Abstract
Two thiophosphates, KInP2S7 and KCrP2S7, were structurally characterized without investigating any optical properties. Herein in this work, KInP2S7 and KCrP2S7 were revisited to investigate their optical and magnetic properties, respectively. Pure polycrystalline samples and crystals of KInP2S7 and KCrP2S7 were grown by high temperature solid state reactions, where mm-sized crystals of KCrP2S7 were collected. KCrP2S7 is isostructural to KInP2S7, which features a layered structure. KInP2S7 and KCrP2S7 possess close relationship to the layered thiophosphate M2P2S6 (M = Fe, Co, Zn, etc.). The bonding pictures of KInP2S7 were studied using the electron localization function (ELF) coupled with crystal orbital Hamilton population (COHP) calculations. The intrinsically distorted [PS4] tetrahedra and [InS6] octahedra are made by strong covalent P-S interactions and ionic In-S interactions, respectively. Electronic structure analysis confirmed that the optical properties of KInP2S7 are mainly contributed to by [PS4] tetrahedra together with small amounts of the contributions coming from [InS6] octahedra. Magnetic measurement on mm-sized crystals of KCrP2S7 verified that there is an antiferromagnetic transition around 21 K, and the Cr atoms are trivalent. KInP2S7 is predicated to be an indirect bandgap semiconductor of 2.38 eV, which is confirmed by the UV-Vis measurement of 2.4(1) eV. KInP2S7 is not a type-I phase-matching material and exhibits moderate second harmonic generation (SHG) response (0.51 × AgGaS2, sample of particle size of 100 µm). The laser damage threshold (LDT) of KInP2S7 is very high of 5.2 × AgGaS2. Bandgap engineering were undergone to enhance the SHG response of KInP2S7.
1. Introduction
Thiophosphates, which are constructed by phosphorus and sulfur atoms, have attracted growing interests due to important applications such as nonlinear optical applications [1,2,3,4,5,6,7,8,9,10,11,12,13,14,15,16], ion conductors [17,18,19,20,21,22,23,24,25,26], hydrogen evolution [27,28], and photocurrent response [29]. The chemical flexibility of thiophosphates accounts for their fruitful applications. The chemical flexibility originates from flexible crystal structures spanning from three dimensional (3D) frameworks [25,30], two-dimensional layered structures [31], and one-dimensional chain structures [32]. Phosphorus and sulfur elements share many similar properties such as low melting points, high volatile nature and easily form homoatomic bonds, etc. There exist significant different properties between phosphorus and sulfur, for example, electron configuration and electronegativity. The phosphorus atoms are surrounded by four sulfur atoms forming a tetrahedron, which are interconnected via the sharing of apex sulfur atoms, homoatomic P-P bonds, or homoatomic S-S bonds to form various [PxSy] motifs [1,2,3,4,5,6,7,8,9,10,11,12,13,14,15,16]. The flexible [PxSy] motifs, interacting with metals, generate the flexible structures of thiophosphates [1,2,3,4,5,6,7,8,9,10,11,12,13,14,15,16].
An acentric thiophosphate group, AIIIP2S7 (A = K, Rb, Cs; III = V, Cr, In) [33,34,35,36,37] has attracted our attention due to their interesting structures and the presence of both transition metals and main group elements within one system. The trivalent transition metals V3+ and Cr3+ possess unpaired d-electrons, which introduces magnetic properties into the AIIIP2S7 family. The crystal structures of AIIIP2S7 were studied by few groups. To the best of our knowledge, there were no systemic study of synthesis, electronic structure, bonding pictures, and nonlinear optical properties of the AIIIP2S7 family, reported. A previous study found interesting magnetic properties of KV1−xCrxP2S7 (X = 0, 0.75, 1), where KBr was utilized as a transport agent and a source of K [37]. In this work, we selected KInP2S7 and KCrP2S7 from the AIIIP2S7 family as our study objectives. A systematic study of synthesis, electronic structure, bonding pictures, and nonlinear optical properties of KInP2S7 are presented in this work. A detailed magnetic study of KCrP2S7, based on crystals grown from solid state reactions, were carried out, which resulted in the findings of the presence of an antiferromagnetic transition around 21 K. KInP2S7 was found as an indirect semiconductor of a bandgap of 2.38 eV and 2.4(1) eV, supported by tight-binding calculations and UV-Vis measurements, respectively. The Nonlinear optical properties of KInP2S7 were also measured in this work. The electronic structure and bonding picture studies of KInP2S7 were also studied in this work.
2. Materials and Methods
2.1. Synthesis
All starting materials were used as received without further processing, except for the cutting of solid metals: Potassium metal (Thermo Fisher Scientific, Waltham, MA, USA, 99.5%, indium shot metal basis (Thermo Fisher Scientific, MA, USA, 99.9%), chromium powder (Sigma-Aldrich, St. Louis, MO, USA, 99.5%), phosphorus powder (Alfa Aesar, Ward Hill, MA, USA, 99.5%), sulfur powder (Thermo Fisher Scientific, MA, USA, 99.5%). These reactants were stored in an argon-filled glovebox. Moisture and oxygen levels are maintained below 0.5 ppm. All preparations were done in a glovebox and sealed under a vacuum. All quartz ampoules were sealed under 100 mTorr.
2.1.1. KCrP2S7 Single Crystal Growth
0.4000 g of reactants were loaded into a 9 mm inner-diameter carbonized silica ampoule at a stoichiometric ratio of K:Cr:P:S = 1:1:2:7. Potassium was rolled in pre-weighed chromium powder before adding to the ampoule. After sealing, these reactants were loaded into a programmable muffle furnace. The reactants were heated from room temperature to 125 °C in 10 h, dwelled for 10 h, heated up to 700 °C in 10 h, dwelled for 96 h, and then cooled to room temperature in 24 h. High quality large black needles were obtained. Formation of KCrP2S7 was verified using powder X-ray diffraction (vide infra).
