The Annealing Kinetics of Defects in CVD Diamond Irradiated by Xe Ions
Abstract
1. Introduction
2. Materials and Experimental Methods
3. Theoretical
3.1. Analysis of Kinetics
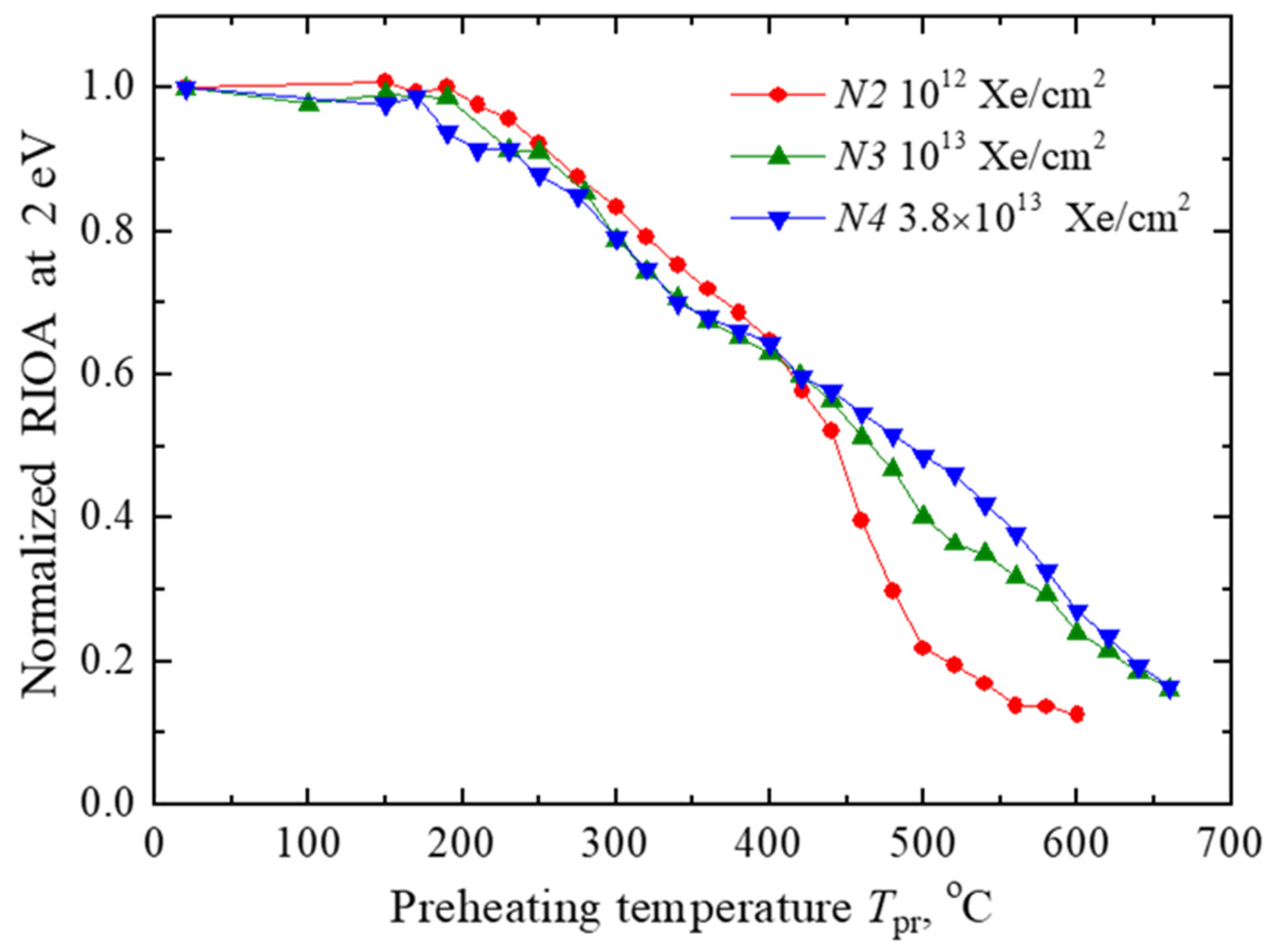
3.2. Results
4. Conclusions
Author Contributions
Funding
Data Availability Statement
Acknowledgments
Conflicts of Interest
References
- Pintsuk, G.; Aiello, G.; Dudarev, S.L.; Gorley, M.; Henry, J.; Richou, M.; Vila, R. Materials for in-vessel components. Fusion Energy Des. 2022, 174, 112994. [Google Scholar] [CrossRef]
- Delgano, D.; Vila, R. Hydrogen species in diamond: Molecular dynamics simulation in bulk diamond for fusion applications. J. Nucl. Mat. 2014, 452, 218–222. [Google Scholar] [CrossRef]
- Lushchik, A.; Dolgov, S.; Feldbach, E.; Pareja, R.; Popov, A.; Shablonin, E.; Seeman, V. Creation and thermal annealing of structural defects in neutron-irradiated MgAl2O4 single crystals. Nucl. Instr. Meth. B 2018, 435, 31–37. [Google Scholar] [CrossRef]
- Aiello, G.; Scherer, T.; Avramidis, K.; Casal, N.; Franke, T.; Gagliardi, M.; Woerner, E. Diamond window technology for electron cyclotron heating and current drive: State of the art. Fusion Sci. Technol. 2019, 75, 719–729. [Google Scholar] [CrossRef]
- Dovesi, R.; Erba, A.; Orlando, R.; Zicovich-Wilson, C.M.; Civalleri, B.; Maschio, L.; Rérat, M.; Casassa, S.; Baima, J.; Salustro, S.; et al. Quantum-mechanical condensed matter simulations with CRYSTAL. Wiley Interdiscip. Rev. Comput. Mol. Sci. 2018, 8, e1360. [Google Scholar] [CrossRef]
- Santos, N.; Figueira, F.; Neto, M.; Paz, F.A.A.; Braga, S.; Mendes, J. Diamonds for Life: Developments in Sensors for Biomolecules. Appl. Sci. 2022, 12, 3000. [Google Scholar] [CrossRef]
- Field, J.E. The Properties of Natural and Synthetic Diamond; Academic Press: London, UK, 1992. [Google Scholar]
- Szunerits, S.; Nebel, C.E.; Hamers, R.J. Surface functionalization and biological applications of CVD diamond. MRS Bull. 2014, 39, 517–524. [Google Scholar] [CrossRef]
- Raymakers, J.; Haenen, K.; Maes, W. Diamond surface functionalization: From gemstone to photoelectrochemical applications. J. Mater. Chem. C 2019, 7, 10134–10165. [Google Scholar] [CrossRef]
- Nasladek, M.; Pobedinskas, P. Recent Advances in Diamond Science and Technology: From Quantum Fundamentals to Applications. Phys. Stat. Sol. A 2023, 220, 2300051. [Google Scholar]
- Pan, L.S.; Kania, D.R. Diamond: Electronic Properties and Applications; Springer Science & Business Media: Berlin, Germany, 2013. [Google Scholar]
- Zaitsev, A.M. Optical Properties of Diamond. A Data Handbook; Springer: Berlin/Heidelberg, Germany, 2001. [Google Scholar]
