Impact of Erbium Doping in the Structural and Magnetic Properties of the Anisotropic and Frustrated SrYb2O4 Antiferromagnet
Abstract
1. Introduction
2. Experimental Details
3. Results and Discussion
3.1. Structural Characterization
3.2. Magnetic Properties
3.2.1. Single-Ion Anisotropies
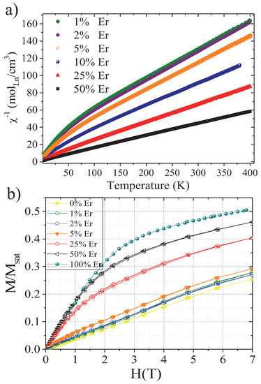
3.2.2. Magnetic Susceptibility and Magnetization
3.2.3. Magnetic Structure
4. Conclusions
Author Contributions
Funding
Data Availability Statement
Acknowledgments
Conflicts of Interest
References
- Jensen, J.; Mackintosh, A. Rare Earth Magnetism; Clarendon Press Oxford: Oxford, UK, 1991. [Google Scholar]
- Sachdev, S. Spin glasses enter the quantum regime. Phys. World 1994, 7, 25. [Google Scholar] [CrossRef]
- Sandvik, A.W.; Vekić, M. Disorder Induced Phase Transition in a Two-Dimensional Random Quantum Antiferromagnet. Phys. Rev. Lett. 1995, 74, 1226–1229. [Google Scholar] [CrossRef]
- Gingras, M.J.P.; Henelius, P. Collective Phenomena in the LiHoxY1-xF4 Quantum Ising Magnet: Recent Progress and Open Questions. J. Phys. Conf. Ser. 2011, 320, 012001. [Google Scholar] [CrossRef]
- Biltmo, A.; Henelius, P. Unreachable glass transition in dilute dipolar magnet. Nat. Commun. 2012, 3, 857. [Google Scholar] [CrossRef] [PubMed]
- Stewart, J.R.; Hillier, A.D.; Hillier, J.M.; Cywinski, R. Structural and dynamical study of moment localization in β-Mn1-xInx. Phys. Rev. B 2010, 82, 144439. [Google Scholar] [CrossRef]
- Karunadasa, H.; Huang, Q.; Ueland, B.G.; Lynn, J.W.; Schiffer, P.; Regan, K.A.; Cava, R.J. Honeycombs of triangles and magnetic frustration in SrL2O4 (L = Gd, Dy, Ho, Er, Tm, and Yb). Phy. Rev. B 2005, 71, 144414. [Google Scholar] [CrossRef]
- Petrenko, O.A. Low-temperature magnetism in the honeycomb systems SrLn2O4 (Review Article). Low Temp. Phys. 2014, 40, 106–112. [Google Scholar] [CrossRef]
- Gauthier, N.; Fennell, A.; Prévost, B.; Uldry, A.C.; Delley, B.; Sibille, R.; Désilets-Benoit, A.; Dabkowska, H.A.; Nilsen, G.J.; Regnault, L.P.; et al. Absence of long-range order in the frustrated magnet SrDy2O4 due to trapped defects from a dimensionality crossover. Phys. Rev. B 2017, 95, 134430. [Google Scholar] [CrossRef]
- Wen, J.J.; Tian, W.; Garlea, V.O.; Koohpayeh, S.M.; McQueen, T.M.; Li, H.F.; Yan, J.Q.; Rodriguez-Rivera, J.A.; Vaknin, D.; Broholm, C.L. Disorder from order among anisotropic next-nearest-neighbor Ising spin chains in SrHo2O4. Phys. Rev. B 2015, 91, 054424. [Google Scholar] [CrossRef]
- Young, O.; Wildes, A.R.; Manuel, P.; Ouladdiaf, B.; Khalyavin, D.D.; Balakrishnan, G.; Petrenko, O.A. Highly frustrated magnetism in SrHo2O4: Coexistence of two types of short-range order. Phys. Rev. B 2013, 88, 024411. [Google Scholar] [CrossRef]
- Li, H.F.; Zhang, C.; Senyshyn, A.; Wildes, A.; Schmalzl, K.; Schmidt, W.; Boehm, M.; Ressouche, E.; Hou, B.; Meuffels, P.; et al. Incommensurate antiferromagnetic order in the manifoldly-frustrated SrTb2O4 with transition temperature up to 4.28 K. Front. Phys. 2014, 2, 42. [Google Scholar] [CrossRef]
- Malkin, B.Z.; Nikitin, S.I.; Mumdzhi, I.E.; Zverev, D.G.; Yusupov, R.V.; Gilmutdinov, I.F.; Batulin, R.; Gabbasov, B.F.; Kiiamov, A.G.; Adroja, D.T.; et al. Magnetic and spectral properties of the multisublattice oxides SrY2O4:Er3+ and SrEr2O4. Phys. Rev. B 2015, 92, 094415. [Google Scholar] [CrossRef]
- Quintero-Castro, D.L.; Lake, B.; Reehuis, M.; Niazi, A.; Ryll, H.; Islam, A.T.M.N.; Fennell, T.; Kimber, S.A.J.; Klemke, B.; Ollivier, J.; et al. Coexistence of long- and short-range magnetic order in the frustrated magnet SrYb2O4. Phys. Rev. B 2012, 86, 064203. [Google Scholar] [CrossRef]