2.1.2. KInP2S7
0.5000 g total of reactants were loaded into a 9 mm inner-diameter carbonized silica ampoule at a stoichiometric ratio of K:In:P2S5:S = 1.2:1:1:2, and in that order. P2S5 was grown as a single phase via heating stoichiometric ratio of P and S at 350 °C for 24 h. Ampoules were capped using parafilm and then pumped out of the glovebox for sealing. The ampules were sealed to an inner-ampoule length of about 8.3 cm. After sealing the ampoules, they were placed vertically in a programmable muffle furnace and separated, by about 2.5 cm, in individual ampoule holders held in a homemade quartz holder setup. The reactants were heated from room temperature to 125 °C in 10 h, dwelled for 10 h, heated up to 650 °C in 10 h, dwelled for 96 h, ramped down for 24 h to room temperature. A second annealing process was necessary to improve the phase purity. Amber single crystals and an amber colored mass was obtained. Formation of KInP2S7 was verified using powder X-ray diffraction (Figure S1). KInP2S7 and KCrP2S7 were stable in dry air for a few weeks. Within a high moisture environment, KInP2S7 and KCrP2S7 would slowly decompose into amorphous products.
2.2. Powder X-ray Diffraction
Powder X-ray diffraction data were collected at room temperature using a Rigaku Mini Flex VI diffractometer with Cu-Kα radiation (λ = 1.5406 Å) in the range 2θ = 10°–80°, at a scan step of 0.04° with ten seconds exposure time.
2.3. UV-Vis Measurements
Diffuse-reflectance spectra were recorded at room temperature by a PERSEE-T8DCS UV-Vis spectrophotometer equipped with an integration sphere in the wavelength range of 230−850 nm. The reflectance data, R were recorded and converted to the Kubelka-Munk function, f(R) = (1 − R)2(2R)−1. The Tauc plots, (KM × E)2 and (KM × E)1/2, were applied to estimate direct and indirect bandgaps, respectively.
2.4. Second Harmonic Measurements
Using the Kurtz and Perry method [38], powder SHG responses of KInP2S7 compound were investigated by a Q-switch laser (2.09 μm, 3 Hz, 50 ns) with various particle sizes, including 38.5–54, 54–88, 88–105, 105–150, and 150–200 μm. Homemade AgGaS2 was selected as the reference. The lab-synthesized AgGaS2 crystals were ground to the same size range as KInP2S7. The LDTs of the title compounds were evaluated on powder samples (150−200 μm) with a pulsed YAG laser (1.06 μm, 10 ns, 10 Hz). The judgment criterion is as follows: with increasing laser energy, the color change of the powder sample is constantly observed by an optical microscope to determine the damage threshold. To adjust different laser beams, an optical concave lens is added to the laser path. The damaged spot is measured by the scale of the optical microscope.
2.5. TB-LMTO-ASA Calculations
The density of states (DOS), partial density of states (PDOS), band structure, crystal orbital Hamilton population (COHP), and electron localization function (ELF) of KInP2S7 are calculated using the tight binding-linear muffin tin orbitals-atomic sphere approximation (TB-LMTO-ASA) program [39,40]. The Barth-Hedin exchange potential was employed for the LDA calculations [39]. The radial scalar-relativistic Dirac equation was solved to obtain the partial waves. The basis set used contained K (4s), In (5s, 5p, 5d) P (3s, 3p) and S (3s, 3p) orbitals, and was employed for a self-consistent calculation, with downfolded functions of K (4p, 3d), In (4f, 5d), P (3d) and S (3d). The density of states and band structures were calculated after converging the total energy on a dense k-mesh of KInP2S7 (16 × 16 × 16 points with 2064 irreducible k-points).
2.6. Magnetic Properties Measurements
Temperature dependence of magnetic susceptibility and isothermal magnetization measurements were performed by using the ACMSII option of a physical properties measurement system (PPMS).
3. Results and Discussion
3.1. Synthesis and Crystal Growth
To reduce the chance of incorporating foreign elements, a high temperature solid state synthetic method was preferred in this study. Due to the high reactive nature of potassium metals, the bottom of silica tubes was protected by amorphous carbon. Large mm-sized single crystals of KCrP2S7 were collected as shown in Figure 1 inset. The powder X-ray diffraction results confirmed the single-phase nature of KCrP2S7 as shown in Figure 1. The large KCrP2S7 crystals were manually selected and cleaved for magnetic measurements (vide infra). Pure samples of KInP2S7 were also collected after a high temperature solid state reaction (Figure S1). The crystals of KInP2S7 did not grow as large as the KCrP2S7. The final products of KInP2S7 are a mixture of KInP2S7 small crystals and polycrystalline powder chunks.
Figure 1.
Powder X-ray diffraction results of KCrP2S7, the insert shows the optical microscope photo of selected KCrP2S7 crystals. The crystals were manually cut and selected for properties measurements.
