Next Article in Journal
Friedel Oscillations and He-He Interactions in Mo
Next Article in Special Issue
Effects of Temperature and Secondary Orientations on the Deformation Behavior of Single-Crystal Superalloys
Previous Article in Journal
Doped, Two-Dimensional, Semiconducting Transition Metal Dichalcogenides in Low-Concentration Regime
Previous Article in Special Issue
Simulation Analysis of Three-Point Bending Fracture Process of Yellow River Ice
 
 
Font Type:
Arial Georgia Verdana
Font Size:
Aa Aa Aa
Line Spacing:
Column Width:
Background:
Article

Multiscale Simulation Study on the Spallation Characteristics of Ductile Metal Ta under High Strain Rate Impact

1
School of Urban Construction, Chengdu Polytechnic, Chengdu 610041, China
2
Sichuan Thermoelectric Materials and Devices Application Engineering Research Center, Chengdu 610041, China
3
Luzhou Key Laboratory of Intelligent Construction and Low-Carbon Technology, Luzhou 646000, China
4
School of Civil Engineering, Changsha University of Science and Technology, Changsha 410114, China
5
College of Civil Engineering, Lanzhou Jiaotong University, Lanzhou 730070, China
*
Authors to whom correspondence should be addressed.
Crystals 2024, 14(10), 833; https://doi.org/10.3390/cryst14100833
Submission received: 23 August 2024 / Revised: 21 September 2024 / Accepted: 23 September 2024 / Published: 25 September 2024
(This article belongs to the Special Issue Microstructure and Mechanical Behaviour of Structural Materials)

Abstract

This work employs a multiscale simulation framework to systematically explore the spallation behavior of ductile tantalum (Ta) subjected to high strain rate impacts. The approach integrates macroscopic simulations, utilizing both the Lagrangian mesh and Smoothed Particle Hydrodynamics (SPH) methods, with microscopic molecular dynamics (MD) simulations to dissect the dynamic failure processes of tantalum. The macroscopic simulations, validated against experimental data, demonstrate the effectiveness of the SPH method in accurately capturing the spallation process. An exponential correlation between spallation strength and tensile strain rate has been established. An in-depth analysis of the free surface velocity profile indicates that the pullback signal is associated with microvoid nucleation, where the velocity drop signifies the initiation conditions for microvoid development. Additionally, the rebound rate following the pullback signal reflects the progression of damage within the spallation region. By integrating results across macro- and microscales, this work offers comprehensive insights into the complex spallation behavior of ductile tantalum under extreme conditions, advancing the understanding of its failure mechanisms at high strain rates.

1. Introduction

The dynamic failure of ductile metals under high strain rate impact is a critical issue in impact dynamics. With ongoing advancements in fields such as national defense, automotive engineering, and aerospace, gaining a deeper understanding of the dynamic damage mechanisms of ductile metals, particularly under high strain rate conditions, has become increasingly important [1]. Spallation is a prevalent form of dynamic damage in these metals, and the free surface velocity profiles obtained from spallation experiments are crucial for understanding the underlying failure processes [2,3].
Among the various methods used to study spallation in ductile metals, the Planar Plate Impact (PPI) experiment is particularly significant. The propagation of wave systems during such experiments is illustrated in Figure 1a. At time t0, the flyer impacts the specimen at a certain velocity, generating shock waves that propagate through both the flyer and the specimen, as illustrated in Figure 1b. When the shock waves reach the free surface of the specimen and the rear surface of the flyer, they reflect back as rarefaction waves. Since the flyer is thinner than the specimen, the two rarefaction waves meet within the specimen, creating a tensile region. If the tensile stress exceeds the dynamic strength limit of the material, spallation phenomena occur. Previous studies have established that spallation in ductile metals is a complex dynamic process driven by the nucleation, growth, and coalescence of microdamages, culminating in the formation of a spallation plane [3].
Despite the valuable insights provided by experimental studies, they inherently lack the ability to directly measure the temporal evolution of internal physical quantities in ductile metals [4,5,6]. As a result, researchers often rely on indirect data, such as free surface velocity profiles, to infer the internal damage evolution in materials.
With the development and application of computational techniques, numerical simulations have become a powerful complement to experimental research. Currently, two primary numerical methods are employed in impact mechanics: mesh-based and meshless methods. Among the meshless methods, Smoothed Particle Hydrodynamics (SPH) has gained widespread acceptance [7]. These numerical simulations have shown strong agreement with experimental results, offering greater flexibility in loading conditions, faster computations, and intuitive insights into the macroscopic dynamic failure of materials [8,9]. However, their accuracy depends on factors such as the equation of state, strength models, and failure criteria used. Moreover, investigating spallation mechanisms at the microscopic scale remains limited due to the influence of element or particle scales.
At the microscopic scale, molecular dynamics (MD) simulations have become increasingly prominent as a method for studying material properties [10,11,12]. MD simulations offer a detailed perspective on the microscopic mechanisms underlying dynamic damage, shedding light on the stress and damage progression within materials. However, due to computational limitations, it is not yet feasible to fully replicate spallation phenomena at larger scales.
The typical free surface velocity profile shown in Figure 1b provides a wealth of critical information about the macroscopic response of ductile metals to dynamic damage, including loading stress amplitude, tensile strain rate, spallation strength, and spallation plane thickness [2,13]. However, the spallation process in ductile metals is highly complex, involving the dynamic evolution of internal damage over both time and space. Understanding the relationship between macroscopic response and microscopic damage development remains challenging, leading to debates over the interpretation of specific features in free surface velocity profiles.
Most current research focuses on either simulating spallation phenomena or analyzing microscopic damage evolution at a single scale [12,14,15], with few studies addressing the characteristics of free surface velocity profiles from a multiscale perspective. This paper aims to bridge this gap by investigating the spallation characteristics of tantalum, a ductile metal, under high strain rate impacts through multiscale simulation. By integrating simulation results from both macroscopic and microscopic scales, this study provides a comprehensive analysis of the spallation characteristics of ductile tantalum, revealing the damage evolution laws and physical implications embedded in the typical features of the free surface velocity profile.