- Fennell, A.; Pomjakushin, V.Y.; Uldry, A.; Delley, B.; Prévost, B.; Désilets-Benoit, A.; Bianchi, A.D.; Bewley, R.I.; Hansen, B.R.; Klimczuk, T.; et al. Evidence for SrHo2O4 and SrDy2O4 as model J1–J2 zigzag chain materials. Phys. Rev. B 2014, 89, 224511. [Google Scholar] [CrossRef]
- Petrenko, O.A.; Young, O.; Brunt, D.; Balakrishnan, G.; Manuel, P.; Khalyavin, D.D.; Ritter, C. Evolution of spin correlations in SrDy2O4 in an applied magnetic field. Phys. Rev. B 2017, 95, 104442. [Google Scholar] [CrossRef]
- Momma, K.; Izumi, F. VESTA: A three-dimensional visualization system for electronic and structural analysis. J. Appl. Crystallogr. 2008, 41, 653–658. [Google Scholar] [CrossRef]
- Petrenko, O.A.; Balakrishnan, G.; Wilson, N.R.; deBrion, S.; Suard, E.; Chapon, L.C. Low-temperature magnetic ordering in SrEr2O4. Phy. Rev. B 2008, 78, 184410. [Google Scholar] [CrossRef]
- Hayes, T.J.; Balakrishnan, G.; Deen, P.P.; Manuel, P.; Chapon, L.C.; Petrenko, O.A. Coexistence of the long-range and short-range magnetic order components in SrEr2O4. Phys. Rev. B 2011, 84, 174435. [Google Scholar] [CrossRef]
- Rau, J.G.; Wu, L.S.; May, A.F.; Poudel, L.; Winn, B.; Garlea, V.O.; Huq, A.; Whitfield, P.; Taylor, A.E.; Lumsden, M.D.; et al. Anisotropic Exchange within Decoupled Tetrahedra in the Quantum Breathing Pyrochlore Ba3Yb2Zn5O11. Phys. Rev. Lett. 2016, 116, 257204. [Google Scholar] [CrossRef] [PubMed]
- Hallas, A.M.; Gaudet, J.; Butch, N.P.; Tachibana, M.; Freitas, R.S.; Luke, G.M.; Wiebe, C.R.; Gaulin, B.D. Universal dynamic magnetism in Yb pyrochlores with disparate ground states. Phys. Rev. B 2016, 93, 100403. [Google Scholar] [CrossRef]
- Rau, J.G.; Gingras, M.J.P. Frustration and anisotropic exchange in ytterbium magnets with edge-shared octahedra. Phys. Rev. B 2018, 98, 054408. [Google Scholar] [CrossRef]
- Hermele, M.; Fisher, M.P.A.; Balents, L. Pyrochlore photons: The U(1) spin liquid in a S=12 three-dimensional frustrated magnet. Phys. Rev. B 2004, 69, 064404. [Google Scholar] [CrossRef]
- Hester, G.; Nair, H.S.; Reeder, T.; Yahne, D.R.; DeLazzer, T.N.; Berges, L.; Ziat, D.; Quilliam, J.A.; Neilson, J.R.; Aczel, A.A. A Novel Strongly Spin-Orbit Coupled Quantum Dimer Magnet: Yb2Si2O7. arXiv 2018, arXiv:1810.13096. [Google Scholar] [CrossRef]
- Kittaka, S.; Sugiyama, T.; Shimura, Y.; Sakakibara, T.; Matsuda, S.; Ochiai, A. Singlet-triplet crossover in the two-dimensional dimer spin system YbAl3C3. J. Korean Phys. Soc. 2013, 62, 2088–2092. [Google Scholar] [CrossRef]
- Shen, Y.; Li, Y.D.; Wo, H.; Li, Y.; Shen, S.; Pan, B.; Wang, Q.; Walker, H.C.; Steffens, P.; Boehm, M.; et al. Evidence for a spinon Fermi surface in a triangular-lattice quantum-spin-liquid candidate. Nature 2016, 540, 559–562. [Google Scholar] [CrossRef]
- Balakrishnan, G.; Hayes, T.J.; Petrenko, O.A.; Paul, D.M. High quality single crystals of the SrR2O4 family of frustrated magnets. J. Phys. Condens. Matter 2008, 21, 012202. [Google Scholar] [CrossRef] [PubMed]
- Franz, A.; Hoser, A. E9: The Fine Resolution Powder Diffractometer (FIREPOD) at BER II. J. Large-Scale Res. Facil. 2017, 3, A103. [Google Scholar] [CrossRef]
- Fischer, P.; Keller, L.; Schefer, J.; Kohlbrecher, J. Neutron diffraction at SINQ. Neutron News 2000, 11, 19–21. [Google Scholar] [CrossRef]
- Ewings, R.A.; Stewart, J.R.; Perring, T.G.; Bewley, R.I.; Le, M.D.; Raspino, D.; Pooley, D.E.; Škoro, G.; Waller, S.P.; Zacek, D.; et al. Upgrade to the MAPS neutron time-of-flight chopper spectrometer. Rev. Sci. Instrum. 2019, 90, 035110. [Google Scholar] [CrossRef] [PubMed]
- Available online: http://www.ill.eu/sites/fullprof/index.html (accessed on 15 March 2023).
