Mesomorphic and Thermal Behavior of Symmetric Bent-Core Liquid Crystal Compounds Derived from Resorcinol and Isophthalic Acid
Abstract
:1. Introduction
2. Materials and Methods
3. Results
3.1. Experimental
3.1.1. Synthesis of Intermediate Compounds
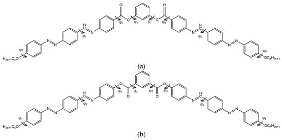
3.1.2. General Method to Obtain the Bent-Core Isophthalic Derivatives (II)
4. Discussion
4.1. Mesomorphic Behavior
4.2. Thermogravimetric Study
4.3. Molecular Modeling
5. Conclusions
Supplementary Materials
Author Contributions
Funding
Data Availability Statement
Acknowledgments
Conflicts of Interest
References
- Takezoe, H.; Takanishi, Y. Bent-core liquid crystals: Their mysterious and attractive world. Jpn. J. Appl. Phys. 2006, 45, 597–625. [Google Scholar] [CrossRef]
- Coleman, D.A.; Fernsler, J.; Chattham, N.; Nakata, M.; Takanishi, Y.; Körblová, E.; Link, D.R.; Shao, R.-F.; Jang, W.G.; MacLennan, J.E.; et al. Polarization-modulated smectic liquid crystal phases. Science 2003, 301, 1204–1211. [Google Scholar] [CrossRef] [PubMed] [Green Version]
- Hird, M. Ferroelectricity in liquid crystals—Materials, properties and applications. Liq. Cryst. 2011, 38, 1467–1493. [Google Scholar] [CrossRef]
- Reddy, R.A.; Tschierske, C. Bent-core liquid crystals: Polar order, superstructural chirality and spontaneous desymmetrisation in soft matter systems. J. Mater. Chem. 2006, 16, 907–961. [Google Scholar] [CrossRef]
- Etxebarria, J.; Ros, M.B. Bent-core liquid crystals in the route to functional materials. J. Mater. Chem. 2008, 18, 2919–2926. [Google Scholar] [CrossRef]
- Link, D.R.; Natale, G.; Shao, R.; Maclennan, J.E.; Clark, N.A.; Körblova, E.; Walba, D.M. Spontaneous Formation of Macroscopic Chiral Domains in a Fluid Smectic Phase of Achiral Molecules. Science 1997, 278, 1924–1927. [Google Scholar] [CrossRef]
- Hough, L.E.; Spannuth, M.; Nakata, M.; Coleman, D.A.; Jones, C.D.; Dantlgraber, G.; Tschierske, C.; Watanabe, J.; Körblova, E.; Walba, D.M.; et al. Chiral isotropic liquids from achiral molecules. Science 2009, 325, 452–456. [Google Scholar] [CrossRef]
- Kato, T.; Uchida, J.; Ichikawa, T.; Sakamoto, T. Functional Liquid Crystals towards the Next Generation of Materials. Angew. Chem. Int. Ed. 2018, 57, 4355–4371. [Google Scholar] [CrossRef]
- Ting, T.X.; Sarjadi, M.S.; Rahman, M.L. Influences of central units and terminal chains on the banana-shaped liquid crystals. Crystals 2020, 10, 1–42. [Google Scholar]
- Kumar, S.; Gowda, A.N. The chemistry of bent-core molecules forming nematic liquid crystals. Liq. Cryst. Rev. 2015, 3, 99–145. [Google Scholar] [CrossRef]
- Khan, R.K.; Turlapati, S.; Begum, N.; Mohiuddin, G.; Rao, N.V.S.; Ghosh, S. Impact of terminal polar substitution on elastic, electro-optic and dielectric properties of four-ring bent-core nematic liquid crystals. RSC Adv. 2018, 8, 1509–11516. [Google Scholar] [CrossRef] [Green Version]
- Amaranatha Reddy, R.; Baumeister, U.; Chao, J.L.; Kresse, H.; Tschierske, C. Silylated bent-core molecules: The influence of the direction of the carboxyl connecting groups on the mesophase behaviour. Soft Matter 2010, 6, 3883–3897. [Google Scholar] [CrossRef]
- Weissflog, W.; Naumann, G.; Kosata, B.; Schröder, M.W.; Eremin, A.; Diele, S.; Vakhovskaya, Z.; Kresse, H.; Friedemann, R.; Krishnan, S.A.R.; et al. Ten isomeric five-ring bent-core mesogens: The influence of the direction of the carboxyl connecting groups on the mesophase behaviour. J. Mater. Chem. 2005, 15, 4328–4337. [Google Scholar] [CrossRef]
