Preparation and Characterization of Poly(ether-block-amide)/Polyethylene Glycol Composite Films with Temperature-Dependent Permeation
Abstract
1. Introduction
2. Materials and Methods
2.1. Materials
2.2. Preparation of PEBAX, L-PBXPE, M-PBXPE, and H-PBXPE Composite Films
2.3. Characterization
2.3.1. Fourier Transform Infrared (FT-IR)
2.3.2. Scanning Electron Microscopy (SEM)
2.3.3. Thermogravimetry (TGA) and Differential Scanning Calorimetry (DSC)
2.3.4. Universal Testing Machine (UTM)
2.3.5. Dynamic Vapor Sorption (DVS)
2.3.6. Contact Angle and Surface Free Energies
2.3.7 Oxygen Transmission Rate (OTR)
3. Results and Discussion
3.1. Preparation of Composite Films
3.2. Morphology
3.3. Thermal Properties
3.4. Mechanical Properties
3.5. Water Sorption and Surface Free Energy
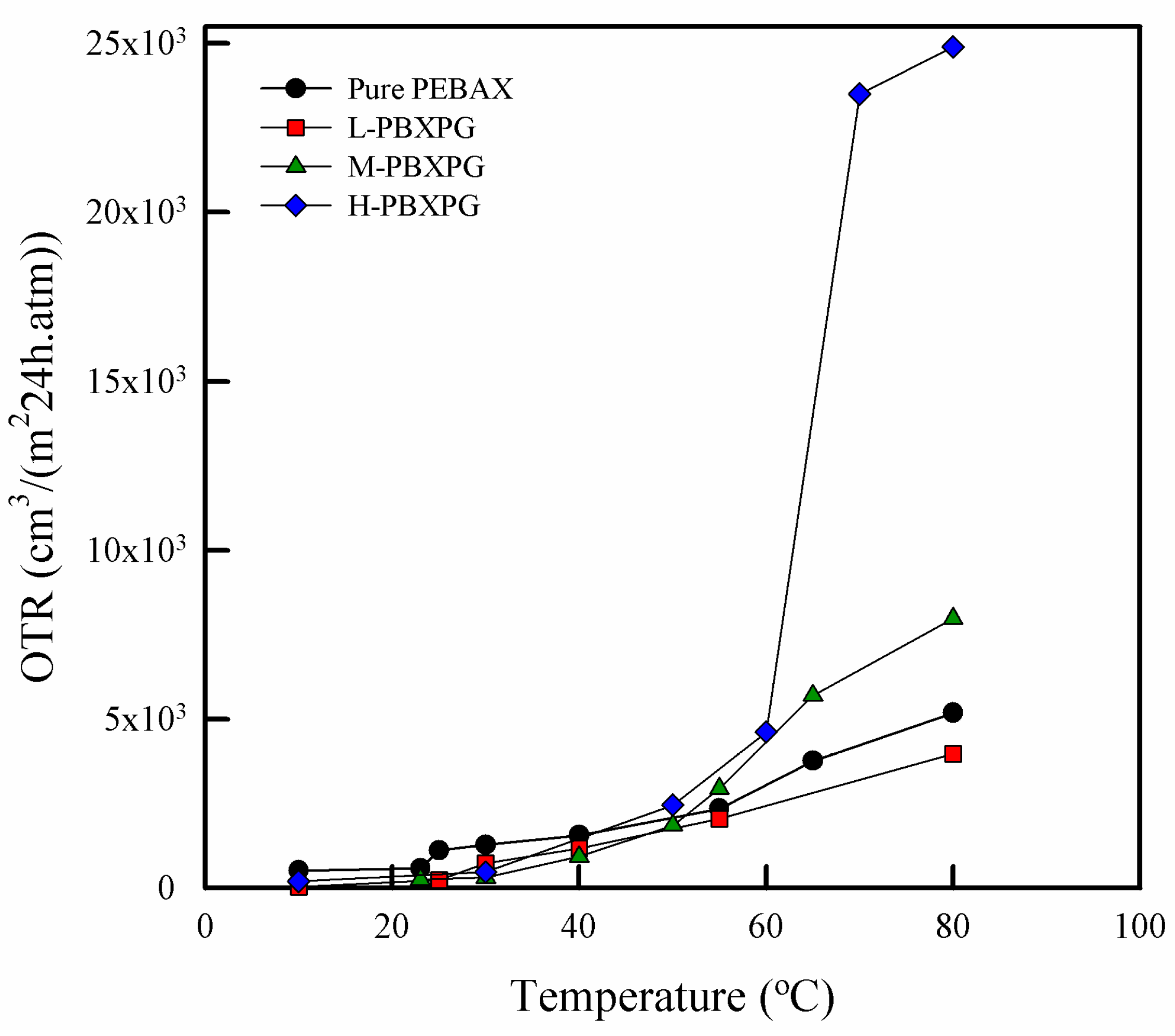
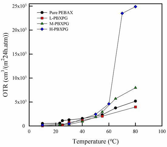
3.6. Oxygen Permeability
4. Conclusions
Acknowledgments
Author Contributions
Conflicts of Interest
References
- Microwave Packaging Market-Global Industry Size, Share, Trends, Analysis, and Forecasts, 2012–2018. Available online: https://www.transparencymarketresearch.com/microwave-packaging-market.html (accessed on 10 November 2017).
- Hill, A. Microwave Ovens (ILSI Europe Concise Monograph Series); International Life Sciences Institute: N.W. Washington, DC, USA, 1998; pp. 1–21. ISBN 978-09-4439-886-9. [Google Scholar]
- Bennett, J. Self-Venting Microwaveable Pouch, Food Item, and Method of Preparation. U.S. Patent 20,050,276,885, 15 December 2005. [Google Scholar]
- Ready Meals—Revolutionized. Available online: http://www.cryovac.com/na/en/ads/simple_steps/index.html (accessed on 19 November 2017).
