The Mn-Doped UiO-66 Nano-Catalysts for Low-Temperature CO-SCR
Abstract
1. Introduction
2. Experiment
2.1. Catalyst Preparation
2.1.1. UiO-66 and M1/6-UiO-66
2.1.2. Mnx-UiO-66
2.2. Catalyst Characterization
2.3. Catalytic Performance Test
3. Results and Discussion
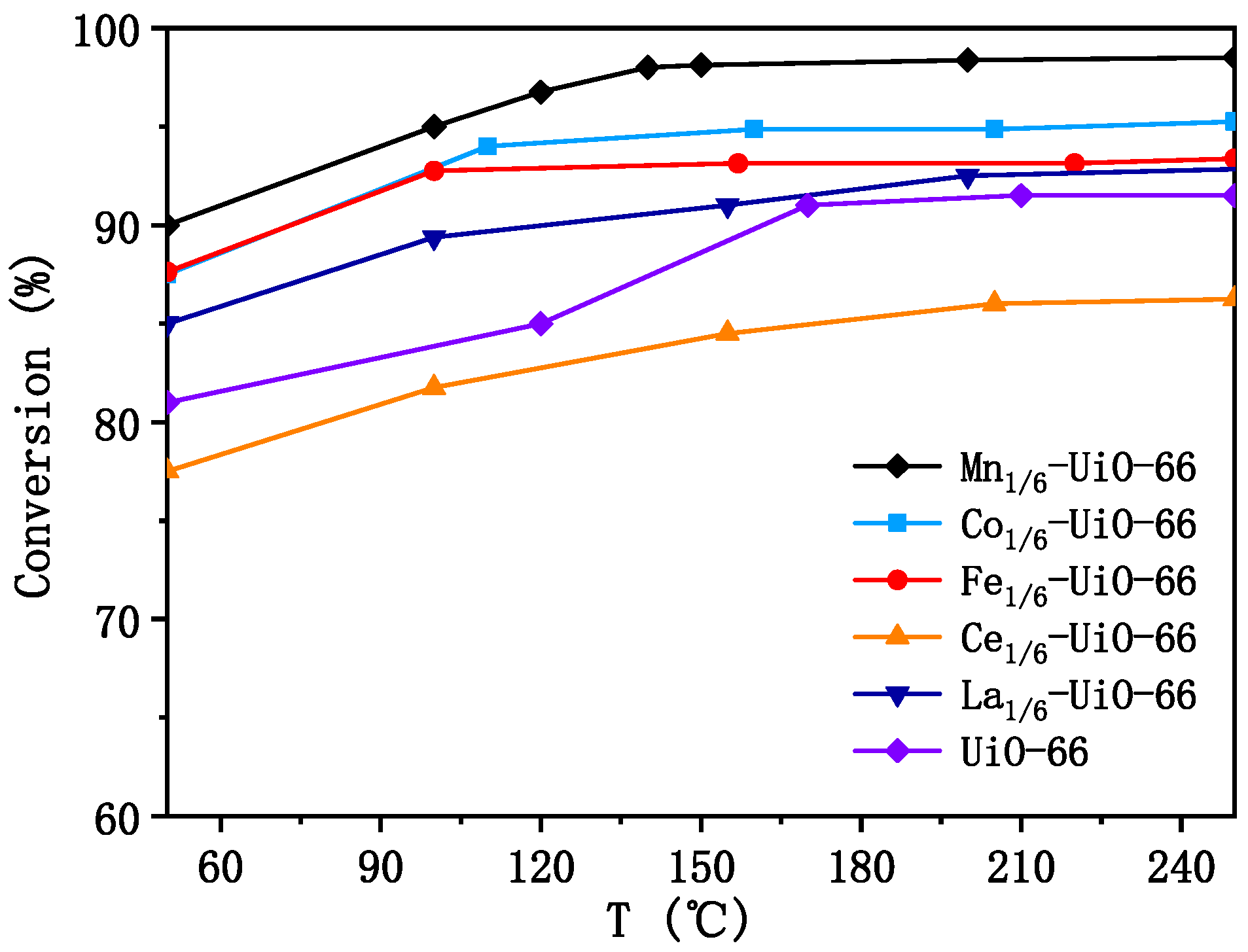
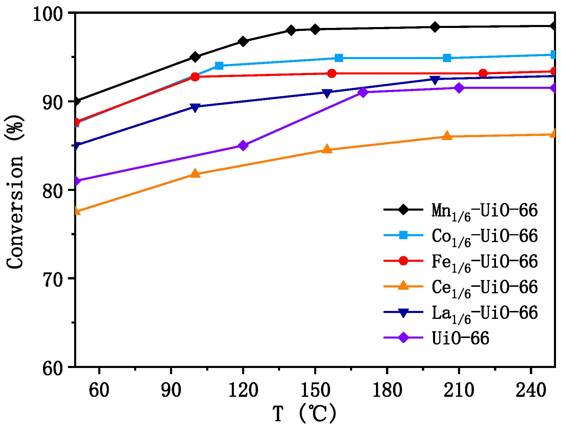
3.1. Catalyst Characterization and Analysis of M1/6-UiO-66
3.2. Catalyst Characterization and Analysis of Mnx-UiO-66
3.3. Catalytic Mechanism
4. Conclusions
Author Contributions
Funding
Data Availability Statement
Conflicts of Interest
References
- Zhang, X.; Shen, B.; Zhang, X. A comparative study of manganese–cerium doped metal–organic frameworks prepared via impregnation and in situ methods in the selective catalytic reduction of NO. RSC Adv. 2017, 7, 5928–5936. [Google Scholar] [CrossRef]
- Gao, X.; Jiang, Y.; Zhong, Y. The activity and characterization of CeO2-TiO2 catalysts prepared by the sol-gel method for selective catalytic reduction of NO with NH3. J. Hazard. Mater. 2010, 174, 734–739. [Google Scholar] [CrossRef]
- Wang, L.; Zhang, R.; Li, H.; He, H.; Wang, H.; Huang, L. MOFs-based coating derived Me-ZIF-67@CuOx materials as low-temperature NO-CO catalysts. Chem. Eng. J. 2020, 381, 122757. [Google Scholar] [CrossRef]
- Zhang, L.; Huang, L.; Qin, Y.; Chen, B. Structure and denitration performance of carbon-based catalysts prepared from Cu-BTC precursor. Trans. Nonferrous Met. Soc. China 2018, 28, 980–988. [Google Scholar] [CrossRef]
- Qin, Y.H.; Huang, L.; Zheng, J.X.; Ren, Q. Low-temperature selective catalytic reduction of NO with CO over A-Cu-BTC and AOx/CuOy/C catalyst. Inorg. Chem. Commun. 2016, 72, 78. [Google Scholar] [CrossRef]
- Cavka, J.H.; Jakobsen, S.; Olsbye, U.; Guillou, N.; Lamberti, C.; Bordiga, S. A New Zirconium Inorganic Building Brick Forming Metal Organic Frameworks with Exceptional Stability. J. Am. Chem. Soc. 2008, 130, 13850–13851. [Google Scholar] [CrossRef]
- Winarta, J.; Shan, B.; Mcintyre, S.M.; Ye, L.; Wang, C.; Liu, J.; Mu, B. A Decade of UiO-66 Research: A Historic Review of Dynamic Structure, Synthesis Mechanisms, and Characterization Techniques of an Archetypal Metal–Organic Framework. Cryst. Growth Des. 2020, 20, 1347–1362. [Google Scholar] [CrossRef]
