Next Article in Journal / Special Issue
Rare-Earth Tantalates and Niobates Single Crystals: Promising Scintillators and Laser Materials
Previous Article in Journal
Two Supramolecular Inorganic–Organic Hybrid Crystals Based on Keggin Polyoxometalates and Crown Ethers
Previous Article in Special Issue
Characterization of Pb-Free KNbO3- and (Na,Bi)TiO3-Based Piezoelectric Single-Crystals Using X-ray and Neutron Diffraction
 
 
Font Type:
Arial Georgia Verdana
Font Size:
Aa Aa Aa
Line Spacing:
Column Width:
Background:
Article

Super-Lattice Structure and Phase Evolution of Pb(Lu0.5Nb0.5)O3-PbTiO3 Single Crystal with Low PbTiO3

Key Laboratory of Optoelectronic Materials Chemistry and Physics, Fujian Institute of Research on the Structure of Matter, Chinese Academy of Sciences, Fuzhou 350002, China
*
Authors to whom correspondence should be addressed.
Crystals 2018, 8(2), 50; https://doi.org/10.3390/cryst8020050
Submission received: 29 November 2017 / Revised: 19 January 2018 / Accepted: 20 January 2018 / Published: 23 January 2018
(This article belongs to the Special Issue Crystal Growth for Optoelectronic and Piezoelectric Applications)

Abstract

:
The phase diagram of the Pb(Lu0.5Nb0.5)O3-PbTiO3 (PLN-PT) binary system was previously reported based on XRD and dielectric measurements results. Unusually, the Curie temperature of PLN-PT with low PT obtained from the phase diagram is much lower than that of PLN and PT end members, which is different from others, such as PZT. Therefore, the complex structure of PLN-PT with low PT is desired to be studied. In this work, PLN-PT single crystals with low PT were grown for the study of their super-lattice structure and phase evolution. The super-lattice reflections were identified by X-ray diffraction. Domains and their evolution by heating from room temperature to 150 °C were observed under a polarized light microscope. The phase transition from the ferroelectric phase to the paraelectric phase was determined by dielectric spectra and polarized light microscopy. A precursor/intermediate phase exhibiting pinched hysteresis loops was displayed above the Curie temperature, which originates from some polar region embedded in the non-polar matrix. The coexistence of the ferroelectric and antiferroelectric domains leads to peculiarities of the phase transitions, such as a lower Curie temperature compared with PLN and PT. The studies of the phase evolution of PLN-PT with low PT single crystal is a supplementary amendment of the PLN-PT phase diagram as previously reported.

1. Introduction

An antiferroelectric (AFE) state is defined as one in which lines of ions are spontaneously polarized but with neighboring lines polarized in antiparallel directions [1]. In other words, antiferroelectricity is revealed by the antiparallel displacements of Pb2+ ions and the B-site atom ordering in lead-based perovskite materials [2], and has wide applications in energy storage capacitors, mobile electronic devices, and explosive electrical transducers [3,4,5]. As an important member of perovskite structure AFEs, Pb(Lu0.5Nb0.5)O3 (PLN) ceramics were first reported by Kupriyanov and Isupov in the early 1960s [6,7]. The structure and AFE properties of PLN single crystals were studied in our laboratory [2]. Two sets of superlattice reflections, including the B-site atom ordering type reflection and the lead-ion antiparallel ordering type reflection, coexist in PLN single crystals. The Curie temperature TC of PLN was about 240 °C and 254 °C for [111]-oriented and [001]-oriented crystal plates, respectively. The value of the energy density was calculated to be 3.65 J cm−3 for the [111]-oriented sample at 200 °C based on double hysteresis loops with an electric field EAPP = 170 kV cm−1 applied.
One of the usual methods for modifying lead-based perovskite AFE materials is the addition of other elements, including for achieving low PT [8,9]. PLN-PT ceramics have been investigated in the past few years. M. Antonova et al. reported a (1−x)PLN-xPT ceramics system obtained by solid phase reactions with subsequent hot pressing [10]. The compositions within the morphotropic phase boundary (MPB) region (the PT content x = 0.38 − 0.49) show a high Curie temperature (Tc > 350 °C) and a large electromechanical coupling factor (kp = 0.66, kt = 0.48) for 0.59PLN-0.41PT [11]. The (1−x)PLN-xPT ceramics were also studied by D. Shen et al. in our lab with a re-modified MPB region of x = 0.48 − 0.50. The Curie temperature was up to 375 °C (x = 0.48) and showed good piezoelectric properties (d33 = 350 pC/N) [12]. The high Curie temperature and good piezoelectric properties of the PLN-PT system imply that a PLN-PT single crystal can be a promising good piezoelectric material; therefore, a series of PLN-PT binary ferroelectric (FE) crystals has been successfully obtained by a top-seed solution growth technique in our lab. The crystals reveal an MPB (x = 0.49 − 0.51) and the composition x = 0.49 shows a high Curie temperature (Tc = 360 °C) and high piezoelectric properties (d33 = 1630 pC/N) [13,14,15].
According to Antonova’s report, the (1−x)PLN-xPT ceramic system transforms from pseudomonoclinic (space group Bmm2) to tetragonal (space group P4mm) at room temperature [11]. However, by Shen’s report, the phase structure at room temperature changes from rhombohedral (space group R3m) to tetragonal (space group P4mm) [12]. Recently, we studied the typical relaxor behavior in compositions of x = 0.281, 0.328, 0.423, and 0.446, where only the rhombohedral phase was confirmed [14]. However, it was found that the symmetry of the relaxors ferroelectric (FE) PLN-0.2PT and AFE PLN were orthorhombic [15]. The phase diagram of the PLN-PT binary system was previously reported based on XRD and dielectric measurements results [13]. Unusually, some peculiarities of the PLN-0.07PT system have been observed, such as that the Curie temperature of PLN-PT with low PT obtained from the phase diagram is much lower than that of PLN and PT end members. It is observed that in x = 0.1 and 0.2 of (1−x)PLN-xPT ceramics [11] and 0 < x < 0.33 of (1−x)PLN-xPT crystals [13] the temperature of the dielectric anomaly deviates from the ideal linear relationship between 240 °C (PLN) and 490 °C (PT). Compared with the typical Pb(Zr1−xTix)O3 system, the PZT with low PT content (x < 0.05) are AFEs at room temperature, AFE–FE phase-transition regions exist, and the Curie temperature is between that of the PZ and PT content [16]. Therefore, we think there would be another line missing in the (1−x)PLN-xPT phase diagram [13]. The existence of such a region requires more detailed targeting investigations, which are also a direction of our follow-up work, and we are in the process of studying it, including in this work. If the transition is second-order, the dielectric constant will be continuous and nearly constant with temperature at the Curie point [2], so that we may lose sight of some details from the dielectric spectra. Additionally, the investigation on AFE PLN-PT single crystals with low PT can help us to understand not only the physics and chemistry phenomena of the binary AFE system, but also the way to improve the potential applications of AFE PLN-based single crystal. In this paper, we report the super-lattice structure and phase evolution behavior of PLN-0.07PT single crystal.