3.2. Crystal Structures
KCrP2S7 is isostructural to KInP2S7, which both crystallizes in the LiFeAs2O7 structure type and the acentric C2 (no.5) space group [35]. The acentric nature of KInP2S7 is confirmed by SHG measurements (vide infra). To simplify the discussion, KInP2S7 is selected to present the structural chemistry. The structure of KInP2S7 is summarized in Figure 2b,d. KInP2S7 possesses clear layered features, which is constructed by two-dimensional (2D) [InP2S7]−slabs sandwiched by K+ cations. The detailed view of 2D [InP2S7]− slab is shown in Figure 2d. The 2D [InP2S7]− slab is built by [InS6] octahedra and [P2S7] units. The [InS6] octahedra are interconnected to the [P2S7] units via sharing edges and vertices. The [P2S7] units are made by two [PS4] tetrahedra via sharing one apex sulfur atom. Each In atom is in the center of a distorted octahedron with the In-S distance falling into the range of 2.581–2.698 Å [35]. The P-S distances within [PS4] tetrahedra are 2.005–2.137 Å, which are comparable to many thiophosphates such as α-Ba2P2S6 (1.99(2)–2.04(2) Å) [15], β-Ba2P2S6(2.017(2)–2.028(2) Å) [15], Pb2P2S6(2.011(19)–2.040(18) Å) [15], K2BaP2S6 (1.958(17)–2.066(15) Å) [41], KSbP2S6 (1.962(1)–2.077(1) Å) [42], KBiP2S6 (1.961(3)–2.059(3) Å) [43], Pb3P2S8 (2.031–2.065 Å) [44], etc.
Figure 2.
(a) Ball-stick structure of Fe2P2S6 viewed along [010] direction, (b) ball-stick structure of KInP2S7 viewed along [100] direction, (c) a detailed view of [FeP2S3] layers within Fe2P2S6 viewed along [101] direction, (d) a detailed view of [InP2S7]− layer within KInP2S7 viewed along [101] direction. Fe: orange, P: black, S: yellow, K: green, In: pink.
One interesting point here would be the structure relationship between KInP2S7 and M2P2S6 (M = Mg, Mn, Fe, Co, Ni, Zn, Cd, Pb, Sn or mixed occupancy of two metals) systems as shown in Figure 2 [31,45,46,47,48,49,50,51,52,53,54]. The M2P2S6 system has emerged as an important system due to their 2D layered crystal structure coupled with highly tunable chemical properties via mixing various metals within the crystal lattice [31,45,46,47,48,49,50,51,52,53,54]. KInP2S7 shows quasi-layered features as shown in Figure 2b. Using Fe2P2S6 as an example to present the structure of the M2P2S6 system, which is shown in Figure 2a,c. The Fe2P2S6 is constructed by neutral [Fe2P2S6] slabs, which are constructed by [FeS6] octahedron and [P2S6] motifs. Within the asymmetric unit cell of Fe2P2S6, there are two independent Fe atomic positions. With leaving one Fe atomic position vacant and replacing another Fe atomic position by In atoms, the neutral [Fe2P2S6] slabs were changed to [InP2S6]− slabs. The P-P homoatomic bonds are broken with incorporation of In atoms, which results in the oxidation states for P changing from 4+ to 5+. One additional sulfur atom is incorporated in to [InP2S6]− slabs to link [PS4] tetrahedra, which forms [InP2S7]- slabs. Please notice, each [InS6] octahedral was shifted along [010] direction about ¼ b distance. The negatively charged [InP2S6]− slabs are compensated by inserting K+ cations. The trivalent In atoms within KInP2S7 can be replaced by isovalent transition metals such as Cr3+ and V3+, which introduce potential magnetic application into this system.
3.3. Bonding Pictures of KInP2S7
The AIIIP2S7 (A = K, Rb, Cs; III = V, Cr, In) family crystallizes in acentric C2 (no. 5) space group. The basic building units for KInP2S7 are intrinsically distorted [PS4] tetrahedron and [InS6] octahedron. The P-S distances within [PS4] tetrahedra are 2.005–2.137 Å. The bonding picture studies shows the covalent bonding nature of P-S interactions (Figure 3a). There are obvious attractors located between the P and S atoms. The covalent P-S interactions exhibit strong bonding characters with −ICOHP of 5.738 eV/bond for 2.05 Å P-S interactions. (Figure 3b). The P-S interactions were revealed to play an important role for contributing to the optical properties of KInP2S7 (vide infra). The distorted [InS6] octahedron is shown in Figure 3c. The central In atom is surrounded by four In-S interactions of 2.58 Å and two elongated In-S interactions of 2.70 Å, namely a 4 + 2 coordination environment. The two elongated 2.70 Å In-S interactions are located at the axial position and equatorial position, respectively. The COHP calculation (Figure 3b) and ELF (Figure S2) calculation indicated strong ionic interaction nature of In-S interactions. The calculated –ICOHPs for 2.58 Å In-S interactions and 2.70 Å In-S interactions are 1.939 eV/bond and 1.355 eV/bond, respectively. The distorted [InS6] octahedron contribute less than that of distorted [PS4] tetrahedron to the total optical properties of KInP2S7 (vide infra).
Figure 3.
(a) 3D isosurfaces of the ELF for a [PS4] tetrahedral within KInP2S7 with η = 0.75, P: gray, S: yellow. (b) COHP analyses of selected interactions within KInP2S7. (c) The [InS6] octahedron with bond distances labeled. P: gray, In: pink, S: yellow.
