Low-Frequency Dynamics of Strongly Correlated Electrons in (BEDT-TTF)2X Studied by Fluctuation Spectroscopy
Abstract
:1. Introduction
2. Materials and Methods
2.1. Organic Charge-Transfer Salts—Quasi Two-Dimensional Molecular Metals
2.2. Fluctuation (’Noise’) Spectroscopy
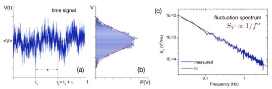
2.2.1. Definitions and Basic Relations
2.2.2. Measuring Resistance Fluctuations and Hooge’s Law for Organic Charge-Transfer Salts
3. Results
3.1. Example (1): Superconducting Percolation in Phase Coexistence Regions
3.2. Example (2): Glass-Like Structural Ordering
3.3. Example (3): Charge-Cluster Glass
3.4. Example (4): Mott Metal-Insulator Transition
Sample Dependences
4. Conclusions
Acknowledgments
Conflicts of Interest
Abbreviations
| CO | charge ordering |
| DDH model | model by Dutta, Dimon and Horn for -type noise in metals |
| EEG | ethylene endgroups |
| ET | BEDT-TTF (bis-ethylenedithio-tetrathiafulvalene) |
| FDT | fluctuation-dissipation theorem |
| -Br | -(BEDT-TTF)Cu[N(CN)]Br |
| -Cl | -(BEDT-TTF)Cu[N(CN)]Cl |
| MIT | metal-insulator transition |
| NMR | nuclear magnetic resonance |
| PSD | power spectral density |
| RRN | random resistor network |
| VFT | Vogel-Fulcher-Tammann |
References and Notes
- Ishiguro, T.; Yamaji, K.; Saito, G. Organic Superconductors; Springer: Berlin/Heidelberg, Germany, 1998. [Google Scholar]
- Toyota, N.; Lang, M.; Müller, J. Low-Dimensional Molecular Metals; Solid State Science, Springer: Berlin/Heidelberg, Germany, 2007. [Google Scholar]
- Lebed, A. The Physics of Organic Superconductors and Conductors; Springer: Berlin/Heidelberg, Germany, 2008. [Google Scholar]
- Powell, B.J.; McKenzie, R.H. Quantum frustration in organic Mott insulators: From spin liquids to unconventional superconductors. Rep. Prog. Phys. 2011, 74, 056501. [Google Scholar] [CrossRef]
- Lunkenheimer, P.; Müller, J.; Krohns, S.; Schrettle, F.; Loidl, A.; Hartmann, B.; Rommel, R.; de Souza, M.; Hotta, C.; Schlueter, J.A.; et al. Multiferroicity in an organic charge-transfer salt that is suggestive of electric-dipole-driven magnetism. Nat. Mater. 2012, 11, 755–758. [Google Scholar] [CrossRef] [PubMed]
- Dressel, M.; Drichko, N. Optical Properties of Two-Dimensional Organic Conductors: Signatures of Charge Ordering and Correlation Effects. Chem. Rev. 2004, 104, 5689–5716. [Google Scholar] [CrossRef] [PubMed]
- Iwai, S. Photoinduced Phase Transitions in α-, θ-, and κ-type ET Salts: Ultrafast Melting of the Electronic Ordering. Crystals 2012, 2, 590–617. [Google Scholar] [CrossRef]
- Lunkenheimer, P.; Loidl, A. Dielectric spectroscopy on organic charge-transfer salts. J. Phys. Condens. Matter 2015, 27, 373001. [Google Scholar] [CrossRef] [PubMed]
- Müller, J. Fluctuation Spectroscopy: A New Approach for Studying Low-Dimensional Molecular Metals. ChemPhysChem 2011, 12, 1222–1245. [Google Scholar] [CrossRef] [PubMed]
- Powell, B.J.; McKenzie, R.H. Strong electronic correlations in superconducting organic charge transfer salts. J. Phys. Condens. Matter 2006, 18, R827. [Google Scholar] [CrossRef]
- Kandpal, H.C.; Opahle, I.; Zhang, Y.Z.; Jeschke, H.O.; Valentí, R. Revision of Model Parameters for κ-Type Charge Transfer Salts: An Ab Initio Study. Phys. Rev. Lett. 2009, 103, 067004. [Google Scholar] [CrossRef] [PubMed]
- Seo, H.; Hotta, C.; Fukuyama, H. Toward Systematic Understanding of Diversity of Electronic Properties in Low-Dimensional Molecular Solids. Chem. Rev. 2004, 104, 5005–5036. [Google Scholar] [CrossRef] [PubMed]
- Lang, M.; Lunkenheimer, P.; Müller, J.; Loidl, A.; Hartmann, B.; Hoang, N.H.; Gati, E.; Schubert, H.; Schlueter, J.A. Multiferroicity in the Mott Insulating Charge-Transfer Salt κ-(BEDT-TTF)2Cu[N(CN)2]Cl. IEEE Trans. Magn. 2014, 50, 2700107. [Google Scholar]
- Wosnitza, J. Fermi Surfaces of Low-Dimensional Organic Metals and Superconductors; Springer: Berlin/Heidelberg, Germany, 1996. [Google Scholar]
- Singleton, J. Studies of quasi-two-dimensional organic conductors based on BEDT-TTF using high magnetic fields. Rep. Prog. Phys. 2000, 63, 1111–1207. [Google Scholar] [CrossRef]
- Elsinger, H.; Wosnitza, J.; Wanka, S.; Hagel, J.; Schweitzer, D.; Strunz, W. κ-(BEDT-TTF)2Cu[N(CN)2]Br: A Fully Gapped Strong-Coupling Superconductor. Phys. Rev. Lett. 2000, 84, 6098–6101. [Google Scholar] [CrossRef] [PubMed]
- Kanoda, K. Electron correlation, metal-insulator transition and superconductivity in quasi-2D organic systems (ET)2X. Phys. C Superconduct. 1997, 282–287, 299–302. [Google Scholar] [CrossRef]
- Lefebvre, S.; Wzietek, P.; Brown, S.; Bourbonnais, C.; Jérome, D.; Mézière, C.; Fourmigué, M.; Batail, P. Mott Transition, Antiferromagnetism, and Unconventional Superconductivity in Layered Organic Superconductors. Phys. Rev. Lett. 2000, 85, 5420–5423. [Google Scholar] [CrossRef] [PubMed]
- Müller, J.; Lang, M.; Steglich, F.; Schlueter, J.A.; Kini, A.M.; Sasaki, T. Evidence for structural and electronic instabilities at intermediate temperatures in κ-(BEDT-TTF)2X for X=Cu[N(CN)2]Cl, Cu[N(CN)2]Br and Cu(NCS)2: Implications for the phase diagram of these quasi-two-dimensional organic superconductors. Phys. Rev. B 2002, 65, 144521. [Google Scholar] [CrossRef]