2. Experiment Section

PLN-0.07PT single crystals were successfully grown by the top-seeded solid solution growth (TSSG) method with good quality and high compositional homogeneity by means of adding flux to decrease the growing temperature. The starting chemicals, PbO (99.9%), TiO2 (99.9%), Lu2O3 (99.99%), Nb2O5 (99.9%), and H3BO3 (99.9%), were weighed according to the formula (1−x)PLN-xPT (x = 0.2). The detailed growth process and the proper flux-to-solute molar ratio were described in an earlier paper of PLN-PT crystals growth [13,14,15]. Finally, the single crystal has been obtained as shown in Figure 1.
The actual chemical compositions of the grown crystal were determined to be x = 0.07 (PLN-0.07PT) by inductively coupled plasma atomic emission spectroscopy (ICP-AES, JY Ultima-2, Longjumeau Cedex, France). The phase and structure of the grown crystal were examined by X-ray diffractometer using Cu-Ka radiation (Miniflex600, Rigaku, Tokyo, Japan) at room temperature. The temperature dependence of the powder X-ray diffraction was determined by another X-ray diffractometer (Ultima IV, Rigaku, Tokyo, Japan). The peaks were scanned continuously in 2θ steps of 0.02°, with an angular range of 10–80° and a rotating speed of 5°/min. Fine crystal powder for the electron microscopy study was polished mechanically and measured on a transmission electron microscope (TEM) (Tecnai F20 FEG, FEI, Hillsboro, OR, USA). A polarized light microscope (Axio Scope. A1, Carl Zeiss, Gottingen, Germany) was employed to determine the domain structure and its evolution versus the different temperatures. For electrical properties characterization, plate was sliced from the as-grown crystal along the [111] direction, then the sample was polished and coated with silver paste as electrodes. Measurements of the dielectric constant and loss tangent (tanδ) were carried out by a computer-controlled Alpha-broadband dielectric/impedance spectrometer (Novocontrol GmbH, Montabaur, Germany) with an alternating current (AC) signal of 1.0 V (peak-to-peak) applied. Polarization-electric field hysteresis loops were displayed by a standard ferroelectric test system (TF Analyzer 2000E, aix-ACCT, Aachen, Germany) combined with a high-voltage supply amplifier/controller (Model 610E, Trek, Medina, NY, USA) and an environmental test chamber (DELTA 9023, Delta Design, Poway, CA, USA) with temperature variations from room temperature up to 220 °C.