- Car, A.; Stropnik, C.; Yave, W.; Peinemann, K.V. Pebax®/polyethylene glycol blend thin film composite membranes for CO2 separation: Performance with mixed gases. Sep. Purif. Technol. 2008, 62, 110–117. [Google Scholar] [CrossRef]
- Gajdoš, J.; Galić, K.; Kurtanjek, Ž.; Ciković, N. Gas permeability and DSC characteristics of polymers used in food packaging. Polym. Test. 2000, 20, 49–57. [Google Scholar] [CrossRef]
- Siracusa, V.; Blanco, I.; Romani, S.; Tylewicz, U.; Dalla Rosa, M. Gas permeability and thermal behavior of polypropylene films used for packaging minimally processed fresh-cut potatoes: A case study. J. food sci. 2012, 77, E264–E272. [Google Scholar] [CrossRef] [PubMed]
- Wu, P.; Jones, G.; Shelley, C.; Woelfli, B. Novel microporous films and their composites. J. Eng. Fiber. Fabr. 2007, 2, 49–59. [Google Scholar]
- Kim, D. Polymer/Phase Change Material (PCM) Composite Films with Temperature-Dependent Permeabilities and Their Packaging Applications. Ph.D. Thesis, Yonsei University, Wonju, Korea, 2016. [Google Scholar]
- Rezac, M.E.; John, T. Correlation of penetrant transport with polymer free volume: Additional evidence from block copolymers. Polymer 1998, 39, 599–603. [Google Scholar] [CrossRef]
- Kim, J.H.; Ha, S.Y.; Lee, Y.M. Gas permeation of poly(amide-6-b-ethylene oxide) copolymer. J. Membr. Sci. 2001, 190, 179–193. [Google Scholar] [CrossRef]
- Nguyen, Q.; Germain, Y.; Clement, R.; Hirata, Y. Pervaporation, a novel technique for the measurement of vapor transmission rate of highly permeable films. Polym. Test. 2001, 20, 901–911. [Google Scholar] [CrossRef]
- Technical Polymers Brochures. Available online: https://www.extremematerials-arkema.com/en/literature/brochures/ (accessed on 10 November 2017).