2. Compositional Method and Models

This study leverages both macroscale numerical simulations and microscale molecular dynamics (MD) simulations, enabling a comprehensive multiscale analysis. To facilitate comparison and validation with experimental data, the full-scale macroscopic model was established based on the planar plate impact experiment [16]. The free surface velocity profile was obtained by extracting data from the central point of the sample’s free surface, as illustrated in Figure 2a. At the microscopic scale, the MD model concentrated on the tensile area in the sample’s center, as shown in Figure 2b.

2.1. Macroscale Numerical Simulation

2.1.1. Equation of State and Material Constitutive Model

The Mie–Grüneisen equation of state is a prevalent model for characterizing the dynamic response of metals under shock conditions, describing the interplay between pressure, density, and internal energy. [17].
The Mie–Grüneisen equation of state is expressed as follows:
p = ρ 0 c 0 2 μ 1 + μ 1 S 1 1 μ + γ ρ 0 e
μ = ρ ρ 0 1
where ρ is the material density after shock, ρ 0 is the initial material density, S 1 is a material constant, γ is the Grüneisen coefficient, and e is the specific internal energy.
The parameters used for the Mie–Grüneisen equation of state in this study are listed in Table 1 [18].
To model the dynamic failure behavior of ductile metals under intense dynamic loading, three established constitutive models were employed in this study: the Johnson–Cook (JC) [19], Steinberg–Cochran–Guinan (SCG) [20], and Zerilli–Armstrong (ZA) models [21].
(1)
Johnson–Cook (JC) Model
The Johnson–Cook (JC) model is extensively employed due to its capacity to represent strain rate hardening, strain hardening, and thermal softening phenomena. It is formulated as follows:
σ = A + B ε n 1 + C ln ε ˙ ε 0 ˙ 1 T * m
T * = T T r T m T r
Here, A, B, C, n, and m represent material constants, Tr denotes the reference temperature, Tm is the melting temperature, and ε 0 ˙ is the reference strain rate. The parameters for the Johnson–Cook model are listed in Table 2 [22].
(2)
Zerilli–Armstrong (ZA) Model
The Zerilli–Armstrong (ZA) model, grounded in thermal activation theory and dislocation dynamics, considers the influence of temperature, strain rate, and grain size on material strength. It is defined as follows:
σ = C 0 + k 1 λ 1 / 2 + C 2 exp C 3 T + C 4 T ln ε ˙ + C 5 ε n
where C0, k1, C2, C3, C4, C5 are material constants, T is the absolute temperature, ε is the plastic strain, and λ is the grain size. The parameters for the ZA model are listed in Table 3 [21].
(3)
Steinberg–Cochran–Guinan (SCG) Model
The SCG model incorporates the influence of hydrostatic pressure on shear modulus and yield strength, as well as thermal softening effects [20]. The yield strength Y and shear modulus G are defined as follows:
G = G 0 1 + G p G 0 p η 1 / 3 + G T G 0 ( T 300 )
Y = Y 0 1 + β ε p n G G 0
where η is the compression ratio, εp is the equivalent plastic strain, T is the material temperature, p is the pressure, G0 and Y0 are the initial shear modulus and yield strength, respectively (at T = 300 K, p = 0, ϵ = 0), and   G p , G T , β, n are material constants. The yield strength Y is also subject to the following condition:
Y 0 1 + β ε p n Y m a x
where Ymax is the maximum yield strength. The SCG model parameters are presented in Table 4 [20].

2.1.2. Spallation Model

Grady [23], based on fracture mechanics theory, proposed an energy balance fragmentation model for spallation, relating the spallation strength ps to the average size of spall fragments and the strain rate. For ductile metals, the spallation strength varies with the impact loading process and is expressed as follows:
p s = 2 ρ c 0 2 Y ε c 1 / 2
where ρ is the material density, Y is the yield strength, c0 is the material sound speed, and εc is the critical failure strain, generally taken as 0.15 for metals [23].

2.2. Spallation Characters Analysis

The spallation strength is a critical indicator of a material’s performance under intense dynamic loading. Novikov’s acoustic approximation method was employed to calculate the spallation strength using the following formula [24]:
σ s p a l l = 1 2 ρ 0 c b u s
Here, ρ0 denotes the initial material density, cb represents the initial bulk sound speed, and Δus is defined as the difference between the peak free surface velocity and the velocity at the first pullback.
The average tensile strain rate in the spallation zone can be determined using the following equation [25]:
ε ˙ s = u s t s 1 2 c b
where Δus and Δts denote the velocity and time differences between the maximum value and the first minimum value on the free surface velocity profile, respectively.
The velocity rebound rate, defined as the slope between the minimum and subsequent peak velocities, is calculated as follows:
ε ˙ r = u r t r 1 2 c b
where Δur and Δtr represent the velocity and time differences between the initial minimum value and the subsequent peak value on the free surface.
The thickness of the spallation layer h can be computed with the following equation:
h = t · c l 2
where Δt is the duration of the first spallation oscillation cycle, and cl is the longitudinal elastic wave speed.