3.4. Magnetic Properties of KCrP2S7
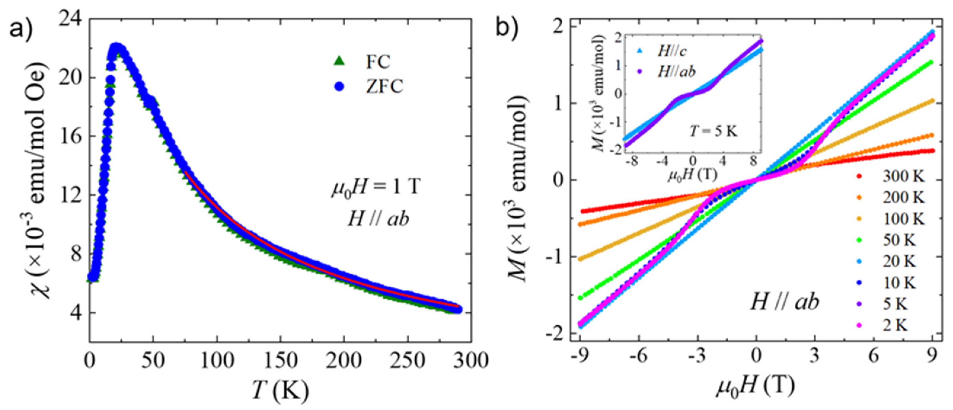
The layered crystal structure coupled with flexible chemical properties of the AIIIP2S7 (A = K, Rb, Cs; III = V, Cr, In) family indicate the potential broad applications such as magnetic properties and optical applications and the interface between them. Hence, we measured the magnetic properties of high quality KCrP2S7 crystals (Figure 1 inset). Figure 4a shows the zero-field cooling (ZFC) and field cooling (FC) temperature dependene of the magnetic susceptibility of a KCrP2S7 single crystal measured under a magnetic field of 1 T employed within the ab plane. A clear peak is observed at 21 K, which should be attribute to an antiferromagnetic transition because of the overlaping of the ZFC and FC data and a neagtive Weiss temperature of −50 K from fitting the data to the modied Curie-Weiss law (Figure 4a). The antiferromagnetic state is also consistent with the linear field dependence in the low field region of the isothermal magnetization, as shown in Figure 4b. At T = 2 K, a metamagnetic spin-flop transtion is observed around 3 T, which is suppressed up on increasing temeprature and disappears above the magnetic ordering temeprature (Figure 4b). Such spin-flop transition is not observed under an out-of-plane magnetic field. (Figure 4b, inset). These observations agree well with the antiferromagnetic ground state with an inplane easy axis of the Cr3+ moment. Similar scenario has also been observed in other layered magnetic materials such as NiPS3 [55]. The effective magnetic moment µeff estimated from the Curie constant of the fits are 3.80 µB, which agrees well with the theoretical values of trivalent Cr3+ (3.87 µB). A previous study of KCrP2S7 crystals grown by KBr also found an antiferromagnetic transition at 17 K [37]. The calculated µeff with employing H//c* is 3.95 µB [37]. In this work, high quality crystals were grown by solid state chemistry method, which eliminated the possibility of incorporation of foreign elements. The trivalent M3+ is also supported by the electron-precise nature of KInP2S7, where In is also trivalent (vide infra).
Figure 4.
(a) Temperature dependence of dc magnetic susceptibility of selected KCrP2S7 crystals measured in a field of 1 T employed parallel to the ab plane (H//ab). The red solid lines indicate the fit to the modified Curie-Weiss law. (b) Field dependence of isothermal magnetization (M) of KCrP2S7 at different temperatures, measured under H//ab. Inset: isothermal magnetization at 5 K with both in-plane (H//ab) and out-of-plane magnetic fields.
3.5. Electronic Structures of KInP2S7
Since the trivalent nature of III metals are within the AIIIP2S7 (A = K, Rb, Cs; III = V, Cr, In) family, the charge-balanced formula (A+)(III3+)(P5+)2(S2−)7 can be established by assigning a formal charge of 1+ to the alkali metals, 5+ to the P atoms, and 2− to the sulfur atoms. The charge-balanced nature of KInP2S7 was verified by TB-LMTO-ASA calculations (Figure 5) and UV-Vis measurements (vide infra). KInP2S7 is predicated to be an indirect bandgap semiconductor with the top of valance band and the bottom of conduction band located at the A points and the Λ points, respectively. The energy gap separating the conduction band and the valence band is 2.38 eV, which is comparable to the experimentally measured value of 2.4(1) eV (vide infra). The top of the valance band is mainly contributed by S 3p orbitals (Figure 5b) together with very small contribution from the In 5s and 5p orbitals. There is no accountable contribution from P 3p orbitals and K 4s orbitals at the bottom of the top of valence band. The S 3p orbitals and the P 3p orbitals significantly contribute to the bottom of the conduction band, where very small amounts are contributed are from the In 5s and 5p orbitals and K 4s orbitals. Hence, we can anticipate that the optical properties of KInP2S7 are mainly contributed by [PS4] tetrahedra units coupled with certain contribution from the [InS6] octahedra.
Figure 5.
(a) Calculated band structure and (b) DOS of KInP2S7.
3.6. Linear and Nonlinear Optical Properties of KInP2S7
KCrP2S7 is estimated to have a very small bandgap with the black appearance of the crystals. Hence, the optical properties were mainly carried on KInP2S7. The bandgap of KInP2S7 was estimated by UV-Vis measurements. The experimentally measured value is 2.4(1) eV (Figures S3 and S4), which agrees well with our theory study of 2.38 eV. KInP2S7 was predicated by L. Kang et al. to possess moderate SHG effects (18 × KDP) [2]. Our experiments verified this predication as shown in Figure S5. KInP2S7 does not exhibit type-I phase-matching behavior, where the SHG intensity increases first then decreases with particle size increasing. For KInP2S7 sample of particle size of 100 µm, the SHG intensity of KInP2S7 is about 0.51 × AgGaS2. Notice that, the quality of crystals may affect the SHG response [45]. KInP2S7 exhibited impressively high LDT of 5.2 × AgGaS2 (Table S1), which may originate from its high bandgap. More study is required to understand the high LDT of KInP2S7., The optical properties of KInP2S7 are dominantly contributed by [PS4] tetrahedra. Hence, a future bandgap engineering possibility is to modify the [PS4] tetrahedron, in example, by introducing As atoms or Sb atoms to replace P atoms so to suppress the bandgap and enhance SHG response [56]. To further understand the optical properties of KInP2P7, a DFT calculation is undergoing [57,58,59].
