Influence of Doping on the Transport Properties of Y1−xLnxMnO3+δ (Ln: Pr, Nd)
Abstract
1. Introduction
2. Materials and Methods
3. Results and Discussion
3.1. Crystal Structure and Phase Composition after Sintering
3.2. Oxygen Content—Thermogravimetric Analyses
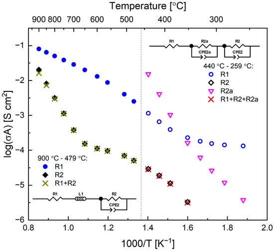
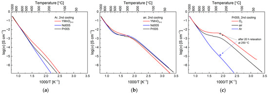
3.3. Electrical Conductivity Measurements
3.4. Thermoelectric power of Y0.95Pr0.05MnO3+δ
3.5. Stability of Y0.95Pr0.05MnO3+δ vs. Solid Electrolytes
4. Conclusions
Supplementary Materials
Author Contributions
Funding
Institutional Review Board Statement
Informed Consent Statement
Data Availability Statement
Conflicts of Interest
References
- Biswas, T.; Jain, M. Quasiparticle band structure and optical properties of hexagonal-YMnO3. J. Appl. Phys. 2016, 120. [Google Scholar] [CrossRef]
- Cheong, S.W.; Mostovoy, M. Multiferroics: A magnetic twist for ferroelectricity. Nat. Mater. 2007, 6, 13–20. [Google Scholar] [CrossRef] [PubMed]
- Bertaut, E.F.; Mercier, M. Structure Magnetique de MnYO3. Phys. Lett. 1963, 5, 27. [Google Scholar] [CrossRef]
- Huang, Z.; Cao, Y.; Sun, Y.; Xue, Y.; Chu, C. Coupling between the ferroelectric and antiferromagnetic orders. Phys. Rev. B Condens. Matter Mater. Phys. 1997, 56, 2623–2626. [Google Scholar] [CrossRef]
- Fiebig, M.; Lottermoser, T.; Fröhlich, D.; Goltsev, A.V.; Pisarev, R.V. Observation of coupled magnetic and electric domains. Nature 2002, 419, 818–820. [Google Scholar] [CrossRef] [PubMed]
- Lee, S.; Pirogov, A.; Han, J.H.; Park, J.G.; Hoshikawa, A.; Kamiyama, T. Direct observation of a coupling between spin, lattice and electric dipole moment in multiferroic YMnO3. Phys. Rev. B Condens. Matter Mater. Phys. 2005, 71, 1–4. [Google Scholar] [CrossRef]
- Lima, A.F.; Lalic, M.V. Optical absorption spectrum and electronic structure of multiferroic hexagonal YMnO 3 compound. Opt. Mater. (Amst). 2017, 64, 406–412. [Google Scholar] [CrossRef]
- Van Aken, B.B.; Meetsma, A.; Palstra, T.T.M. Hexagonal YbMnO 3 revisited. Acta Crystallogr. Sect. E Struct. Reports Online 2001, 57, i87–i89. [Google Scholar] [CrossRef]
- Van Aken, B.B.; Palstra, T.T.M.; Filippetti, A.; Spaldin, N.A. The origin of ferroelectricity in magnetoelectric YMnO3. Nat. Mater. 2004, 3, 164–170. [Google Scholar] [CrossRef]
- Gibbs, A.S.; Knight, K.S.; Lightfoot, P. High-temperature phase transitions of hexagonal YMnO3. Phys. Rev. B Condens. Matter Mater. Phys. 2011, 83, 1–9. [Google Scholar] [CrossRef]
- Świerczek, K.; Klimkowicz, A.; Nishihara, K.; Kobayashi, S.; Takasaki, A.; Alanizy, M.; Kolesnik, S.; Dabrowski, B.; Seong, S.; Kang, J. Oxygen storage properties of hexagonal HoMnO3+: δ. Phys. Chem. Chem. Phys. 2017, 19, 19243–19251. [Google Scholar] [CrossRef] [PubMed]
- Remsen, S.; Dabrowski, B. Synthesis and oxygen storage capacities of hexagonal Dy1-x Yx Mn O3+d. Chem. Mater. 2011, 23, 3818–3827. [Google Scholar] [CrossRef]
