Abstract
ZrB2/Mo multilayers were prepared by the magnetron sputtering technique on Si (100) and Al2O3 (001) substrates. The friction behavior and wear mechanism of the multilayers were tested at variable modulation ratios (tZrB2:tMo) of 1:1 to 8:1 at different temperatures. Under the influence of an effective modulation ratio and temperature, the friction coefficient and hardness of ZrB2/Mo multilayers showed an almost opposite change rule, that is, the higher the hardness, the lower the friction coefficient. The hardness and elastic modulus reached the maximum value (26.1 GPa and 241.99 GPa) at tZrB2:tMo = 5:1 and the corresponding friction coefficient was 0.86. Meanwhile, the hardness and average friction coefficient at 500 °C were, respectively, 8.9 GPa and 1.23. First-principles calculations of the interface model of ZrB2 (001)/Mo (110) showed that the ionic bonds and covalent bonds at the interface can effectively improve the viscosity of the multilayer and the stability of the interface, and thus increase the hardness. This also indicated that the variation of the friction coefficient was mainly determined by the stability of the interface in the ZrB2/Mo multilayers.
1. Introduction
Over the past few decades, microelectronics and micromachining technologies have made remarkable achievements, but these are deeply dependent on the development and application of new nano-films and coatings. Microelectronic devices are used more and more in extreme environments such as high temperature and strong corrosive environments, which puts forward higher requirements on the synthesis technology and material properties of related coatings, especially on their mechanical properties and friction resistance properties [1,2].
Many surface modification techniques, including thermal spraying [3], laser cladding [4], and ion implantation [5], can improve the high temperature wear resistance of materials to a certain extent. However, they also have various shortcomings, such as excessive porosity of the membrane and complicated processing procedures, which largely limit their development and application in the field of micro-electromechanics. In contrast, magnetron sputtering technology can effectively control the composition and microstructure of the film by adjusting the sputtering parameters, thereby preparing a dense and uniform multilayer with strong adhesion, which can avoid the disadvantages of the above-mentioned synthesis technology.
At the same time, the composite coating material can improve the high temperature friction resistance of the film very well, but the formation mechanism of this material is very complicated, and the improvement result has great uncertainty. For example, by combining transition metal sulfides (MoS2 or WS2) and oxides (PbO or ZnO) to form PbMoO4 or ZnWO4, it can provide good lubrication at higher temperatures [6,7]; in Mo2N/MoS2/Ag systems, it was found that the friction coefficient of silver molybdate formed on the surface at high temperature is low [8,9]. However, the poor mechanical strength greatly affects the service life of these films.
Therefore, it is necessary to establish a method that can effectively improve the mechanical properties, high temperature resistance, and friction properties of the multilayer. Among many materials, ZrB2 has the advantages of a high melting point, high hardness, low density, excellent corrosion resistance and oxidation resistance [10,11,12,13,14,15,16], and it is a promising ultra-high temperature ceramic material. Over the years, despite extensive research on the microstructure and mechanical properties of ZrB2 [17,18], its application was still limited by its inherent brittleness, low fracture toughness, and unreliable high temperature performance [19,20]. The hardness of metallic molybdenum Mo (9.7 GPa) is lower than that of ZrB2 (23 GPa), but its crystal structure can form a higher lattice-matching degree with ZrB2. In addition, Mo’s anti-friction and corrosion-resistance performance is better, and its friction coefficient (0.2) significantly lower than those of ZrB2 (0.5), and it has higher high-temperature resistance.
In this work, we designed and prepared a series of ZrB2/Mo multilayer systems with the same modulation period (25 nm) and different modulation ratios. The purpose was to establish and improve the high-temperature abrasion resistance by analyzing the regulation of its hardness. It is a simple method, and first-principles calculation reveals the mechanism of how hardness adjusts the high-temperature friction performance.
