A Comparative Study of Intramolecular Mobility of Single Siloxane and Carbosilane Dendrimers via Molecular Dynamics Simulations
Abstract
1. Introduction
2. Materials and Methods
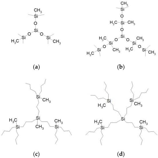
2.1. Dendrimer Structures
2.2. Model
2.3. Radial and Angular Mobility
2.4. Autocorrelation Functions and Relaxation Time Distributions
3. Results and Discussion
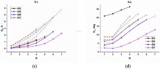
3.1. Radial and Angular Positions of Si Branching Atoms
3.2. Relaxation Time
3.3. Rotational Angle Dynamics
4. Conclusions
Supplementary Materials
Author Contributions
Funding
Acknowledgments
Conflicts of Interest
References
- Frechet, J.M.J.; Tomalia, D.A. Dendrimers and Other Dendritic Polymers; Wiley: New York, NY, USA, 2002; pp. 1–688. ISBN 978-0-471-63850-6. [Google Scholar]
- Newkome, G.R.; Moorefield, C.N.; Vögtle, F. Dendrimers and Dendrons: Concepts, Syntheses, Applications; Wiley-VCH: Weinheim, Germany, 2001; pp. 1–635. ISBN 3527299971. [Google Scholar]
- Frechet, J.M.J. Functional polymers and dendrimers: Reactivity, molecular architecture, and interfacial energy. Science 1994, 263, 1710–1715. [Google Scholar] [CrossRef] [PubMed]
- Krempner, C. Polysilane Dendrimers. Polymers 2012, 4, 408–447. [Google Scholar] [CrossRef]
- Dvornic, P.R.; Owen, M.J. Silicon-Containing Dendritic Polymers; Springer: New York, NY, USA, 2009; pp. 1–428. ISBN 978-90-481-7792-9. [Google Scholar]
- Xu, Z.; Moore, J.S. Design and synthesis of a convergent and directional molecular antenna. Acta Polym. 1994, 45, 83–87. [Google Scholar] [CrossRef]
- Luponosov, Y.N.; Ponomarenko, S.A.; Surin, N.M.; Borshchev, O.V.; Shumilkina, E.A.; Muzafarov, A.M. The first organosilicon molecular antennas. Chem. Mater. 2009, 21, 447–455. [Google Scholar] [CrossRef]
- Crooks, R.M.; Zhao, M.; Sun, L.; Chechik, V.; Yeung, L.K. Dendrimer-Encapsulated Metal Nanoparticles: Synthesis, Characterization, and Applications to Catalysis. Acc. Chem. Res. 2001, 34, 181–190. [Google Scholar] [CrossRef] [PubMed]
- Crooks, R.M.; Lemon, B.I.; Sun, L.; Yeung, L.K.; Zhao, M. Dendrimer-Encapsulated Metals and Semiconductors: Synthesis, Characterization, and Applications. In Dendrimers III; Vögtle, F., Ed.; Springer: Berlin/Heidelberg, Germany, 2001; Volume 212, pp. 81–135. ISBN 978-3-540-44924-9. [Google Scholar]
- Sherman, S.E.; Xiao, Q.; Percec, V. Mimicking Complex biological membranes and their programmable glycan ligands with dendrimersomes and glycodendrimersomes. Chem. Rev. 2017, 117, 6538–6631. [Google Scholar] [CrossRef] [PubMed]
- Gillies, E.R.; Frechet, J.M.J. Dendrimers and dendritic polymers in drug delivery. Drug Discov. Today 2005, 10, 35–43. [Google Scholar] [CrossRef]
- Svenson, S.; Tomalia, D.A. Dendrimers in biomedical applications-reflections on the field. Adv. Drug Deliv. Rev. 2012, 57, 2106–2129. [Google Scholar] [CrossRef] [PubMed]
- Lee, S.; Son, S.J.; Song, S.J.; Ha, T.H.; Choi, J.S. Polyamidoamine (PAMAM) Dendrimers Modified with Cathepsin-B Cleavable Oligopeptides for Enhanced Gene Delivery. Polymers 2017, 9, 224. [Google Scholar] [CrossRef]
