Hyperbranched Liquid Crystals Modified with Sisal Cellulose Fibers for Reinforcement of Epoxy Composites
Abstract
1. Introduction
2. Experiment Section
2.1. Materials
2.2. Preparation of Sisal Cellulose Fibers (SCFs)
2.3. The SCF-Grafted Hyperbranched Polyglycerol on the Surface (SCFs-HPG)
2.4. Preparation of 4,4-di (β-hydroxy ethoxy) Biphenyl (BP6)
2.5. Preparation of SCFs-HLP
2.6. Preparation of the SCFs-HLP/EP Composites
2.7. Characterizations
3. Results and Discussion
3.1. The Characterization of SCFs-HLP
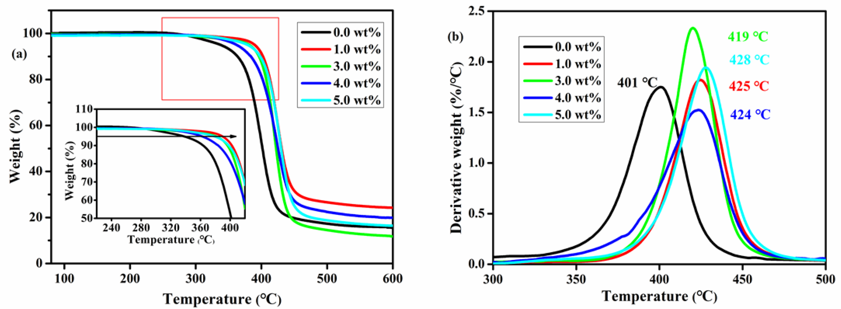
3.2. Thermal Properties of the Composites
3.3. Mechanical Properties of the Composites
4. Conclusions
Author Contributions
Acknowledgments
Conflicts of Interest
References
- Joseph, K.; Varghese, S.; Kalaprasad, G.; Koshy, P.; Pavithranb, C. Influence of interfacial adhesion on the mechanical properties and fracture behaviour of short sisal fibre reinforced polymer composites. Eur. Polym. J. 1996, 32, 1243–1250. [Google Scholar] [CrossRef]
- Bodur, M.S.; Bakkal, M.; Sonmez, H.E. The effects of different chemical treatment methods on the mechanical and thermal properties of textile fiber reinforced polymer composites. J. Compos. Mater. 2016, 50, 3817–3830. [Google Scholar] [CrossRef]
- Geethamma, V.G.; Mathew, K.T.; Lakshminarayanan, R.; Thomas, S. Composite of short coir fibres and natural rubber: Effect of chemical modification, loading and orientation of fibre. Polymer 1998, 39, 1483–1491. [Google Scholar] [CrossRef]
- Oliveira, J.P.; Bruni, G.P.; Lima, K.O.; Shanise, L.M.E.H.; Rosa, G.S.; Dias, A.R.; Zavareze, G.E.R. Cellulose fibers extracted from rice and oat husks and their application in hydrogel. Food. Chem. 2017, 221, 153–160. [Google Scholar] [CrossRef] [PubMed]
- Dasan, Y.K.; Bhat, A.H.; Faiz, A. Development and material properties of poly(lactic acid)/poly(3-hydroxybutyrat-CO-3-hydroxyvalerate)-based nanocrystalline cellulose nanocomposites. J. Appl. Polym. Sci. 2016, 134, 44328. [Google Scholar]
- Wang, L.F.; Shankar, S.; Rhim, J.W. Properties of alginate-based films reinforced with cellulose fibers and cellulose nanowhiskers isolated from mulberry pulp. Food Hydrocoll. 2017, 63, 201–208. [Google Scholar] [CrossRef]
- Eichhorn, S.J.; Dufresne, A.; Aranguren, M.; Marcovich, N.E.; Capadona, J.R.; Rowan, S.J.; Weder, C.; Thielemans, W.; Roman, M.; Renneckar, S. Review: Current international research into cellulose nanofibres and nanocomposites. J. Mater. Sci. 2010, 45, 1. [Google Scholar] [CrossRef]
- Constante, A.; Pillay, S.; Ning, H.; Vaidya, U.K. Utilization of algae blooms as a source of natural fibers for biocomposite materials: Study of morphology and mechanical performance of Lyngbya, fibers. Algal Res. 2015, 12, 412–420. [Google Scholar] [CrossRef]
- Pandey, J.K.; Ahn, S.H.; Lee, C.S.; Mohanty, A.K.; Misra, M. Recent advances in the application of natural fiber based composites. Macromol. Mater. Eng. 2010, 295, 975–989. [Google Scholar] [CrossRef]
- Faruk, O.; Bledzki, A.K.; Fink, H.P.; Sain, M. Biocomposites reinforced with natural fibers: 2000–2010. Prog. Polym. Sci. 2012, 37, 1552–1596. [Google Scholar] [CrossRef]
- Tajvidi, M.; Ebrahimi, G. Water uptake and mechanical characteristics of natural filler-polypropylene composites. J. Appl. Polym. Sci. 2010, 88, 941–946. [Google Scholar] [CrossRef]