- Alaasar, M.; Prehm, M.; Belau, S.; Sebastian, N.; Kurachkina, M.; Eremin, A.; Chen, C.; Liu, F.; Tschierske, C. Polar Order, Mirror Symmetry Breaking, and Photoswitching of Chirality and Polarity in Functional Bent-Core Mesogens. Chem. A Eur. J. 2019, 25, 6362–6377. [Google Scholar] [CrossRef] [PubMed]
- Ciobanu, C.-I.; Habasescu, L.; Scutaru, D.; Drochioiu, G. Fluorescence Changes of Glycyl-Tryptophan Peptide in the Presence of Some Newly Synthesized Azobenzene Compounds. Lett. Org. Chem. 2016, 13, 156–161. [Google Scholar] [CrossRef]
- Ciobanu, C.I.; Carlescu, I.; Lisa, G.; Scutaru, D. Symmetric Bent-core Liquid Crystals of Some Schiff Bases Containing Azo Linkage. Croat. Chem. Acta 2014, 87, 7–16. [Google Scholar] [CrossRef]
- Zygadło, K.; Dardas, D.; Nowicka, K.; Hofmann, J.; Galewski, Z. Liquid-crystalline polymorphism of symmetrical azobananas: Bis(4-(4-alkylphenyl)azophenyl) 2-nitroisophtalates. Mol. Cryst. Liq. Cryst. 2009, 509, 1025–1033. [Google Scholar] [CrossRef]
- Radhika, S.; Sadashiva, B.K.; Raghunathan, V.A. Occurrence of transition between lamellar antiferroelectric and columnar ferroelectric phases in achiral seven-ring bent-core compounds derived from 5-methoxyisophthalic acid. Ferroelectrics 2008, 364, 20–32. [Google Scholar] [CrossRef]
- Nguyen, H.T.; Bedel, J.P.; Rouillon, J.C.; Marcerou, J.P.; Achard, M.F. Banana-shaped molecules derived from substituted isophthalic acids. Pramana J. Phys. 2003, 61, 395–404. [Google Scholar] [CrossRef]
- Materials Studio 4.0. Dassault Systèmes BIOVIA; Materials Studio 4.0: San Diego, CA, USA, 2017. [Google Scholar]
- Carlescu, I.; Simion, A.; Epure, E.L.; Lisa, G.; Scutaru, D. Self-assembled star-shaped liquid crystals based on 1, 3, 5-trihydroxybenzene with pendant alkyloxylated azobenzene arms with pendant alkyloxylated azobenzene arms. Liq. Cryst. 2020, 47, 1852–1862. [Google Scholar] [CrossRef]
- Lisa, G.; Cioanca, E.R.; Tudorachi, N.; Cârlescu, I.; Scutaru, D. Thermal degradation of some [1,3,4]oxadiazole derivatives with liquid crystalline properties. Thermochim. Acta 2011, 524, 179–185. [Google Scholar] [CrossRef]
- Shadpour, S.; Nemati, A.; Boyd, N.J.; Li, L.; Prévôt, M.E.; Wakerlin, S.L.; Vanegas, J.P.; Salamończyk, M.; Hegmann, E.; Zhu, C.; et al. Heliconical-layered nanocylinders (HLNCs)-hierarchical self-assembly in a unique B4 phase liquid crystal morphology. Mater. Horiz. 2019, 6, 959–968. [Google Scholar] [CrossRef] [Green Version]













| Compound | K1/K2 | K2/Sm | Sm/N or Sm# | N or Sm#/I | I/N or Sm# | N or Sm#/Sm | Sm# or N/K1 | K1/K2 |
|---|---|---|---|---|---|---|---|---|
| IIa, n = 6 | - | 259.32 | 273.95 | 315 * | 309 * | - | −240.57 | 105.88 |
| [−53.88] | [−1.67] | [44.19] | [0.77] | |||||
| IIb, n = 7 | 138.46 | 255.81 | 284.16 | 312 * | 304 * | 263 | 241.75 # | 126.21 |
| [−4.34] | [−66.35] | [−6.70] | [1.85] | [45.84] | [1.52] | |||
| IIc, n = 8 | 107.80 | 250.00 | 279 * | 305 * | 300 * | 288 * | 238.76 # | 119.15 |
| [−4.07] | [−61.92] | [53.77] | [5.27] | |||||
| IId, n = 10 | 135.07 | 242.40 | - | 283 # | 251.99 # | 236.70 # | 227.24 # | 112.74 |
| [−7.96] | [−55.83] | [−1.79] | [2.64] | [3.16] | [18.67] | [7.01] | ||
| IIe, n = 18 | 151.05 | 207.22 | 219.54 # | 273.59 # | 259.13 # | 217.45 # | 207.41 # | 146.08 |