2. Experimental Details
ZrB2/Mo multilayers along with ZrB2 and Mo monolayers were synthesized on Si (100) and Al2O3 (001) substrates using a magnetron sputtering system (FJL560CI2, SKY, Shenyang, China), as shown in Figure 1. Si was used to test the crystal structure and mechanical properties; Al2O3 was used to test the friction properties. The high-purity (99%) ZrB2 and Mo targets were controlled by two radio-frequency (RF) cathodes. When the base pressure of the system was less than 3 × 10−4 Pa, the high-purity Ar gas (99.999%) at a pressure of 0.5 Pa was introduced into the chamber. ZrB2/Mo multilayers were deposited by rotating the sample holder, alternately exposing the substrates to the ZrB2 and Mo targets. The RF modes were 100 W and 80 W at a constant substrate bias of −40 V and a working pressure of 0.5 Pa. The modulation period of each sample was 25 nm, which corresponded to 20 cycles, after which the top layers of all samples were ZrB2. By changing the sputtering time of the ZrB2 and Mo targets, a series of ZrB2/Mo multilayers with different modulation ratios (tZrB2:tMo = 1:1, 2:1, 3:1, 4:1, 5:1, 6:1, 7:1, and 8:1) were obtained. Total thickness of the multilayers was around 500–600 nm.
Figure 1.
Schematic diagram of the FJL560CI2 magnetron sputtering system. RF: radio-frequency.
The high-temperature tribological performance of the multilayers were measured using a high temperature tribometer (THT, Anton Paar, Austria). In the tribological experiment, the ball-on-disk structure was selected. The friction pair was an Al2O3 ceramic ball with a diameter of 6 mm. The friction radius was 4 mm, and the load was 1N. The relative sliding speed was 20 mm/s, and the friction period was 100 cycles. The test temperatures were room temperature (25 °C), 100 °C, 200 °C, 300 °C, 400 °C, and 500 °C. Sample crystallinity was analyzed by X-ray diffraction (XRD, D8A, Bruker, Germany) using a D/MAX 2500 diffractometer operated with Cu-Kα radiation at 1.54056 Å in the range of 20°–80°. The step size and dwell time of θ–2θ were 0.02 and 7.76 s, respectively. The chemical state and composition of samples were determined by X-ray photoelectron spectroscopy (XPS, PHI5000VersaProbe) with an Al-Kα source. Sample morphology was observed by scanning electron microscopy (SEM, TDCLS-8010, Hitachi, Japan) and transmission electron microscopy (TEM, JEOL JEM-3000F, Tokyo, Japan). The operation voltage of TEM was 300 KV. The hardness and elastic modulus of the multilayers were measured using a Nano Indenter system (STEP6, Anton Paar, Austria). The maximum indention depth for all samples was kept at 15% of the coating thickness to minimize the substrate effects.
3. Results and Discussion
3.1. Friction Properties
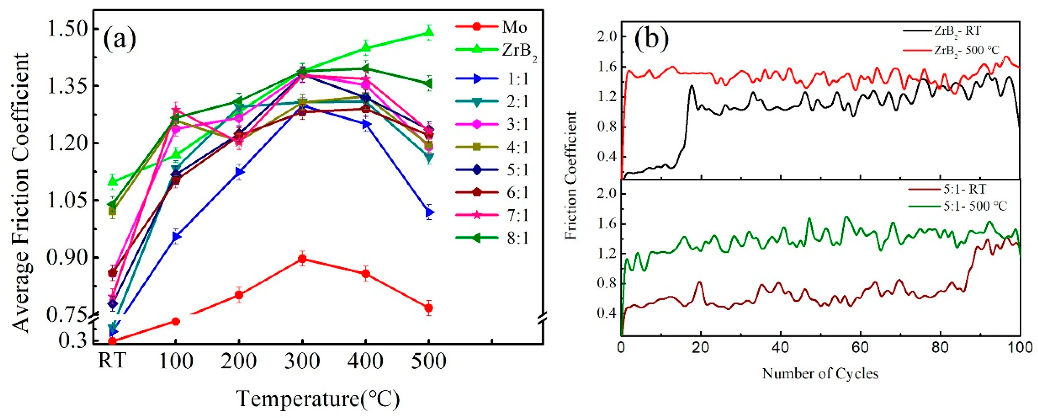
Figure 2a shows the average friction coefficients of ZrB2, Mo monolayers, and ZrB2/Mo multilayers at different tZrB2:tMo at different temperatures. The average friction coefficient of the ZrB2 monolayer was 1.1 at room temperature, Figure 2a, which was much higher than that of the Mo monolayer (0.29). For ZrB2/Mo multilayers, the average friction coefficients of tZrB2:tMo = 2:1 and tZrB2:tMo = 5:1 were about 0.47 and 0.77, respectively. It can be seen that the multilayer structure with the Mo layer in ZrB2 can obviously improve the friction performance of ZrB2, and the higher the Mo content, the better the friction performance. It can be seen from Figure 2a that with the experimental temperature increasing from 100 °C to 500 °C, the change trend of the average friction coefficient was to increase first and then decrease. The average friction coefficient of tZrB2:tMo = 5:1 increased from 1.11 to 1.38 at 100 °C−300 °C, and then decreased to 1.23 at 500 °C.