2.3. Microscale MD Model

At the microscopic level, the interaction between tantalum atoms was simulated using the embedded atom method (EAM) potential function developed by Ravelo et al. [25]. Molecular dynamics (MD) simulations were conducted with the LAMMPS software(Aug 2023) [26], employing a model size of 16.53 nm × 16.53 nm × 16.53 nm, comprising approximately 250,000 atoms. Periodic boundary conditions were imposed in all directions. Prior to loading, the model was equilibrated for 30 ps using the NPT ensemble to achieve system stability. During loading, the NVE ensemble was utilized, applying uniform strain rates in all directions. The strain rate in the MD model was aligned with the tensile strain rate of the macroscale model.

3. Macroscale Model Validation and Analysis

3.1. Model Setup and Parameter Selection

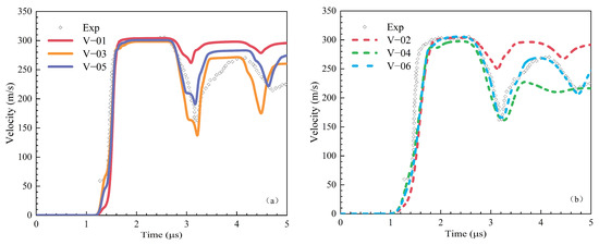
The macroscale simulations were performed in ANSYS/AUTODYN. To validate the macroscale model, the spallation of tantalum was simulated using both the Lagrangian mesh method and the SPH method in conjunction with three different strength models: Johnson–Cook (JC), Zerilli–Armstrong (ZA), and Steinberg–Cochran–Guinan (SCG). The models were configured as two-dimensional axisymmetric models, with a Lagrangian mesh size of 0.05 mm and an SPH particle size of 0.1 mm. The sample had a diameter of 50 mm, and the impact velocity was set to 306 m/s. The information regarding model size parameters, impact velocity, and strength models used for validation is listed in Table 5.

3.2. Comparison of Simulation Results with Experimental Data

The free surface velocity profiles generated by various models were compared against experimental data to assess the accuracy of the simulations. Figure 3 presents the free surface velocity profiles obtained from different models. The comparison indicates that both the Lagrangian mesh method and the SPH meshless method offer distinct advantages in numerical simulations.
(1) Lagrangian Method: The Lagrangian method’s results exhibit good agreement with experimental data, particularly in the initial time range (0–2 μs), where the free surface velocity increased from 0 m/s to its maximum value. This method effectively captured the Hugoniot elastic limit signal, reflecting the elastic–plastic transition of tantalum.
(2) SPH Method: While the SPH method did not capture the Hugoniot elastic limit signal as distinctly as the Lagrangian method, it provided a more accurate description of the overall free surface velocity profile, particularly during the pullback and rebound phases. The SPH method’s results were more consistent with experimental observations, indicating its feasibility for simulating the spallation behavior of tantalum.
(3) The experimental data used in this study are sourced from the work in [16]. High-purity, initially void-free tantalum samples were employed. Plate impact tests were conducted at room temperature using a single-stage gas gun. The velocity profiles were recorded using Doppler laser interferometry. The impact velocity was 306 m/s, with a flyer plate thickness of 3 mm and a target thickness of 4.95 mm.
The comparative analysis suggests that combining both methods can yield a more complete and accurate free surface velocity profile. Additionally, the SCG model was identified as the most suitable for simulating tantalum spallation among the models tested.

3.3. Analysis of Spallation Characteristics under Different Tensile Strain Rates

To analyze the spallation characteristics under different tensile strain rates, the tensile strain rate in the spallation region was varied by changing the loading conditions (the tensile strain rate ranging from 2.13 × 104–5.40 × 104 s−1 and the pressure ranging from 6.19 GPa to 12.25 GPa), and the simulation parameters are shown in Table 6.
Figure 4 presents the macroscale numerical simulation results of tantalum spallation at various tensile strain rates. The findings indicate that the maximum free surface velocity closely corresponds to the impact velocity of the flyer plate. Furthermore, the width of the velocity plateau on the free surface velocity profile increases proportionally with the flyer plate thickness, with thicker plates leading to a broader plateau.

