Synthesis, Spectroscopic, and Biological Assessments on Some New Rare Earth Metal Adrenaline Adducts
Abstract
:1. Introduction
2. Experimental
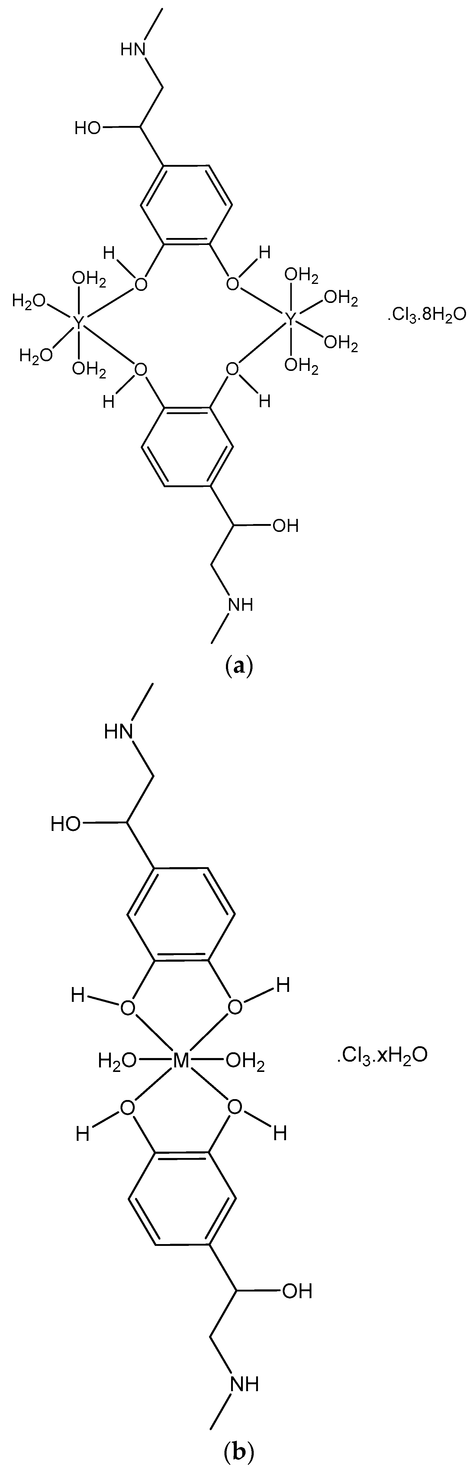
2.1. Materials and Synthesis of Adrenaline Adduct
2.2. Measurements
2.3. Antimicrobial Properties
3. Results and Discussion
3.1. Conductivity Measurements
3.2. Infrared and Raman Spectra
- δ(C–C–C): (IR = 612, 633, 649 and 689 cm−1; Raman = 655 cm−1)
- δ(C–O–H): (IR = 1256 and 1350 cm−1; Raman = 1346 cm−1)
- δ(C–C–H): (IR = 1029, 1061, 1082 and 1105 cm−1; Raman = 1035, 1087 and 1109 cm−1)
- δ(C–C–O): (IR = 483, 504, 512, 535, 583 and 598 cm−1; Raman = 491, 537 and 605 cm−1)
3.3. Electronic Spectra
3.4. 1Hnmr Spectra
3.5. SEM and EDX Studies
3.6. Biological Evaluation
4. Conclusions
Supplementary Materials
Author Contributions
Funding
Institutional Review Board Statement
Informed Consent Statement
Data Availability Statement
Acknowledgments
Conflicts of Interest
References
- Berecek, K.H.; Brody, M.J. Evidence for a neurotransmitter role for epinephrine derived from the adrenal medulla. Am. J. Physiol. 1982, 242, H593–H601. [Google Scholar] [CrossRef]
- Cannon, W.B.; Newton, H.F.; Bright, E.M.; Menkin, V.; Moore, R.M. Some Aspects of the Physiology of Animals Surviving Complete Exclusion of Sympathetic Nerve Impulses. Am. J. Physiol. 1929, 89, 84–107. [Google Scholar] [CrossRef]
- Hoffmann, B.B. Adrenoceptor-activating and other sympathminetic drugs. In Basic and Clinical Pharmacology, 6th ed.; Katzung, B.G., Ed.; Appleton and Lange: New York, NY, USA, 1995; pp. 115–131. [Google Scholar]
- Burtis, C.A.; Ashwood, E.R. (Eds.) Tietz Textbook of Clinical Chemistry, 3rd ed.; W.B. Saunders: Philadelphia, PA, USA, 1998; pp. 1570–1572. [Google Scholar]
- Mefford, I.N.; Lister, R.G.; Ota, M.; Linnoila, M. Antagonism of ethanol intoxication in rats by inhibitors of phenylethanolamine N-methyltransferase. Alcohol. Clin. Exp. Res. 1990, 14, 53–57. [Google Scholar] [CrossRef] [PubMed] [Green Version]
- Jameson, R.F.; Neillie, W.F.S. Complexes formed by adrenaline and related compounds with transition-metal ions—III: The stabilities of some first-row transition-metal complexes. J. Inorg. Nucl. Chem. 1966, 28, 2667–2675. [Google Scholar] [CrossRef]
- Grgas-Kuznar, B.; Simeon, V.L.; Weber, O.A. Complexes of adrenaline and related compounds with Ni2+, Cu2+, Zn2+, Cd2+ and Pb2+. J. Inorg. Nucl. Chem. 1974, 36, 2151–2154. [Google Scholar] [CrossRef]