Figure 2.
Average friction coefficients (a) of ZrB2 and Mo monolayers and ZrB2/Mo multilayers at different temperatures. The friction coefficient curves (b) of ZrB2 and ZrB2/Mo (tZrB2:tMo = 5:1) at room temperature and 500 °C.
In contrast, the friction experiment of the ZrB2 monolayer at 500 °C was 1.48, which indicates that the addition of the Mo layer can effectively improve the high-temperature friction properties of the ZrB2 monolayer. This can be attributed to the oxidation reaction that occurs during the friction test. The multilayer structure is destroyed by oxides at high temperatures, resulting in changes in hardness, thereby affecting the friction and wear properties of the coating. However, these oxides play a self-lubricating role in the friction process. In a ZrB2/Mo multilayers system, the oxides of zirconium or molybdenum formed on the wear surface have a low shear modulus and high self-lubricating properties, which can effectively improve the wear resistance of the multilayers [21,22,23]. Therefore, although the increase of temperature leads to deterioration of the friction environment and an increase of the friction coefficient, with the continuous increase of temperature, the amount of oxide increases and the friction coefficient decreases. From the friction curve of a single layer ZrB2 monolayer, it can be seen that the substrate was rapidly damaged at room temperature or 500 °C, and the damage degree was more serious at 500 °C, which is consistent with the observation results of wear scar surface morphology. However, the friction curves of tZrB2:tMo = 5:1 were obviously improved at room temperature and 500 °C. Among them, according to the friction curve of tZrB2:tMo = 5:1 at room temperature in Figure 2b, the friction coefficient of the first 20 cycles was between 0.5–0.7, while that of 21–80 cycles was about 0.45, and that of the last 20 cycles was about 0.9. The reason may be that the oxide content in the wear marks at 25 °C is very low. In contrast, water vapor and other lubricating particles play a more important role in reducing wear marks. In the 21–80 cycles of the friction test, more self-lubricating oxide phases accumulated on the surface of the wear marks, thereby further reducing the friction coefficient. After 80 cycles, the coefficient of friction was usually attributed to film shedding and friction stability.
To understand the wear mechanism of the ZrB2/Mo multilayers, a detailed study of the worn surfaces at different parameters was done under an optical microscope. Figure 3 gives the optical images of the worn surfaces of the ZrB2/Mo (tZrB2:tMo = 5:1) multilayer and ZrB2 monolayer at room temperature and 500 °C. In Figure 3a,b, the wear marks of both films at room temperature were very shallow, and the wear mechanism was mainly abrasive wear. As the temperature increased, the degree of wear increased gradually. The worn surfaces of both films at 500 °C are shown in Figure 3c,d. The surfaces of both films were compact and complete. The wear marks were wide and uniform with obvious grooves. Although no obvious accumulation of wear debris was observed for the ZrB2/Mo multilayer, some wear marks were deeper than the multilayer thickness and approached the hard substrate. In the area A of Figure 3d, the film obviously fell off and exposed the substrate. This is because under severe wear conditions, the multilayer was quickly worn off or even fell off, losing the wear resistance of the ZrB2/Mo multilayer. The reason for the furrow is that the hardness of the ZrB2/Mo multilayer decreased at 500 °C, and the convex parts of the multilayer surface cut the friction pairs and the particles with sharp corners. In contrast, the substrate deposited by the ZrB2 monolayer was almost completely exposed. The color of the wear marks was also dark at room temperature, indicating a poor wear resistance. Therefore, inserting Mo into ZrB2 to prepare the multilayers effectively improved the friction performance of the ZrB2/Mo multilayer.