4. Conclusions
Two structurally known thiophosphates, KInP2S7 and KCrP2S7, were revisited in this work. Single phases and crystals of KInP2S7 and KCrP2S7 were grown by high temperature solid state reactions. KCrP2S7 is isostructural to KInP2S7, which features a layered structure. KInP2S7 and KCrP2S7 possess a close relationship to the layered thiophosphate M2P2S6, where the divalent metals within M2P2S6 are replaced by In3+ or Cr3+ and break down the P-P interactions. The K cations were inserted between [MP2S7]−M = Cr or In to compensate the charge and fill the space. Magnetic measurement on mm-sized crystals of KCrP2S7 verified the antiferromagnetic transition around 21K and the trivalent nature of Cr atoms. The bonding pictures of KInP2S7 were studied by ELF coupled with COHP calculations. The intrinsically distorted [PS4] tetrahedra and [InS6] octahedra are made by strong covalent P-S interactions and ionic In-S interactions, respectively. KInP2S7 is predicated to be an indirect bandgap semiconductor of 2.38 eV, which is confirmed by the UV-Vis measurement of 2.4(1) eV. Electronic structure analysis confirmed that the main contributing factor to the optical properties of KInP2S7 are [PS4] tetrahedra while small amounts of contribution are from [InS6] octahedra. KInP2S7 is not a type-I phase-matching materials and exhibits moderate SHG response (0.51 × AgGaS2, sample of particle size of 100 µm). The LDT of KInP2S7 is very high at 5.2 × AgGaS2. Bandgap engineering were undergone to enhance the SHG response of KInP2S7.
Supplementary Materials
The following supporting information can be downloaded at: https://www.mdpi.com/article/10.3390/cryst12111505/s1, Room temperature powder X-ray diffraction data (Figure S1), ELF calculation (Figure S2), UV-Vis data (Figure S3), Tauc plots (Figure S4), SHG measurements (Figure S5), LDT measurement results (Table S1).
Author Contributions
C.C. and V.N.: Methodology, Validation; S.K.C. and J.H.: Resources and Investigation; S.G.: Resources; J.W.: Data curation, Formal analysis, Funding acquisition, Supervision, Writing—original draft, Writing—review and editing. All authors have read and agreed to the published version of the manuscript.
Funding
This research was funded by NASA’s support and award number No. 80NSSC22M0028. Work at the University of Arkansas (magnetic property study) is supported by the U.S. Department of Energy, Office of Science, Basic Energy Sciences program under Grant No. DE-SC0022006.
Institutional Review Board Statement
Not applicable.
Informed Consent Statement
Not applicable.
Data Availability Statement
Not applicable.
Acknowledgments
J.W. would like to thank Kui Wu at Hebei University for helping on LDT measurement.
Conflicts of Interest
The authors declare no conflict of interest.
References
- Li, Z.; Jiang, X.; Zhou, M.; Guo, Y.; Luo, X.; Wu, Y.; Lin, Z.; Yao, J. Zn3P2S8: A Promising Infrared Nonlinear-Optical Material with Excellent Overall Properties. Inorg. Chem. 2018, 57, 10503–10506. [Google Scholar] [CrossRef] [PubMed]
- Kang, L.; Zhou, M.; Yao, J.; Lin, Z.; Wu, Y.; Chen, C. Metal Thiophosphates with Good Mid-Infrared Nonlinear Optical Performances: A First-Principles Prediction and Analysis. J. Am. Chem. Soc. 2015, 137, 13049–13059. [Google Scholar] [CrossRef] [PubMed]
- Anema, A.; Grabar, A.; Rasing, T. The Nonlinear Optical Properties of Sn2P2S6. Ferroelectrics 1996, 183, 181–183. [Google Scholar] [CrossRef]
- Hu, Q.; Ruan, K.; Wang, Y.; Ding, K.; Xu, Y. Synthesis and Nonlinear Optical Properties of New Gallium Thiophosphate Rb2Ga2P2S9. New J. Chem. 2019, 43, 12468–12474. [Google Scholar] [CrossRef]
- Chen, M.-M.; Zhou, S.-H.; Wei, W.; Ran, M.-Y.; Li, B.; Wu, X.-T.; Lin, H.; Zhu, Q.-L. RbBiP2S6: A Promising IR Nonlinear Optical Material with a Giant Second-Harmonic Generation Response Designed by Aliovalent Substitution. ACS Mater. Lett. 2022, 4, 1264–1269. [Google Scholar] [CrossRef]