- Hughes, M.S.; Crow, D.R.; Birch, N.J. Magnesium, adenosine triphosphate, and catecholamine complexes: Application of new means of identifying solute-solute interactions of biological significance using NMR chemical shift data. Magnes. Res. 1992, 5, 89–96. [Google Scholar]
- Ryan, T.P.; Miller, D.M.; Aust, S.D. The role of metals in the enzymatic and nonenzymatic oxidation of epinephrine. J. Biochem. Toxicol. 1993, 8, 33–39. [Google Scholar] [CrossRef] [PubMed]
- Shen, Z.Q.; Ouyang, J. Handbook on the Physics and Chemistry of Rare Earths; Elsevier Science Publisher: North Holand, The Netherlands, 1987; p. 61. [Google Scholar]
- Narain, G.; Jain, J.K. Screening of metal complexes for biological activity. III: Copper(II) and nickel(II) tungstate complexes with ethylenediamine and propylenediamine. J. Indian Chem. Soc. 1994, 71, 101. [Google Scholar]
- Gerard, C.; Chehhal, H. Stability of metal complexes with ligands of biological interest: Dopamine and adrenaline. Bull. Soc. Chim. Fr. 1997, 134, 1069–1074. [Google Scholar]
- Gao, F.; Han, J.F.; Wu, Z.J.; Wang, S.Y.; Niu, C.J.; Ni, J.Z. Stability and luminescence properties of Tb (III) complexes with adrenaline. Chin. Chem. Lett. 1998, 9, 1033. [Google Scholar]
- Materazzi, S.; Nugnes, C.; Gentili, A.; Curini, R. Complexes of adrenaline with some divalent transition-metal ions. Thermochim. Acta 2001, 369, 167–173. [Google Scholar] [CrossRef]
- Materazzi, S.; Vasca, E.; Tentolini, U.; Aquilig, S.; Curini, R. A thermoanalytical study of unusual adrenaline complexes. Thermochim. Acta 2002, 389, 179–184. [Google Scholar] [CrossRef]
- Bauer, A.W.; Kirby, W.M.; Sherris, C.; Turck, M. Antibiotic susceptibility testing by a standardized single disc method. Am. J. Clin. Pathol. 1966, 45, 493. [Google Scholar] [CrossRef]
- Pfaller, M.A.; Burmeister, L.; Bartlett, M.A.; Rinaldi, M.G. Multicenter evaluation of four methods of yeast inoculum preparation. J. Clin. Microbiol. 1988, 26, 1437. [Google Scholar] [CrossRef] [Green Version]
- Jabłońska-Wawrzycka, A.; Rogala, P.; Czerwonka, G.; Gałczyńska, K.; Drabik, M.; Dańczuk, M. Ruthenium Complexes with 2-Pyridin-2-yl-1H-benzimidazole as Potential Antimicrobial Agents: Correlation between Chemical Properties and Anti-Biofilm Effects. Int. J. Mol. Sci. 2021, 22, 10113. [Google Scholar] [CrossRef] [PubMed]