3.4. Spallation Strength Analysis

Understanding spallation strength is essential for evaluating the dynamic damage characteristics of metallic materials. By comparing simulation outcomes and the established spallation strength–strain rate relationship for copper [3], a corresponding relationship for tantalum was formulated:
σ s p a l l = 0.042 × ε ˙ 0.44
Figure 5 illustrates the relationship between tantalum’s spallation strength and tensile strain rate. The analysis revealed that spallation strength is not solely influenced by the loading velocity. At identical loading velocities, spallation strength increased with tensile strain rate, indicating a strain rate-dependent characteristic.
Under identical loading velocities, the spallation strengths of S-06, S-04, and S-01 increase with the rise in tensile strain rate. Similarly, although the loading velocities differ significantly for S-05, S-03, and S-02, a proportional relationship between spallation strength and tensile strain rate is still observed. This indicates that spallation strength exhibits a strain-rate-dependent characteristic, increasing as the tensile strain rate rises.
Figure 6 presents the relationship between spallation strength σ s p a l l and tensile strain rate ε ˙ s in logarithmic coordinates. It is apparent from the figure that spallation strength displays a clear strain rate dependency in logarithmic coordinates. Spallation strength’s logarithmic dependence on strain rate can be attributed to the strain-rate sensitivity of microvoid nucleation and growth processes. Higher strain rates increase the material’s resistance to dynamic failure due to limited time for void formation, similar to the logarithmic relations seen in work hardening and strain hardening, where increased strain rates lead to greater dislocation interactions and material strength. This suggests that both phenomena share underlying mechanisms related to the strain-rate sensitivity of the material’s microstructural evolution. We compared our results with experimental data at higher tensile strain rates and found that spallation strength also increases with strain rate under these conditions, further validating the accuracy of the numerical simulation results.
The spallation strength analyzed earlier was calculated using equation (11), which is a widely used acoustic approximation method. However, it is not the only calculation method available. Stepanov [28] pointed out that in ductile metals, during a planar impact, the shock wave propagates at the elastic longitudinal wave speed cl. The preceding incident rarefaction plastic wave propagates at the bulk sound speed cb. When the elastic wave’s influence is primarily considered, the effective sound speed ce can be expressed as
c e = 2 c l c b / c l + c b
Based on this, a modified form of the spallation strength can be derived:
σ s p a l l ( 1 ) = ρ 0 c b u 1 1 + c b / c l
Here, ρ 0 and c b are the material density, and u denotes the velocity difference between the maximum and first minimum values on the free surface velocity profile. Additionally, Kanel [29] proposed that the thickness of the spallation layer should be included when calculating spallation strength. Incorporating the spallation layer thickness, the formula is modified as follows:
σ s p a l l ( 2 ) = 1 2 ρ 0 c b u + δ 2
δ 2 = h s p c b h s p c l · u 1 ˙ u 2 ˙ u 1 ˙ + u 2 ˙ · 1 2 ρ 0 c b
where u 1 ˙ represents the velocity change rate before the appearance of the pullback signal on the free surface velocity–time curve, u 2 ˙ represents the velocity change rate of the spallation rebound signal, and hsp is the thickness of the spallation layer. The spallation strength values calculated using the three formulas are compared in Table 7. The analysis shows that the results from Equations (17) and (11) differ by up to 8%, while the results from Equation (18) are quite similar to those from Equation (17). This indicates that the method chosen to calculate spallation strength from the free surface velocity profile is significant, and the differences between various calculation models should be carefully considered during analysis.

4. Multiscale Analysis of Spallation Characteristics

The analysis of spallation characteristics at the macroscale reveals that the free surface velocity profile reflects the interaction between the internal damage evolution within the material and the macroscopic response field during the spallation process. Understanding the free surface velocity profile comprehensively and accurately is crucial for studying spallation phenomena. However, current research methods face challenges in in situ observation of damage evolution during spallation, making it difficult to intuitively and accurately understand the relationship between the material’s macroscopic dynamic response and microstructural evolution during spallation. This has led to some controversies regarding the interpretation of the free surface velocity profile, such as the significance of the pullback signal, the nature of damage evolution, and the meaning of the rebound rate. To address these issues, molecular dynamics (MD) simulations were employed to provide insights into the damage evolution process during spallation, offering a qualitative interpretation of some typical features on the free surface velocity profile from a microscopic perspective.

4.1. Pullback Signal Analysis

The pullback signal on the free surface velocity profile is a critical indicator for determining whether spallation has occurred. However, there has been debate regarding whether the material is fully separated at this point. Zurek et al. [30] suggested that the material is completely separated when the pullback signal appears, while Kanel et al. [31] observed that a pullback signal can occur even when the damage at the spallation plane is minimal. Bonora et al. [2] hypothesized that the pullback signal is associated with the nucleation of microvoids, although this has not been empirically verified.
In this study, the loading condition of model S-04 was employed to explore the significance of the pullback signal from a microscopic perspective. Molecular dynamics (MD) simulations were used to analyze the temporal evolution of the free surface velocity, internal stress, and damage progression within the spallation region.
Figure 7 and Figure 8 present the temporal evolution of the free surface velocity after the decrease, along with the internal stress and damage evolution within the spallation region as captured by the MD model. The analysis accounts for potential errors in identifying the pullback signal by extending the pullback signal time range to 0.05 μs. As shown in Figure 7, during the time range when the pullback signal appears, the stress within the spallation region reaches its peak. After the pullback signal, the stress in the spallation region rapidly decreases, indicating stress relaxation. When comparing this with the damage evolution within the spallation region, it can be observed that the time range corresponding to the pullback signal aligns with the initial stage of damage development, specifically the nucleation stage of microvoids. In Figure 8, the internal damage evolution is visually depicted, showing that microvoids begin to gradually form during the pullback signal period, with the volume fraction of internal voids being very small at this stage. This indicates that the spallation region in tantalum has not fully separated within the time range of the pullback signal and that the pullback signal corresponds to the nucleation process of internal microvoids. This microscopic-scale evidence supports Bonora et al.’s hypothesis [2].
Furthermore, when calculating spallation strength from the free surface velocity profile, the velocity drop associated with the pullback signal (Δu in Figure 1b) serves as an important basis. The previous analysis indicates that in the spallation of tantalum, the pullback signal on the free surface velocity profile corresponds to the microvoid nucleation process, suggesting that Δu actually reflects the conditions for microvoid nucleation. Therefore, the spallation strength derived from Δu should more accurately be interpreted as the strength resisting the initiation of damage or as a representation of microvoid nucleation resistance.