| [−10.59] | [−9.44] | [−26.40] | [−8.03] | [1.54] | [1.93] | [16.83] | [5.47] |
| Compound | K1/K2 | K2/Sm1 | Sm1/Sm2 | Sm2/I | I/Sm1 | Sm1/Sm2 | Sm2/K1 | K1/K2 |
|---|---|---|---|---|---|---|---|---|
| Ia, n = 6 | 159 | 181 | 215 | 294 | 293 | 202 | 197 | 149 |
| [−5] | [−4] | [−15] | [−17] | [17] | [15] | [0.5] | [11] | |
| Ib, n = 7 | 151 | 181 | 213 | 278 | 274 | - | 201 | 145 |
| [−5] | [−6] | [−18] | [−17] | [17] | [18] | [6] | ||
| Ic, n = 8 | 135 | 201 | - | 267 | 263 | - | 185 | 130 |
| [−0.8] | [−16] | [−19] | [15] | [15] | [1] | |||
| Id, n = 9 | - | 195 | - | 260 | 257 | - | 169 | - |
| [−20] | [−22] | [22] | [20] | |||||
| Ie, n = 10 | 152 | 177 | - | 259 | 257 | - | 166 | 149 |
| [−1] | [−21] | [−20] | [20] | [21] | [0.8] |
| Structure | φ1 | φ2 | φ3 | φ4 | φ5 | φ6 | φ7 | φ8 |
|---|---|---|---|---|---|---|---|---|
| Ia-before | −69.64 | −70.04 | −1.04 | −0.77 | −73.72 | −79.61 | −2.072 | −0.656 |
| Ia-after | −155.27 | −157.01 | 0.27 | −0.31 | −0.83 | −1.05 | −4.46 | −6.76 |
| IIa-before | −3.87 | 1.21 | 72.62 | 92.45 | −144.03 | −110.96 | −1.94 | 1.22 |
| IIa-after | −2.33 | 0.58 | 43.59 | 164.62 | −178.9 | −179.04 | −0.11 | −5.67 |
| Structure | Ia | Ib | Ic | Id | Ie | IIa | IIb | IIc | IId | IIe |
|---|---|---|---|---|---|---|---|---|---|---|
| Dipole magnitude (Debye) | 16.289 | 16.439 | 16.521 | 16.469 | 16.522 | 6.166 | 6.163 | 6.251 | 6.194 | 6.436 |
| Energy Values (kcal/mol) | Smectic Ferroelectric | Smectic Antiferroelectric | Columnar | |||
|---|---|---|---|---|---|---|
| before | after | before | after | before | after | |
| Ib | −1960 | −3109 | −1969 | −3144 | −1724 | −3106 |
| Ie | −2579 | −3873 | −2656 | −3926 | −2211 | −3739 |
| IIb | −1283 | −2721 | −1226 | −2600 | −660 | −2356 |
| IId | −1746 | −3273 | −1717 | −3181 | −1186 | −2985 |
Publisher’s Note: MDPI stays neutral with regard to jurisdictional claims in published maps and institutional affiliations. |
© 2021 by the authors. Licensee MDPI, Basel, Switzerland. This article is an open access article distributed under the terms and conditions of the Creative Commons Attribution (CC BY) license (https://creativecommons.org/licenses/by/4.0/).
Share and Cite
Ciobanu, C.I.; Berladean, I.; Epure, E.-L.; Simion, A.; Lisa, G.; Boussoualem, Y.; Carlescu, I. Mesomorphic and Thermal Behavior of Symmetric Bent-Core Liquid Crystal Compounds Derived from Resorcinol and Isophthalic Acid. Crystals 2021, 11, 1215. https://doi.org/10.3390/cryst11101215
Ciobanu CI, Berladean I, Epure E-L, Simion A, Lisa G, Boussoualem Y, Carlescu I. Mesomorphic and Thermal Behavior of Symmetric Bent-Core Liquid Crystal Compounds Derived from Resorcinol and Isophthalic Acid. Crystals. 2021; 11(10):1215. https://doi.org/10.3390/cryst11101215
Chicago/Turabian StyleCiobanu, Catalina Ionica, Iulian Berladean, Elena-Luiza Epure, Aurel Simion, Gabriela Lisa, Yahia Boussoualem, and Irina Carlescu. 2021. "Mesomorphic and Thermal Behavior of Symmetric Bent-Core Liquid Crystal Compounds Derived from Resorcinol and Isophthalic Acid" Crystals 11, no. 10: 1215. https://doi.org/10.3390/cryst11101215
APA StyleCiobanu, C. I., Berladean, I., Epure, E.-L., Simion, A., Lisa, G., Boussoualem, Y., & Carlescu, I. (2021). Mesomorphic and Thermal Behavior of Symmetric Bent-Core Liquid Crystal Compounds Derived from Resorcinol and Isophthalic Acid. Crystals, 11(10), 1215. https://doi.org/10.3390/cryst11101215