3. Results

A photograph of the obtained PLN-0.07PT crystal is shown in Figure 1. The external macro structure of the crystal is a tetrakaidecahedron combination with pseudocubic (100) and (111) planes in habit, and the crystal is a light yellow color. The dimensions of the largest single crystal block generally reach 9 × 15 × 13 mm3 in size. At room temperature, the X-ray diffraction pattern of PLN-0.07PT exhibits a typical perovskite structure as shown in Figure 2. In addition, some super-lattice reflections, which originate from long-range ordering of B-site cations, can also be seen. The presence of a super-lattice reflection suggests that the prototypical crystal structure is an ordered perovskite with an effective unit cell that is (2ac × 2ac × 2ac) doubled in size in all crystallographic axis directions of a cubic, simple perovskite cell (ac × ac × ac). Here, the subscript “c” refers to the cubic perovskite basis cell [4]. PLN-0.07PT exhibits a number of super-lattice peaks, with some of the obvious peaks corresponding to d-spacing values twice as much as those of (111)C, (311)C, (331)C, (333)C, (511)C, and (531)C, while major ones can be indexed as 1/2(111)C, 1/2(311)C, 1/2(331)C, 1/2(333)C, 1/2(511)C, and 1/2(531)C, respectively, showing the good-order feature of a single crystal. Special attention was focused on the (200)C peak. It is known that the XRD profiles of (200)C reflections in the orthorhombic (O) phase would split into three peaks: the O(200), O(020), and O(002) profiles [17]. The O(002) and O(020) peaks are so closed that the intensity of the O(002)/(020) peak is twice as that of the O(200) peak. As evidenced from the split in the fundamental lines around 2θ ≈ 43.4–44.0° at room temperature, shown in the insets of Figure 2, the lattice distortion is found to be orthorhombic in nature.