Figure 3.
Worn surfaces topography of the ZrB2/Mo (tZrB2: tMo = 5:1) (a,c) and ZrB2 (b,d) at different temperatures.
3.2. Mechanical Properties and Microstructures
Figure 4 shows the XRD patterns of the ZrB2 and Mo monolayers along with the ZrB2/Mo multilayers at different tZrB2:tMo, and the XRD partial magnification of the image. The ZrB2 monolayer presented a strong (001) texture, which had a hexagonal structure, and the Mo monolayer had a (110) preferred orientation. In all multilayers, there existed a (101) preferred orientation of ZrB2, but (001) disappears. This may be because the two substances grew alternately and inhibited each other, leading to the disappearance of the (001) peak. At the same time, the (110) peak of Mo could still be found in the diffraction spectrum. The single diffraction peak was caused by the tensile and compressive stresses in the epitaxial growth of Mo and ZrB2 modulation layer, which made the spacing of the corresponding crystal planes close to each other [24,25]. Among the ZrB2/Mo multilayers, the peak intensity was the lowest in tZrB2:tMo = 8:1, and only weak eutectic peaks appeared. This indicates that too big a modulation ratio is not conducive to the formation of a polycrystalline structure.
Figure 4.
The XRD patterns of the ZrB2 and Mo monolayers along with the ZrB2/ Mo multilayers with different tZrB2:tMo (a), and the XRD partial magnification of the image (b).
The periodic structure information and the composition distribution of the multilayers were obtained by XPS depth analysis. The multilayers at tZrB2:tMo = 1:1 were sputtered along the depth for 3 min, 6 min, 9 min, 12 min, 15 min, 18 min, 21 min, 24 min, 27 min, 30 min, and 33 min, respectively. The relationship between the concentration of Zr, B, and Mo atoms and the stripping time were calculated, as shown in Figure 5a. They indicate the alternating modulation structure of ZrB2 and Mo in the ZrB2/Mo multilayers.
Figure 5.
The relationship between the atomic concentration and the stripping time (a) and the cross-sectional SEM image (b) of the ZrB2/Mo multilayers with tZrB2:tMo = 1:1.
In order to prove the consistency of the periodic structure between the observed and measured values, the cross-sectional SEM image of the ZrB2/Mo multilayers at tZrB2:tMo = 1:1 is given in Figure 5b, where the dark and bright layers correspond to the Mo and ZrB2 layers, respectively. The interfaces of ZrB2 and Mo are clear, proving the formation of an obvious modulation structure, which is consistent with the depth analysis of XPS.
The structure characteristics of the ZrB2/Mo multilayers can be further reflected by the cross-sectional HRTEM images. As shown in Figure 6, interface diffusion of the ZrB2/Mo multilayer tZrB2:tMo = 4:1 occurs, and part of the atom-mixing region appears at the interface, which is a benefit for the improvement of mechanical properties. The diffraction ring in the SAED pattern shows the Mo (110) crystal phase and the ZrB2 (001) crystal phase. These results are in agreement with the qualitative analysis provided by XRD. The presence of small grains and amorphous phases would hinder the interface layer and fault slip, and make each sub-layer more compact. This structure plays a positive role in improving the mechanical properties of the ZrB2/Mo multilayers. Meanwhile, the tribological performance was improved.
Figure 6.
Cross-sectional HRTEM images of the ZrB2/Mo multilayer at the modulation ratio of 4:1.