- Available online: https://qt.eu (accessed on 7 June 2024).
- Available online: https://digital-strategy.ec.europa.eu/en (accessed on 7 June 2024).
- Zinkle, S.J.; Kinoshita, C. Defect production in ceramics. J. Nucl. Mater. 1997, 251, 200–217. [Google Scholar] [CrossRef]
- Nordlund, K.; Zinkle, S.J.; Sand, A.E.; Granberg, F.; Averback, R.S.; Stoller, R.E.; Suzudo, T.; Malerba, L.; Banhart, F.; Weber, W.J.; et al. Primary radiation damage: A review of current understanding and models. J. Nucl. Mater. 2018, 512, 450–479. [Google Scholar] [CrossRef]
- Itoh, N.; Duffy, D.M.; Khakshouri, S.; Stoneham, A.M. Making tracks: Electronic excitation roles in forming swift heavy ion tracks. J. Phys. Condens. Matter 2009, 21, 474205. [Google Scholar] [CrossRef]
- Kuzovkov, V.N.; Kotomin, E.A.; Lushchik, A.; Popov, A.I.; Shablonin, E. The annealing kinetics of the F-type defects in MgAl2O4 spinel single crystals irradiated by swift heavy ions. Opt. Mater. 2024, 147, 114733. [Google Scholar] [CrossRef]
- Lushchik, A.; Feldbach, E.; Kotomin, E.A.; Kudryavtseva, I.; Kuzovkov, V.N.; Popov, A.I.; Seeman, V.; Shablonin, E. Distinctive features of diffusion-controlled radiation defect recombination in stoichiometric magnesium aluminate spinel crystals and transparent polycrystalline ceramics. Sci. Rep. 2020, 10, 7810. [Google Scholar] [CrossRef]
- Baubekova, G.; Akilbekov, A.; Kotomin, E.A.; Kuzovkov, V.N.; Popov, A.I.; Shablonin, E.; Lushchik, A. Thermal annealing of radiation damage caused by swift 132Xe ions in MgO single crystals. Nucl. Instrum. Meth. B 2020, 462, 163–168. [Google Scholar]
- Iakoubovskii, K.; Kiflawi, I.; Johnston, K.; Collins, A.; Davies, G.; Stesmans, A. Annealing of vacancies and interstitials in diamond. Phys. B 2003, 340, 67–75. [Google Scholar] [CrossRef]
- Green, B.L.; Collins, A.T.; Breeding, C.M. Diamond spectroscopy, defect centers, color, and treatment. Rev. Mineral. Geochem. 2022, 88, 637–688. [Google Scholar] [CrossRef]
- Collins, A.T. Optical centers produced in diamond by radiation damage. N. Diam. Front. C Tec. 2007, 17, 47–61. [Google Scholar]
- Ziegler, J.F.; Ziegler, M.D.; Biersack, J.P. SRIM—The stopping and range of ions in matter. Nucl. Instrum. Meth. B 2010, 268, 1818–1823. [Google Scholar] [CrossRef]
- Dean, P.J. Bound excitons and donor-acceptor pairs in natural and synthetic diamond. Phys. Rev. 1965, 139, A588–A602. [Google Scholar] [CrossRef]
- Collins, A.T.; Kamo, M.; Sato, Y. Intrinsic and extrinsic cathodoluminescence from single-crystal diamonds grown by chemical vapour deposition. J. Phys. Cond. Matter. 1989, 1, 4029–4033. [Google Scholar] [CrossRef]