- Fan, Y.-H.; Jiang, X.-M.; Liu, B.-W.; Li, S.-F.; Guo, W.-H.; Zeng, H.-Y.; Guo, G.-C.; Huang, J.-S. Phase Transition and Second Harmonic Generation in Thiophosphates Ag2Cd(P2S6) and AgCd3(PS4)S2 Containing Two Second-Order Jahn-Teller Distorted Cations. Inorg. Chem. 2017, 56, 114–124. [Google Scholar] [CrossRef]
- Li, Z.; Zhang, S.; Huang, Z.; Zhao, L.-D.; Uykur, E.; Xing, W.; Lin, Z.; Yao, J.; Wu, Y. Molecular Construction from AgGaS2 to CuZnPS4: Defect-Induced Second Harmonic Generation Enhancement and Cosubstitution-Driven Band Gap Enlargement. Chem. Mater. 2020, 32, 3288–3296. [Google Scholar] [CrossRef]
- Li, Z.; Zhang, S.; Xing, W.; Guo, Y.; Li, C.; Lin, Z.; Yao, J.; Wu, Y. Mixed-Metal Thiophosphate CuCd3PS6: An Infrared Nonlinear Optical Material Activated by Its Three-in-One Tetrahedra-Stacking Architecture. J. Mater. Chem. C 2020, 8, 5020–5024. [Google Scholar] [CrossRef]
- Zhou, M.; Kang, L.; Yao, J.; Lin, Z.; Wu, Y.; Chen, C. Midinfrared Nonlinear Optical Thiophosphates from LiZnPS4 to AgZnPS4: A Combined Experimental and Theoretical Study. Inorg. Chem. 2016, 55, 3724–3726. [Google Scholar] [CrossRef]
- Feng, J.; Hu, C.-L.; Li, B.; Mao, J.-G. LiGa2PS6 and LiCd3PS6: Molecular Designs of Two New Mid-Infrared Nonlinear Optical Materials. Chem. Mater. 2018, 30, 3901–3908. [Google Scholar] [CrossRef]
- Li, M.-Y.; Ma, Z.; Li, B.; Wu, X.-T.; Lin, H.; Zhu, Q.-L. HgCuPS4: An Exceptional Infrared Nonlinear Optical Material with Defect Diamond-like Structure. Chem. Mater. 2020, 32, 4331–4339. [Google Scholar] [CrossRef]
- Chu, Y.; Wang, P.; Zeng, H.; Cheng, S.; Su, X.; Yang, Z.; Li, J.; Pan, S. Hg3P2S8: A New Promising Infrared Nonlinear Optical Material with a Large Second-Harmonic Generation and a High Laser-Induced Damage Threshold. Chem. Mater. 2021, 33, 6514–6521. [Google Scholar] [CrossRef]
- Huang, X.; Yang, S.-H.; Li, X.-H.; Liu, W.; Guo, S.-P. Eu2P2S6: The First Rare-Earth Chalcogenophosphate Exhibiting Large Second-Harmonic Generation Response and High Laser-Induced Damage Threshold. Angew. Chem. Int. Ed. 2022, 61, e202206791. [Google Scholar] [CrossRef] [PubMed]
- Feng, J.-H.; Hu, C.-L.; Xu, X.; Li, B.-X.; Zhang, M.-J.; Mao, J.-G. AgGa2PS6: A New Mid-Infrared Nonlinear Optical Material with a High Laser Damage Threshold and a Large Second Harmonic Generation Response. Chem.-Eur. J. 2017, 23, 10978–10982. [Google Scholar] [CrossRef] [PubMed]
- Ji, B.; Sarkar, A.; Wu, K.; Swindle, A.; Wang, J. A2P2S6 (A = Ba and Pb): A Good Platform to Study the Polymorph Effect and Lone Pair Effect to Form an Acentric Structure. Dalton Trans. 2022, 51, 4522–4531. [Google Scholar] [CrossRef]
- Liu, B.-W.; Zeng, H.-Y.; Jiang, X.-M.; Wang, G.-E.; Li, S.-F.; Xu, L.; Guo, G.-C. [A3X] [Ga3PS8 ] (A = K, Rb; X = Cl, Br): Promising IR Non-Linear Optical Materials Exhibiting Concurrently Strong Second-Harmonic Generation and High Laser Induced Damage Thresholds. Chem. Sci. 2016, 7, 6273–6277. [Google Scholar] [CrossRef]
- Krauskopf, T.; Culver, S.P.; Zeier, W.G. Local Tetragonal Structure of the Cubic Superionic Conductor Na3PS4. Inorg. Chem. 2018, 57, 4739–4744. [Google Scholar] [CrossRef]
- Krauskopf, T.; Culver, S.P.; Zeier, W.G. Bottleneck of Diffusion and Inductive Effects in Li10Ge1–xSnxP2S12. Chem. Mater. 2018, 30, 1791–1798. [Google Scholar] [CrossRef]
- Duchardt, M.; Neuberger, S.; Ruschewitz, U.; Krauskopf, T.; Zeier, W.G.; der Günne, J.S.A.; Adams, S.; Roling, B.; Dehnen, S. Superion Conductor Na11.1Sn2.1P0.9Se12: Lowering the Activation Barrier of Na+ Conduction in Quaternary 1–4–5–6 Electrolytes. Chem. Mater. 2018, 30, 4134–4139. [Google Scholar] [CrossRef]
- Kaup, K.; Lalère, F.; Huq, A.; Shyamsunder, A.; Adermann, T.; Hartmann, P.; Nazar, L.F. Correlation of Structure and Fast Ion Conductivity in the Solid Solution Series Li1+2xZn1−XPS4. Chem. Mater. 2018, 30, 592–596. [Google Scholar] [CrossRef]
- Bernges, T.; Culver, S.P.; Minafra, N.; Koerver, R.; Zeier, W.G. Competing Structural Influences in the Li Superionic Conducting Argyrodites Li6PS5–xSexBr (0 ≤ x ≤ 1) upon Se Substitution. Inorg. Chem. 2018, 57, 13920–13928. [Google Scholar] [CrossRef] [PubMed]
- Duchardt, M.; Ruschewitz, U.; Adams, S.; Dehnen, S.; Roling, B. Vacancy-Controlled Na+ Superion Conduction in Na11Sn2PS12. Angew. Chem. 2018, 130, 1365–1369. [Google Scholar] [CrossRef]