4.2. Damage Evolution Process

The damage evolution process within the spallation region is challenging to observe directly at the macroscale during experiments. However, by utilizing the microscale MD model, this study analyzed the entire damage evolution process during spallation, from microvoid nucleation to complete fracture.
Figure 9, Figure 10 and Figure 11 illustrate the volume fraction of internal voids, the microvoid count, and the distribution of internal voids during the damage evolution process. This process can be divided into three distinct stages:
(1) Nucleation (S1): As internal pressure nears its peak, microvoids start to form. In this stage, the number of voids increases rapidly, while the void volume fraction remains low, as illustrated in Figure 10.
(2) Growth (S2): Following nucleation, stress rapidly decreases, leading to energy dissipation and a significant increase in void volume fraction. During this stage, the number of voids decreases, indicating that void growth, rather than new void formation, drives the increase in volume.
(3) Coalescence (S3): Voids coalesce, resulting in the complete fracture of the material. During this stage, the growth rate of the void volume fraction decreases, and the number of voids stabilizes, indicating that the final spallation is driven by the merging of larger voids, as depicted in Figure 11.

4.3. Rebound Rate Analysis

In previous analyses, the focus was often on the pullback signal and the preceding segment of the free surface velocity profile, with little attention given to the rebound curve following the pullback signal. Starting from the pullback signal, we analyzed the variations in the free surface velocity rebound curve under different strain rate conditions, as shown in Figure 12.
The results indicate that the rebound curve does not show a clear trend with changes in loading velocity or flyer plate thickness. However, as the tensile strain rate increases, the curve becomes steeper, and the slope increases, indicating a strain rate-dependent characteristic.
Figure 13 illustrates the relationship of rebound rate with spallation strength and tensile strain rate. The results show that the relationship between spallation strength and rebound rate was found to be nearly linear, suggesting that the rebound rate is also reflective of spallation behavior. Furthermore, the rebound rate increases approximately linearly with the tensile strain rate, implying that the damage evolution rate within the sample during spallation increases with the tensile strain rate.
As shown in Figure 9, during the rebound phase following the pullback signal, damage within the spallation region rapidly intensifies, accompanied by a significant increase in the volume fraction of microvoids. This highlights a correlation between the rebound of free surface velocity and the evolution of damage. Kanel et al. [31] examined the relationship between rebound rate and damage evolution rate using the characteristic line method, concluding that they are proportional. Figure 14 illustrates the stress evolution and damage progression under various strain rates.
From the previous analysis, we found that the rebound rate and tensile strain rate exhibit an approximately linear relationship, with higher tensile strain rates corresponding to higher rebound rates. Figure 14a shows the stress evolution under different strain rates. A macroscopic wave analysis indicates that the free surface velocity rebound rate correlates with the stress relaxation rate. The stress relaxation rate increases with higher strain rates, suggesting a positive correlation between rebound rate and stress relaxation rate. Faster stress relaxation indicates quicker energy dissipation, which is associated with the damage evolution rate. Figure 14b shows that with increasing strain rates, the speed of microvoid growth during the growth stage accelerates. Overall, the free surface velocity rebound rate is a macroscopic reflection of the damage evolution rate within the spallation region.

5. Conclusions

This study investigated the spallation characteristics of ductile tantalum under high strain rate impacts using a multiscale simulation approach. The key findings are summarized as follows:
(1) Both the Lagrangian mesh method and the Smoothed Particle Hydrodynamics (SPH) method effectively captured the spallation behavior of tantalum. The Lagrangian method accurately simulated the initial elastic–plastic transition, evidenced by the Hugoniot elastic limit signal. The SPH method provided a comprehensive depiction of the free surface velocity profile, particularly during the pullback and rebound phases.
(2) Spallation strength showed a strain-rate-dependent characteristic, following an exponential relationship: σ s p a l l = 0.042 × ε ˙ 0.44 . For instance, the spallation strength increased from 3.34 GPa to 4.92 GPa as the tensile strain rate rose from 2.31 × 104 to 5.40 × 104∙s−1.
(3) The microscale molecular dynamics (MD) simulations identified three distinct stages of damage evolution: nucleation, growth, and coalescence of microvoids. The pullback signal on the free surface velocity profile corresponded to the nucleation of microvoids. The velocity drop before the pullback signal indicated the initiation of microvoids, while the rebound rate reflected the rate of damage progression.
(4) A near-linear relationship between the rebound rate and both spallation strength and tensile strain rate was established. This indicates that the rebound rate can serve as an effective indicator of spallation behavior and the dynamic damage resistance of the material.
By integrating macro- and microscale results, this study bridges the gap between macroscopic observations and microscopic damage mechanisms, providing a deeper understanding of tantalum’s spallation behavior under extreme conditions.

Author Contributions

Conceptualization, Y.W. and Y.G.; methodology, Y.W.; software, Y.W. and W.S.; resources, Y.L. and M.Y.; writing—original draft preparation, Y.W.; writing—review and editing, S.L. All authors have read and agreed to the published version of the manuscript.