- Scherrenberg, R.; Coussens, B.; Vliet, P.; Edouard, G.; Brackman, J.; Brabander, E.; Mortensen, K. Characteristics of Poly(propyleneimine) Dendrimers as Studied with Small-Angle Neutron Scattering, Viscosimetry, and Molecular Dynamics. Macromolecules 1998, 31, 456–461. [Google Scholar] [CrossRef]
- Poltschke, D.; Ballauff, M.; Lindner, P.; Fischer, M.; Volgtle, F. Analysis of the Structure of Dendrimers in Solution by Small-Angle Neutron Scattering Including Contrast Variation. Macromolecules 1999, 32, 4079–4087. [Google Scholar] [CrossRef]
- Lyulin, A.V.; Davies, G.R.; Adolf, D.B. Brownian Dynamics Simulations of Dendrimers under Shear Flow. Macromolecules 2000, 33, 3294–3304. [Google Scholar] [CrossRef]
- Murat, M.; Grest, G.S. Molecular Dynamics Study of Dendrimer Molecules in Solvents of Varying Quality. Macromolecules 1996, 29, 1278–1285. [Google Scholar] [CrossRef]
- Boris, D.; Rubinstein, M. Self-Consistent Mean Field Model of a Starburst Dendrimer: Dense Core vs. Dense Shell. Macromolecules 1996, 29, 7251–7260. [Google Scholar] [CrossRef]
- Ballauff, M.; Likos, C.N. Dendrimers in Solution: Insight from Theory and Simulation. Angew. Chem. Int. Ed. 2004, 43, 2998–3020. [Google Scholar] [CrossRef] [PubMed]
- Klos, J.S.; Sommer, J.U. Coarse Grained Simulations of Neutral and Charged Dendrimers. Polym. Sci. Ser. C 2013, 55, 125–153. [Google Scholar] [CrossRef]
- Liu, Y.; Bryantsev, V.S.; Diallo, M.S.; Goddard, W.A. Pamam dendrimers undergo pH responsive conformational changes without swelling. J. Am. Chem. Soc. 2009, 131, 2798–2799. [Google Scholar] [CrossRef] [PubMed]
- Maiti, P.K.; Cagin, T.; Lin, S.; Goddard, W.A. Effect of solvent and pH on the structure of PAMAM dendrimers. Macromolecules 2005, 38, 979–991. [Google Scholar] [CrossRef]
- Han, M.; Chen, P.; Yang, X. Molecular dynamics simulation of PAMAM dendrimer in aqueous solution. Polymer 2005, 46, 3481–3488. [Google Scholar] [CrossRef]
- Smeijers, A.F.; Markvoort, A.J.; Pieterse, K.; Hilbers, P.A.J. Coarse-grained simulations of poly(propylene imine) dendrimers in solution. J. Chem. Phys. 2016, 144, 074903. [Google Scholar] [CrossRef] [PubMed]
- Uppuluri, S.; Morrison, F.A.; Dvornic, P.R. Rheology of Dendrimers. 2. Bulk polyamidoamine dendrimers under steady shear, creep and dymanic oscillatory shear. Macromolecules 2000, 33, 2551–2560. [Google Scholar] [CrossRef]
- Uppuluri, S.; Keinath, E.; Tomalia, D.A.; Dvornic, P.R. Rheology of Dendrimers. I. Newtonian flow behavior of medium and highly concentrated solutions of polyamidoamine (PAMAM) dendrimers in ethylenediamine (EDA) solvent. Macromolecules 1998, 31, 4498–4510. [Google Scholar] [CrossRef]
- Mironova, M.V.; Semakov, A.V.; Tereshchenko, A.S.; Tatarinova, E.A.; Getmanova, E.V.; Muzafarov, A.M.; Kulichikhin, V.G. Rheology of carbosilane dendrimers with various types of end groups. Polym. Sci. Ser. A 2010, 52, 1156–1162. [Google Scholar] [CrossRef]