- Kagawa, F.; Miyagawa, K.; Kanoda, K. Unconventional critical behaviour in a quasi-two-dimensional organic conductor. Nature 2005, 436, 534–537. [Google Scholar] [CrossRef] [PubMed]
- Sasaki, T.; Yoneyama, N.; Suzuki, A.; Kobayashi, N.; Ikemoto, Y.; Kimura, H. Real Space Imaging of the Metal—Insulator Phase Separation in the Band Width Controlled Organic Mott System κ-(BEDT-TTF)2Cu[N(CN)2]Br. J. Phys. Soc. Jpn. 2005, 74, 2351–2360. [Google Scholar] [CrossRef]
- Kawamoto, A.; Miyagawa, K.; Kanoda, K. Deuterated κ-(BEDT-TTF)2Cu[N(CN)2]Br: A system on the border of the superconductor-magnetic-insulator transition. Phys. Rev. B 1997, 55, 14140–14143. [Google Scholar] [CrossRef]
- Hartmann, B.; Müller, J.; Sasaki, T. Mott metal-insulator transition induced by utilizing a glasslike structural ordering in low-dimensional molecular conductors. Phys. Rev. B 2014, 90, 195150. [Google Scholar] [CrossRef]
- Guterding, D.; Valentí, R.; Jeschke, H.O. Influence of molecular conformations on the electronic structure of organic charge transfer salts. Phys. Rev. B 2015, 92, 081109. [Google Scholar] [CrossRef]
- Müller, J.; Hartmann, B.; Sasaki, T. Fine-tuning the Mott metal–insulator transition and critical charge carrier dynamics in molecular conductors. Philos. Mag. 2017, 97, 3477–3494. [Google Scholar] [CrossRef]
- Landauer, R. Condensed-matter physics: The noise is the signal. Nature 1998, 392, 658–659. [Google Scholar] [CrossRef]
- Beenakker, C.; Schönenberger, C. Quantum shot noise. Phys. Today 2003, 56, 37–42. [Google Scholar] [CrossRef]
- MacDonald, D.K.C. Noise and Fluctuations: An Introduction; John Wiley & Sons: New York, NY, USA, 1962. [Google Scholar]
- Van der Ziel, A. Flicker noise in electron devices. Adv. Electron. Electron Phys. 1979, 49, 225–297. [Google Scholar]
- Hooge, F.N.; Kleinpenning, T.G.M.; Vandamme, L.K.J. Experimental studies on 1/f noise. Rep. Prog. Phys. 1981, 44, 479–532. [Google Scholar] [CrossRef]
- Dutta, P.; Horn, P.M. Low-frequency fluctuations in solids: 1/f noise. Rev. Modern Phys. 1981, 53, 497–516. [Google Scholar] [CrossRef]
- Weissman, M.B. 1/f noise and other slow, nonexponential kinetics in condensed matter. Rev. Modern Phys. 1988, 60, 537–571. [Google Scholar] [CrossRef]
- Kogan, S. Electronic Noise and Fluctuations in Solids; Cambridge University Press: Cambridge, UK, 1996. [Google Scholar]
- Raquet, B. Electronic Noise in Magnetic Materials and Devices. In Spin Electronics; Springer: Berlin/Heidelberg, Germany, 2000; Chapter 11; pp. 232–273. [Google Scholar]
- Indeed, this “DC-offset” is sought to be suppressed in a five-terminal experimental setup [9,61], so that only the fluctuating part can be amplified and analyzed. If not suppressed, a finite mean value contributes a δ-function to Sx(f) at zero frequency.
- The ergodicity theorem states that the time-average for a single system in statistical equilibrium may be replaced by an average over an equilibrium ensemble. The autocorrelation function (Equation (3)) is to be evaluated at a fixed time t over a sufficiently large ensemble in thermal equilibrium or through averaging the same system over a sufficiently large number of different times t. In each case, the result is independent of t (and only depends on τ) for a statistically stationary variable.
- Lax, M.; Wei, C.; Min, X. Random Processes in Physics and Finance; Oxford University Press: New York, NY, USA, 2006. [Google Scholar]
- The function is defined by the response of the quantity x to an external (generalized) force via
with (causality). With the Fourier transform , the convolution theorem gives . In the complex dynamic susceptibility , the real part is the elastic (in-phase) part and the imaginary part the dissipative (out-of-phase) part of the response. The FDTdescribes the direct connection between the autocorrelation function of the fluctuations and the imaginary part of the response function associated with dissipation and becomes Equation (5) in the quasi-classical limit .
- Johnson, J.B. Thermal Agitation of Electricity in Conductors. Phys. Rev. 1928, 32, 97–109. [Google Scholar] [CrossRef]
- Nyquist, H. Thermal Agitation of Electric Charge in Conductors. Phys. Rev. 1928, 32, 110–113. [Google Scholar] [CrossRef]
- Note that for thermal noise as the limiting factor, the signal-to-noise ratio of a voltage measurement, defined as , with bandwidth , can be enhanced by increasing the current I. This is not the case, if -noise limits the accuracy of a physical measurement! As can be seen for example when calculating the using Equation (12) below, -noise represents a big obstacle for miniaturization (e.g., of nanoscale devices).
- Press, W.H. Flicker Noise in Astronomy and Elsewhere. Comments Astrophys. Space Phys. 1978, 7, 103–119. [Google Scholar]
- Note that the (biased) random walk plays an important role in finance, i.e., in modern risk management and for the pricing of derivates.
- Of course, there should be theoretical limits also. At high frequencies, there can be no fluctuations faster than the fastest electronic processes possible in the system. At low frequencies, however, a cutoff has not been observed down to the Hz regime for -noise in Ge semiconductor devices [133]. How to explain correlations (’memory’) over averaging times of several weeks remains a fascinating intellectual problem.