Funding

The authors would like to acknowledge the support provided by Key Research Program of Ningxia(2022BEG02056); the Luzhou Key Laboratory of Intelligent Construction and Low-carbon Technology; the Scientific Research Platform of Chengdu Polytechnic (No. 23KYPT01, No. 23KYPT02) and the Chengdu Polytechnic Scientific Research Project (No. 23CZYG047, No: 21CZYG020).

Data Availability Statement

The data that support the findings of this study are available from the corresponding author, Yuzhu Guo (guoyuzhu5185@163.com), upon reasonable request.

Conflicts of Interest

The authors declare no conflict of interest.

References

  1. Lu, K. The future of metals. Science 2010, 328, 319–320. [Google Scholar] [CrossRef]
  2. Peng, H. Discussion on the physical meaning of free surface velocity curve in ductile spallation. Acta Phys. Sin. 2015, 64, 034601. [Google Scholar]
  3. Curran, D.R.; Seaman, L.; Shockey, D.A. Dynamic failure of solids. Phys. Rep. 1987, 147, 253–388. [Google Scholar] [CrossRef]
  4. Antoun, T.; Seaman, L.; Curran, D.R.; Kanel, G.I.; Razorenov, S.V.; Utkin, A.V. Spall Fracture; Springer Science & Business Media: Berlin/Heidelberg, Germany, 2006. [Google Scholar]
  5. Thomas, S.A.; Hawkins, M.C.; Matthes, M.K.; Gray, G.T.; Hixson, R.S. Dynamic strength properties and alpha-phase shock Hugoniot of iron and steel. J. Appl. Phys. 2018, 123, 175902. [Google Scholar] [CrossRef]
  6. Koller, D.D.; Hixson, R.S.; Gray, G.T.; Rigg, P.A.; Addessio, L.B.; Cerreta, E.K.; Maestas, J.D.; Yablinsky, C.A. Influence of shock-wave profile shape on dynamically induced damage in high-purity copper. J. Appl. Phys. 2005, 98, 103518. [Google Scholar] [CrossRef]
  7. Liu, M.B.; Liu, G.R. Smoothed particle hydrodynamics (SPH): An overview and recent developments. Arch. Comput. Methods Eng. 2010, 17, 25–76. [Google Scholar] [CrossRef]
  8. Glam, B.; Strauss, M.; Eliezer, S.; Moreno, D. Shock compression and spall formation in aluminum containing helium bubbles at room temperature and near the melting temperature: Experiments and simulations. Int. J. Impact Eng. 2014, 65, 1–12. [Google Scholar] [CrossRef]
  9. Zhou, C.E.; Liu, G.R.; Lou, K.Y. Three-dimensional penetration simulation using smoothed particle hydrodynamics. Int. J. Comput. Methods 2007, 4, 671–691. [Google Scholar] [CrossRef]
  10. Rawat, S.; Raole, P.M. Molecular dynamics investigation of void evolution dynamics in single crystal iron at extreme strain rates. Comput. Mater. Sci. 2018, 154, 393–404. [Google Scholar] [CrossRef]
  11. Yang, X.; Zeng, X.; Wang, J.; Wang, J.; Wang, F.; Ding, J. Atomic-scale modeling of the void nucleation, growth, and coalescence in Al at high strain rates. Mech. Mater. 2019, 135, 98–113. [Google Scholar] [CrossRef]
  12. Chen, J.; Fensin, S.J. Associating damage nucleation and distribution with grain boundary characteristics in Ta. Scr. Mater. 2020, 187, 329–334. [Google Scholar] [CrossRef]
  13. Chen, D.; Fan, C.; Xie, S.; Hu, J.; Wu, S.; Wang, H.; Ta, H.; Yu, Y. Study on constitutive relations and spall models for oxygen-free high-conductivity copper under planar shock tests. J. Appl. Phys. 2007, 101, 063532. [Google Scholar]
  14. Remington, T.P.; Hahn, E.N.; Zhao, S.; Flanagan, R.; Mertens, J.; Sabbaghianrad, S.; Langdon, T.; Wehrenberg, C.; Maddox, B.; Swift, D.; et al. Spall strength dependence on grain size and strain rate in tantalum. Acta Mater. 2018, 158, S1359645418305846. [Google Scholar] [CrossRef]
  15. Wang, Y.; Zeng, X.; Yang, X.; Xu, T. Shock-induced spallation in single-crystalline tantalum at elevated temperatures through molecular dynamics modeling. Comput. Mater. Sci. 2022, 201, 110870. [Google Scholar] [CrossRef]
  16. Czarnota, C.; Jacques, N.; Mercier, S.; Molinari, A. Modelling of dynamic ductile fracture and application to the simulation of plate impact tests on tantalum. J. Mech. Phys. Solids 2008, 56, 1624–1650. [Google Scholar] [CrossRef]
  17. Heuzé, O. General form of the Mie–Grüneisen equation of state. Comptes Rendus. Mécanique 2012, 340, 679–687. [Google Scholar] [CrossRef]
  18. Marsh, S.P. LASL Shock Hugoniot Data; Univ of California Press: Oakland, CA, USA, 1980. [Google Scholar]
  19. Johnson, G.R.; Cook, W.H. Fracture characteristics of three metals subjected to various strains, strain rates, temperatures and pressures. Eng. Fract. Mech. 1985, 21, 31–48. [Google Scholar] [CrossRef]
  20. Steinberg, D.J.; Cochran, S.G.; Guinan, M.W. A constitutive model for metals applicable at high-strain rate. J. Appl. Phys. 1980, 51, 1498–1504. [Google Scholar] [CrossRef]
  21. Zerilli, F.J.; Armstrong, R.W. Dislocation-mechanics-based constitutive relations for material dynamics calculations. J. Appl. Phys. 1987, 61, 1816–1825. [Google Scholar] [CrossRef]
  22. Wang, Y.; Zeng, X.; Chen, H.; Yang, X.; Wang, F.; Zeng, L. Modified Johnson-Cook constitutive model of metallic materials under a wide range of temperatures and strain rates. Results Phys. 2021, 27, 104498. [Google Scholar] [CrossRef]
  23. Grady, D.E. The spall strength of condensed matter. J. Mech. Phys. Solids 1988, 36, 353–384. [Google Scholar] [CrossRef]
  24. Forquin, P.; Lukić, B. On the processing of spalling experiments. Part I: Identification of the dynamic tensile strength of concrete. J. Dyn. Behav. Mater. 2018, 4, 34–55. [Google Scholar] [CrossRef]
  25. Ravelo, R.; Germann, T.C.; Guerrero, O.; An, Q.; Holian, B.L. Shock-induced plasticity in tantalum single crystals: Interatomic potentials and large-scale molecular-dynamics simulations. Phys. Rev. B—Condens. Matter Mater. Phys. 2013, 88, 134101. [Google Scholar] [CrossRef]
  26. Plimpton, S. Fast parallel algorithms for short-range molecular dynamics. J. Comput. Phys. 1995, 117, 1–19. [Google Scholar] [CrossRef]
  27. Zhang, L. Impact response of ductile materials: A new model of dynamic damage and fracture, structural phase transition. Ph.D. Thesis, China Academy of Engineering Physics, Mianyang, China, 2005. [Google Scholar]
  28. Stepanov, K.L.; Stanchits, L.K.; Stankevich, Y.A. Radiation of strong shock waves in air: Part I. High Temp. 2000, 38, 182–190. [Google Scholar] [CrossRef]
  29. Kanel, G.I. Dynamic strength of materials. Fatigue Fract. Eng. Mater. Struct. 1999, 22, 1011–1020. [Google Scholar]
  30. Zurek, A.K.; Thissell, W.R.; Johnson, J.N.; Tonks, D.; Hixson, R. Micromechanics of spall and damage in tantalum. J. Mater. Process. Technol. 1996, 60, 261–267. [Google Scholar] [CrossRef]