In order to further analyze the surface elements and the bonding state of the ZrB2/Mo multilayers, the surface of the multilayer at tZrB2:tMo = 1:1 was scanned by XPS. It can be seen from Figure 7a that the main components on the surface were Zr, B, and Mo elements. The appearance of the O element is related to an amount of oxygen left in the equipment cavity. According to the Mo3d spectra shown in Figure 7b, the two main peaks at 227.8 eV (3d5/2) and 230.9 eV (3d5/2) are related to metallic Mo, and the positions of these two peaks are separated by about 3.1 eV [26]. In addition, there are two secondary peaks located at 231 eV (3d3/2) and 228 eV (3d5/2), respectively. Figure 7c exhibits the narrow spectrum of Zr3d, which splits into two strong peaks, Zr3d5/2 and Zr3d3/2, and the positions of these two peaks are separated by about 2.3 eV. The Zr3d5/2 could be assigned to two sub-peaks: ZrB2 (178.6 eV) and ZrO2 (183.3 eV); whereas the Zr3d3/2 is composed of another three sub-peaks: ZrB2 (180.9 eV), O2/Zr (185.8 eV), and ZrO2 (186.6 eV) [27,28]. Meanwhile, the width and intensity of the 3d5/2 and 3d3/2 sub peaks of ZrB2 are much higher than that of ZrO2 in Figure 7c. Therefore, Zr and B atoms mainly exist in the state of the Zr-B bond in the multilayers.
Figure 7.
High resolution XPS spectra of (a) valence band spectra of surface elements, (b) Mo3d, and (c) Zr3d of the ZrB2/Mo multilayers with modulation ratio of tZrB2:tMo = 1:1.
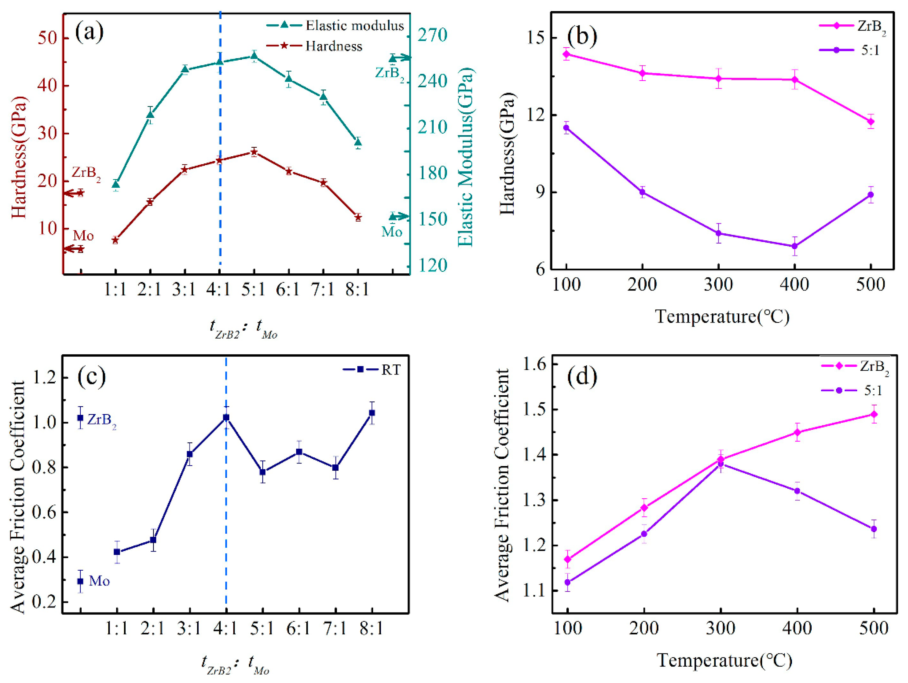
Figure 8a,c shows the hardness, elastic modulus, and coefficient of ZrB2 and Mo monolayers and ZrB2/Mo multilayers at different tZrB2:tMo at room temperature. Changes in the tZrB2:tMo gradually increased the elastic modulus and hardness increased and then decreased, but the hardness of the multilayer was mostly higher than the hardness of the monolayer. The change trend of the elastic modulus was similar to that of hardness. The trend of the friction coefficient increased with the change of tZrB2:tMo, then decreased, and then increased again. Figure 8b,d shows the hardness and friction coefficient of the ZrB2 monolayer and ZrB2/Mo multilayers at tZrB2:tMo = 5:1 at different temperatures. The tZrB2:tMo of 5:1 corresponds to the maximum hardness (26.1 GPa) and the maximum elastic modulus (241.99 GPa) of ZrB2/Mo multilayer at room temperature, and the corresponding friction coefficient was 0.77. Its hardness at 500 °C was 8.9 GPa, and the corresponding friction coefficient was 1.23. Compared with the ZrB2 monolayers, the hardness and friction coefficient of the multilayer was significantly improved at different temperatures.