The super-lattice reflections were further identified by transmission electron microscopy as shown in Figure 3a. The pattern in Figure 3a is composed of the fundamental spots of the prototype (the large bright spot) and the extra B-site atom ordering super-lattice reflection spots (the small dark spot), corresponding to 1/2(111) and others. Micro-domains configurations in the PLN-0.07PT crystal were also studied using TEM, which were clearly found and were 1~2 nm in size as shown in Figure 3b.
The macro-domain structures of the [111]-oriented plate of the PLN-0.07PT crystals were investigated under a crossed polarized light microscope as shown in Figure 4. The domains appear to be in extinction or full bright locally based on the direction of polarization and the polarizer. As shown in Figure 4, the domains appear to be in extinction when θ = 0° (θ is defined as the smaller angle between the [110] crystallographic axis and the polarizer), while the field manifests full bright when the objective table was rotated 45°, further confirming the orthorhombic symmetry of the PLN-0.07PT crystal at room temperature. The evolution of the domain is studied under a crossed polarized light microscope by heating from room temperature to 150 °C as shown in Figure 5. Few changes are observed below 130 °C. By continuous heating, some bright parts of the domains started to disappear until they disappeared completely at 150 °C. It is indicated that a phase transition of the crystal occurred between 130 °C and 140 °C, which will be discussed hereafter.