- Kim, D.; Jung, J.; Kim, Y.; Lee, M.; Seo, J.; Khan, S.B. Structure and thermal properties of octadecane/expanded graphite composites as shape-stabilized phase change materials. Int. J. Heat Mass Transfer 2016, 95, 735–741. [Google Scholar] [CrossRef]
- Karaman, S.; Karaipekli, S.; Sarı, A.; Bicer, A. Polyethylene glycol (PEG)/diatomite composite as a novel form-stable phase change material for thermal energy storage. Sol. Energy Mater. Sol. Cells 2001, 95, 1647–1653. [Google Scholar] [CrossRef]
- Meng, Q.; Hu, J. A poly(ethylene glycol)-based smart phase change material. Sol. Energy Mater. Sol. Cells 2008, 92, 1260–1268. [Google Scholar] [CrossRef]
- Palakattukunnel, S.T.; Thomas, S.; Sreekumar, P.; Bandyopadhyay, S. Poly(ethylene-co-vinyl acetate)/calcium phosphate nanocomposites: Contact angle, diffusion and gas permeability studies. J. Polym. Res. 2011, 18, 1277–1285. [Google Scholar] [CrossRef]
- Feng, S.; Ren, J.; Li, Z.; Li, H.; Hua, K.; Li, X.; Deng, M. Poly(amide-12-b-ethylene oxide)/glycerol triacetate blend membranes for CO2 separation. Int. J. Greenh. Gas Con. 2013, 19, 41–48. [Google Scholar] [CrossRef]
- Ghadimi, A.; Amirilargani, M.; Mohammadi, T.; Kasiri, N.; Sadatnia, B. Preparation of alloyed poly(ether block amide)/poly(ethylene glycol diacrylate) membranes for separation of CO2/H2 (syngas application). J. Membr. Sci. 2014, 458, 14–26. [Google Scholar] [CrossRef]
- Feng, S.; Ren, J.; Hua, K.; Li, H.; Ren, X.; Deng, M. Poly(amide-12-b-ethylene oxide)/polyethylene glycol blend membranes for carbon dioxide separation. Sep. Purif. Technol. 2013, 116, 25–34. [Google Scholar] [CrossRef]
- Hu, G.; Ma, Y.; Wang, B. Mechanical properties and morphology of nylon 11/tetrapod-shaped zinc oxide whisker composite. Mater. Sci. Eng. A 2009, 504, 8–12. [Google Scholar] [CrossRef]
- Palsule, S.; Cowie, J. Miscibility in molecular composites of polyamide-imide/polyetherimide. Polym. Bull. 1994, 33, 241–247. [Google Scholar] [CrossRef]
- Blanco, I.; Bottino, F.A.; Cicala, G.; Cozzo, G.; Latteri, A.; Recca, A. Synthesis and thermal characterization of new dumbbell shaped poss/ps nanocomposites: Influence of the symmetrical structure of the nanoparticles on the dispersion/aggregation in the polymer matrix. Polym. Compos. 2015, 36, 1394–1400. [Google Scholar] [CrossRef]
- Khosravi, T.; Omidkhah, M. Preparation of CO2-philic polymeric membranes by blending poly(ether-b-amide-6) and PEG/PPG-containing copolymer. RSC Adv. 2015, 5, 12849–12859. [Google Scholar] [CrossRef]
- Gamali, P.A.; Kazemi, A.; Zadmard, R.; Anjareghi, M.J.; Rezakhani, A.; Rahighi, R.; Madani, M. Distinguished discriminatory separation of CO2 from its methane-containing gas mixture via PEBAX mixed matrix membrane. Chin. J. Chem. Eng. 2018, 26, 73–80. [Google Scholar] [CrossRef]
- Fam, W.; Mansouri, J.; Li, H.; Chen, V. Improving CO2 separation performance of thin film composite hollow fiber with Pebax® 1657/ionic liquid gel membranes. J. Membr. Sci. 2017, 537, 54–68. [Google Scholar] [CrossRef]
- Wang, S.; Liu, Y.; Huang, S.; Wu, H.; Li, Y.; Tian, Z.; Jiang, Z. Pebax–PEG–MWCNT hybrid membranes with enhanced CO2 capture properties. J. Membr. Sci. 2014, 460, 62–70. [Google Scholar] [CrossRef]
- Han, L.; Han, C.; Dong, L. Morphology and properties of the biosourced poly(lactic acid)/poly(ethylene oxide-b-amide-12) blends. Polym. Compos. 2013, 34, 122–130. [Google Scholar] [CrossRef]