Figure 8.
The hardness, elastic modulus (a) and friction coefficient (c) of ZrB2/Mo multilayers with different modulation ratios at room temperature, as well as the hardness (b) and friction coefficient (d) of ZrB2 and ZrB2/Mo (tZrB2:tMo = 5:1) at different temperatures.
The tZrB2:tMo was in the range of 1:1~4:1, the influence of the friction coefficient was not directly related to the change of hardness. According to the TEM results, it is speculated that ZrB2 is not crystallized at this stage. The Mo layer and ZrB2 layer were not affected during the growth process. The change of hardness conformed to the mixed hardness rule and it was the result of components hardening, so the hardness increased while the friction performance was not improved. Combined with the results of XPS, during the preparation process, oxygen easily entered into ZrB2 to form ZrO2 with larger volume, which further led to the increase of surface roughness and the friction coefficient.
In contrast, when the tZrB2:tMo was in the range of 4:1 to 8:1, hardness and friction coefficient showed an approximate opposite trend. This seems to reveal a certain connection between hardness and the friction coefficient, which indicates that the higher the hardness, the lower the friction coefficient, and vice versa. Zhang and Li confirmed this [29,30]. In combination with TEM results, the crystal phase (001) appeared in ZrB2. The same situation occurred in the heating conditions. The hardness of the films decreased significantly with the increase of temperature, and an obvious turning point in the friction coefficient appeared at 300 °C, which may be caused by the release of residual stress due to temperature [31]. However, the modulation structure remained stable.
It seems difficult to explain the above phenomenon with a unified law like Hall-petch reinforced materials [32], coherent epitaxial theory [33], interface stress effect [34], or dislocation slip hindered by the interface [35]. Since these theories are difficult to apply to the situation under high temperature, the changes in hardness and the friction coefficient under high temperature can be explained by the oxidation caused by temperature increase [36]. However, energy spectrum results have shown that the oxidation process hardly affects the inside of the multilayers. Therefore, in order to understand the nature of hardness’s influence on the friction coefficient, a theoretical explanation at the atomic level is necessary.
3.3. Mechanism of Friction Behavior
From the above experimental results, the friction coefficient of the ZrB2/Mo multilayers system under the synergism of effective modulation ratio and temperature can be seen. It always seems to be positively correlated with the hardness to a certain extent, that is, the lower the hardness, the higher the friction coefficient, which is consistent with the results of most literature [37,38,39]. However, most researchers fail to reveal this essence. For the ZrB2-Mo interface, ZrB2 is prone to galling, whereas Mo is slightly more resistant to galling. Since the bonding characteristics and adhesive properties may play a vital role in the material transfer, i.e., galling, it is of great interest to evaluate the bonding characteristics and strength between the two sliding metals [40]. Based on previous research work, Jin used the first-principles method to study the structure of the TaN (100)/ReB2 (001) interface and showed that the stability of the interface is closely related to the interface viscous work [41]. Combined with previous research methods, the first principles are employed in the current work to explain the influence of the interface structure on the friction coefficient by establishing an interface structure model, combining state density, atomic structure, interface energy, ideal adhesion work, and charge distribution.