- Machlup, S. Noise in Semiconductors: Spectrum of a Two-Parameter Random Signal. J. Appl. Phys. 1954, 25, 341–343. [Google Scholar] [CrossRef]
- McWhorter, A.L. 1/f Noise and Germanium Surface Properties. In Semiconductor Surface Physics; Pennsylvania University Press: Philadelphia, PA, USA, 1957; pp. 207–228. [Google Scholar]
- A distribution is the basis of the famous McWhorter model (1957) [46] describing -noise e.g., in Si-MOSFETs, where the fluctuations are caused by tunneling processes between the conducting channel and traps in the dielectric SiO layer. A spatially homogeneous trap distribution (tunneling distances) leads to the required distribution of time constants.
- Weissman, M.B. What is a spin glass? A glimpse via mesoscopic noise. Rev. Modern Phys. 1993, 65, 829–839. [Google Scholar] [CrossRef]
- Weissman, M.B.; Israeloff, N.E.; Alers, G.B. Spin-glass fluctuation statistics: mesoscopic experiments in Mn. J. Magn. Magn. Mater. 1992, 114, 87–130. [Google Scholar] [CrossRef]
- Bogdanovich, S.; Popović, D. Onset of Glassy Dynamics in a Two-Dimensional Electron System in Silicon. Phys. Rev. Lett. 2002, 88, 236401. [Google Scholar] [CrossRef] [PubMed]
- Jaroszyński, J.; Popović, D.; Klapwijk, T.M. Universal Behavior of the Resistance Noise across the Metal-Insulator Transition in Silicon Inversion Layers. Phys. Rev. Lett. 2002, 89, 276401. [Google Scholar] [CrossRef] [PubMed]
- Kar, S.; Raychaudhuri, A.K.; Ghosh, A.; Löhneysen, H.v.; Weiss, G. Observation of Non-Gaussian Conductance Fluctuations at Low Temperatures in Si:P(B) at the Metal-Insulator Transition. Phys. Rev. Lett. 2003, 91, 216603. [Google Scholar] [CrossRef] [PubMed]
- Hartmann, B.; Zielke, D.; Polzin, J.; Sasaki, T.; Müller, J. Critical Slowing Down of the Charge Carrier Dynamics at the Mott Metal-Insulator Transition. Phys. Rev. Lett. 2015, 114, 216403. [Google Scholar] [CrossRef] [PubMed]
- Voss, R.F.; Clarke, J. 1/f-noise in music and speech. Nature 1975, 258, 317–318. [Google Scholar] [CrossRef]
- Musha, T.; Higuchi, H. The 1/f fluctuation of a traffic current on an expressway. Jpn. J. Appl. Phys. 1976, 15, 1271–1275. [Google Scholar] [CrossRef]
- Goldberger, A.L.; Rigney, D.R.; Mietus, J.; Antman, E.M.; Greenwald, S. Nonlinear dynamics in sudden cardiac death syndrome: Heartrate oscillations and bifurcations. Experientia 1988, 44, 983–987. [Google Scholar] [CrossRef] [PubMed]
- Kaplan, D.T.; Talajic, M. Dynamics of heart rate. Chaos Interdiscip. J. Nonlinear Sci. 1991, 1, 251–256. [Google Scholar] [CrossRef] [PubMed]
- Peng, C.K.; Mietus, J.; Hausdorff, J.M.; Havlin, S.; Stanley, H.E.; Goldberger, A.L. Long-range anticorrelations and non-Gaussian behavior of the heartbeat. Phys. Rev. Lett. 1993, 70, 1343–1346. [Google Scholar] [CrossRef] [PubMed]
- Beck, H.G.E.; Spruit, W.P. 1/f Noise in the variance of Johnson noise. J. Appl. Phys. 1978, 49, 3384–3386. [Google Scholar] [CrossRef]
- Müller, J.; Brandenburg, J.; Schlueter, J.A. 1/f noise in the quasi-two-dimensional organic conductor κ-(BEDT-TTF)2Cu[N(CN)2]Cl. Phys. Rev. B 2009, 79, 214521. [Google Scholar] [CrossRef]
- Scofield, J.H. AC method for measuring low-frequency resistance fluctuation spectra. Rev. Sci. Instrum. 1987, 58, 985–993. [Google Scholar] [CrossRef]
- Hooge, F.N. 1/f noise is no surface effect. Phys. Lett. A 1969, 29, 139–140. [Google Scholar] [CrossRef]
- An argument is that any fluctuations tied to individual free charge carriers cannot persist for times longer than the carrier transit time in the sample. Since the latter and typical diffusion times are of order microseconds to milliseconds, a resulting -spectrum would be required to flatten out below characteristic frequencies within this range [32].
- It is important to mention that already for the simple Drude model of transport one expects that both carrier number (or density) fluctuations and mobility fluctuations contribute to the observed -noise: . Their particular role for the resistance fluctuations in semiconductors and metals is still a matter of controversial debate [34].