- Remsen, S.; Dabrowski, B.; Chmaissem, O.; Mais, J.; Szewczyk, A. Synthesis and oxygen content dependent properties of hexagonal DyMnO 3+δ. J. Solid State Chem. 2011, 184, 2306–2314. [Google Scholar] [CrossRef]
- Klimkowicz, A.; Świerczek, K.; Kobayashi, S.; Takasaki, A.; Allahyani, W.; Dabrowski, B. Improvement of oxygen storage properties of hexagonal YMnO3+δ by microstructural modifications. J. Solid State Chem. 2018, 258, 471–476. [Google Scholar] [CrossRef]
- Abughayada, C.; Dabrowski, B.; Kolesnik, S.; Brown, D.E.; Chmaissem, O. Characterization of Oxygen Storage and Structural Properties of Oxygen-Loaded Hexagonal R MnO 3+δ (R = Ho, Er, and Y). Chem. Mater. 2015, 27, 6259–6267. [Google Scholar] [CrossRef]
- Motohashi, T.; Ueda, T.; Masubuchi, Y.; Takiguchi, M.; Setoyama, T.; Oshima, K.; Kikkawa, S. Remarkable Oxygen Intake/Release Capability of BaYMn 2 O 5+δ: Applications to Oxygen Storage Technologies. Chem. Mater. 2010, 22, 3192–3196. [Google Scholar] [CrossRef]
- Motohashi, T.; Hirano, Y.; Masubuchi, Y.; Oshima, K.; Setoyama, T.; Kikkawa, S. Oxygen Storage Capability of Brownmillerite-type Ca 2 AlMnO 5+δ and Its Application to Oxygen Enrichment. Chem. Mater. 2013, 25, 372–377. [Google Scholar] [CrossRef]
- Parkkima, O.; Yamauchi, H.; Karppinen, M. Oxygen Storage Capacity and Phase Stability of Variously Substituted YBaCo 4 O 7+δ. Chem. Mater. 2013, 25, 599–604. [Google Scholar] [CrossRef]
- Motohashi, T.; Ueda, T.; Masubuchi, Y.; Kikkawa, S. Oxygen Intake/Release Mechanism of Double-Perovskite Type BaYMn 2 O 5+ δ (0 ≤ δ ≤ 1). J. Phys. Chem. C 2013, 117, 12560–12566. [Google Scholar] [CrossRef]
- Karppinen, M.; Yamauchi, H.; Otani, S.; Fujita, T.; Motohashi, T.; Huang, Y.-H.; Valkeapää, M.; Fjellvåg, H. Oxygen Nonstoichiometry in YBaCo 4 O 7+ δ: Large Low-Temperature Oxygen Absorption/Desorption Capability. Chem. Mater. 2006, 18, 490–494. [Google Scholar] [CrossRef]
- Machida, M.; Kawamura, K.; Ito, K.; Ikeue, K. Large-Capacity Oxygen Storage by Lanthanide Oxysulfate/Oxysulfide Systems. Chem. Mater. 2005, 17, 1487–1492. [Google Scholar] [CrossRef]
- Readman, J.E.; Olafsen, A.; Larring, Y.; Blom, R. La0.8Sr0.2Co0.2Fe0.8O3–δ as a potential oxygen carrier in a chemical looping type reactor, an in-situ powder X-ray diffraction study. J. Mater. Chem. 2005, 15, 1931. [Google Scholar] [CrossRef]
- Klimkowicz, A.; Cichy, K.; Chmaissem, O.; Dabrowski, B.; Poudel, B.; Świerczek, K.; Taddei, K.M.; Takasaki, A. Reversible oxygen intercalation in hexagonal Y 0.7 Tb 0.3 MnO 3+: δ: Toward oxygen production by temperature-swing absorption in air. J. Mater. Chem. A 2019, 7, 2608–2618. [Google Scholar] [CrossRef]
- Cichy, K.; Świerczek, K.; Jarosz, K.; Klimkowicz, A.; Marzec, M.; Gajewska, M.; Dabrowski, B. Towards efficient oxygen separation from air: Influence of the mean rare-earth radius on thermodynamics and kinetics of reactivity with oxygen in hexagonal Y1-xRxMnO3+δ. Acta Mater. 2021, 205. [Google Scholar] [CrossRef]