  31. Kanel, G.I.; Razorenov, S.V.; Bogatch, A.; Utkin, A.; Grady, D.E. Simulation of spall fracture of aluminum and magnesium over a wide range of load duration and temperature. Int. J. Impact Eng. 1997, 20, 467–478. [Google Scholar] [CrossRef]
Figure 1. Depiction of the fundamental concept of the flat plate impact experiment, along with a schematic representation of the free surface velocity profile. (a) The principle of the spallation failure experiment, (b) Typical free surface velocity profile.
Figure 1. Depiction of the fundamental concept of the flat plate impact experiment, along with a schematic representation of the free surface velocity profile. (a) The principle of the spallation failure experiment, (b) Typical free surface velocity profile.
Crystals 14 00833 g001
Figure 2. Schematic of the macro− and microscale models. (a) Macro−level Model, (b) Micro−level model.
Figure 2. Schematic of the macro− and microscale models. (a) Macro−level Model, (b) Micro−level model.
Crystals 14 00833 g002
Figure 3. Comparison of simulated and experimental free surface velocity profiles [16]. (a) Lagrange method, (b) SPH method.
Figure 3. Comparison of simulated and experimental free surface velocity profiles [16]. (a) Lagrange method, (b) SPH method.
Crystals 14 00833 g003
Figure 4. Free surface velocity at different tensile strain rates on the macroscale. (a) Free surface velocity of S−03 to S−05, (b) Free surface velocity of S−01, S−02 and S−06.
Figure 4. Free surface velocity at different tensile strain rates on the macroscale. (a) Free surface velocity of S−03 to S−05, (b) Free surface velocity of S−01, S−02 and S−06.
Crystals 14 00833 g004
Figure 5. Correlation between spallation strength and tensile strain rate.
Figure 5. Correlation between spallation strength and tensile strain rate.
Crystals 14 00833 g005
Figure 6. Correlation between spallation strength and tensile strain rate on logarithmic scale [27].
Figure 6. Correlation between spallation strength and tensile strain rate on logarithmic scale [27].
Crystals 14 00833 g006
Figure 7. Time evolution of free surface velocity and stress in the spallation zone. (a) Free surface velocity curve, (b) MD model stress and damage evolution curve.
Figure 7. Time evolution of free surface velocity and stress in the spallation zone. (a) Free surface velocity curve, (b) MD model stress and damage evolution curve.
Crystals 14 00833 g007
Figure 8. Visualization of damage evolution in the spallation zone during the pullback signal phase.
Figure 8. Visualization of damage evolution in the spallation zone during the pullback signal phase.
Crystals 14 00833 g008
Figure 9. Correlation between void volume evolution, stress, and void count. (a) Stress and void volume, (b) Void numbers and volume.
Figure 9. Correlation between void volume evolution, stress, and void count. (a) Stress and void volume, (b) Void numbers and volume.
Crystals 14 00833 g009
Figure 10. Evolution of void count during Stage 1.
Figure 10. Evolution of void count during Stage 1.
Crystals 14 00833 g010
Figure 11. Void growth and coalescence during Stage 2 and Stage 3.
Figure 11. Void growth and coalescence during Stage 2 and Stage 3.
Crystals 14 00833 g011
Figure 12. Free surface velocity curve derived from spallation signal.
Figure 12. Free surface velocity curve derived from spallation signal.
Crystals 14 00833 g012
Figure 13. The relationship of rebound rate with spallation strength and tensile strain rate. (a) spalling strength vs. rebound rate, (b) rebound rate vs. tensile strain rates.
Figure 13. The relationship of rebound rate with spallation strength and tensile strain rate. (a) spalling strength vs. rebound rate, (b) rebound rate vs. tensile strain rates.
Crystals 14 00833 g013
Figure 14. Stress and damage evolution under different strain rates. (a) Stress evolution, (b) Damage evolution.
Figure 14. Stress and damage evolution under different strain rates. (a) Stress evolution, (b) Damage evolution.
Crystals 14 00833 g014
Table 1. Parameters of the Mie–Grüneisen equation of state applied in the simulation.
Table 1. Parameters of the Mie–Grüneisen equation of state applied in the simulation.
Materialρ0 (kg/m3)c0 (m/s)S1γ
Ta16,69033401.201.67
Table 2. JC model parameters used in simulation.
Table 2. JC model parameters used in simulation.
MaterialA/MPaB/MPanCm
Ta1421640.310.0570.88
Table 3. ZA model parameters used in simulation.
Table 3. ZA model parameters used in simulation.
MaterialC0/MPak1/MPa·m−3/2C2/MPaC3/10−3 K−1C4/10−3 K−1C5/MPan
Ta1125101785.350.3273100.44
Table 4. SCG Model parameters applied in the simulation.
Table 4. SCG Model parameters applied in the simulation.
MaterialG0/GPaY0/GPaYmax/GPaβn G p G T /(MPa K−1)Tm0/K
Ta690.771.10100.11.005−8.974340
Table 5. Parameter settings of various simulation models (“V” is an abbreviation of “Validation”, representing the number of the Validation model).
Table 5. Parameter settings of various simulation models (“V” is an abbreviation of “Validation”, representing the number of the Validation model).
Model No.Flyer Thickness (mm)Sample Thickness (mm)Strength ModelMethod
V-0134.95JCLagrange
V-0234.95JCSPH
V-0334.95ZALagrange
V-0434.95ZASPH
V-0534.95SCGLagrange
V-0634.95SCGSPH
Table 6. Parameters and results of PPI Simulations at different strain rates (“S” is an abbreviation of “simulation”, representing the number of the simulation model).
Table 6. Parameters and results of PPI Simulations at different strain rates (“S” is an abbreviation of “simulation”, representing the number of the simulation model).
Model No.Flyer Thickness (mm)Sample Thickness (mm)Loading Velocity (m/s)p/GPa ε ˙ s /s−1 σ s p a l l /GPa ε ˙ r /s−1
S-0124.953068.845.40 × 1044.923.57 × 104
S-0224.952507.054.69 × 1044.73.25 × 104
S-0334.9541012.253.92 × 1044.142.32 × 104
S-0434.953068.843.28 × 1043.971.74 × 104
S-0534.952106.192.68 × 1043.711.69 × 104
S-0644.953068.842.31 × 1043.341.34 × 104
Table 7. Comparison of spallation strength data obtained from different calculation formulas.
Table 7. Comparison of spallation strength data obtained from different calculation formulas.
Model No. σ s p a l l /GPa σ s p a l l ( 1 ) /GPa σ s p a l l ( 2 ) /GPa
S-014.925.255.36
S-024.715.025.32
S-034.134.404.48
S-043.974.234.32
S-053.723.964.07
S-063.353.573.58
Disclaimer/Publisher’s Note: The statements, opinions and data contained in all publications are solely those of the individual author(s) and contributor(s) and not of MDPI and/or the editor(s). MDPI and/or the editor(s) disclaim responsibility for any injury to people or property resulting from any ideas, methods, instructions or products referred to in the content.