- Shanmugavel, R.; Jayamani, M.; Nagarajan, R.; Irullappasamy, S.; Cardona, F.; Sultan, M. Processing and characterization of redmud reinforced polypropylene composites. In IOP Conference Series: Materials Science and Engineering; IOP Publishing: Kuala Lumpur, Malaysia, 2016; p. 012053. [Google Scholar]
- Roy, S.B.; Ramaraj, B.; Shit, S.; Nayak, S.K. Polypropylene and potato starch biocomposites: Physicomechanical and thermal properties. J. Appl. Polym. Sci. 2011, 120, 3078–3086. [Google Scholar] [CrossRef]
- Pan, N.; Sun, G. Functional textiles for improved performance, protection and health, 1st ed.; Elsevier: New York, NY, USA, 2011; ISBN 978-0-85709-287-8. [Google Scholar]
- Rahman, M.M.; Filiz, V.; Shishatskiy, S.; Abetz, C.; Neumann, S.; Bolmer, S.; Khan, M.M.; Abetz, V. PEBAX® with PEG functionalized POSS as nanocomposite membranes for CO2 separation. J. Membr. Sci. 2013, 437, 286–297. [Google Scholar] [CrossRef]
- Thermal Decomposition. Available online: https://en.wikipedia.org/wiki/Thermal_decomposition (accessed on 16 February 2018).
- Ghosh, S.; Khastgir, D.; Bhowmick, A.K.; Mukunda, P. Thermal degradation and ageing of segmented polyamides. Polym. Degrad. Stab. 2000, 67, 427–463. [Google Scholar] [CrossRef]
- Hoffendahl, C.; Fontaine, G.; Bourbigot, S. Flame retardancy of bio-based polyether-block-amide polymer (PEBAX). Polym. Degrad. Stab. 2013, 98, 1247–1255. [Google Scholar] [CrossRef]
- Callister, W.D., Jr. Materials Science and Engineering: An Introduction, 4th ed.; John Wiley & Sons: New York, NY, USA, 1997; pp. 499–501. ISBN 978-0471179450. [Google Scholar]
- Parra, D.; Fusaro, J.; Gaboardi, F.; Rosa, D. Influence of poly(ethylene glycol) on the thermal, mechanical, morphological, physical-chemical and biodegradation properties of poly(3-hydroxybutyrate). Polym. Degrad. Stab. 2006, 91, 1954–1959. [Google Scholar] [CrossRef]
- Seo, J.; Jang, W.; Han, H. Thermal, optical, and water sorption properties in composite films of Poly(ether imide) and Bismaleimides: Effect of chemical structure. J. Appl. Polym. Sci. 2009, 113, 777–783. [Google Scholar] [CrossRef]
- Han, H.; Seo, H.; Ree, M.; Pyo, S.M.; Gryte, C.C. Water sorption and diffusion behaviours in thin films of photosensitive polyimides. Polymer 1998, 39, 2963–2972. [Google Scholar] [CrossRef]
- Kimura, D. Cell Growth Processes: New Research; Nova Science Publishers, Inc.: New York, NY, USA, 2008; ISBN 978-1-60456-132-6. [Google Scholar]
- Ataeefard, M.; Moradian, S.; Mirabedini, M.; Ebrahimi, M.; Asiaban, S. Surface properties of low density polyethylene upon low-temperature plasma treatment with various gases. Plasma Chem. Plasma Proces. 2008, 28, 377–390. [Google Scholar] [CrossRef]
- Michalski, M.C.; Hardy, J.; Saramago, B.J. On the surface free energy of PVC/EVA polymer blends: Comparison of different calculation methods. J. Colloid Interface Sci. 1998, 208, 319–328. [Google Scholar] [CrossRef] [PubMed]
- Wijmans, J.; Baker, R. The solution-diffusion model: A review. J. Membr. Sci. 1995, 107, 1–21. [Google Scholar] [CrossRef]
- Barrier Properties of Polymers (Permeability, Solubility and Diffusivity). Available online: http://polymerdatabase.com/polymer%20physics/Permeability.html (accessed on 29 December 2017).