In the first principle calculation, the four models (Figure 9) of the ZrB2 (001)/Mo (110) interface are established according to the XRD results, and the interface properties of the model are effectively analyzed by the density functional theory (in order to ensure that the interface of the two parts fully represented the performance of the bulk material, through the surface energy convergence test, we selected, for both ZrB2 and Mo, an atomic layer thickness of 9 layers, a cutoff energy of 450 eV, K point was 6 × 6 × 6, and the energy error was within 1–2 MeV/atom). In addition, the interface energy (γint) and ideal cohesion energy (Wad) can be used to evaluate the bonding strength and stability of the interface [42]. So, we calculate the four models of ideal interface viscous work and the interface spacing (as shown in Table 1). It can be seen that the ideal viscous work of the interface with B as the terminal is generally greater than that with Zr as the terminal, and the interface energy is generally less than that with Zr as the terminal. Model 2 has the largest interfacial viscous work, the smallest interfacial energy, and the smallest interface spacing.
Figure 9.
Four interface models of ZrB2/Mo: model 1 (a), model 2 (b) taking B as the terminal, model 3 (c) and model 4 (d) taking Zr as the terminal.
Table 1.
The interface distance of the four interface models of the ZrB2/Mo multilayers, the ideal interface viscosity work, and the interface energy.
In order to further investigate the bonding mechanism of the ZrB2 (001) and Mo (110) interface, the partial density of the state of the stable interface (Model 2) was calculated (where the first layer is closer to the interface and the ninth layer is farther from the interface), as shown in Figure 10. The states at EF of each layer have significant peaks, indicating that ZrB2, Mo block, and the interface have metallic properties, while the other states are close to zero, indicating semiconductor properties. It is obvious that Mo (Zr) d and Bp states are hybridized at EF, which indicates that Mo (Zr) and B with strong orbital hybridization and strong covalent bonds are formed. In addition, the partial density of states (PDOS) of Mo and B atoms are very similar to that of their bulk atoms, which means that the interface transition from ZrB2 to Mo is smooth except for the atomic structure. It was also found that the peak of atoms in the interface layer is obviously different from that of the bulk materials, while the peaks of atoms far away from the interface layer are similar to those of the bulk materials. Although the overall PDOS characteristics of the 9th layer are slightly different from those of the bulk materials, it can still be seen that the surface effect only affects one or two atomic layers [43].
Figure 10.
DOS (density of state) projected on the most stable interface after relaxation. (a) The partial density of states (PDOS) for bulk Mo and ZrB2; (b) the PDOS of the Mo layers; and (c) the PDOS of the ZrB2 layers. The EF is set to zero, denoted by a dash line.
Although PDOS can reveal the information of covalent bonding, we still need to choose the information of ionicity and electron transfer, which can be obtained from the charge-density and charge-density difference of the (110) surface of Mo, Zr, and B atoms at the interface, as shown in Figure 11. In the charge density (Figure 11a) of the ZrB2/Mo interface (Model 2), it can be found that significant charge accumulation occurs between interfacial B and Mo atoms in the ZrB2/Mo interfaces, indicating that extremely strong covalent bonds are formed in the interface. Usually, the covalent bonds can cause stronger interactions. Moreover, after full relaxation, the small distance between interfacial B and Mo atoms enhances their strong interaction. In the charge density differences (Figure 11b) of the ZrB2/Mo interface (Model 2), it shows that due to the interaction of interface layer atoms, Mo-Mo is obviously stretched out for a certain distance. Therefore, a part of the Mo-Mo region is close to the B direction, and then part of the charges of the Mo atoms at the interface are transferred to the interface B atoms to form the ionic bonds, that is, the strong interaction between B and Mo [42,44]. In addition, from the perspective of charge accumulation, the charges are mainly concentrated near the B layer. The accumulation of charges is a typical feature of polar covalent bonds. The more charge that accumulates, the stronger the covalent property and the stronger the interface bond [44]. This provides a strong support for Model 2 to have more ideal viscous work, and also explains that Model 2 is the most stable structure among the four interface models [43].
Figure 11.
Distribution of (a) charge density and (b) charge density difference along the (110) direction for the ZrB2/Mo interface in Model 2.