- Sendijarevic, I.; McHugh, A.J. Effects of molecular variables and architecture on the rheological behavior of dendritic polymers. Macromolecules 2000, 33, 590–596. [Google Scholar] [CrossRef]
- Tande, B.M.; Wagner, N.J.; Kim, Y.H. Influence of end groups on dendrimer rheology and conformation. Macromolecules 2003, 36, 4619–4623. [Google Scholar] [CrossRef]
- Zacharopoulos, N.; Economou, I.G. Morphology and organization of poly(propylene imine) dendrimers in the melt from molecular dynamics simulation. Macromolecules 2002, 35, 1814–1821. [Google Scholar] [CrossRef]
- Vasil’ev, V.G.; Kramarenko, E.Y.; Tatarinova, E.A.; Milenin, S.A.; Kalinina, A.A.; Papkov, V.S.; Muzafarov, A.M. An unprecedented jump in the viscosity of high-generation carbosilane dendrimer melts. Polymer 2018, 146, 1–5. [Google Scholar] [CrossRef]
- Matveev, V.V.; Markelov, D.A.; Dvinskikh, S.V.; Shishkin, A.N.; Tyutyukin, K.V.; Penkova, A.V.; Tatarinova, E.A.; Ignat’eva, G.M.; Milenin, S.A. Investigation of Melts of Polybutylcarbosilane Dendrimers by 1H NMR Spectroscopy. Sci. Rep. 2017, 7, 13710. [Google Scholar] [CrossRef] [PubMed]
- Shishkin, A.N.; Markelov, D.A.; Matveev, V.V. Molecular dynamics simulations of melts of polybutylcarbosilane dendrimers at 600 K. Izv. Akad. Nauk. 2016, 65, 67–74. [Google Scholar]
- Balabaev, N.K.; Mazo, M.A.; Kramarenko, E.Yu. Insight into the structure of polybutylcarbosilane dendrimer melts via extensive molecular dynamics simulations. Macromolecules 2017, 50, 432–445. [Google Scholar] [CrossRef]
- Kurbatov, A.O.; Balabaev, N.K.; Mazo, M.A.; Kramarenko, E.Y. Molecular dynamics simulations of single siloxane dendrimers: Molecular structure and intramolecular mobility of terminal groups. J. Chem. Phys. 2018, 148, 014902. [Google Scholar] [CrossRef] [PubMed]
- Karatasos, K.; Adolf, D.B.; Davies, G.R. Statics and dynamics of model dendrimers as studied by molecular dynamics simulations. J. Chem. Phys. 2001, 115, 5310. [Google Scholar] [CrossRef]
- Karatasos, K. Glass transition in dendrimers. Macromolecules 2006, 39, 4619–4626. [Google Scholar] [CrossRef]
- Karatasos, K. Static and dynamic behavior in model dendrimer melts: Toward the glass transition. Macromolecules 2005, 38, 4472–4483. [Google Scholar] [CrossRef]
- Markelov, D.A.; Lyulin, S.V.; Gotlib, Y.Y.; Lyulin, A.V.; Matveev, V.V.; Lahderanta, E.; Darinskii, A.A. Orientational mobility and relaxation spectra of dendrimers: Theory and computer simulation. J. Chem. Phys. 2009, 130, 044907. [Google Scholar] [CrossRef] [PubMed]
- Mazo, M.A.; Zhilin, P.A.; Gusarova, E.B.; Sheiko, S.S.; Balabaev, N.K. Computer simulation of intramolecular mobility of dendrimers. J. Mol. Liq. 1999, 82, 105–116. [Google Scholar] [CrossRef]
- Mazo, M.A.; Shamaev, M.Y.; Balabaev, N.K.; Darinskii, A.A.; Neelov, I.M. Conformational mobility of carbosilane dendrimer: Molecular dynamics simulation. Phys. Chem. Chem. Phys. 2004, 6, 1285–1289. [Google Scholar] [CrossRef]
- Glyakina, A.V.; Balabaev, N.K.; Galzitskaya, O.V. Mechanical unfolding of proteins L and G with constant force: Similarities and differences. J. Chem. Phys. 2009, 131, 045102. [Google Scholar] [CrossRef] [PubMed]