- Fan, Y.-H.; Zeng, H.-Y.; Jiang, X.-M.; Zhang, M.-J.; Liu, B.-W.; Guo, G.-C.; Huang, J.-S. Thiophosphates Containing Ag+ and Lone-Pair Cations with Interchiral Double Helix Show Both Ionic Conductivity and Phase Transition. Inorg. Chem. 2017, 56, 962–973. [Google Scholar] [CrossRef] [PubMed]
- Dietrich, C.; Weber, D.A.; Culver, S.; Senyshyn, A.; Sedlmaier, S.J.; Indris, S.; Janek, J.; Zeier, W.G. Synthesis, Structural Characterization, and Lithium Ion Conductivity of the Lithium Thiophosphate Li2P2S6. Inorg. Chem. 2017, 56, 6681–6687. [Google Scholar] [CrossRef]
- Kraft, M.A.; Culver, S.P.; Calderon, M.; Böcher, F.; Krauskopf, T.; Senyshyn, A.; Dietrich, C.; Zevalkink, A.; Janek, J.; Zeier, W.G. Influence of Lattice Polarizability on the Ionic Conductivity in the Lithium Superionic Argyrodites Li6PS5X (X = Cl, Br, I). J. Am. Chem. Soc. 2017, 139, 10909–10918. [Google Scholar] [CrossRef]
- Sun, Y.; Suzuki, K.; Hori, S.; Hirayama, M.; Kanno, R. Superionic Conductors: Li10þd [SnySi1−y] 1þdP2À DS12 with a Li10GeP2S12-Type Structure in the Li3PS4-Li4SnS4-Li4SiS4 Quasi-Ternary System. Chem. Mater. 2017, 29, 5858–5864. [Google Scholar] [CrossRef]
- Wu, T.; Stone, M.L.; Shearer, M.J.; Stolt, M.J.; Guzei, I.A.; Hamers, R.J.; Lu, R.; Deng, K.; Jin, S.; Schmidt, J.R. Crystallographic Facet Dependence of the Hydrogen Evolution Reaction on CoPS: Theory and Experiments. ACS Catal. 2018, 8, 1143–1152. [Google Scholar] [CrossRef]
- Zhang, X.; Luo, Z.; Yu, P.; Cai, Y.; Du, Y.; Wu, D.; Gao, S.; Tan, C.; Li, Z.; Ren, M.; et al. Lithiation-Induced Amorphization of Pd3P2S8 for Highly Efficient Hydrogen Evolution. Nat. Catal. 2018, 1, 460–468. [Google Scholar] [CrossRef]
- Itthibenchapong, V.; Kokenyesi, R.S.; Ritenour, A.J.; Zakharov, L.N.; Boettcher, S.W.; Wager, J.F.; Keszler, D.A. Earth-Abundant Cu-Based Chalcogenide Semiconductors as Photovoltaic Absorbers. J. Mater. Chem. C 2012, 1, 657–662. [Google Scholar] [CrossRef]
- Neuberger, S.; Culver, S.P.; Eckert, H.; Zeier, W.G.; Schmedt auf der Günne, J. Refinement of the crystal structure of Li4P2S6 using NMR crystallography. Dalton Trans. 2018, 47, 11691–11695. [Google Scholar] [CrossRef]
- Cheng, M.; Lee, Y.-S.; dos Reis, R.; Iyer, A.; Chica, D.; Kanatzidis, M.; Dravid, V. Structural and Chemical Analysis of Mixed Cation Antiferromagnetic Layered Metal Chalcophosphate FeCoP2S6. Microsc. Microanal. 2021, 27, 140–143. [Google Scholar] [CrossRef]
- Usman, M.; Smith, M.D.; Klepov, V.V.; zur Loye, H.-C. One-Dimensional Quaternary and Penternary Alkali Rare Earth Thiophosphates Obtained via Alkali Halide Flux Crystal Growth. Cryst. Growth Des. 2019, 19, 5648–5657. [Google Scholar] [CrossRef]
- Korotkov, A.S. Dependence of the Appearance of Crystal Acentricity on the Chemical Composition of Complex Inorganic Compounds and the Prediction of New Thiosilicates and Thiophosphates. J. Electron. Mater. 2020, 49, 4882–4891. [Google Scholar] [CrossRef]
- Gutzmann, A.; Näther, C.; Bensch, W. CsVP2S7. Acta Crystallogr. Sect. E Struct. Rep. Online 2005, 61, i6–i8. [Google Scholar] [CrossRef]
- Kopnin, E.; Coste, S.; Jobic, S.; Evain, M.; Brec, R. Synthesis and Crystal Structure Determination of Three Layered-Type Thiophosphate Compounds KMP2S7 (M = Cr, V, In). Mater. Res. Bull. 2000, 35, 1401–1410. [Google Scholar] [CrossRef]
- Kim, K.; Na, J.; Yun, H. The Two-Dimensional Thiophosphate CsCrP2S7. Acta Crystallogr. Sect. E Struct. Rep. Online 2010, 66, i65. [Google Scholar] [CrossRef] [PubMed]
- Sekizawa, K.; Sashida, M.; Takano, Y.; Takahashi, Y.; Takase, K. Magnetic Properties and Specific Heat of KV1−xCrxP2S7. J. Magn. Magn. Mater. 2004, 272–276, E597–E598. [Google Scholar] [CrossRef]
- Kurtz, S.K.; Perry, T.T. A Powder Technique for the Evaluation of Nonlinear Optical Materials. J. Appl. Phys. 1968, 39, 3798–3813. [Google Scholar] [CrossRef]
- Tank, R.; Jepsen, O.; Burkhardt, A.; Andersen, O.K. The Program TB-LMTO-ASA, Version 4.7; Max-Planck-Institut für Festkörperforschung: Stuttgart, Germany, 1999.