- Li, Y.Q.; Gao, J.; Li, X.Y.; Xu, X.; Lu, S.R. High Mechanical and Thermal properties of epoxy composites with liquid crystalline polyurethane modified graphene. Polymers 2018, 10, 485. [Google Scholar] [CrossRef]
- Khan, M.A.; Ali, K.M.; Shafiurrahman, M. Swelling and thermal conductivity of wood and wood-plastic composite. Polym-Plast. Technol. Eng. 1997, 36, 179–187. [Google Scholar]
- Arteta, S.M.; Vera, R.; Pérez, L.D. Hydrophobic cellulose fibers via ATRP and their performance in the removal of pyrene from water. J. Appl. Polym. Sci. 2016, 134, 44482. [Google Scholar] [CrossRef]
- Chartrand, A.; Lavoie, J.M.; Huneault, A. Surface modification of microcrystalline cellulose (MCC) filler for CO2 capture. J. Appl. Polym. Sci. 2016, 133, 44348. [Google Scholar]
- Islam, J.M.; Hossan, M.A.; Alom, F.R.; Khan, M.I.H.; Khan, M.A. Extraction and characterization of crystalline cellulose from jute fiber and application as reinforcement in biocomposite: Effect of gamma radiation. J. Compos. Mater. 2016, 51, 31–38. [Google Scholar] [CrossRef]
- Kalia, S.; Kaith, B.S.; Kaur, I. Pretreatments of natural fibers and their application as reinforcing material in polymer composites-A review. Polym. Eng. Sci. 2009, 49, 1253–1272. [Google Scholar] [CrossRef]
- Carlmark, A.; Larsson, E.; Malmström, E. Grafting of cellulose by ring-opening polymerisation—A review. Eur. Polym. J. 2012, 48, 1646–1659. [Google Scholar] [CrossRef]
- Luo, Q.; Li, Y.Q.; Pan, L.L.; Song, L.F.; Yang, J.; Wu, L.Y.; Lu, S.R. Effective reinforcement of epoxy composites with hyperbranched liquid crystals grafted on microcrystalline cellulose fibers. Mater. Sci. 2016, 51, 1–12. [Google Scholar] [CrossRef]
- Sari, M.G.; Ramezanzadeh, B.; Pakdel, A.S.; Shahbazi, M. A physico-mechanical investigation of a novel hyperbranched polymer-modified clay/epoxy nanocomposite coating. Prog. Org. Coat. 2016, 99, 263–273. [Google Scholar] [CrossRef]
- Li, S.; Lin, Q.; Zhu, H.; Hou, H.; Li, Y.; Wu, Q.; Cui, C. Improved mechanical properties of epoxy-based composites with hyperbranched polymer grafting glass-fiber. Polym. Adv. Technol. 2016, 27, 898–904. [Google Scholar] [CrossRef]
- Thakur, S.; Karak, N. Ultratough, ductile, castor oil-Based, hyperbranched, polyurethane nanocomposite using functionalized reduced graphene oxide. ACS Sustain. Chem. Eng. 2014, 2, 1195–1202. [Google Scholar] [CrossRef]
- Abdollahi, A.; Rad, J.K.; Mahdavian, A.R. Stimuli-responsive cellulose modified by epoxy-functionalized polymer nanoparticles with photochromic and solvatochromic properties. Carbohyd. Polym. 2016, 150, 131–138. [Google Scholar] [CrossRef] [PubMed]
- Qian, Y.; Chen, H.; Yang, J.; Zhou, X.; Zhang, F.; Gu, N. The preosteoblast response of electrospinning PLGA/PCL nanofibers: Effects of biomimetic architecture and collagen I. Int. J. Nanomed. 2016, 11, 4157. [Google Scholar]
- Blanco, I.; Cicala, G.; Faro, C.L.; Motta, O.; Recca, G. Thermomechanical and morphological properties of epoxy resins modified with functionalized hyperbranched polyester. Polym. Eng. Sci. 2006, 46, 1502–1511. [Google Scholar] [CrossRef]
- Pan, Y.; Liu, X.; Kaschta, J.; Hao, X.; Liu, C.; Schubert, W. Viscoelastic and electrical behavior of poly(methyl methacrylate)/carbon black composites prior to and after annealing. Polymer 2017, 113, 34–38. [Google Scholar] [CrossRef]