- Galchenkov, L.A.; Ivanov, S.N.; Pyataikin, I.I.; Chernov, V.P.; Monceau, P. 1/f noise in conducting Langmuir-Blodgett films. Phys. Rev. B 1998, 57, 13220–13226. [Google Scholar] [CrossRef]
- Brandenburg, J.; Müller, J.; Wirth, S.; Schlueter, J.A.; Schweitzer, D. Strongly enhanced 1/f-noise level in κ-(BEDT-TTF)2X salts. Phys. B 2010, 405, 141–143. [Google Scholar] [CrossRef]
- Kagawa, F.; Itou, T.; Miyagawa, K.; Kanoda, K. Transport criticality of the first-order Mott transition in the quasi-two-dimensional organic conductor κ-(BEDT-TTF)2Cu[N(CN)2]Cl. Phys. Rev. B 2004, 69, 064511. [Google Scholar] [CrossRef]
- Müller, J.; Brandenburg, J.; Schlueter, J.A. Magnetic-Field Induced Crossover of Superconducting Percolation Regimes in the Layered Organic Mott System κ-(BEDT-TTF)2Cu[N(CN)2]Cl. Phys. Rev. Lett. 2009, 102, 047004. [Google Scholar] [CrossRef] [PubMed]
- Kornelsen, K.; Eldridge, J.; Wang, H.H.; Charlier, H.A.; Williams, J.M. Infrared study of the metal-insulator transition in the organic conductor κ-(BEDT-TTF)2Cu[N(CN)2]Cl. Solid State Commun. 1992, 81, 343–349. [Google Scholar] [CrossRef]
- Testa, J.A.; Song, Y.; Chen, X.D.; Golben, J.; Lee, S.I.; Patton, B.R.; Gaines, J.R. 1/f-noise-power measurements of copper oxide superconductors in the normal and superconducting states. Phys. Rev. B Condens. Matter 1988, 38, 2922–2925. [Google Scholar] [CrossRef]
- Lee, J.H.; Lee, S.C.; Khim, Z.G. Noise measurement near the transition region in YBa2Cu3O7−x thin-film superconductors. Phys. Rev. B 1989, 40, 6806–6809. [Google Scholar] [CrossRef]
- Kiss, L.B.; Svedlindh, P. Noise in high-Tc superconductors. IEEE Trans. Electron. Devices 1994, 41, 2112–2122. [Google Scholar] [CrossRef]
- Rammal, R.; Tannous, C.; Breton, P.; Tremblay, A.M.S. Flicker () Noise in Percolation Networks: A New Hierarchy of Exponents. Phys. Rev. Lett. 1985, 54, 1718–1721. [Google Scholar] [CrossRef] [PubMed]
- Rammal, R.; Tannous, C.; Tremblay, A.M.S. 1/f noise in random resistor networks: Fractals and percolating systems. Phys. Rev. A 1985, 31, 2662–2671. [Google Scholar] [CrossRef]
- We note that in this simple model of a one-component RRN the local microgeometry of the current distribution leads to so-called weakly nonlinear transport [134], since the most significant contribution to R and comes from ‘bottlenecks’ or ‘hot spots’ in the RRN, in which the local electric field and current density are much greater than the average values. The contribution of such a region to R is proportional to the local electric field squared [33]. and the local current distribution in Equation (13) is then proportional to the third-harmonic component in an AC transport (voltage) measurement with a driving current through the sample. This connection of -noise and nonlinear transport is widely observed in percolation problems (see e.g., [135] and references therein). For the organic charge-transfer salts -(ET)X, there is also a relation between enhanced -noise due to electronic correlations and a third-harmonic contribution in AC resistance measurements, but the phenomenology appears to be rather complex [129].
- Dubson, M.A.; Hui, Y.C.; Weissman, M.B.; Garland, J.C. Measurement of the fourth moment of the current distribution in two-dimensional random resistor networks. Phys. Rev. B Condens. Matter 1989, 39, 6807–6815. [Google Scholar] [CrossRef]