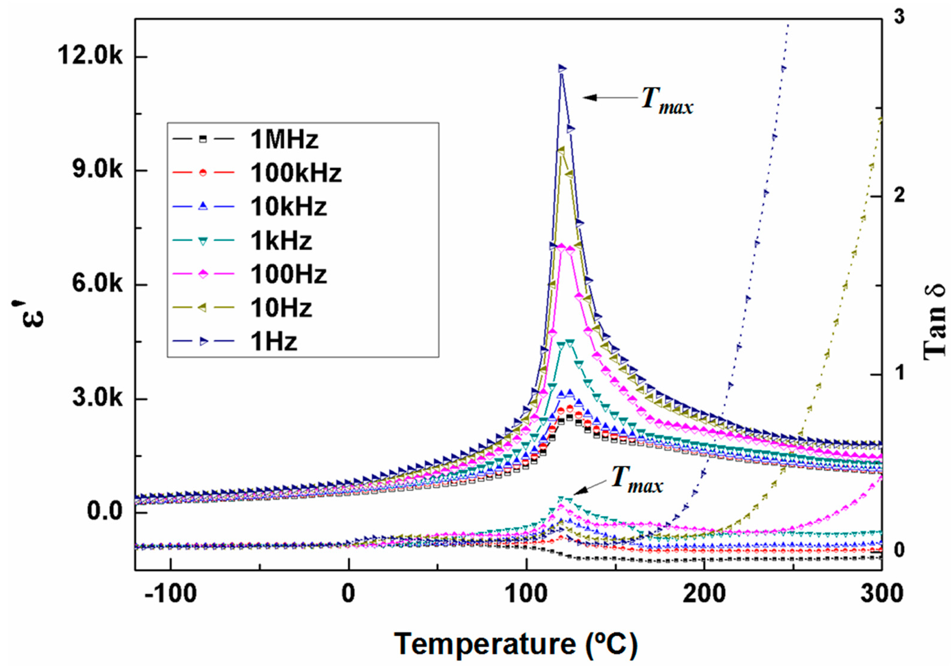
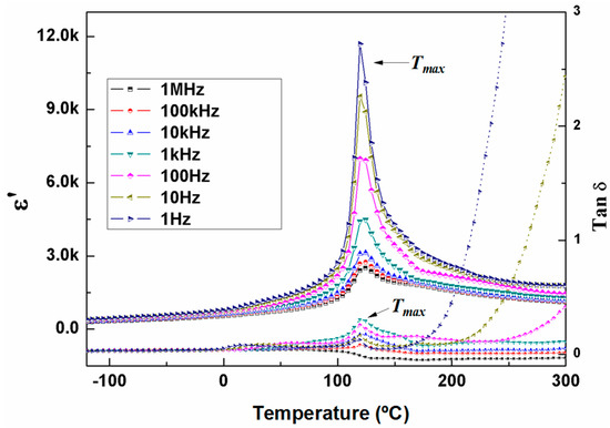
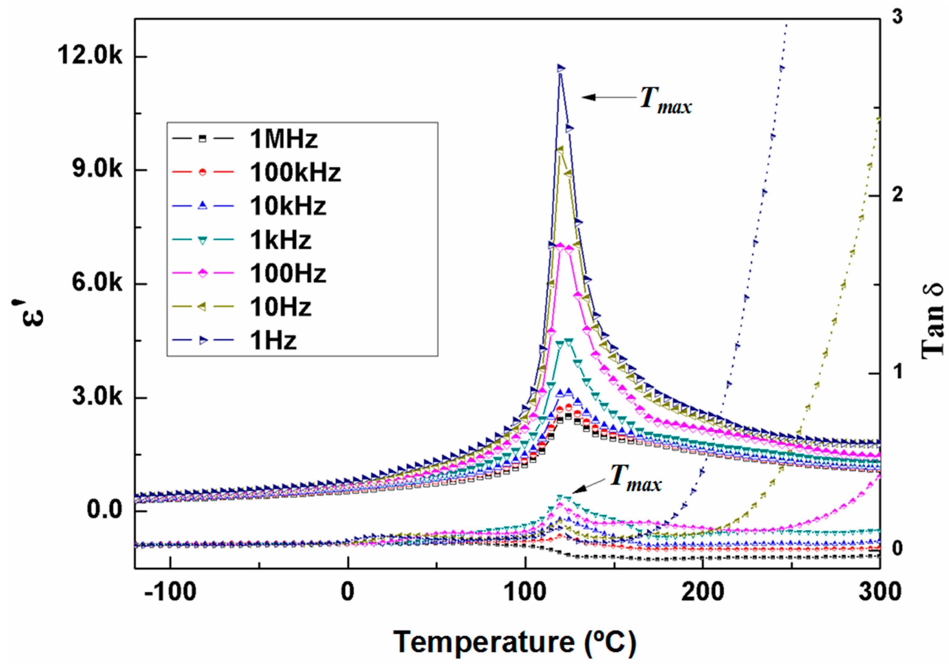
Figure 6 shows the temperature dependence of the dielectric constant ε′ and loss tangent tanδ at various frequencies for unpoled [111]-oriented crystal plates. The room temperature values of the dielectric constant and loss tangent at 1 kHz are 337 and 0.03, respectively. The behavior at a low value of ε′ is like most AFE materials. It shows a sharp peak at Tmax = 125 °C (1000 Hz), indicating ferroelectric–paraelectric phase transition, i.e., Curie temperature TC. No obvious frequency dispersion is found near Tmax, indicating normal ferroelectric behavior.
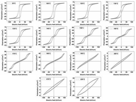
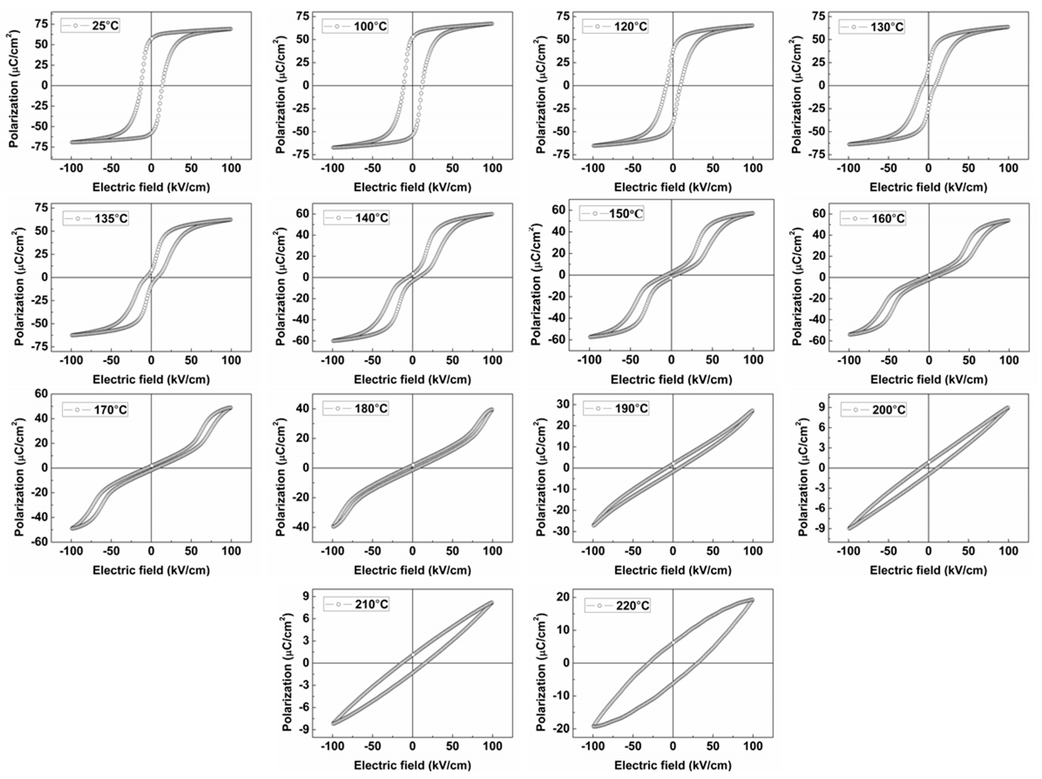
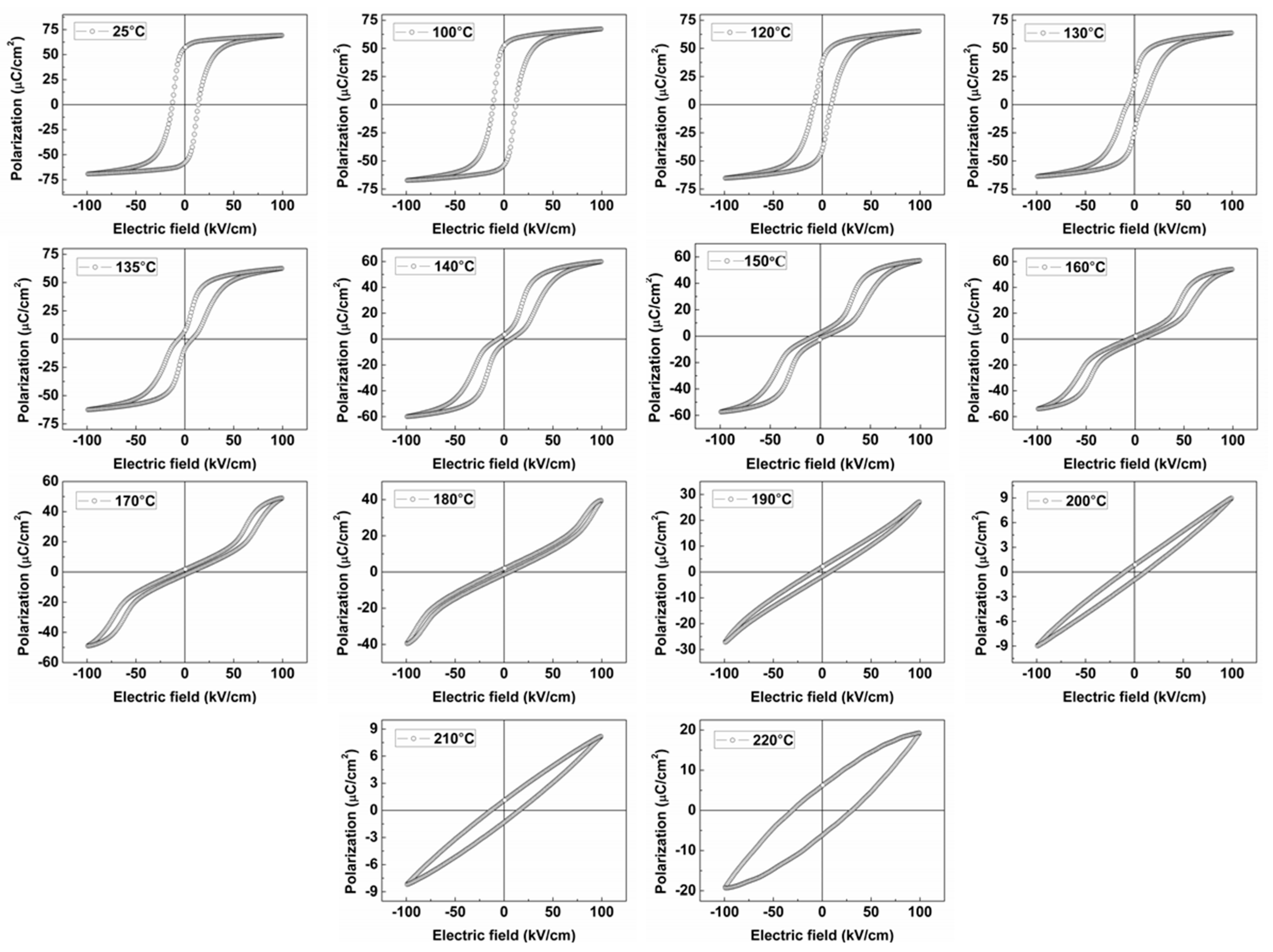
The polarization-electric field (P-E) hysteresis loops of a [111]-oriented PLN-0.07PT crystal platelet at various temperatures under a bipolar drive of E = ±100 kV/cm at 2 Hz is shown in Figure 7. It is found that the PLN-0.07PT crystal exhibits saturated single hysteresis loops at temperatures below 130 °C, which is the meaning of the FE state. With the increasing of temperature, the FE hysteresis loops are transformed into double hysteresis loops (some displayed as pinched hysteresis loops). The double hysteresis loops disappear between 170 °C and 180 °C, which is approximately 45 °C above the Curie temperature TC.