- Von Barth, U.; Hedin, L. A Local Exchange-Correlation Potential for the Spin Polarized Case. i. J. Phys. C Solid State Phys. 1972, 5, 1629–1642. [Google Scholar] [CrossRef]
- Nguyen, V.; Ji, B.; Wu, K.; Zhang, B.; Wang, J. Unprecedented Mid-Infrared Nonlinear Optical Materials Achieved by Crystal Structure Engineering, a Case Study of (KX)P2S6 (X = Sb, Bi, Ba). Chem. Sci. 2022, 13, 2640–2648. [Google Scholar] [CrossRef]
- Manriquez, V.; Galdámez, A.; León, D.R.; Garland, M.T. Crystal structure of potassium antimony hexathiodiphosphate, KSbP2S6. Z. Für Krist.-New Cryst. Struct. 2003, 218, 435–436. [Google Scholar] [CrossRef]
- Manriquez, V.; Galdámez, A.; León, D.R.; Garland, M.T.; Jiménez, M. Crystal structure of potassium bismuth hexathiodiphosphate, KBiP2S6. Z. Für Krist.-New Cryst. Struct. 2003, 218, 151–252. [Google Scholar] [CrossRef]
- Ji, B.; Guderjahn, E.; Wu, K.; Syed, T.H.; Wei, W.; Zhang, B.; Wang, J. Revisiting Thiophosphate Pb3P2S8: A Multifunctional Material Combining a Nonlinear Optical Response and Photocurrent Response. Phys. Chem. Chem. Phys. 2021, 23, 23696–23702. [Google Scholar] [CrossRef] [PubMed]
- Klingen, W.; Eulenberger, G.; Hahn, H. Über Hexathio- und Hexaselenohypodiphosphate vom Typ M2IIP2X6. Naturwissenschaften 1968, 55, 229–230. [Google Scholar] [CrossRef]
- Jörgens, S.; Mewis, A. Die Kristallstrukturen von Hexachalcogeno-Hypodiphosphaten des Magnesiums und Zinks. Z. Für Anorg. Allg. Chem. 2004, 630, 51–57. [Google Scholar] [CrossRef]
- Liu, Q.; Zhou, W.; Gao, C.; Hu, T.; Zhao, X. Synthesis and Second-Order Optical Nonlinearity of DAMS/Mn2P2S6 Intercalated Materials by Ion Exchange Method. Chem. Phys. Lett. 2009, 477, 388–391. [Google Scholar] [CrossRef]
- Rao, R.R.; Raychaudhuri, A.K. Magnetic Studies of a Mixed Antiferromagnetic System Fe1−xNixPS3. J. Phys. Chem. Solids. 1992, 53, 577–583. [Google Scholar] [CrossRef]
- Klingen, W.; Eulenberger, G.; Hahn, H. Uber die Kristallstrukturen von Fe2P2Se6 und Fe2P2S6. Z. Anorg. Allg. Chem. 1973, 401, 97–112. [Google Scholar] [CrossRef]
- Prouzet, E.; Ouvrard, G.; Brec, R. Structure Determination of ZnPS3. Mater. Res. Bull. 1986, 21, 195–200. [Google Scholar] [CrossRef]
- Klingen, W.; Eulenberger, G.; Hahn, H. Über Hexachalkogeno-hypodiphosphate vom Typ M2P2X6. Naturwissenschaften 1970, 57, 88. [Google Scholar] [CrossRef]
- Becker, R.; Brockner, W.; Schäfer, H. Kristallstruktur Und Schwingungsspektren Des Di-Blei-Hexathiohypodiphosphates Pb2P2S6/Crystal Structure and Vibrational Spectra of Pb2P2S6. Z. Für Nat. A 1983, 38, 874–879. [Google Scholar] [CrossRef]
- Lifshitz, E.; Francis, A.H. Magnetic Resonance and Electronic Spectroscopy of M2P2S6 Intercalation Compounds. In Chemical Physics of Intercalation; NATO ASI Series; Legrand, A.P., Flandrois, S., Eds.; Springer: Boston, MA, USA, 1987; pp. 425–431. [Google Scholar] [CrossRef]
- Bhowmick, A.; Bal, B.; Ganguly, S.; Bhattacharya, M.; Kundu, M.L. Investigation of the Layered Compound Fe0.5Cd0.5PS3. J. Phys. Chem. Solids. 1992, 53, 1279–1284. [Google Scholar] [CrossRef]
- Basnet, R.; Wegner, A.; Pandey, K.; Storment, S.; Hu, J. Highly sensitive spin-flop transition in antiferromagnetic van der Waals material MPS3 (M = Ni and Mn). Phys. Rev. Mater. 2021, 2021. 5, 064413. [Google Scholar] [CrossRef]
- Cicirello, G.; Wu, K.; Zhang, B.B.; Wang, J. Applying Band Gap Engineering to Tune the Linear Optical and Nonlinear Optical Properties of Noncentrosymmetric Chalcogenides La4Ge3SexS12−x(x = 0, 2, 4, 6, 8, 10). Inorg. Chem. Front. 2021, 8, 4914–4923. [Google Scholar] [CrossRef]
- Reshak, A.H.; Abbass, N.M.; Bila, J.; Johan, M.R.; Kityk, I. Noncentrosymmetric Sulfide Oxide MZnSO (M = Ca or Sr) with Strongly Polar Structure as Novel Nonlinear Crystals. J. Phys. Chem. C. 2019, 123, 27172–27180. [Google Scholar] [CrossRef]
- Ji, B.; Pandey, K.; Harmer, C.P.; Wang, F.; Wu, K.; Hu, J.; Wang, J. Centrosymmetric or Noncentrosymmetric? Transition Metals Talking in K2TGe3S8(T = Co, Fe). Inorg. Chem. 2021, 60, 10603–10613. [Google Scholar] [CrossRef]
- Bardelli, S.; Ye, Z.; Wang, F.; Zhang, B.; Wang, J. Synthesis, Crystal and Electronic Structures, and Nonlinear Optical Properties of Y4Si3S12. Z. Anorg. Allg. Chem. 2022, 648, e202100. [Google Scholar] [CrossRef]
Publisher’s Note: MDPI stays neutral with regard to jurisdictional claims in published maps and institutional affiliations. |
© 2022 by the authors. Licensee MDPI, Basel, Switzerland. This article is an open access article distributed under the terms and conditions of the Creative Commons Attribution (CC BY) license (https://creativecommons.org/licenses/by/4.0/).




