The Structural, Electronic, Magnetic and Elastic Properties of Full-Heusler Co2CrAl and Cr2MnSb: An Ab Initio Study
Abstract
1. Introduction
2. Computational Method
3. Results and Discussion
3.1. Structural Properties
3.2. Magnetic Properties
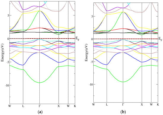
3.3. Electronic Properties
3.4. Elastic Properties
4. Conclusions
Author Contributions
Funding
Data Availability Statement
Conflicts of Interest
References
- de Groot, R.A.; Mueller, F.M.; van Engen, P.G.; Buschow, K.H.J. New Class of Materials: Half-Metallic Ferromagnets. Phys. Rev. Lett. 1983, 50, 2024. [Google Scholar] [CrossRef]
- Blum, C.G.F.; Ouardi, S.; Fecher, G.H.; Balke, B.; Kozina, X.; Stryganyuk, G.; Ueda, S.; Kobayashi, K.; Felser, C.; Wurmehl, S.; et al. Exploring the details of the martensite–austenite phase transition of the shape memory Heusler compound Mn2NiGa by hard X-ray photoelectron spectroscopy, magnetic and transport measurements. Appl. Phys. Lett. 2011, 98, 252501. [Google Scholar] [CrossRef]
- Ouardi, S.; Fecher, G.H.; Balke, B.; Kozina, X.; Stryganyuk, G.; Felser, C.; Lowitzer, S.; Ködderitzsch, D.; Ebert, H.; Ikenaga, E. Electronic transport properties of electron- and hole-doped semiconducting C1b Heusler compounds: NiTi1−xMxSn (M = Sc, V). Phys. Rev. B 2010, 82, 085108. [Google Scholar] [CrossRef]
- Heusler, F. Über magnetische Manganlegierungen. Verhandlungen der Deutschen Physikalischen Gesellschaft; German Physical Society: Bad Honnef, Germany, 1903. [Google Scholar]
- Ahmad, A.; Srivastava, S.K.; Das, A.K. Effect of L21 and XA ordering on phase stability, half-metallicity and magnetism of Co2FeAl Heusler alloy: GGA and GGA+U approach. J. Magn. Magn. Mater. 2019, 491, 165635. [Google Scholar] [CrossRef]
- Dowben, P. Half Metallic Ferromagnets. J. Phys. Condens. Matter 2007, 19, 310301. [Google Scholar] [CrossRef]
- Dai, X.F.; Liu, G.D.; Chen, L.J.; Chen, J.L.; Xiao, G.; Wu, G.H. compound: Structural, electronic, transport and magnetic properties. Solid State Commun. 2006, 140, 533. [Google Scholar] [CrossRef]
- Liu, G.D.; Dai, X.F.; Liu, H.Y.; Chen, J.L.; Li, Y.X. (Z = Al, Ga, In, Si, Ge, Sn, Sb) compounds: Structural, electronic, and magnetic properties. Phys. Rev. B 2008, 77, 014424. [Google Scholar] [CrossRef]
- Bayar, E.; Kervan, N.; Kervan, S. Half-metallic ferrimagnetism in the Heusler compound. J. Magn. Magn. Mater. 2011, 323, 2945. [Google Scholar] [CrossRef]
- Fang, Q.L.; Zhang, J.M.; Xu, K.W.; Ji, V. Electronic structure and magnetism of : A first-principles study. J. Magn. Magn. Mater. 2013, 345, 171. [Google Scholar] [CrossRef]
- Kervan, N.; Kervan, S. A first-principle study of half-metallic ferrimagnetism in the eusler compound. J. Magn. Magn. Mater. 2012, 324, 645. [Google Scholar] [CrossRef]
- Jia, H.Y.; Dai, X.F.; Wang, L.Y.; Liu, R.; Wang, X.T.; Li, P.P.; Cui, Y.T.; Liu, G.D. Doping effect on electronic structures and band gap of inverse Heusler compound: . J. Magn. Magn. Mater. 2014, 367, 33. [Google Scholar] [CrossRef]
- Birsan, A.; Palade, P.; Kuncser, V. Prediction of half metallic properties in Heusler alloy based on density functional theory. J. Magn. Magn. Mater. 2013, 331, 109. [Google Scholar] [CrossRef]