4. Discussion

Surprisingly, the PLN-0.07PT single crystals exhibit some peculiarities. One feature is that the Curie temperature (125 °C) obtained from the temperature dependence of the dielectric constant is a little lower than the temperature of the phase transition from FE hystersis loops to double hystersis loops (130–140 °C) and the temperature of disappearance of the domain as shown in Figure 5 (140 °C), indicating non-centrosymmetric regions above TC. It is clearly seen that the double hystersis loops disappear between 170 °C and 180 °C as shown in Figure 7, which is much higher than the Curie temperature. It is commonly believed that double hysteresis loops above the Curie temperature should be considered pinched hysteresis loops because there exist a region with some polar regions embedded in the non-polar matrix. This kind of double hysteresis loop has been found in various materials, such as Pb(Zr,Ti)O3 [18], BiFeO3 [19], and BaTiO3 [20]. In these system, some types of inhomogeneity, structural disorder, and structural defects with local polarity are present in these materials, leading to the domain walls being strongly pinned by defects [18,19]. In addition, pinched hysteresis loops exhibit a small polarization for a zero electric field. The remnant polarizations Pr of PLN-0.07PT crystals down to not zero (the value of Pr at 170 °C and 180 °C is 1.39 and 1.28 µC/cm2, respectively) with the increasing of temperature, indicating a pinched hysteresis loops. The above analysis means that a precursor/intermediate state (125–170 °C) exhibiting pinched hysteresis loops is displayed above the Curie temperature. These pinched hysteresis loops possessing electric dipoles are intrinsic in nature and can also occur in defect-free systems, such as BiFeO3 [21].
Another peculiar feature is that the Curie temperature of PLN-0.07PT is much lower than that of PLN (258 °C) and PT (490 °C) [13]. This peculiarity in the PLN-0.07PT system is related to the coexistence of the domains of the FE and AFE phases in a wide temperature range. First, Figure 2 shows some super-lattice reflections which originate from long-range ordering of B-site cations, suggesting the existence of AFE phase. In addition, the B-site atom ordering super-lattice reflection spots are also observed using transmission electron microscopy as shown in Figure 3. However, typical and saturated FE hystersis loops are observed below 130 °C as shown in Figure 7. Therefore, the main body of the phase is the FE phase at room temperature. This indicates the coexistence of the domains of the FE and AFE phases in the PLN-0.07PT system. In consideration of the intermediate state, it is also reasonable that the domains of the FE and AFE phases coexist in a wide temperature range. This state of affairs leads to the fact that the free energies of both ordered states differ little. The presence of a phase transition between the FE and AFE states at a small difference in the free energies of the phases (over a wide temperature range) leads to the coexistence of the domains of these phases and the peculiarities of phase transitions, such as the lower Curie temperature compared with PLN and PT.
It is well-known that a dielectric constant with a sharp peak could fit the Curie–Weiss law (1/ε′ = (TTCW)/C, where C is the Curie constant and TCW is the Curie–Weiss temperature) very well above the Curie temperature. Figure 8 shows the fitting of the Curie–Weiss law of PLN-0.07PT single crystals (1000 Hz). Interestingly, the two sections (T1T2, T2T3) of the reciprocal of the dielectric constant can be fitted with the Curie–Weiss law, respectively. The values of T1, T2, and T3 are about 125, 170, and 280 °C, respectively. The FE–PE phase transition exhibits a normal phase transition (T1 = Tmax = TC). It is reported that the polar regions (clusters) grow when approaching TC from the high-temperature side, reaching several lattice constants at the temperature TPR = 1.1* TC (K) [22,23]. For PLN-0.07PT single crystals, the value of TC is 398 K (125 °C). The temperature TPR is 437.8 K (1.1 × 398 K = 437.8 K). This value is close to the value of T2 (443 K). This points out that the polar region will induce anomalous behaviors in the temperature range from 443 K (170 °C), such as pinched hysteresis loops.
In order to confirm the structure phase transition of PLN-0.07PT single crystals, the temperature dependence of the structure was examined by XRD as shown in Figure 9. It can be seen that the peaks of (200)C (“C” refers to the cubic phase) reflections (shown in the inset of Figure 9) shift to a high angle (2θ) at 160 °C, indicating that a structure transition occurred between 100 °C and 160 °C, which corresponds to the FE–PE phase transition. Then, the 2θ shifts to a low angle with an increasing of temperature to 350 °C, which is induced by the disappearance of local non-centrosymmetric polar regions. Note that the symmetry of PLN-0.07PT single crystals at the PE phase is orthorhombic. Of course, the determination of the accurate temperature of a phase transition requires more work, such as the measurement of the loops accompanied by X-ray measurements in the field.

5. Conclusions

Single crystals Pb(Lu1/2Nb1/2)O3-PbTiO3 with low PT (PLN-0.07PT) with a tetrakaidecahedron combination were successfully grown. The crystal structure was found to be orthorhombic in nature as revealed by the analysis of the XRD data. Both XRD and TEM show the super-lattice reflections due to short-range ordering of B-site cations. Micro-domains of 1–2 nm in size have been found from TEM. The typical FE domains have also been found from PLM and the extinction angle further confirms the crystal structure to be orthorhombic. The temperature dependence of the polarization-electric field hystersis loops from room temperature to 220 °C demonstrates that a precursor/intermediate state (125–170 °C) occurs above the Curie temperature (125 °C). The precursor/intermediate state exhibiting pinched hysteresis loops was displayed above the Curie temperature, which originates from some polar region embedded in the non-polar matrix. These pinched hysteresis loops possessing electric dipoles are intrinsic in nature and occur from the temperature TPR = 1.1* TC (443 K). Another feature of PLN-0.07PT single crystals is that the Curie temperature of PLN-0.07PT is much lower than that of PLN and PT, which is related to the coexistence of the domains of the FE and AFE phases in a wide temperature range. The studies of phase transition PLN-0.07PT single crystal done here are a supplementary amendment of the PLN-PT phase diagram as previously reported. The investigations on a PLN-0.07PT single crystal not only help us to understand the binary PLN-PT system, but also to improve the potential applications of antiferroelectric PLN-based crystal. The transition between ferroelectric and antiferroelectric makes the application of PLN-based crystal more extensive.

Acknowledgments

This work was supported by the National Natural Science Foundation of China under Grant Nos. 51602308, 11404331, 91422303, and 11504373, the Science and Technology Project of Fujian Province under Grant No. 2015H0049, and the “Chunmiao” Talents Program for Young Scientists of the Haixi Institute of Chinese Academy of Sciences (CMZX-2016-006). C. He thanks V. M. Ishchuk (Inst. for Single Crystals of Acad. Sci. of Ukraine, Kharkov, Ukraine) and Alexei A. Bokov (Simon Fraser University, Canada) for discussion.

Author Contributions

Y.L. and X.Y. contributed to the experiment, the data analysis, and manuscript preparation. X.L. and Z.W. contributed to analysis and manuscript preparation. C.H. and X.L. conceived and designed the study. C.H. reviewed and edited the manuscript. All authors read and approved the manuscript.

Conflicts of Interest

The authors declare no conflict interest.