- George, S.C.; Thomas, S. Transport phenomena through polymeric systems. Prog. Polym. Sci. 2001, 26, 985–1017. [Google Scholar] [CrossRef]
- Kim, D.; Park, I.; Seo, J.; Han, H.; Jang, W. Effects of the paraffin wax (PW) content on the thermal and permeation properties of the LDPE/PW composite films. J. Polym. Res. 2015, 22, 19. [Google Scholar] [CrossRef]
- Peng, T.; Cheng, Y.L. Temperature-responsive permeability of porous PNIPAAm-g-PE membranes. J. Appl. Polym. Sci. 1998, 70, 2133–2142. [Google Scholar] [CrossRef]
- Kubota, N.; Matsubara, T.; Eguchi, Y. Permeability properties of isometrically temperature-responsive poly(acrylic acid)-graft-oligo(N-isopropylacrylamide) gel membranes. J. Appl. Polym. Sci. 1998, 70, 1027–1034. [Google Scholar] [CrossRef]
- Li, Y.; Su, H.; Specchio, J.J.; Schrade, J.P.; Chung, S.; Unanski, M. Utilization of Steam Heat Generated via Microwave Energy in Seafood Cooking. J. Nutr. Health Food Eng. 2014, 1, 1–6. [Google Scholar] [CrossRef][Green Version]








| Code | DSC | TGA | |||||||
|---|---|---|---|---|---|---|---|---|---|
| Mn (mol wt) a | Tm1 (°C) b | ∆Hm1 (J/g) d | Tm2 (°C) c | ∆Hm2 (J/g) e | Td1% (°C) f | Td3% (°C) f | Td10% (°C) f | Residual content (%) g | |
| L-PEG | 950–1050 | 40 | 135 | - | - | 210 | 274 | 342 | 0 |
| M-PEG | 3350 | 58 | 141 | - | - | 254 | 284 | 342 | 1 |
| H-PEG | 35000 | 64 | 180 | - | - | 333 | 361 | 386 | 2 |
| Pure PEBAX | - | 16 | 33 | 199 | 35 | 323 | 360 | 388 | 2 |
| L-PBXPG | - | 32 | 68 | 199 | 5 | 245 | 324 | 376 | 3 |
| M-PBXPG | - | 51 | 87 | 202 | 6 | 312 | 356 | 383 | 4 |
| H-PBXPG | - | 57 | 95 | 197 | 9 | 337 | 364 | 385 | 4 |
© 2018 by the authors. Licensee MDPI, Basel, Switzerland. This article is an open access article distributed under the terms and conditions of the Creative Commons Attribution (CC BY) license (http://creativecommons.org/licenses/by/4.0/).
Share and Cite
Thanakkasaranee, S.; Kim, D.; Seo, J. Preparation and Characterization of Poly(ether-block-amide)/Polyethylene Glycol Composite Films with Temperature-Dependent Permeation. Polymers 2018, 10, 225. https://doi.org/10.3390/polym10020225
Thanakkasaranee S, Kim D, Seo J. Preparation and Characterization of Poly(ether-block-amide)/Polyethylene Glycol Composite Films with Temperature-Dependent Permeation. Polymers. 2018; 10(2):225. https://doi.org/10.3390/polym10020225
Chicago/Turabian StyleThanakkasaranee, Sarinthip, Dowan Kim, and Jongchul Seo. 2018. "Preparation and Characterization of Poly(ether-block-amide)/Polyethylene Glycol Composite Films with Temperature-Dependent Permeation" Polymers 10, no. 2: 225. https://doi.org/10.3390/polym10020225
APA StyleThanakkasaranee, S., Kim, D., & Seo, J. (2018). Preparation and Characterization of Poly(ether-block-amide)/Polyethylene Glycol Composite Films with Temperature-Dependent Permeation. Polymers, 10(2), 225. https://doi.org/10.3390/polym10020225