- Santos, N.E.; Braga, S.S. Redesigning Nature: Ruthenium Flavonoid Complexes with Antitumour, Antimicrobial and Cardioprotective Activities. Molecules 2021, 26, 4544. [Google Scholar] [CrossRef]
- Manimaran, P.; Balasubramaniyan, S.; Azam, M.; Rajadurai, D.; Al-Resayes, S.I.; Mathubala, G.; Manikandan, A.; Muthupandi, S.; Tabassum, Z.; Khan, I. Synthesis, Spectral Characterization and Biological Activities of Co(II) and Ni(II) Mixed Ligand Complexes. Molecules 2021, 26, 823. [Google Scholar] [CrossRef] [PubMed]
- Fudulu, A.; Olar, R.; Maxim, C.; Scăeţeanu, G.V.; Bleotu, C.; Matei, L.; Chifiriuc, M.C.; Badea, M. New Cobalt (II) Complexes with Imidazole Derivatives: Antimicrobial Efficiency against Planktonic and Adherent Microbes and In Vitro Cytotoxicity Features. Molecules 2021, 26, 55. [Google Scholar] [CrossRef]
- Măciucă, A.-M.; Munteanu, A.-C.; Uivarosi, V. Quinolone Complexes with Lanthanide Ions: An Insight into their Analytical Applications and Biological Activity. Molecules 2020, 25, 1347. [Google Scholar] [CrossRef] [Green Version]
- Gacki, M.; Kafarska, K.; Pietrzak, A.; Korona-Głowniak, I.; Wolf, W.M. Double Palindrome Water Chain in Cu(II) Theophylline Complex. Synthesis, Characterization, Biological Activity of Cu(II), Zn(II) Complexes with Theophylline. Crystals 2020, 10, 97. [Google Scholar] [CrossRef] [Green Version]
- Al-Wasidi, A.S.; Naglah, A.M.; Refat, M.S.; El-Megharbel, S.M.; Kalmouch, A.; Moustafa, G.O. Synthesis, spectroscopic characterization and antimicrobial studies of Mn(II), Co(II), Ni(II), Cr(III) and Fe(III) melatonin drug complexes. Egypt. J. Chem. 2020, 63, 1469–1481. [Google Scholar]
- Naglah, A.M.; Moustafa, G.O.; Elhenawy, A.A.; Mounier, M.M.; El-Sayed, H.; Al-Omar, M.A.; Almehizia, A.A.; Bhat, M.A. Nα-1, 3-Benzenedicarbonyl-bis-(Amino Acid) and Dipeptide Candidates: Synthesis, Cytotoxic, Antimicrobial, Antifungal and Molecular Docking Investigation. Drug Des. Dev. Ther. 2021, 15, 1315–1332. [Google Scholar] [CrossRef] [PubMed]
- Sgarbossa, P.; Śliwińska-Hill, U.; Guedes da Silva, M.F.C.; Bażanów, B.; Pawlak, A.; Jackulak, N.; Poradowski, D.; Pombeiro, A.J.L.; Smoleński, P. Pentafluorophenyl Platinum(II) Complexes of PTA and Its N-Allyl and N-Benzyl Derivatives: Synthesis, Characterization and Biological Activity. Materials 2019, 12, 3907. [Google Scholar] [CrossRef] [Green Version]