- Yagil, Y.; Deutscher, G. Third-harmonic generation in semicontinuous metal films. hys. Rev. B Condens. Matter 1992, 46, 16115–16121. [Google Scholar] [CrossRef]
- Kiss, L.B.; Svedlindh, P. New noise exponents in random conductor-superconductor and conductor-insulator mixtures. Phys. Rev. Lett. 1993, 71, 2817–2820. [Google Scholar] [CrossRef] [PubMed]
- We consider the coexistence region close to the MIT as a mixture of superconducting and non-superconducting (normal or insulating) phases, i.e., a lattice of resistors with a temperature- and magnetic field-dependent fraction p that is short-circuited, simulating the superconducting links. For instance, one can think of a network of p Josephson-coupled junctions formed by connections between superconducting grains or clusters. A wide distribution of junction critical currents means that at a given macroscopic current I, the local currents i can be either larger or smaller than which determines if the junction is superconducting or resistive [68].
- Kiss, L.B.; Larsson, T.; Svedlindh, P.; Lundgren, L.; Ohlsén, H.; Ottosson, M.; Hudner, J.; Stolt, L. Conductance noise and percolation in YBa2Cu3O7 thin films. Phys. C Superconduct. 1993, 207, 318–332. [Google Scholar] [CrossRef]
- In Figure 6, a symmetric double-well potential is sketched. As has been pointed out in [136], the time constants and can be determined individually from the noise spectra only if the two lifetimes are either roughly the same or if one of them is much greater than the other. In the former case , both fit coefficients of Equation (14), namely and , are proportional to and the slopes in an Arrhenius plot should give a similar value [137].
- Sasaki, T.; Yoneyama, N.; Kobayashi, N.; Ikemoto, Y.; Kimura, H. Imaging Phase Separation near the Mott Boundary of the Correlated Organic Superconductors κ-(BEDT-TTF)2X. Phys. Rev. Lett. 2004, 92, 227001. [Google Scholar] [CrossRef] [PubMed]
- Saito, K.; Akutsu, H.; Sorai, M. Glass transition in the organic superconductor with the highest Tc under ambient pressure, κ-(ET)2Cu[N(CN)2]Br. Solid State Commun. 1999, 111, 471–475. [Google Scholar] [CrossRef]
- Akutsu, H.; Saito, K.; Sorai, M. Phase behavior of the organic superconductors κ-(BEDT-TTF)2Cu[N(CN)2]X (X = Br and Cl) studied by ac calorimetry. Phys. Rev. B 2000, 61, 4346–4352. [Google Scholar] [CrossRef]
- Sato, A.; Akutsu, H.; Saito, K.; Soraj, M. Glass transition in κ-(BEDT-TTF)2Cu[N(CN)2]X (X = Br and Cl). Synth. Met. 2001, 120, 1035–1036. [Google Scholar] [CrossRef]
- Müller, J.; Lang, M.; Steglich, F.; Schlueter, J.A. Glass-like transition in κ-(ET)2Cu[N(CN)2]Br at Tg ∼ 75 K: implications for the superconducting ground-state properties. J. Phys. IV Fr. 2004, 114, 341–342. [Google Scholar] [CrossRef]
- Su, X.; Zuo, F.; Schlueter, J.A.; Kelly, M.E.; Williams, J.M. Structural disorder and its effect on the superconducting transition temperature in the organic superconductor κ-(BEDT-TTF)2Cu[N(CN)2]Br. Phys. Rev. B 1998, 57, R14056–R14059. [Google Scholar] [CrossRef]
- Su, X.; Zuo, F.; Schlueter, J.A.; Kelly, M.E.; Williams, J.M. Dynamic disorders and its relaxation in organic superconductor κ-(BEDT-TTF)2Cu[N(CN)2]Br. Solid State Commun. 1998, 107, 731–734. [Google Scholar] [CrossRef]
- Tanatar, M.; Ishiguro, T.; Kondo, T.; Saito, G. Nonmetal to metal crossover and ethylene ordering in the organic superconductor κ-(BEDT-TTF)2Cu[N(CN)2]Br. Phys. Rev. B 1999, 59, 3841–3844. [Google Scholar] [CrossRef]