- Yamamoto, M.; Marukame, T.; Ishikawa, T.; Matsuda, K.; Uemura, T.; Arita, M. Fabrication of fully epitaxial magnetic tunnel junctions using cobalt-based full- Heusler alloy thin film and their tunnel magnetoresistance characteristics. J. Phys. D Appl. Phys. 2006, 39, 824. [Google Scholar] [CrossRef]
- Keammerer, S.; Thomas, A.; Hütten, A.; Reiss, G. Heusler alloy as magnetic electrodes in magnetic tunnel junctions. Appl. Phys. Lett. 2004, 85, 79. [Google Scholar] [CrossRef]
- Okamura, S.; Miyazaki, A.; Sugimoto, S.; Tezuka, N.; Inomata, K. Large tunnel magnetoresistance at room temperature with a full-Heusler alloy electrode. Appl. Phys. Lett. 2005, 86, 232503. [Google Scholar] [CrossRef]
- Sakuraba, Y.; Hattori, M.; Oogane, M.; Ando, Y.; Kato, H.; Sakuma, A.; Miyazaki, T.; Kubota, H. Electronic structure, magnetism and disorder in the Heusler compound . Appl. Phys. Lett. 2006, 88, 192508. [Google Scholar] [CrossRef]
- Sakuraba, Y.; Miyakoshi, T.; Oogane, M.; Ando, Y.; Sakuma, A.; Miyazaki, T.; Kubota, H. Direct observation of half-metallic energy gap in Co2MnSi by tunnelling conductance spectroscopy. Appl. Phys. Lett. 2006, 89, 052508. [Google Scholar] [CrossRef]
- Zhang, M.; Liu, Z.; Hu, H.; Liu, G.; Cui, Y.; Chen, J.; Wu, G.; Zhang, X.; Xiao, G. Is Heusler compound Co2CrAl a half-metallic ferromagnet: Electronic band structure, and transport properties. J. Magn. Magn. Mater. 2004, 277, 130. [Google Scholar] [CrossRef]
- Hakimi, M.; Kameli, P.; Salamati, H. Structural and magnetic properties of Heusler alloys prepared by mechanical alloying. J. Magn. Magn. Mater. 2010, 322, 3443. [Google Scholar] [CrossRef]
- Ozdogan, K.; Galanakis, I. First-principles electronic and magnetic properties of the half-metallic antiferromagnet Cr2MnSb. J. Magn. Magn. Mater. 2009, 321, L34. [Google Scholar] [CrossRef]
- Galanakis, I. Surface properties of the half- and full-Heusler alloys. J. Phys. Condens. Matter 2002, 14, 35615. [Google Scholar] [CrossRef]
- Hirohata, A.; Huminiuc, T.; Sinclair, J.; Wu, H.; Samiepour, M.; Vallejo-Fernandez, G.; O’Grady, K.; Balluf, J.; Meinert, M.; Reiss, G. Development of antiferromagnetic Heusler alloys for the replacement of iridium as a critically raw material. J. Phys. D Appl. Phys. 2017, 50, 443001. [Google Scholar] [CrossRef]
- Baker, D.N.A.; Abu-Jafar, M.S.; Mousa, A.A.; Jaradat, R.T.; Ilaiwi, K.F.; Khenata, R. Structural, magnetic, electronic and elastic properties of half-metallic ferromagnetism full-Heusler alloys: Normal-Co2TiSn and inverse-RhGa using FP-LAPW method. Mater. Chem. Phys. 2020, 240, 122122. [Google Scholar] [CrossRef]
- Gupta, S.; Matsukura, F.; Ohno, H. Properties of sputtered full Heusler alloy Cr2MnSb and its application in a magnetic tunnel junction. J. Phys. D Appl. Phys. 2019, 52, 495002. [Google Scholar] [CrossRef]
- Dubowik, J.; Gościańska, I.; Kudryavtsev, Y.V.; Oksenenko, V.A. Structure and magnetism of Co2CrAl Heusler alloy films. Mater. Sci. 2007, 25, 1281. [Google Scholar]
- Paudel, R.; Zhu, J. Magnetism and half-metallicity in bulk and (100), (111)-surfaces of Co2ScSb full Heusler alloy for spintronic applications. Vacuum 2019, 169, 108931. [Google Scholar] [CrossRef]
- Paudel, R.; Zhu, J. Investigation of half-metallicity and magnetism of bulk and (111)-surfaces of Fe2MnP full Heusler alloy. Vacuum 2019, 164, 336–342. [Google Scholar] [CrossRef]