- Chang, J.C.; Hsueh, P.R.; Wu, J.J.; Ho, S.W.; Hsieh, W.C.; Luh, K.T. Antimicrobial Susceptibility of Flavobacteria as Determined by Agar Dilution and Disk Diffusion Methods. Antimicrob. Agents Chemother. 1997, 41, 1301. [Google Scholar] [CrossRef] [PubMed] [Green Version]
- National Committee for Clinical Laboratory Standards. Methods for Dilution Antimicrobial Susceptibility Tests for Bacteria That Grow Aerobically; Approved standard M7-A3; National Committee for Clinical Laboratory Standards: Villanova, PA, USA, 1993. [Google Scholar]
- National Committee for Clinical Laboratory Standards. Reference Method for Broth Dilution Antifungal Susceptibility Testing of Conidium-Forming Filamentous Fungi: Proposed Standard M38-A; NCCLS: Wayne, PA, USA, 2002. [Google Scholar]
- National Committee for Clinical Laboratory Standards. Methods for Antifungal Disk Diffusion Susceptibility Testing of Yeast: Proposed Guideline M44-P; NCCLS: Wayne, PA, USA, 2003. [Google Scholar]
- Liebowitz, L.D.; Ashbee, H.R.; Evans, E.G.V.; Chong, Y.; Mallatova, N.; Zaidi, M.; Gibbs, D.; Global Antifungal Surveillance Group. A two year global evaluation of the susceptibility of Candida species to fluconazole by disk diffusion. Diagn. Microbiol. Infect. Dis. 2001, 4, 27–33. [Google Scholar] [CrossRef]
- Matar, M.J.; Ostrosky-Zeichner, L.; Paetznick, V.L.; Rodriguez, J.R.; Chen, E.; Rex, J.H. Correlation between E-Test, Disk Diffusion, and Microdilution Methods for Antifungal Susceptibility Testing of Fluconazole and Voriconazole. Antimicrob. Agents Chemother. 2003, 47, 1647–1651. [Google Scholar] [CrossRef] [Green Version]
- Gunasekaran, S.; Kumar, R.T.; Ponnusamy, S. Vibrational spectra and normal coordinate analysis of adrenaline and dopamine. Indian J. Pure Appl. Phys. 2007, 45, 884–892. [Google Scholar]
- Bell, S.E.J.; Sirimuthu, N.M.S. Quantitative surface-enhanced Raman spectroscopy. Chem. Soc. Rev. 2008, 37, 1012–1024. [Google Scholar] [CrossRef] [PubMed]
- Kagan, M.R.; McCreery, R.L. Reduction of Fluorescence Interference in Raman Spectroscopy via Analyte Adsorption on Graphitic Carbon. Anal. Chem. 1994, 66, 4159–4165. [Google Scholar] [CrossRef]
- Oztürk, O.F.; Şekerci, M.; Ozdemir, E. Synthesis of 5, 6-O-cyclohexylidene-1-amino-3-azahexane and its Co(II), Ni(II), Cu(II) complexes. Russ. J. Coord. Chem. 2005, 31, 687. [Google Scholar] [CrossRef]
- Available online: https://www.chemicalbook.com/SpectrumEN_329-63-5_1HNMR.htm (accessed on 1 May 2021).