- He, H.; Li, R.; Yang, Z.; Chai, L.; Jin, L.; Alhassan, S.I. Preparation of MOFs and MOFs derived materials and their catalytic application in air pollution: A review. Catal. Today 2021, 375, 10–29. [Google Scholar] [CrossRef]
- Schaate, A.; Roy, P.; Godt, A.; Lippke, J.; Waltz, F.; Wiebcke, M. Modulated Synthesis of Zr-Based Metal-Organic Frameworks: From Nano to Single Crystals. Chem.-Eur. J. 2011, 17, 6643–6651. [Google Scholar] [CrossRef]
- Qiu, J.; Feng, Y.; Zhang, X.; Jia, M.; Yao, J. Acid-promoted synthesis of UiO-66 for highly selective adsorption of anionic dyes: Adsorption performance and mechanisms. J. Colloid. Interf. Sci. 2019, 499, 151–158. [Google Scholar] [CrossRef]
- Fernández-Morales, J.M.; Lozano, L.A.; Castillejos-López, E.; Rodríguez-Ramos, I.; Guerrero-Ruiz, A.; Zamaro, J.M. Direct sulfation of a Zr-based metal-organic framework to attain strong acid catalysts. Micropor Mesopor Mat. 2019, 290, 109686. [Google Scholar] [CrossRef]
- Vermoortele, F.; Bueken, B.; Le Bars, G.; Van de Voorde, B.; Vandichel, M.; Houthoofd, K. Synthesis Modulation as a tool to Increase the Catalytic Activity of Metal-Organic Frameworks: The Unique Case of UiO-66(Zr). J. Am. Chem. Soc. 2013, 135, 11465. [Google Scholar] [CrossRef] [PubMed]
- Fang, Z.; Bueken, B.; De Vos, D.E.; Fischer, R.A. Defect-Engineered Metal-Organic Frameworks. Angew. Chem. Int. Edit. 2015, 54, 7234–7254. [Google Scholar] [CrossRef]
- Kozachuk, O.; Luz, I.; Xamena, F.X.L.I.; Noei, H.; Kauer, M.; Albada, H.B. Multifunctional, Defect-Engineered Metal-Organic Frameworks with Ruthenium Centers: Sorption and Catalytic Properties. Angew. Chem. Int. Edit. 2014, 53, 7058–7062. [Google Scholar] [CrossRef]
- Morris, R.E.; Ejka, J.Í. Exploiting chemically selective weakness in solids as a route to new porous materials. Nat. Chem. 2015, 7, 381–388. [Google Scholar] [CrossRef]
- Peterson, G.W.; Mahle, J.J.; Decoste, J.B.; Gordon, W.O.; Rossin, J.A. Extraordinary NO2 removal by the Metal-Organic Framework UiO-66-NH2. Angew. Chem. Int. Edit. 2016, 55, 6235–6238. [Google Scholar] [CrossRef]
- Zhang, M.; Huang, B.; Jiang, H.; Chen, Y. Metal-organic framework loaded manganese oxides as efficient catalysts for low-temperature selective catalytic reduction of NO with NH3. Front. Chem. Sci. Eng. 2017, 11, 594–602. [Google Scholar] [CrossRef]