- Blaha, P.; Schwarz, K.; Tran, F.; Laskowski, R.; Madsen, G.K.H.; Marks, L.D. WIEN2k: An APW+lo program for calculating the properties of solids. J. Chem. Phys. 2020, 152, 074101. [Google Scholar] [CrossRef]
- Monkhorst, H.J.; Pack, I.D. Special points for Brillouin-zone integrations. Phys. Rev. B 1976, 13, 5188. [Google Scholar] [CrossRef]
- Murnaghan, F.D. The Compressibility of Media under Extreme Pressures. Natl. Acad. Sci. USA 1944, 30, 244. [Google Scholar] [CrossRef]
- Born, M.; Huang, K. Dynamical Theory of Crystal Lattices; Clarendon Press: Oxford, UK, 1954. [Google Scholar]
- Reuss, A. Berechnung der Fließgrenze von Mischkristallen auf Grund der Plastizitätsbedingung für Einkristalle. Z. Angew. Math. Mech. 1929, 9, 49. [Google Scholar] [CrossRef]
- Pugh, S.F. Relations between the elastic moduli and the plastic properties of polycrystalline pure metals. Philos. Mag. 1954, 45, 823. [Google Scholar] [CrossRef]
- Frantsevich, I.N.; Voronov, F.F.; Bokuta, S.A. Elastic Constants and Elastic Moduli of Metals and Insulators Handbook; Naukova Dumka: Kiev, Ukraine, 1983; p. 60. [Google Scholar]
- Zener, C. Elasticity and Inelasticity of Metals. University of Chicago Press: Chicago, IL, USA, 1948. [Google Scholar]
- Ravindran, P.; Fast, L.; Korzhavyi, P.A.; Johansson, B. Density functional theory for calculation of elastic properties of orthorhombic crystals: Application to TiSi2. J. Appl. Phys. 1998, 84, 4891. [Google Scholar] [CrossRef]

















| Structure | Space Group | Magnetic Phase | Reference | Lattice Parameter a (Å) | B (GPa) | f.u | c/a |
|---|---|---|---|---|---|---|---|
| Conventional Fm-3m (225) | NM | Present | 5.6830 | 213.468 | −8161.3694 | 1 | |
| Conventional Fm-3m (225) | FM | Present | 5.7082 | 206.811 [19] | −8161.4115 [19] | 1 | |
| Experimental | 5.74 [19] 5.70 [26] | ||||||
| Theoretical | 5.73 [20] | ||||||
| Inverse F-43m (216) | NM | Present | 5.6936 | 212.056 | −8161.3309 | 1 | |
| Inverse F-43m (216) | FM | Present | 5.7398 | 169.0397 | −8161.3454 | 1 | |
| I4/mmm (139) | FM | Present | 4.011 | 202.24 | −8161.41148 | 1.4175 | |
| I4/mmm (139) | AFM | Present | 4.0239 | 202.133 | −8161.4095 | 1.4175 | |
| I-4m2 (119) | FM | Present | 3.9382 | 166.847 | −8161.34608 | 1.5253 | |
| I-4m2 (119) | AFM | Present | 3.9441 | 163.781 | −8161.3458 | 1.5253 |
| Structure | Space Group | Magnetic Phase | Reference | Lattice Parameter a (Å) | B (GPa) | /f.u | c/a |
|---|---|---|---|---|---|---|---|
| Conventional Fm-3m (225) | NM | Present | 6.1116 | 201.77 | −19,487.9803 | 1 | |
| Conventional Fm-3m (225) | FM | Present | 6.1381 | 248.45 | −19,487.98197 | 1 | |
| Theoretical Experimental | 6.0 [21] 5.95 [25] | ||||||
| Inverse F-43m (216) | NM | Present | 6.0724 | 220.322 | −19,487.9644 | 1 | |
| Inverse F-43m (216) | FM | Present | 6.0571 | 149.5381 | −19,487.9683 | 1 | |
| Theoretical Result | 5.9 [21] | ||||||
| I4/mmm (139) | FM | Present | 4.3337 | 296.852 | −19,487.982 | 1.4158 | |
| I4/mmm (139) | AFM | Present | 4.2637 | 386.728 | −19,487.9823 | 1.4158 | |
| I-4m2 (119) | FM | Present | 4.0617 | 142.459 | −19,487.9394 | 1.6513 | |
| I-4m2 (119) | AFM | Present | 4.0459 | 153.8705 | −19,487.9394 | 1.6513 |
| Compounds | |||||||
|---|---|---|---|---|---|---|---|
| Co | Co | Cr | Al | Interstitial | |||
| Inverse | Present | 0.96069 | 1.36311 | −1.26906 | −0.00841 | −0.21497 | 0.83116 |