- Lv, G.; Zhang, N.; Huang, M.; Shen, C.; Castro, J.; Tan, K.; Liu, X.; Liu, C. The remarkably enhanced particle erosion resistance and toughness properties of glass fiber/epoxy composites via thermoplastic polyurethane nonwoven fabric. Polym. Test. 2018, 69, 470–477. [Google Scholar] [CrossRef]
- Martínez-Hernández, A.L.; Velasco-Santos, C.; De-Icaza, M.; Castaño, V.M. Dynamical–mechanical and thermal analysis of polymeric composites reinforced with keratin biofibers from chicken feathers. Compos. Part B 2007, 38, 405–410. [Google Scholar] [CrossRef]
- Penoff, M.E.; Papagni, G.; Yañez, M.J.; Montemartini, P.E.; Oyanguren, P.A. Synthesis and characterization of an epoxy based thermoset containing a fluorinated thermoplastic. Polym. Sci. Part B 2010, 45, 2781–2792. [Google Scholar] [CrossRef]
- Sangermano, M.; Gianni, A.D.; Bongiovanni, R.; Priola, A.; Voit, B.; Pospiech, D. Synthesis of fluorinated hyperbranched polymers and their use as additives in cationic photopolymerization. Macromol. Mater. Eng. 2005, 290, 721–725. [Google Scholar] [CrossRef]
- Fiore, V.; Scalici, T.; Vitale, G.; Valenza, A. Static and dynamic mechanical properties of Arundo Donax, fillers-epoxy composites. Mater. Desig. 2014, 57, 456–464. [Google Scholar] [CrossRef]
- Liu, X.; Pan, Y.; Zheng, G.; Schubert, D.W. Rheological and electrical behavior of poly(methyl methacrylate)/carbon black composites as investigated by creep recovery in shear. Compos. Sci. Technol. 2016, 128, 1–7. [Google Scholar]
- Wu, L.Y.; Lu, S.R.; Pan, L.L.; Luo, Q.Y.; Yang, J.; Hou, L.R.; Li, Y.Q.; Yu, J.H. Effect of epoxidized soybean oil grafted poly(12-hydroxy stearate) on mechanical and thermal properties of microcrystalline cellulose fibers/polypropylene composites. Polym. Bull. 2017, 74, 911–930. [Google Scholar]










| SCFs-HLP (wt %) | Impact Strength (KJ m−2) | Tensile Strength (MPa) | Flexural Strength (MPa) |
|---|---|---|---|
| 0.0 | 17.5 ± 0.9 | 55.4 ± 1.3 | 79.5 ± 2.5 |
| 1.0 | 24.2 ± 3.8 | 70.4 ± 5.5 | 129.3 ± 4.2 |
| 3.0 | 32.5 ± 3.2 | 80.3 ± 6.1 | 135.9 ± 4.8 |
| 4.0 | 38.3 ± 2.8 | 86.2 ± 1.2 | 150.7 ± 4.2 |
| 5.0 | 27.0 ± 0.7 | 66.5 ± 4.3 | 139.8 ± 6.4 |
© 2018 by the authors. Licensee MDPI, Basel, Switzerland. This article is an open access article distributed under the terms and conditions of the Creative Commons Attribution (CC BY) license (http://creativecommons.org/licenses/by/4.0/).
Share and Cite
Luo, Q.; Li, Y.; Ren, L.; Xu, X.; Lu, S. Hyperbranched Liquid Crystals Modified with Sisal Cellulose Fibers for Reinforcement of Epoxy Composites. Polymers 2018, 10, 1024. https://doi.org/10.3390/polym10091024
Luo Q, Li Y, Ren L, Xu X, Lu S. Hyperbranched Liquid Crystals Modified with Sisal Cellulose Fibers for Reinforcement of Epoxy Composites. Polymers. 2018; 10(9):1024. https://doi.org/10.3390/polym10091024
Chicago/Turabian StyleLuo, Qiyun, Yuqi Li, Li Ren, Xu Xu, and Shaorong Lu. 2018. "Hyperbranched Liquid Crystals Modified with Sisal Cellulose Fibers for Reinforcement of Epoxy Composites" Polymers 10, no. 9: 1024. https://doi.org/10.3390/polym10091024
APA StyleLuo, Q., Li, Y., Ren, L., Xu, X., & Lu, S. (2018). Hyperbranched Liquid Crystals Modified with Sisal Cellulose Fibers for Reinforcement of Epoxy Composites. Polymers, 10(9), 1024. https://doi.org/10.3390/polym10091024