- Yang, Z.; Cao, J.; Chen, Y.; Li, X.; Xiong, W.; Zhou, Y. Mn-doped zirconium metal-organic framework as an effective adsorbent for removal of tetracycline and Cr(VI) from aqueous solution. Micropor Mesopor Mat. 2019, 277, 277–285. [Google Scholar] [CrossRef]
- Huo, L.; Wang, L.; Li, J.; Pu, Y.; Xuan, K.; Qiao, C.; Yang, H. Cerium doped Zr-based metal-organic framework as catalyst for direct synthesis of dimethyl carbonate from CO2 and methanol. J. CO2 Util. 2023, 68, 102352. [Google Scholar] [CrossRef]
- Abou-Elyazed, A.S.; Sun, Y.; El-Nahas, A.M.; Abdel-Azeim, S.; Sharara, T.Z.; Yousif, A.M. Solvent-free synthesis and characterization of Ca2+-doped UiO-66 (Zr) as heterogeneous catalyst for esterification of oleic acid with methanol: A joint experimental and computational study. Mater. Today Sustain. 2022, 18, 100110. [Google Scholar] [CrossRef]
- Katz, M.J.; Brown, Z.J.; Colón, Y.J.; Siu, P.W.; Scheidt, K.A.; Snurr, R.Q.; Hupp, J.T.; Farha, O.K. A facile synthesis of UiO-66, UiO-67 and their derivatives. Chem. Commun. 2013, 49, 9449–9451. [Google Scholar] [CrossRef] [PubMed]
- Zeng, S.; Lyu, F.; Sun, L.; Zhan, Y.; Ma, F.X.; Lu, J.; Li, Y.Y. Lu UiO-66-NO2 as an Oxygen “Pump” for Enhancing Oxygen Reduction Reaction Performance. Chem. Mater. 2019, 31, 1646. [Google Scholar] [CrossRef]
- Qin, Y.H.; Huang, L.; Zhang, D.L.; Sun, L.G. Mixed-node A-Cu-BTC and porous carbon based oxides derived from A-Cu-BTC as low temperature NO-CO catalyst. Inorg. Chem. Commun. 2016, 66, 64–68. [Google Scholar] [CrossRef]
- Goda, M.N.; Said, E.A.A. Efficient green synthesis of n-amyl acetate in liquid phase over metal-organic framework catalysts. J. Mol. Struct. 2024, 1311, 138482. [Google Scholar] [CrossRef]
- Yousuf, M.R.; Johnson, E.M.; Maynes, A.J. Catalytic CO Oxidation by Cu Single Atoms on the UiO-66 Metal-Organic Framework: The Role of the Oxidation State. J. Phys. Chem. C Nanomater. Interfaces 2022, 126, 12507–12518. [Google Scholar] [CrossRef]
- Wang, J.; Schopfer, M.P.; Sarjeant, A.A.; Karlin, K.D. Heme-copper assembly mediated reductive coupling of nitrogen monoxide (*NO). J. Am. Chem. Soc. 2009, 131, 450–451. [Google Scholar] [CrossRef]












| Zr/M (Theoretical Atomic Ratio) | O | Zr | M | Zr/M (EDS) | Zr/M (ICP) |
|---|---|---|---|---|---|