- Takeuchi, D.; Watanabe, H.; Yamanaka, S.; Okushi, H.; Sawada, H.; Ichinose, H.; Sekiguchi, T.; Kajimura, K. Origin of band-A emission in diamond thin films. Phys. Rev. B 2001, 63, 245328. [Google Scholar] [CrossRef]
- Collins, A.T.; Connor, A.; Ly, C.-H.; Shareef, A.; Spear, P.M. High-temperature annealing of optical centers in type-I diamond. J. Appl. Phys. 2005, 97, 083517. [Google Scholar] [CrossRef]
- Nadala, L.; Grambole, D.; Wildner, M.; Gigler, A.M.; Hainschwang, T.; Zaitsev, A.M.; Harris, J.W.; Milledge, J.; Schulze, D.J.; Hofmeister, W.; et al. Radio-colouration of diamond: A spectroscopic study. Contrib. Miner. Pet. 2013, 165, 843–861. [Google Scholar] [CrossRef]
- Smoluchowski, M.V. Versuch einer mathematischen Theorie der Koagulationskinetik kolloider Lösungen. Z. Phys. Chem. B 1917, 92, 129–168. [Google Scholar] [CrossRef]
- Kotomin, E.A.; Kuzovkov, V.N. Phenomenological kinetics of Frenkel defect recombination and accumulation in ionic solids. Rep. Prog. Phys. 1992, 55, 2079. [Google Scholar] [CrossRef]
- Kotomin, E.A.; Kuzovkov, V.N. Modern Aspects of Diffusion-Controlled Reactions; Series of Comprehensive Chemical Kinetics; Elsevier: Amsterdam, The Netherlands, 1996; Volume 34. [Google Scholar]
- Kotomin, E.; Kuzovkov, V.; Popov, A.I.; Maier, J.; Vila, R. Anomalous kinetics of diffusion-controlled defect annealing in irradiated ionic solids. J. Phys. Chem. A 2018, 122, 28–32. [Google Scholar] [CrossRef] [PubMed]
- Koga, K.T.; Walter, M.J.; Nakamura, E.; Kobayashi, K. Carbon self-diffusion in natural diamond. Phys. Rev. B 2005, 72, 024108. [Google Scholar] [CrossRef]
- Meyer, W.; Neldel, H. Concerning the relationship between the energy constant epsilon and the quantum constant alpha in the conduction-temperature formula in oxydising semi conductors. Phys. Z. 1937, 38, 1014–1019. [Google Scholar]
- Jones, A.G. Compensation of the Meyer-Neldel Compensation Law for H diffusion in minerals. Geochem. Geophys. Geosyst. 2014, 15, 2616–2631. [Google Scholar] [CrossRef]
- Lushchik, A.; Kuzovkov, V.; Popov, A.I.; Prieditis, G.; Seeman, V.; Shablonin, E.; Vasil’chenko, E.; Kotomin, E.A. Evidence for the formation of two types of oxygen interstitials in neutron-irradiated α-Al2O3 single crystals. Sci. Rep. 2021, 11, 20909. [Google Scholar] [CrossRef] [PubMed]
- Mehta, N.; Singh, K.; Saxena, N.S. Correlation between pre-exponential factor and activation energy of non-isothermal crystallization for virgin and irradiated Fe78B13Si9 metallic glass. Phys. B 2009, 404, 2184. [Google Scholar] [CrossRef]
- Dyre, J.C. A phenomenological model for the Meyer−Neldel rule. J. Phys. C Solid State Phys. 1986, 19, 5655–5664. [Google Scholar] [CrossRef]