- Ibrahim, O.B.; Mohamed, M.A.; Refat, M.S. Study the chemical composition and biological outcomes resulting from the interaction of the hormone adrenaline with heavy elements: Infrared, Raman, electronic, 1H NMR, XRD and SEM studies. J. Mol. Struct. 2014, 1056–1057, 13–24. [Google Scholar] [CrossRef]






| Complexes | Mp, °C | M.Wt, g/mol | Color | Elemental Analysis (%) Found (Calcd.) | Λm (Ω−1 cm2 mol−1) | Yields, % | ||
|---|---|---|---|---|---|---|---|---|
| C | H | N | ||||||
| [Y2(Adr)2(H2O)8]Cl3·8H2O | >250 | 938.579 | White | (23.01) 23.20 | (4.03) 4.18 | (2.98) 2.76 | 449 | 74 |
| [Ce(Adr)2(H2O)2]Cl3·10H2O | >250 | 828.887 | White | (26.06) 26.29 | (6.03) 6.92 | (3.38) 3.36 | 347 | 79 |
| [Nd(Adr)2(H2O)2]Cl3·6H2O | >250 | 761.007 | White | (28.38) 28.12 | (5.52) 5.96 | (3.68) 3.59 | 558 | 72 |
| [Sm(Adr)2(H2O)2]Cl3·12H2O | >250 | 875.127 | White | (24.68) 24.54 | (6.17) 6.11 | (3.20) 3.16 | 709 | 75 |
| Sample | Inhibition Zone Diameter (mm/mg Sample) | |||||||
|---|---|---|---|---|---|---|---|---|
| Bac. sub. (G+) | Srep. pen. (G+) | Stap. aure. (G+) | E. coli (G−) | Pseu. spp. (G−) | Asper. niger (Fungus) | Penici. spp. (Fungus) | ||
| Control: DMSO | 0.0 | 0.0 | 0.0 | 0.0 | 0.0 | 0.0 | ||
| Standard | Tetracycline Antibacterial agent | 36 | 31 | - | 35 | 30 | - | - |
| Amphotericin B Antifungal agent | - | - | - | - | - | 18 | 19 | |
| Adr | 8 | 6 | - | 10 | 5 | 0.0 | 0.0 | |
| Y(III) | 10 | 5 | 5 | 15 | 5 | 5 | 5 | |
| Ce(III) | 5 | 15 | 15 | 5 | 5 | 15 | 5 | |
| Nd(III) | 15 | 5 | 5 | - | 5 | 10 | 10 | |
| Sm(III) | 10 | 5 | 15 | 10 | 5 | 15 | 10 | |
Publisher’s Note: MDPI stays neutral with regard to jurisdictional claims in published maps and institutional affiliations. |
© 2021 by the authors. Licensee MDPI, Basel, Switzerland. This article is an open access article distributed under the terms and conditions of the Creative Commons Attribution (CC BY) license (https://creativecommons.org/licenses/by/4.0/).
Share and Cite
Al Yousef, S.A.; Al-Wasidi, A.S.; AlZahrani, I.I.S.; Thawibaraka, H.I.; Naglah, A.M.; El-Mowafi, S.A.; Ibrahim, O.B.; Refat, M.S.; Gaber, A. Synthesis, Spectroscopic, and Biological Assessments on Some New Rare Earth Metal Adrenaline Adducts. Crystals 2021, 11, 1536. https://doi.org/10.3390/cryst11121536
Al Yousef SA, Al-Wasidi AS, AlZahrani IIS, Thawibaraka HI, Naglah AM, El-Mowafi SA, Ibrahim OB, Refat MS, Gaber A. Synthesis, Spectroscopic, and Biological Assessments on Some New Rare Earth Metal Adrenaline Adducts. Crystals. 2021; 11(12):1536. https://doi.org/10.3390/cryst11121536
Chicago/Turabian StyleAl Yousef, Sulaiman A., Asma S. Al-Wasidi, Ibtisam I. S. AlZahrani, Hotoun I. Thawibaraka, Ahmed M. Naglah, Shaima A. El-Mowafi, Omar B. Ibrahim, Moamen S. Refat, and Ahmed Gaber. 2021. "Synthesis, Spectroscopic, and Biological Assessments on Some New Rare Earth Metal Adrenaline Adducts" Crystals 11, no. 12: 1536. https://doi.org/10.3390/cryst11121536
APA StyleAl Yousef, S. A., Al-Wasidi, A. S., AlZahrani, I. I. S., Thawibaraka, H. I., Naglah, A. M., El-Mowafi, S. A., Ibrahim, O. B., Refat, M. S., & Gaber, A. (2021). Synthesis, Spectroscopic, and Biological Assessments on Some New Rare Earth Metal Adrenaline Adducts. Crystals, 11(12), 1536. https://doi.org/10.3390/cryst11121536