- Quintero-Castro, D.L. Neutron Scattering Investigations on 3d and 4f Frustrated Magnetic Insulators. PhD Thesis, Technical University of Berlin, Berlin, Germany, 2011. [Google Scholar]
- Bhat Kademane, A.; Quintero-Castro, D.; Siemensmeyer, K.; Salazar-Mejia, C.; Gorbunov, D.; Stewart, J.; Luetkens, H.; Baines, C.; Li, H. Crystal field effects in the zig-zag chain compound SrTm2O4. J. Magn. Magn. Mater. 2022, 551, 169020. [Google Scholar] [CrossRef]
- Gauthier, N.; Fennell, A.; Prévost, B.; Désilets-Benoit, A.; Dabkowska, H.A.; Zaharko, O.; Frontzek, M.; Sibille, R.; Bianchi, A.D.; Kenzelmann, M. Field dependence of the magnetic correlations of the frustrated magnet SrDy2O4. Phys. Rev. B 2017, 95, 184436. [Google Scholar] [CrossRef]
- Crystal electric fields in rare earth-Ba-Cu-oxide superconductors. J. Magn. Magn. Mater. 1988, 76–77, 607–608. [CrossRef]









| SrYbErO | a(Å) | b(Å) | c(Å) | (%) | (%) | (%) | (%) | R |
|---|---|---|---|---|---|---|---|---|
Disclaimer/Publisher’s Note: The statements, opinions and data contained in all publications are solely those of the individual author(s) and contributor(s) and not of MDPI and/or the editor(s). MDPI and/or the editor(s) disclaim responsibility for any injury to people or property resulting from any ideas, methods, instructions or products referred to in the content. |
© 2023 by the authors. Licensee MDPI, Basel, Switzerland. This article is an open access article distributed under the terms and conditions of the Creative Commons Attribution (CC BY) license (https://creativecommons.org/licenses/by/4.0/).
Share and Cite
Quintero-Castro, D.L.; Hincapie, J.; Bhat Kademane, A.; Jeong, M.; Frontzek, M.; Franz, A.; Ramachandran, A.; Yokaichiya, F.; Stewart, J.R.; Toft-Petersen, R. Impact of Erbium Doping in the Structural and Magnetic Properties of the Anisotropic and Frustrated SrYb2O4 Antiferromagnet. Crystals 2023, 13, 529. https://doi.org/10.3390/cryst13030529
Quintero-Castro DL, Hincapie J, Bhat Kademane A, Jeong M, Frontzek M, Franz A, Ramachandran A, Yokaichiya F, Stewart JR, Toft-Petersen R. Impact of Erbium Doping in the Structural and Magnetic Properties of the Anisotropic and Frustrated SrYb2O4 Antiferromagnet. Crystals. 2023; 13(3):529. https://doi.org/10.3390/cryst13030529
Chicago/Turabian StyleQuintero-Castro, Diana Lucia, Juanita Hincapie, Abhijit Bhat Kademane, Minki Jeong, Matthias Frontzek, Alexandra Franz, Amutha Ramachandran, Fabiano Yokaichiya, J Ross Stewart, and Rasmus Toft-Petersen. 2023. "Impact of Erbium Doping in the Structural and Magnetic Properties of the Anisotropic and Frustrated SrYb2O4 Antiferromagnet" Crystals 13, no. 3: 529. https://doi.org/10.3390/cryst13030529
APA StyleQuintero-Castro, D. L., Hincapie, J., Bhat Kademane, A., Jeong, M., Frontzek, M., Franz, A., Ramachandran, A., Yokaichiya, F., Stewart, J. R., & Toft-Petersen, R. (2023). Impact of Erbium Doping in the Structural and Magnetic Properties of the Anisotropic and Frustrated SrYb2O4 Antiferromagnet. Crystals, 13(3), 529. https://doi.org/10.3390/cryst13030529