- Taniguchi, H.; Kanoda, K.; Kawamoto, A. Field switching of superconductor-insulator bistability in artificially tuned organics. Phys. Rev. B 2003, 67, 014510. [Google Scholar] [CrossRef]
- Taylor, O.J.; Carrington, A.; Schlueter, J.A. Superconductor-insulator phase separation induced by rapid cooling of κ-(BEDT-TTF)2Cu[N(CN)2]Br. Phys. Rev. B 2008, 77, 060503. [Google Scholar] [CrossRef]
- Brandenburg, J.; Müller, J.; Schlueter, J.A. Sudden slowing down of charge carrier dynamics at the Mott metal-insulator transition in κ-(D8-BEDT-TTF)2Cu[N(CN)2]Br. N. J. Phys. 2012, 14, 023033. [Google Scholar] [CrossRef]
- Müller, J.; Hartmann, B.; Rommel, R.; Brandenburg, J.; Winter, S.M.; Schlueter, J.A. Origin of the glass-like dynamics in molecular metals κ-(BEDT-TTF)2X: implications from fluctuation spectroscopy and ab initio calculations. N. J. Phys. 2015, 17, 083057. [Google Scholar] [CrossRef]
- Gati, E.; Winter, S.M.; Schlueter, J.A.; Schubert, H.; Müller, J.; Lang, M. Insights from experiment and ab initio calculations into the glasslike transition in the molecular conductor κ-(BEDT-TTF)2Hg(SCN)2Cl. Phys. Rev. B 2018, 97, 075115. [Google Scholar] [CrossRef]
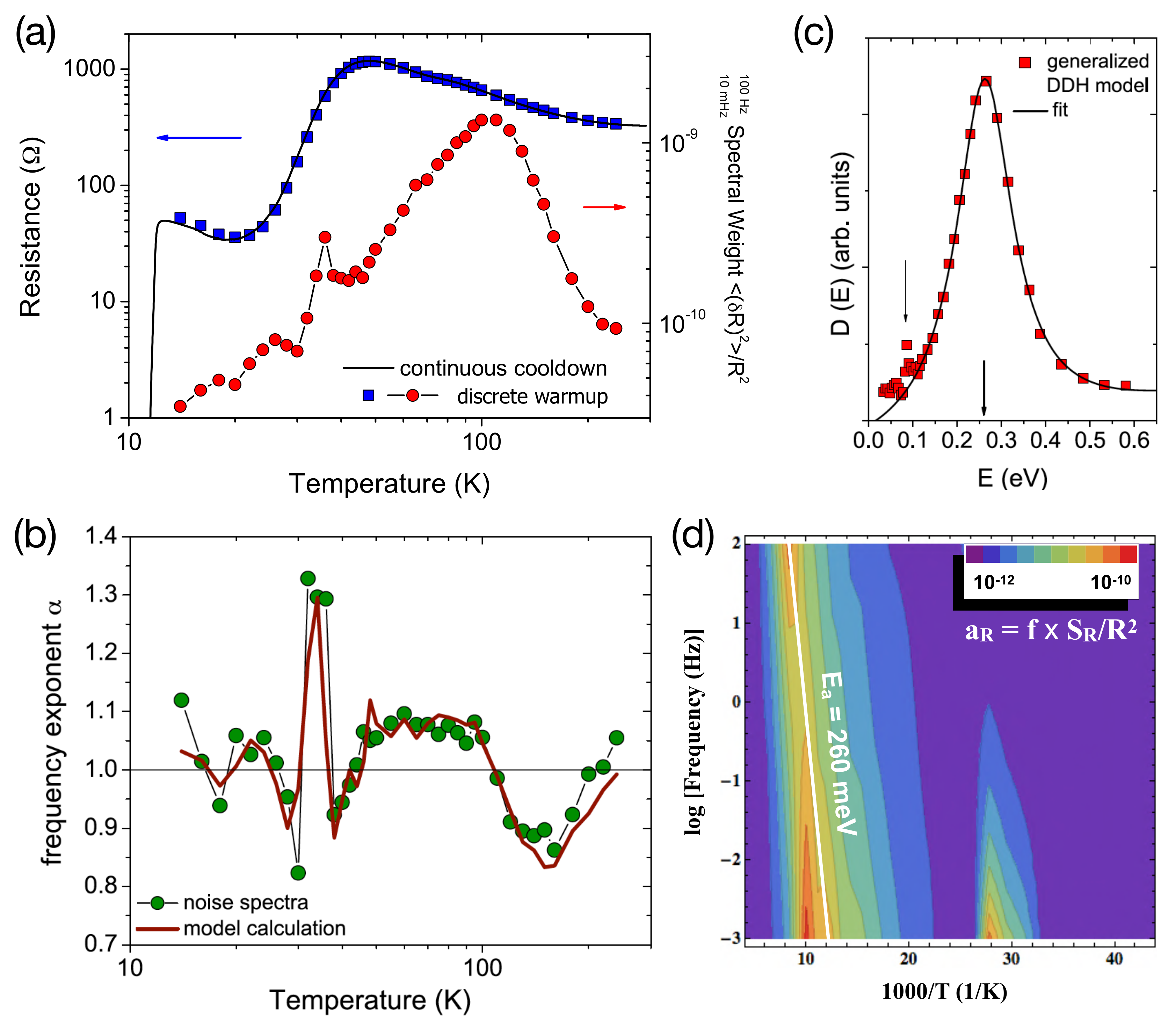
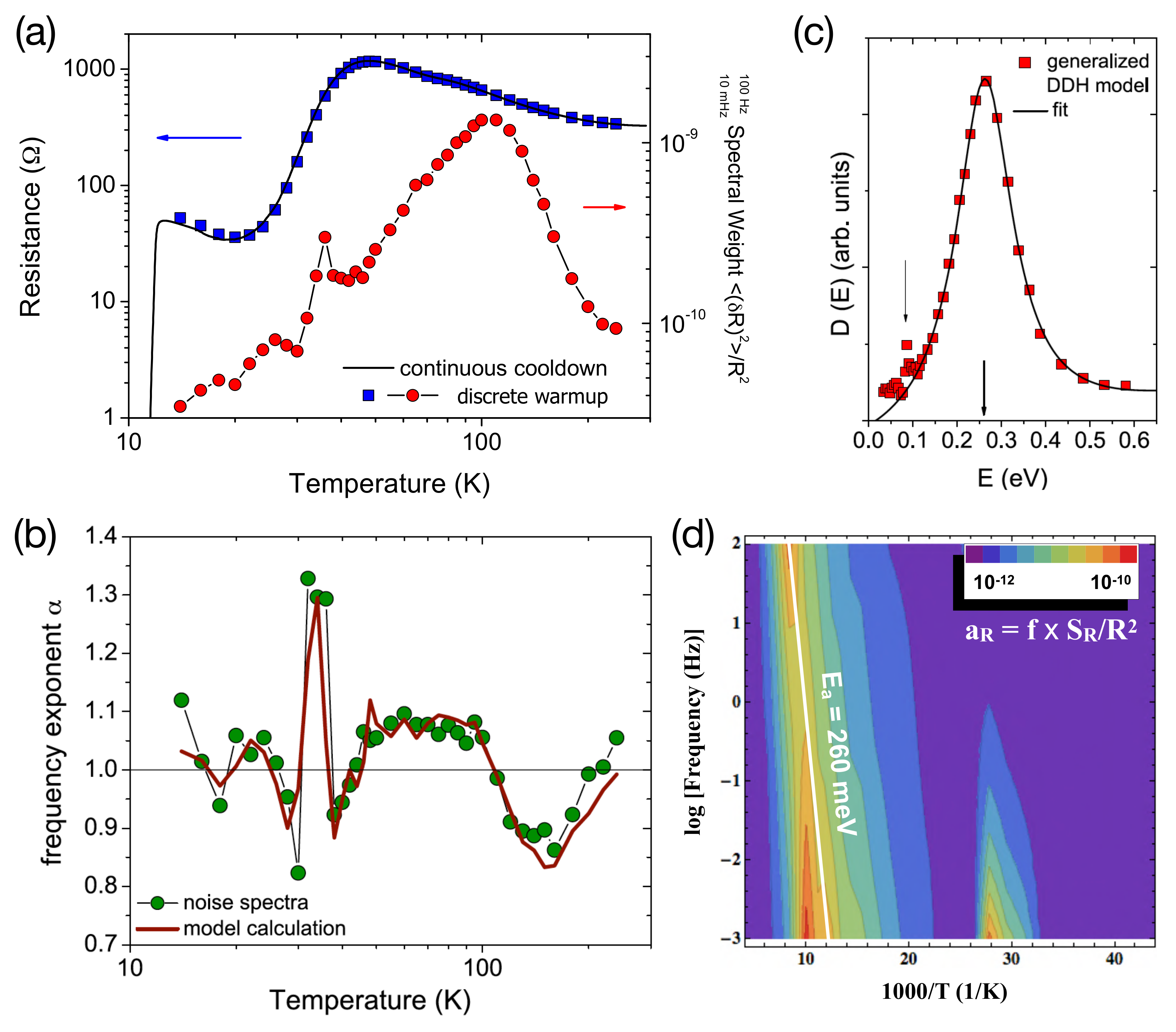
- As shown in [93], the systems -(ET)X with X = Cu[N(CN)]Cl,Cu[N(CN)]Br, or Cu(SCN) show a similar behavior in above about 50 K (see also Figure 11a–c below), which will be explained in this section. In contrast, for K the temperature characteristics of the noise PSD strongly depends on the position in the phase diagram and is strongly enhanced for systems with stronger electron–electron correlations being located closer to the Mott transition [138].
- Dutta, P.; Dimon, P.; Horn, P.M. Energy Scales for Noise Processes in Metals. Phys. Rev. Lett. 1979, 43, 646–649. [Google Scholar] [CrossRef]
- In the simple case of a two-level fluctuation with a single relaxation time , the correlation function (Equation (8)) is purely exponential. If the kinetics of the fluctuating quantity is a superposition of many relaxation times, the correlation function falls off with time not exponentially and the PSD equals Equation (10) [33].
- The function of activation energy E in Equation (15) constitutes a narrow peak of width with the maximum at [33].
- Besides independent thermally activated fluctuators and linear coupling, the width of the weighting function must be far greater than . As stated above, this is the case when is small in comparison to the relevant activation energy in solids.
- Black, R.D.; Restle, P.J.; Weissman, M.B. Hall effect, anisotropy, and temperature-dependence measurements of 1/f noise in silicon on sapphire. Phys. Rev. B 1983, 28, 1935–1943. [Google Scholar] [CrossRef]
- Fleetwood, D.M.; Postel, T.; Giordano, N. Temperature dependence of the 1/f noise of carbon resistors. J. Appl. Phys. 1984, 56, 3256–3260. [Google Scholar] [CrossRef]
- Raquet, B.; Coey, J.M.D.; Wirth, S.; von Molnár, S. 1/f noise in the half-metallic oxides CrO2, Fe3O4, and La2/3Sr1/3MnO3. Phys. Rev. B 1999, 59, 12435–12443. [Google Scholar] [CrossRef]
- Sometimes, a related scattering mechanism is found in the resistivity, i.e., a contribution , which may be linked to the function via the number and/or strength of the fluctuators, as has been argued for the contribution of spin fluctuations in certain manganites [102]. See [93] for details.