Share and Cite

MDPI and ACS Style

Wang, Y.; Guo, Y.; Li, S.; Li, Y.; Yang, M.; Shi, W. Multiscale Simulation Study on the Spallation Characteristics of Ductile Metal Ta under High Strain Rate Impact. Crystals 2024, 14, 833. https://doi.org/10.3390/cryst14100833

AMA Style

Wang Y, Guo Y, Li S, Li Y, Yang M, Shi W. Multiscale Simulation Study on the Spallation Characteristics of Ductile Metal Ta under High Strain Rate Impact. Crystals. 2024; 14(10):833. https://doi.org/10.3390/cryst14100833

Chicago/Turabian Style

Wang, Yuntian, Yuzhu Guo, Sheng Li, Yushu Li, Min Yang, and Weimei Shi. 2024. "Multiscale Simulation Study on the Spallation Characteristics of Ductile Metal Ta under High Strain Rate Impact" Crystals 14, no. 10: 833. https://doi.org/10.3390/cryst14100833

APA Style

Wang, Y., Guo, Y., Li, S., Li, Y., Yang, M., & Shi, W. (2024). Multiscale Simulation Study on the Spallation Characteristics of Ductile Metal Ta under High Strain Rate Impact. Crystals, 14(10), 833. https://doi.org/10.3390/cryst14100833

Note that from the first issue of 2016, this journal uses article numbers instead of page numbers. See further details here.

Article Metrics

Back to TopTop