| Conventional | Present | 1.01815 | 1.01815 | 1.32570 | −0.06082 | −0.30118 | 3 |
| Theoretical Result | 0.650 [19] | 0.650 [19] | 1.745 [19] | −0.045 [19] | _ | 3 [19] | |
| Theoretical Result | _ | _ | _ | _ | _ | 2.96 [22] | |
| Tetragonal I4/mmm (139) | Present | −0.04084 | −0.04084 | 0.81717 | 1.45741 | −0.05097 | 2.99994 |
| Compounds | |||||||
|---|---|---|---|---|---|---|---|
| Cr | Cr | Mn | Sb | Interstitial | |||
| Inverse | Present | −1.72053 | 2.68899 | −1.05810 | 0.04777 | 0.04187 | 0 |
| Theoretical Result | 1.96 [21] | −3.18 [21] | 1.29 [21] | - | - | 0 [21] | |
| Conventional | Present | −1.51854 | −1.51854 | 3.21064 | 0.06167 | −0.23513 | 0.00011 |
| Theoretical Result | 1.77 [21] | 1.77 [21] | −3.44 [21] | - | - | 0.01 [21] | |
| Tetragonal I4/mmm (139) | Present | 0.05294 | 0.05294 | −1.46141 | 3.08253 | −0.20953 | 0.00312 |
| Compounds | Band Gap Type | High Symmetry Lines | ||
|---|---|---|---|---|
| Conventional | Indirect | 0.6 | 0.9 | |
| Metallic | - | - | - |
| Compounds | Band Gap Type | High Symmetry Lines | ||
|---|---|---|---|---|
| Conventional- | Direct | 0.9 | 1 | |
| Inverse- | Direct | 0.8 | 0.9 |
| Compounds | Band Gap Type | High Symmetry Lines | |
|---|---|---|---|
| Direct | 0.8 | ||
| Direct | 0.9 |
| Materials | (GPa) | (GPa) | (GPa) | B (GPa) | S (GPa) | B/S | Y (GPa) | A | |
|---|---|---|---|---|---|---|---|---|---|
| Conventional | 268.592 | 169.462 | 154.343 | 202.505 | 83.628 | 2.422 | 220.528 | 0.319 | 3.114 |
| Inverse | 275.6864 | 234.2043 | 138.9022 | 248.032 | 42.364 | 5.855 | 120.246 | 0.470 | 6.697 |
| Inverse | 197.1538 | 138.7903 | −488.5573 | 158.245 | 80.134 | 1.975 | 205.683 | 0.283 | −16.7 |
| Conventional | 267.3836 | 224.7424 | 100.9041 | 238.956 | 40.474 | 5.904 | 114.933 | 0.420 | 4.732 |
Publisher’s Note: MDPI stays neutral with regard to jurisdictional claims in published maps and institutional affiliations. |
© 2022 by the authors. Licensee MDPI, Basel, Switzerland. This article is an open access article distributed under the terms and conditions of the Creative Commons Attribution (CC BY) license (https://creativecommons.org/licenses/by/4.0/).
Share and Cite
Yahya, S.J.; Abu-Jafar, M.S.; Al Azar, S.; Mousa, A.A.; Khenata, R.; Abu-Baker, D.; Farout, M. The Structural, Electronic, Magnetic and Elastic Properties of Full-Heusler Co2CrAl and Cr2MnSb: An Ab Initio Study. Crystals 2022, 12, 1580. https://doi.org/10.3390/cryst12111580
Yahya SJ, Abu-Jafar MS, Al Azar S, Mousa AA, Khenata R, Abu-Baker D, Farout M. The Structural, Electronic, Magnetic and Elastic Properties of Full-Heusler Co2CrAl and Cr2MnSb: An Ab Initio Study. Crystals. 2022; 12(11):1580. https://doi.org/10.3390/cryst12111580
Chicago/Turabian StyleYahya, Sara J., Mohammed S. Abu-Jafar, Said Al Azar, Ahmad A. Mousa, Rabah Khenata, Doha Abu-Baker, and Mahmoud Farout. 2022. "The Structural, Electronic, Magnetic and Elastic Properties of Full-Heusler Co2CrAl and Cr2MnSb: An Ab Initio Study" Crystals 12, no. 11: 1580. https://doi.org/10.3390/cryst12111580
APA StyleYahya, S. J., Abu-Jafar, M. S., Al Azar, S., Mousa, A. A., Khenata, R., Abu-Baker, D., & Farout, M. (2022). The Structural, Electronic, Magnetic and Elastic Properties of Full-Heusler Co2CrAl and Cr2MnSb: An Ab Initio Study. Crystals, 12(11), 1580. https://doi.org/10.3390/cryst12111580