- Miyagawa, K.; Kawamoto, A.; Nakazawa, Y.; Kanoda, K. Antiferromagnetic Ordering and Spin Structure in the Organic Conductor κ-(BEDT-TTF2Cu[N(CN)2]Cl. Phys. Rev. Lett. 1995, 75, 1174. [Google Scholar] [CrossRef] [PubMed]
- Wzietek, P.; Mayaffre, H.; Jérome, D.; Brazovskii, S. NMR in the 2D Organic Superconductors. J. Phys. I Fr. 1996, 6, 2011–2041. [Google Scholar] [CrossRef]
- Geiser, U.; Schults, A.J.; Wang, H.H.; Watkins, D.M.; Stupka, D.L.; Williams, J.M.; Schirber, J.; Overmyer, D.; Jung, D.; Novoa, J.; et al. Strain index, lattice softness and superconductivity of organic donor-molecule salts: Crystal and electronic structures of three isostructural salts k-(BEDT- TTF)2Cu[N(CN)2]X (X = Cl, Br, I). Phys. C Superconduct. 1991, 174, 475–486. [Google Scholar] [CrossRef]
- Lunkenheimer, P.; Schneider, U.; Brand, R.; Loid, A. Glassy dynamics. Contemp. Phys. 2000, 41, 15–36. [Google Scholar] [CrossRef]
- Bauer, T.; Lunkenheimer, P.; Loidl, A. Cooperativity and the Freezing of Molecular Motion at the Glass Transition. Phys. Rev. Lett. 2013, 111, 225702. [Google Scholar] [CrossRef] [PubMed]
- Hiramatsu, T.; Yoshida, Y.; Saito, G.; Otsuka, A.; Yamochi, H.; Maesato, M.; Shimizu, Y.; Ito, H.; Kishida, H. Quantum spin liquid: Design of a quantum spin liquid next to a superconducting state based on a dimer-type ET Mott insulator. J. Mater. Chem. C 2015, 3, 1378–1388. [Google Scholar] [CrossRef]
- Yamochi, H.; Komatsu, T.; Matsukawa, N.; Saito, G.; Mori, T.; Kusunoki, M.; Sakaguchi, K. Structural aspects of the ambient-pressure BEDT-TTF superconductors. J. Am. Chem. Soc. 1993, 115, 11319–11327. [Google Scholar] [CrossRef]
- Sasaki, S.; Hashimoto, K.; Kobayashi, R.; Itoh, K.; Iguchi, S.; Nishio, Y.; Ikemoto, Y.; Moriwaki, T.; Yoneyama, N.; Watanabe, M.; et al. Crystallization and vitrification of electrons in a glass-forming charge liquid. Science 2017, 357, 1381–1385. [Google Scholar] [CrossRef] [PubMed]
- Sato, T.; Miyagawa, K.; Kanoda, K. Electronic crystal growth. Science 2017, 357, 1378–1381. [Google Scholar] [CrossRef] [PubMed]
- Kagawa, F.; Sato, T.; Miyagawa, K.; Kanoda, K.; Tokura, Y.; Kobayashi, K.; Kumai, R.; Murakami, Y. Charge-cluster glass in an organic conductor. Nat. Phys. 2013, 9, 419–422. [Google Scholar] [CrossRef]
- Sato, T.; Kagawa, F.; Kobayashi, K.; Miyagawa, K.; Kanoda, K.; Kumai, R.; Murakami, Y.; Tokura, Y. Emergence of nonequilibrium charge dynamics in a charge-cluster glass. Phys. Rev. B 2014, 89, 121102. [Google Scholar] [CrossRef]
- Sato, T.; Miyagawa, K.; Kanoda, K. Fluctuation Spectroscopy Analysis Based on the Dutta–Dimon–Horn Model for the Charge-Glass System θ-(BEDT-TTF)2CsZn(SCN)4. J. Phys. Soc. Jpn. 2016, 85, 123702. [Google Scholar] [CrossRef]
- Kagawa, F.; Oike, H. Quenching of Charge and Spin Degrees of Freedom in Condensed Matter. Adv. Mater. 2017, 29, 1601979. [Google Scholar] [CrossRef] [PubMed]
- Papanikolaou, S. Universality of liquid-gas Mott transitions at finite temperatures. Phys. Rev. Lett. 2008, 100, 026408. [Google Scholar] [CrossRef] [PubMed]
- Kagawa, F.; Miyagawa, K.; Kanoda, K. Magnetic Mott criticality in a κ-type organic salt probed by NMR. Nat. Phys. 2009, 5, 880–884. [Google Scholar] [CrossRef]
- Bartosch, L.; de Souza, M.; Lang, M. Scaling Theory of the Mott Transition and Breakdown of the Grüneisen Scaling Near a Finite-Temperature Critical End Point. Phys. Rev. Lett. 2010, 104, 245701. [Google Scholar] [CrossRef] [PubMed]
- Zacharias, M.; Bartosch, L.; Garst, M. Mott Metal-Insulator Transition on Compressible Lattices. Phys. Rev. Lett. 2012, 109, 176401. [Google Scholar] [CrossRef] [PubMed]
- Gati, E.; Garst, M.; Manna, R.S.; Tutsch, U.; Wolf, B.; Bartosch, L.; Schubert, H.; Sasaki, T.; Schlueter, J.A.; Lang, M. Breakdown of Hooke’s law of elasticity at the Mott critical endpoint in an organic conductor. Sci. Adv. 2016, 2, e1601646. [Google Scholar] [CrossRef] [PubMed]
- We find that for even larger cooling rates K/min to 32 K/min, the noise level starts to increase again [25]. This is because increasing q not only reduces but at the same time increases the degree of quenched EEG disorder [23] resulting in a stronger random lattice potential for the correlated charger carriers at the verge of Mott localization. The effect of disorder in this scenario is strong and qualitatively different from the situation for simple Anderson localization (see e.g., [139,140,141,142,143,144]). Since the change in induced by varying q is quite drastic, covering several tens of bars on the pressure axis, further noise studies starting at different pristine positions in the phase diagram and with smaller increments of q are required in order to understand the intricate interplay of randomness and strong electron correlations in -(ET)X salts and the consequences for the low-frequency dynamics of the carriers.