| Zr/Ce = 6:1 | 89.4 | 10.4 | 0.2 | 52.0:1 | 5.6:1 |
| Zr/Co = 6:1 | 92.6 | 7.1 | 0.3 | 23.6:1 | 5.7:1 |
| Zr/Mn = 6:1 | 90.9 | 8.7 | 0.4 | 21.2:1 | 5.9:1 |
| Zr/Fe = 6:1 | 90.5 | 9.0 | 0.5 | 21.9:1 | 5.7:1 |
| Zr/La = 6:1 | 90.4 | 9.1 | 0.4 | 22.8:1 | 5.8:1 |
| Zr/Mn (Theoretical Atomic Ratio) | Zr % | Mn % | Zr/Mn (Actual Atomic Ratio) |
|---|---|---|---|
| 3:1 | 95.2 | 4.8 | 19.8:1 |
| 6:1 | 95.5 | 4.5 | 21.2:1 |
| 12:1 | 97.2 | 2.8 | 34.7:1 |
| Sample | Zr % | C % | O % | Mn % | Oβ/Oα | ||
|---|---|---|---|---|---|---|---|
| Oα′ | Oα | Oβ | |||||
| UiO-66 | 7.53 | 56.3 | 8.4 | 17.2 | 10.6 | / | 0.62 |
| Mn1/6-UiO-66 | 6.6 | 58.7 | 9.9 | 12.5 | 11.6 | 0.3 | 0.93 |
| Sample | SBET (m2/g) | Vtotal (cm3/g) | DAverage Pore Size (nm) |
|---|---|---|---|
| UiO-66 | 782.43 | 0.42 | 2.164 |
| Ce1/6-UiO-66 | 750.02 | 0.37 | 2.011 |
| La1/6-UiO-66 | 788.57 | 0.42 | 2.180 |
| Fe1/6-UiO-66 | 794.36 | 0.42 | 2.231 |
| Co1/6-UiO-66 | 801.28 | 0.43 | 2.284 |
| Mn1/6-UiO-66 | 816.70 | 0.47 | 2.330 |
Disclaimer/Publisher’s Note: The statements, opinions and data contained in all publications are solely those of the individual author(s) and contributor(s) and not of MDPI and/or the editor(s). MDPI and/or the editor(s) disclaim responsibility for any injury to people or property resulting from any ideas, methods, instructions or products referred to in the content. |
© 2025 by the authors. Licensee MDPI, Basel, Switzerland. This article is an open access article distributed under the terms and conditions of the Creative Commons Attribution (CC BY) license (https://creativecommons.org/licenses/by/4.0/).
Share and Cite
Ma, Y.; Li, R.; Gao, L.; He, H. The Mn-Doped UiO-66 Nano-Catalysts for Low-Temperature CO-SCR. Crystals 2025, 15, 231. https://doi.org/10.3390/cryst15030231
Ma Y, Li R, Gao L, He H. The Mn-Doped UiO-66 Nano-Catalysts for Low-Temperature CO-SCR. Crystals. 2025; 15(3):231. https://doi.org/10.3390/cryst15030231
Chicago/Turabian StyleMa, Ying, Ren Li, Lingyu Gao, and Hanbing He. 2025. "The Mn-Doped UiO-66 Nano-Catalysts for Low-Temperature CO-SCR" Crystals 15, no. 3: 231. https://doi.org/10.3390/cryst15030231
APA StyleMa, Y., Li, R., Gao, L., & He, H. (2025). The Mn-Doped UiO-66 Nano-Catalysts for Low-Temperature CO-SCR. Crystals, 15(3), 231. https://doi.org/10.3390/cryst15030231