- Mehta, N.; Singh, K.; Saxena, N.S. Effect of slow neutron radiation on the pre-exponential factor of thermally activated crystallization in Se96In4 chalcogenide glass. J. Phys. D Appl. Phys. 2008, 41, 135406. [Google Scholar] [CrossRef]
- Jones, R.; Goss, J.P.; Pinto, H.; Palmer, D.W. Diffusion of nitrogen in diamond and formation of A-centers. Diam. Relat. Mater. 2015, 53, 35–39. [Google Scholar] [CrossRef]
- Colasuonno, F.; Centile, F.; Mackrodt, W.; Ferrari, A.; Platonenko, A.; Dovesi, R. Interstitial defects in diamond. J. Chem. Phys. 2020, 153, 024119. [Google Scholar] [CrossRef]
- Frenkel, J. Kinetic Theory of Liquids; London, Oxford University Press: Oxford, UK, 1946. [Google Scholar]









| Diamond Nr. | Band (eV) | Fluence, Xe/cm2 | Ea (eV) | Pre-Factor X (K−1) |
|---|---|---|---|---|
| 2 | 2.0 | 1012 | 0.33 | 1.2 × 10−1 |
| 3 | 2.0 | 1013 | 0.20 | 8.7 × 10−3 |
| 4 | 2.0 | 3.8 × 1013 | 0.15 | 2.1 × 10−3 |
| 2 | 4.07 | 1012 | 0.27 | 5.1 × 10−2 |
| 3 | 4.07 | 1013 | 0.20 | 1.6 × 10−3 |
Disclaimer/Publisher’s Note: The statements, opinions and data contained in all publications are solely those of the individual author(s) and contributor(s) and not of MDPI and/or the editor(s). MDPI and/or the editor(s) disclaim responsibility for any injury to people or property resulting from any ideas, methods, instructions or products referred to in the content. |
© 2024 by the authors. Licensee MDPI, Basel, Switzerland. This article is an open access article distributed under the terms and conditions of the Creative Commons Attribution (CC BY) license (https://creativecommons.org/licenses/by/4.0/).
Share and Cite
Kotomin, E.A.; Kuzovkov, V.N.; Lushchik, A.; Popov, A.I.; Shablonin, E.; Scherer, T.; Vasil’chenko, E. The Annealing Kinetics of Defects in CVD Diamond Irradiated by Xe Ions. Crystals 2024, 14, 546. https://doi.org/10.3390/cryst14060546
Kotomin EA, Kuzovkov VN, Lushchik A, Popov AI, Shablonin E, Scherer T, Vasil’chenko E. The Annealing Kinetics of Defects in CVD Diamond Irradiated by Xe Ions. Crystals. 2024; 14(6):546. https://doi.org/10.3390/cryst14060546
Chicago/Turabian StyleKotomin, Eugene A., Vladimir N. Kuzovkov, Aleksandr Lushchik, Anatoli I. Popov, Evgeni Shablonin, Theo Scherer, and Evgeni Vasil’chenko. 2024. "The Annealing Kinetics of Defects in CVD Diamond Irradiated by Xe Ions" Crystals 14, no. 6: 546. https://doi.org/10.3390/cryst14060546
APA StyleKotomin, E. A., Kuzovkov, V. N., Lushchik, A., Popov, A. I., Shablonin, E., Scherer, T., & Vasil’chenko, E. (2024). The Annealing Kinetics of Defects in CVD Diamond Irradiated by Xe Ions. Crystals, 14(6), 546. https://doi.org/10.3390/cryst14060546