References

  1. Kittle, C. Theory of antiferroelectric crystals. Phys. Rev. 1951, 82, 729–732. [Google Scholar] [CrossRef]
  2. Liu, Y.; Yang, X.; He, C.; Li, X.; Wang, Z.; Xiao, Y.; Long, X. Domain and antiferroelectric properties of Pb(Lu1/2Nb1/2)O3 single crystals and their superlattice structure. RSC Adv. 2017, 7, 3704–3712. [Google Scholar] [CrossRef]
  3. Parui, J.; Krupanidhi, S.B. Dielectric properties of (110) oriented PbZrO3 and La-modified PbZrO3 thin films grown by sol-gel process on Pt(111)/Ti/SiO2/Si substrate. J. Appl. Phys. 2006, 100. [Google Scholar] [CrossRef]
  4. Park, Y.; Cho, K. Dielectric-state analysis in solid-solution Pb(Yb1/2Ta1/2)O3-Pb(Lu1/2Nb1/2)O3. J. Am. Ceram. Soc. 2000, 83, 135–140. [Google Scholar]
  5. Berlincourt, D.; Jaffe, H.A.; Krueger, H.H. Release of electric energy in PbNb(Zr,Ti,Sn)O3 by temperature and by pressure-enforced phase transitions. Appl. Phys. Lett. 1963, 3, 90–93. [Google Scholar] [CrossRef]
  6. Kupriyanov, M.F.; Fesenko, E.G. Investigation of the phase transition in PbBI0.5-BII0.5O3 compounds. Bull. Acad. Sci. USSR Phys. Ser. (Engl. Transl.) 1965, 29, 930–934. [Google Scholar]
  7. Isupov, V.A.; Krainik, N.N. New antiferroelectrics having perovskite-type structure, containing rare-earth ions in octahedral lattice sites. Sov. Phys.-Solid State USSR 1965, 6, 2975–2976. [Google Scholar]
  8. Zhang, Y.; Liu, P.; Chen, X.M.; Wu, J.L.; Yang, J.N. Effect of Ti on dielectric and piezoelectric properties of (Pb0.985La0.01)1+y(Nb1−yTiy)2O6 ceramics. Mater. Des. 2010, 31, 4886–4890. [Google Scholar] [CrossRef]
  9. Park, S.E.; Markowski, K.; Yoshikawa, S.; Cross, L.E. Effect on electrical properities of barium and strontium additions in the lead lanthanum zirconate stannate titanate system. J. Am. Ceram. Soc. 1997, 80, 407–412. [Google Scholar] [CrossRef]
  10. Sternberg, A.; Shebanovs, L.; Antonova, M.; Livinsh, M.; Yamashita, J.Y.; Shombalko, L.; Spule, A. New high piezoelectric coupling PLuNT binary system ceramics. NanoStruct. Mater. 1999, 12, 645–648. [Google Scholar] [CrossRef]
  11. Antonova, M.; Shebanovs, L.; Livinsh, M.; Yamashita, J.Y.; Sternberg, A.; Shorubalko, I.; Spule, A. Structure and properties of hot-pressed Pb(Lu1/2Nb1/2)O3-PbTiO3 binary system ceramics. J. Electroceram. 2000, 4, 179–187. [Google Scholar] [CrossRef]
  12. Shen, D.; Li, X.; Wang, Z.; Liu, Y.; He, C.; Li, T.; Tailor, H.; Long, X. Preparation and characterization of (1−x)Pb(Lu1/2Nb1/2)O3xPbTiO3 binary ferroelectric ceramics with high Curie temperature. Mater. Lett. 2012, 84, 1–4. [Google Scholar] [CrossRef]
  13. Liu, Y.; Li, X.; Wang, Z.; He, C.; Li, T.; Ai, L.; Chu, T.; Pang, D.; Long, X. A new (1−x)Pb(Lu1/2Nb1/2)O3xPbTiO3 binary ferroelectric crystal system with high Curie temperature. CrystEngComm 2013, 15, 1643–1650. [Google Scholar] [CrossRef]
  14. Liu, Y.; Long, X. Growth and characterization of a new lead lutetium niobate with lead titanate ferroelectric crystal. J. Inorg. Mater. 2014, 29, 47–51. [Google Scholar] [CrossRef]
  15. Liu, Y.; Yang, X.; Lai, F.; Huang, Z.; Li, X.; Wang, Z.; He, C.; Lin, J.; Long, X. Structure and properties of Pb(Lu1/2Nb1/2)O3-0.2PbTiO3 relaxor ferroelectric crystal. Mater. Res. Bull. 2015, 67, 83–86. [Google Scholar] [CrossRef]
  16. Sawaguchi, E. Ferroelectricity versus antiferroelectricity in the solid solutions of PbZrO3 and PbTiO3. J. Phys. Soc. Jpn. 1953, 8, 616–629. [Google Scholar] [CrossRef]
  17. Xia, Z.; Li, Q. Phase transformation in (0.90 − x)Pb(Mg1/3Nb2/3)O3xPbTiO3 − 0.10PbZrO3 piezoelectric ceramic: X-ray diffraction and Raman investigation. Solid State Commun. 2007, 142, 323–328. [Google Scholar] [CrossRef]
  18. Rojac, T.; Drnovsek, S.; Bencan, A.; Malic, B.; Damjanovic, D. Role of charged defects on the electrical and electromechanical properties of rhombohedral Pb(Zr,Ti)O3 with oxygen octahedral tilts. Phys. Rev. B 2016, 93. [Google Scholar] [CrossRef]
  19. Rojac, T.; Kosec, M.; Budic, B.; Setter, N.; Damjanovic, D. Strong ferroelectric domain-wall pinning in BiFeO3 ceramics. J. Appl. Phys. 2010, 108. [Google Scholar] [CrossRef]
  20. Srivastava, N.; Weng, G.J. A theory of double hysteresis for ferroelectric crystals. J. Appl. Phys. 2006, 99. [Google Scholar] [CrossRef]
  21. Xu, B.; Paillard, C.; Dkhil, B.; Bellaiche1, L. Pinched hysteresis loop in defect-free ferroelectric materials. Phys. Rev. B 2016, 94. [Google Scholar] [CrossRef]
  22. Ko, J.-H.; Gorny, M.; Majchrowski, A.; Roleder, K.; Bussmann-Holder, A. Mode softening, precursor phenomena, and intermediate phases in PbZrO3. Phys. Rev. B 2013, 87. [Google Scholar] [CrossRef]
  23. Bussmann-Holder, A.; Beige, H.; Völkel, G. Precursor effects, broken local symmetry, and coexistence of order-disorder and displacive dynamics in perovskite ferroelectrics. Phys. Rev. B 2009, 79. [Google Scholar] [CrossRef]
Figure 1. As-grown PLN-0.07PT crystal using the top-seeded solid solution growth (TSSG) method.
Figure 1. As-grown PLN-0.07PT crystal using the top-seeded solid solution growth (TSSG) method.
Crystals 08 00050 g001
Figure 2. X-ray powder diffraction patterns of the crashed PLN-0.07PT crystal. The insert shows the (200)C peak detail reflections which were fitted by the Gaussian functions.
Figure 2. X-ray powder diffraction patterns of the crashed PLN-0.07PT crystal. The insert shows the (200)C peak detail reflections which were fitted by the Gaussian functions.
Crystals 08 00050 g002
Figure 3. (a) Electron diffraction patterns of PLN-0.07PT single crystals exhibiting super-lattice reflections and (b) micro-domains configurations under TEM.
Figure 3. (a) Electron diffraction patterns of PLN-0.07PT single crystals exhibiting super-lattice reflections and (b) micro-domains configurations under TEM.
Crystals 08 00050 g003
Figure 4. Micrographs of [111]-oriented plates of PLN-0.07PT crystal under a crossed polarized light microscope (shown by arrows) at room temperature.
Figure 4. Micrographs of [111]-oriented plates of PLN-0.07PT crystal under a crossed polarized light microscope (shown by arrows) at room temperature.
Crystals 08 00050 g004
Figure 5. Temperature dependence of [111]-oriented plates of PLN-0.07PT crystal under a crossed polarized light microscope.
Figure 5. Temperature dependence of [111]-oriented plates of PLN-0.07PT crystal under a crossed polarized light microscope.
Crystals 08 00050 g005
Figure 6. The temperature dependence of the dielectric constant (ε′) and the loss tangent (tanδ) at various frequencies for unpoled [111]-oriented plates.
Figure 6. The temperature dependence of the dielectric constant (ε′) and the loss tangent (tanδ) at various frequencies for unpoled [111]-oriented plates.
Crystals 08 00050 g006
Figure 7. Polarization versus electric field (P-E) loops for the [111]-oriented plates of PLN-0.07PT crystal at various temperatures (f = 2 Hz).
Figure 7. Polarization versus electric field (P-E) loops for the [111]-oriented plates of PLN-0.07PT crystal at various temperatures (f = 2 Hz).
Crystals 08 00050 g007
Figure 8. The fitting of the Curie–Weiss law of PLN-0.07PT single crystals.
Figure 8. The fitting of the Curie–Weiss law of PLN-0.07PT single crystals.
Crystals 08 00050 g008
Figure 9. Temperature dependence of powder X-ray diffraction patterns of the crashed PLN-0.07PT crystal. The insert shows the (200) reflections.
Figure 9. Temperature dependence of powder X-ray diffraction patterns of the crashed PLN-0.07PT crystal. The insert shows the (200) reflections.
Crystals 08 00050 g009