- Kotliar, G.; Lange, E.; Rozenberg, M.J. Landau theory of the finite temperature Mott transition. Phys. Rev. Lett. 2000, 84, 5180–5183. [Google Scholar] [CrossRef] [PubMed]
- Imada, M. Universality classes of metal-insulator transitions in strongly correlated electron systems and mechanism of high-temperature superconductivity. Phys. Rev. B 2005, 72, 075113. [Google Scholar] [CrossRef]
- Furukawa, T.; Miyagawa, K.; Taniguchi, H.; Kato, R.; Kanoda, K. Quantum criticality of Mott transition in organic materials. Nat. Phys. 2015, 11, 221–224. [Google Scholar] [CrossRef]
- Jaroszyński, J.; Popović, D.; Klapwijk, T.M. Magnetic-Field Dependence of the Anomalous Noise Behavior in a Two-Dimensional Electron System in Silicon. Phys. Rev. Lett. 2004, 92, 226403. [Google Scholar] [CrossRef] [PubMed]
- Schmalian, J.; Wolynes, P.G. Stripe Glasses: Self-Generated Randomness in a Uniformly Frustrated System. Phys. Rev. Lett. 2000, 85, 836–839. [Google Scholar] [CrossRef] [PubMed]
- Dobrosavljević, V.; Tanasković, D.; Pastor, A.A. Glassy Behavior of Electrons Near Metal-Insulator Transitions. Phys. Rev. Lett. 2003, 90, 016402. [Google Scholar] [CrossRef] [PubMed]
- Rommel, R.; Hartmann, B.; Brandenburg, J.; Schlueter, J.A.; Müller, J. Nonlinear electronic transport in the anomalous metallic state of quasi-2D organic superconductors κ-(BEDT-TTF)2X. Phys. Status Solidi B 2013, 250, 568–574. [Google Scholar] [CrossRef]
- Thomas, T. Charge Carrier Dynamics at the Mott Transition in κ-(BEDT-TTF)2Cu[N(CN)2]Br. Master’s Thesis, Goethe-University Frankfurt, Frankfurt, Germany, 2017. [Google Scholar]
- Kanoda, K.; Kato, R. Mott Physics in Organic Conductors with Triangular Lattices. Annu. Rev. Condens. Matter Phys. 2011, 2, 167–188. [Google Scholar] [CrossRef]
- Kato, R. Development of π-Electron Systems Based on [M(dmit)2] (M = Ni and Pd; dmit: 1,3-dithiole- 2-thione-4,5-dithiolate) Anion Radicals. Bull. Chem. Soc. Jpn. 2014, 87, 355–374. [Google Scholar] [CrossRef]
- Caloyannides, M.A. Microcycle spectral estimates of 1/f noise in semiconductors. J. Appl. Phys. 1974, 45, 307–316. [Google Scholar] [CrossRef]
- Bergman, D.J. Nonlinear behavior and 1/f noise near a conductivity threshold: Effects of local microgeometry. Phys. Rev. B 1989, 39, 4598–4609. [Google Scholar] [CrossRef]
- Das, P.; Amyan, A.; Brandenburg, J.; Müller, J.; Xiong, P.; von Molnár, S.; Fisk, Z. Magnetically driven electronic phase separation in the semimetallic ferromagnet EuB6. Phys. Rev. B 2012, 86, 184425. [Google Scholar] [CrossRef]
- Kirtley, J.R.; Theis, T.N.; Mooney, P.M.; Wright, S.L. Noise spectroscopy of deep level (DX) centers in GaAs-AlxGa1−x as heterostructures. J. Appl. Phys. 1988, 63, 1541–1548. [Google Scholar] [CrossRef]
- Müller, J.; von Molnár, S.; Ohno, Y.; Ohno, H. Decomposition of 1/f Noise in AlxGa1−xAs/GaAs Hall Devices. Phys. Rev. Lett. 2006, 96, 186601. [Google Scholar] [CrossRef] [PubMed]
- Müller, J.; Brandenburg, J.; Schweitzer, D.; Schlueter, J.A. Different electronic transport regimes in the quasi-two-dimensional organic conductors κ-(BEDT-TTF)2X. Phys. Status Solidi B 2012, 249, 957–961. [Google Scholar] [CrossRef]
- Sano, K.; Sasaki, T.; Yoneyama, N.; Kobayashi, N. Electron Localization near the Mott Transition in the Organic Superconductor κ-(BEDT-TTF)2Cu[N(CN)2]Br. Phys. Rev. Lett. 2010, 104, 217003. [Google Scholar] [CrossRef] [PubMed]
- Sasaki, T. Mott-Anderson Transition in Molecular Conductors: Influence of Randomness on Strongly Correlated Electrons in the κ-(BEDT-TTF)2X System. Crystals 2012, 2, 374–392. [Google Scholar] [CrossRef]
- Taniguchi, H.; Kawamoto, A.; Kanoda, K. Superconductor-insulator phase transformation of partially deuterated κ-(BEDT-TTF)2Cu[N(CN)2]Br by control of the cooling rate. Phys. Rev. B 1999, 59, 8424–8427. [Google Scholar] [CrossRef]
- Shinaoka, H.; Imada, M. Soft Hubbard Gaps in Disordered Itinerant Models with Short-Range Interaction. Phys. Rev. Lett. 2009, 102, 016404. [Google Scholar] [CrossRef] [PubMed]
- Shinaoka, H.; Imada, M. Single-Particle Excitations under Coexisting Electron Correlation and Disorder: A Numerical Study of the Anderson—Hubbard Model. J. Phys. Soc. Jpn. 2009, 78, 094708. [Google Scholar] [CrossRef]
- Diehl, S.; Methfessel, T.; Tutsch, U.; Müller, J.; Lang, M.; Huth, M.; Jourdan, M.; Elmers, H.J. Disorder-induced gap in the normal density of states of the organic superconductor κ-(BEDT-TTF)2Cu[N(CN)2]Br. J. Phys. Condens. Matter 2015, 27, 265601. [Google Scholar] [CrossRef] [PubMed]













© 2018 by the authors. Licensee MDPI, Basel, Switzerland. This article is an open access article distributed under the terms and conditions of the Creative Commons Attribution (CC BY) license (http://creativecommons.org/licenses/by/4.0/).
Share and Cite
Müller, J.; Thomas, T. Low-Frequency Dynamics of Strongly Correlated Electrons in (BEDT-TTF)2X Studied by Fluctuation Spectroscopy. Crystals 2018, 8, 166. https://doi.org/10.3390/cryst8040166
Müller J, Thomas T. Low-Frequency Dynamics of Strongly Correlated Electrons in (BEDT-TTF)2X Studied by Fluctuation Spectroscopy. Crystals. 2018; 8(4):166. https://doi.org/10.3390/cryst8040166
Chicago/Turabian StyleMüller, Jens, and Tatjana Thomas. 2018. "Low-Frequency Dynamics of Strongly Correlated Electrons in (BEDT-TTF)2X Studied by Fluctuation Spectroscopy" Crystals 8, no. 4: 166. https://doi.org/10.3390/cryst8040166
APA StyleMüller, J., & Thomas, T. (2018). Low-Frequency Dynamics of Strongly Correlated Electrons in (BEDT-TTF)2X Studied by Fluctuation Spectroscopy. Crystals, 8(4), 166. https://doi.org/10.3390/cryst8040166
