scholar] [CrossRef]
- Derjaguin, B.V.; Landau, L. Theory of the stability of strongly charged lyophobic sols and of the adhesion of strongly charged particles in solution of electrolytes. Acta Physicochim URSS 1941, 14, 633–662. [Google Scholar] [CrossRef]
- Verwey, E.J.W.; Overbeek, J.T.G. Theory of the Stability of Lyophobic Colloids; Elsevier Publishing Company, Inc.: Amsterdam, The Netherlands, 1948. [Google Scholar]
- Van Oss, C.J. Hydrophobicity of biosurfaces—Origin, quantitative determination and interaction energies. Colloids Surf. B 1995, 5, 91–110. [Google Scholar] [CrossRef]
- Van Oss, C.J.; Good, R.J.; Chaudhury, M.K. The role of van der Waals forces and hydrogen bonds in “hydrophobic interactions” between biopolymers and low energy surfaces. J. Colloid Interface Sci. 1986, 111, 378–390. [Google Scholar] [CrossRef]
- Norde, W.; Lyklema, J. The adsorption of human plasma albumin and bovine pancreas ribonuclease at negatively charged polystyrene surfaces. J. Colloid Interface Sci. 1978, 66, 277–284. [Google Scholar] [CrossRef]
- Elzo, D.; Huisman, I.; Middelink, E.; Gekas, V. Charge effects on inorganic membrane performance in a cross-flow microfiltration process. Colloids Surf. A 1998, 138, 145–159. [Google Scholar] [CrossRef]
- Boulares-Pender, A.; Prager, A.; Elsner, C.; Buchmeiser, M.R. Surface-Functionalization of Plasma-Treated Polystyrene by Hyperbranched Polymers and Use in Biological Applications. J. Appl. Polym. Sci. 2009, 112, 2701–2709. [Google Scholar] [CrossRef]
- Inukai, S.; Tanma, T.; Orihara, S.; Konno, M. A Simple Method for Producing Micron-Sized, Highly Monodisperse Polystyrene Particles in Aqueous Media: Effects of Impeller Speed on Particle Size Distribution. Chem. Eng. Res. Des. 2001, 79, 901–905. [Google Scholar] [CrossRef]
- Duracher, D.; Sauzedde, F.; Elaissari, A.; Perrin, A.; Pichot, C. Cationic amino-containing-isopropyl-acrylamide–styrene copolymer latex particles: 1-Particle size and morphology vs. polymerization process. Colloid Polym. Sci. 1998, 276, 219–231. [Google Scholar] [CrossRef]
- Grimsley, G.R.; Scholtz, J.M.; Pace, C.N. A summary of the measured pK values of the ionizable groups in folded proteins. Protein Sci. 2009, 18, 247–251. [Google Scholar]
- Miao, Y.; Yang, R.; Deng, D.Y.B.; Zhang, L.-M. Poly(l-lysine) modified zein nanofibrous membranes as efficient scaffold for adhesion, proliferation, and differentiation of neural stem cells. RSC Adv. 2017, 7, 17711–17719. [Google Scholar] [CrossRef]
- Zimmermann, R.; Dukhin, S.; Werner, C. Electrokinetic Measurements Reveal Interfacial Charge at Polymer Films Caused by Simple Electrolyte Ions. J. Phys. Chem. B 2001, 105, 8544–8549. [Google Scholar] [CrossRef]
- Zimmermann, R.; Freudenberg, U.; Schweiß, R.; Küttner, D.; Werner, C. Hydroxide and hydronium ion adsorption—A survey. Curr. Opin. Colloid Interface Sci. 2010, 15, 196–202. [Google Scholar] [CrossRef]




| Membrane | Permeance | Porosity | Average Pore Size | Water Contact Angle | Chemical Composition (XPS) [rel. atom-%] | |||
|---|---|---|---|---|---|---|---|---|
| [L (m² h bar)−1] | [%] | [μm] | [°] | C | O | S | N | |
| PES | 14,200 ± 2000 | 72 ± 2 | 0.65 ± 0.04 | 102 ± 4 | 75 ± 1 | 20 ± 2 | 5 ± 1 | - |
| PES-Lysine | 11,700 ± 500 | 76 ± 1 | 0.62 ± 0.01 | 54 ± 7 | 74 ± 2 | 20 ± 2 | 4 ± 1 | 2 ± 1 |
| PES-Lysine * | 10,000 ± 500 | 71 ± 4 | 0.64 ± 0.04 | 48 ± 8 | 73 ± 2 | 20 ± 1 | 5 ± 1 | 2 ± 1 |
© 2018 by the authors. Licensee MDPI, Basel, Switzerland. This article is an open access article distributed under the terms and conditions of the Creative Commons Attribution (CC BY) license (http://creativecommons.org/licenses/by/4.0/).
Share and Cite
Breite, D.; Went, M.; Prager, A.; Kuehnert, M.; Schulze, A. Charge Separating Microfiltration Membrane with pH-Dependent Selectivity. Polymers 2019, 11, 3. https://doi.org/10.3390/polym11010003
Breite D, Went M, Prager A, Kuehnert M, Schulze A. Charge Separating Microfiltration Membrane with pH-Dependent Selectivity. Polymers. 2019; 11(1):3. https://doi.org/10.3390/polym11010003
Chicago/Turabian StyleBreite, Daniel, Marco Went, Andrea Prager, Mathias Kuehnert, and Agnes Schulze. 2019. "Charge Separating Microfiltration Membrane with pH-Dependent Selectivity" Polymers 11, no. 1: 3. https://doi.org/10.3390/polym11010003
APA StyleBreite, D., Went, M., Prager, A., Kuehnert, M., & Schulze, A. (2019). Charge Separating Microfiltration Membrane with pH-Dependent Selectivity. Polymers, 11(1), 3. https://doi.org/10.3390/polym11010003