- Toby, B.H. EXPGUI, a graphical user interface for GSAS. J. Appl. Crystallogr. 2001, 34, 210–213. [Google Scholar] [CrossRef]
- Larson, A.C.; Dreele, R.B. Generalized Structure Analysis System (GSAS). Los Alamos National Laboratory Report LAUR 86-748 2000. [Google Scholar]
- Ordóñez-Miranda, J.; Alvarado-Gil, J.J.; Medina-Ezquivel, R. Generalized Bruggeman Formula for the Effective Thermal Conductivity of Particulate Composites with an Interface Layer. Int. J. Thermophys. 2010, 31, 975–986. [Google Scholar] [CrossRef]
- Stroud, D. Generalized effective-medium approach to the conductivity of an inhomogeneous material. Phys. Rev. B 1975, 12, 3368–3373. [Google Scholar] [CrossRef]
- Asakura, Y.; Miyake, A.; Otomo, M.; Yin, S. Improvement of the O 2 storage/release rate of YMnO 3 nanoparticles synthesized by the polymerized complex method. Dalt. Trans. 2020, 49, 966–971. [Google Scholar] [CrossRef] [PubMed]
- Parkkima, O.; Malo, S.; Hervieu, M.; Rautama, E.L.; Karppinen, M. New RMnO3+δ (R=Y, Ho; δ≈0.35) phases with modulated structure. J. Solid State Chem. 2015, 221, 109–115. [Google Scholar] [CrossRef]
- Nishiyama, S.; Asako, I.; Iwadate, Y.; Hattori, T. Preparation of Y(Mn1−xFex)O3 and Electrical Properties of the Sintered Bodies. Open J. Inorg. Chem. 2015, 5, 7–11. [Google Scholar] [CrossRef][Green Version]
- Abughayada, C.; Dabrowski, B.; Avdeev, M.; Kolesnik, S.; Remsen, S.; Chmaissem, O. Structural, magnetic, and oxygen storage properties of hexagonal Dy 1-xYxMnO3+δ. J. Solid State Chem. 2014, 217, 127–135. [Google Scholar] [CrossRef]
- Ziman, J.M. Principles of the Theory of Solids; Cambridge University Press: Cambridge, UK, 1972; ISBN 9780521297332. [Google Scholar]
- Peña-Martínez, J.; Marrero-López, D.; Ruiz-Morales, J.C.; Núñez, P.; Sánchez-Bautista, C.; Dos Santos-García, A.J.; Canales-Vázquez, J. On Ba0.5Sr0.5Co1−yFeyO3−δ (y=0.1–0.9) oxides as cathode materials for La0.9Sr0.1Ga0.8Mg0.2O2.85 based IT-SOFCs. Int. J. Hydrogen Energy 2009, 34, 9486–9495. [Google Scholar] [CrossRef]
- Chen, D.; Ran, R.; Zhang, K.; Wang, J.; Shao, Z. Intermediate-temperature electrochemical performance of a polycrystalline PrBaCo2O5+δ cathode on samarium-doped ceria electrolyte. J. Power Sources 2009, 188, 96–105. [Google Scholar] [CrossRef]
- Olszewska, A.; Du, Z.; Świerczek, K.; Zhao, H.; Dabrowski, B. Novel ReBaCo 1.5 Mn 0.5 O 5+δ (Re: La, Pr, Nd, Sm, Gd and Y) perovskite oxide: Influence of manganese doping on the crystal structure, oxygen nonstoichiometry, thermal expansion, transport properties, and application as a cathode material in solid oxide f. J. Mater. Chem. A 2018, 6, 13271–13285. [Google Scholar] [CrossRef]