- Lyulin, A.V.; Balabaev, N.K.; Michels, M.A.J. Correlated segmental dynamics in amorphous atactic polystyrene: A molecular dynamics simulation study. Macromolecules 2002, 35, 9595–9604. [Google Scholar] [CrossRef]
- Hill, J.R.; Sauer, J.J. Molecular Mechanics Potential for Silica and Zeolite Catalysts Based on ab Initio Calculations. 2. Aluminosilicates. Phys. Chem. 1995, 99, 9536–9550. [Google Scholar] [CrossRef]
- Weiner, S.J.; Kollman, P.A.; Case, D.A.; Chandra Singh, U.; Ghio, C.; Alagona, G.; Profeta, S.; Weiner, P. A new force field for molecular mechanical simulation of nucleic acids and proteins. J. Am. Chem. Soc. 1984, 106, 765–784. [Google Scholar] [CrossRef]
- Wang, J.; Wolf, R.M.; Caldwell, J.W.; Kollman, P.A.; Case, D.A. Development and testing of a general amber force field. J. Comput. Chem. 2004, 25, 1157–1174. [Google Scholar] [CrossRef] [PubMed]
- Lemak, A.S.; Balabaev, N.K. A comparison between collisional dynamics and brownian dynamics. Mol. Simul. 1995, 15, 223–231. [Google Scholar] [CrossRef]
- Lemak, A.S.; Balabaev, N.K. Molecular dynamics simulation of polymer chain in solution by collisional dynamics method. J. Comp. Chem. 1996, 17, 1685–1695. [Google Scholar] [CrossRef]














| Characteristics | s-Dendrimer | l-Dendrimer | c3-Dendrimer | c4-Dendrimer |
|---|---|---|---|---|
| <R>, Å | 13.0 | 20.0 | 19.3 | 20.8 |
| DR, Å | 2.5 | 4.7 | 4.7 | 4.8 |
| Rmax−Rmin, Å | 12.7 | 25.6 | 25.4 | 25.8 |
| <Ω>, deg. | 46.9 | 47.7 | 48.0 | 42.7 |
| DΩ, deg. | 18.9 | 21.6 | 22.7 | 19.4 |
| Ωmax−Ωmin, deg. | 109.3 | 145.3 | 152.3 | 130.6 |
© 2018 by the authors. Licensee MDPI, Basel, Switzerland. This article is an open access article distributed under the terms and conditions of the Creative Commons Attribution (CC BY) license (http://creativecommons.org/licenses/by/4.0/).
Share and Cite
Kurbatov, A.O.; Balabaev, N.K.; Mazo, M.A.; Kramarenko, E.Y. A Comparative Study of Intramolecular Mobility of Single Siloxane and Carbosilane Dendrimers via Molecular Dynamics Simulations. Polymers 2018, 10, 838. https://doi.org/10.3390/polym10080838
Kurbatov AO, Balabaev NK, Mazo MA, Kramarenko EY. A Comparative Study of Intramolecular Mobility of Single Siloxane and Carbosilane Dendrimers via Molecular Dynamics Simulations. Polymers. 2018; 10(8):838. https://doi.org/10.3390/polym10080838
Chicago/Turabian StyleKurbatov, Andrey O., Nikolay K. Balabaev, Mikhail A. Mazo, and Elena Yu. Kramarenko. 2018. "A Comparative Study of Intramolecular Mobility of Single Siloxane and Carbosilane Dendrimers via Molecular Dynamics Simulations" Polymers 10, no. 8: 838. https://doi.org/10.3390/polym10080838
APA StyleKurbatov, A. O., Balabaev, N. K., Mazo, M. A., & Kramarenko, E. Y. (2018). A Comparative Study of Intramolecular Mobility of Single Siloxane and Carbosilane Dendrimers via Molecular Dynamics Simulations. Polymers, 10(8), 838. https://doi.org/10.3390/polym10080838