Share and Cite

MDPI and ACS Style

Liu, Y.; Yang, X.; He, C.; Li, X.; Wang, Z.; Long, X. Super-Lattice Structure and Phase Evolution of Pb(Lu0.5Nb0.5)O3-PbTiO3 Single Crystal with Low PbTiO3. Crystals 2018, 8, 50. https://doi.org/10.3390/cryst8020050

AMA Style

Liu Y, Yang X, He C, Li X, Wang Z, Long X. Super-Lattice Structure and Phase Evolution of Pb(Lu0.5Nb0.5)O3-PbTiO3 Single Crystal with Low PbTiO3. Crystals. 2018; 8(2):50. https://doi.org/10.3390/cryst8020050

Chicago/Turabian Style

Liu, Ying, Xiaoming Yang, Chao He, Xiuzhi Li, Zujian Wang, and Xifa Long. 2018. "Super-Lattice Structure and Phase Evolution of Pb(Lu0.5Nb0.5)O3-PbTiO3 Single Crystal with Low PbTiO3" Crystals 8, no. 2: 50. https://doi.org/10.3390/cryst8020050

APA Style

Liu, Y., Yang, X., He, C., Li, X., Wang, Z., & Long, X. (2018). Super-Lattice Structure and Phase Evolution of Pb(Lu0.5Nb0.5)O3-PbTiO3 Single Crystal with Low PbTiO3. Crystals, 8(2), 50. https://doi.org/10.3390/cryst8020050

Note that from the first issue of 2016, this journal uses article numbers instead of page numbers. See further details here.

Article Metrics

Back to TopTop