- Ishihara, T.; Matsuda, H.; Takita, Y. Doped LaGaO3 Perovskite Type Oxide as a New Oxide Ionic Conductor. J. Am. Chem. Soc. 1994, 116, 3801–3803. [Google Scholar] [CrossRef]
- Raghvendra; Singh, R.K.; Singh, P. Electrical conductivity of barium substituted LSGM electrolyte materials for IT-SOFC. Solid State Ionics 2014, 262, 428–432. [Google Scholar] [CrossRef]








| Chemical Formula | Space Group | Unit Cell Parameters [Å] and Volume [Å3] | Theoretical [g cm−3] and Relative Density [%] | Refinement Goodness |
|---|---|---|---|---|
| YMnO3+δ | P63cm (Hex0) | a = 6.1447(1) c = 11.3830(2) V = 372.22(1) | ρXRD = 5.135 ρREL = 79.5 | Rwp = 3.50% Rp = 2.36% chi2 = 3.003 |
| Y0.95Nd0.05MnO3+δ (Nd005) | P63cm (Hex0) | a = 6.1568(1) c = 11.3819(2) V = 373.64(1) | ρXRD = 5.189 ρREL = 80.0 | Rwp = 3.40% Rp = 2.33% chi2 = 2.792 |
| Y0.95Pr0.05MnO3+δ (Pr005) | P63cm (Hex0) | a = 6.1582(1) c = 11.3826(2) V = 373.84(1) | ρXRD = 5.182 ρREL = 82.1 | Rwp = 3.40% Rp = 2.35% chi2 = 2.731 |
| Chemical Formula | Atmosphere | δ, Pellets | δ, Powders |
|---|---|---|---|
| YMnO3+δ | O2 | 0.006 | 0.23 |
| air | 0.003 | 0.05 | |
| Nd005 | O2 | 0.029 | - |
| air | 0.010 | - | |
| Pr005 | O2 | 0.042 | 0.31 |
| air | 0.015 | 0.30 |
| Atmosphere | Temperature Range [°C] | ||
|---|---|---|---|
| Activation Energy, Ea [eV] | |||
| O2 | 700–1000 | 300–400 | 50–200 |
| 0.83(1) | 0.05(1) | 0.47(1) | |
| air | 700–1000 | 300–400 | 50–200 |
| 0.86(1) | 0.15(1) | 0.54(1) | |
| Ar | 400–1000 | 300–400 | 150–300 |
| 0.90(1) | 0.72(1) | 0.69(1) | |
| Resistance in the | Temperature Range [°C] | ||
|---|---|---|---|
| Equivalent Circuit | Activation Energy, Ea-CELL [eV] | ||
| R1 | 562–900 | 388–562 | 287–352 |
| 0.55 | 0.86 | 0.22 | |
| R2 | 700–900 | 507–650 | 388–479 |
| 1.96 | 0.34 | 0.70 | |
| R2a | - | 388–479 | 259–352 |
| - | 2.10 | 1.16 | |
Publisher’s Note: MDPI stays neutral with regard to jurisdictional claims in published maps and institutional affiliations. |
© 2021 by the authors. Licensee MDPI, Basel, Switzerland. This article is an open access article distributed under the terms and conditions of the Creative Commons Attribution (CC BY) license (https://creativecommons.org/licenses/by/4.0/).
Share and Cite
Cichy, K.; Świerczek, K. Influence of Doping on the Transport Properties of Y1−xLnxMnO3+δ (Ln: Pr, Nd). Crystals 2021, 11, 510. https://doi.org/10.3390/cryst11050510
Cichy K, Świerczek K. Influence of Doping on the Transport Properties of Y1−xLnxMnO3+δ (Ln: Pr, Nd). Crystals. 2021; 11(5):510. https://doi.org/10.3390/cryst11050510
Chicago/Turabian StyleCichy, Kacper, and Konrad Świerczek. 2021. "Influence of Doping on the Transport Properties of Y1−xLnxMnO3+δ (Ln: Pr, Nd)" Crystals 11, no. 5: 510. https://doi.org/10.3390/cryst11050510
APA StyleCichy, K., & Świerczek, K. (2021). Influence of Doping on the Transport Properties of Y1−xLnxMnO3+δ (Ln: Pr, Nd). Crystals, 11(5), 510. https://doi.org/10.3390/cryst11050510