The existence of covalent bonds and ionic bonds makes the interface have more viscous work, and the interface bonding is more stable, thus improving the hardness of the ZrB2/Mo multilayer system. The increase of hardness also improves the wear resistance. Therefore, the new bonding changes the bonding mode and strength between atoms at the interface, and then affect the mutual transfer of charges. It can further prevent the sliding between atomic layers, and improve the bonding strength, toughness, and macroscopic properties of the interface. In conclusion, the growth mechanism of ZrB2/Mo multilayers is the root cause of the improvement of their mechanical and friction properties, and the atomic structure between the interfaces can indeed affect the mechanical and friction properties of materials from a microscopic perspective.
4. Conclusions
ZrB2/Mo multilayers were synthesized on Si (100) and Al2O3 (001) substrates by magnetron sputtering. The effects of structure on the mechanical and friction behavior of ZrB2/Mo multilayers were investigated. In the ZrB2/Mo multilayer system (tZrB2:tMo = 5:1), the maximum hardness at room temperature was 26.1 GPa and the friction coefficient was 0.86. At 500 °C, the results show that the effective modulation was formed when ZrB2 (001) and Mo (110) phases appeared simultaneously. The friction coefficient decreased with the increase of hardness under the synergy of temperature and an effective modulation ratio, showing an approximately opposite change rule. The results of calculations based on the first principles proved that when the effective modulation structure was not affected by temperature, that is, when the interface between ZrB2 (001) and Mo (110) was stable, the stability of the interface determined the hardness and friction coefficient of the ZrB2/Mo multilayers. Through the experimental research, it was found that this method was a simple and effective way to modulate the friction coefficient of the multilayers.
Author Contributions
Conceptualization, D.L.; data curation, T.Z.; formal analysis, L.D.; investigation, T.Z., L.D., and J.W.; methodology, T.Z., L.D., and D.L.; project administration, T.Z. and D.L.; resources, J.W.; writing—original draft preparation, T.Z.; writing—review and editing, L.D., J.W., and D.L. All authors have read and agree to the published version of the manuscript.
Funding
This research was funded by the Program for Innovative Research in the University of Tianjin (No. TD13-5077) and the National Natural Science Foundation of China (No. 51901158). This work was also supported by the Science & Technology Development Fund of the Tianjin Education Commission for Higher Education (No. 2018KJ158).
Conflicts of Interest
The authors declare no conflict of interest.
References
- Kumar, N.; Gautam, G.; Gautam, R.K.; Mohan, A.; Mohan, S. Wear, friction and profilometer studies of insitu AA5052/ZrB2 composites. Tribol. Int. 2016, 97, 313–326. [Google Scholar] [CrossRef]
- Madhavan, R.; Bellon, P.; Averback, R.S. Wear Resistance of Cu/Ag Multilayers: A Microscopic Study. ACS Appl. Mater. Interfaces 2018, 10, 15288–15297. [Google Scholar]
- Gérard, B. Application of thermal spraying in the automobile industry. Surf. Coat. Technol. 2006, 201, 2028–2031. [Google Scholar]
- Guo, C.; Chen, J.M.; Yao, R.G.; Zhou, J.S. Microstructure and High Temperature Wear Resistance of Laser Cladding NiCoCrAlY/ZrB2 Coating. Rare Metal Mater. Eng. 2013, 42, 1547–1551. [Google Scholar]
- Yu, L.D.; Shuy, G.W.; Vilaithong, T. Friction modification of WC-Co by ion implantation. Surf. Coat. Technol. 2000, 128, 404–409. [Google Scholar] [CrossRef]
- Walck, S.D.; Donley, M.S.; Zabinski, J.S.; Dyhouse, V.J. Characterization of pulsed laser deposited PbO/MoS2 by transmission electron microscopy. J. Mater. Res. 1994, 9, 236–245. [Google Scholar] [CrossRef]
- Walck, S.D.; Zabinski, J.S.; McDevitt, N.T.; Bultman, J.E. Characterization of air-annealed, pulsed laser deposited ZnO-WS2 solid film lubricants by transmission electron microscopy. Thin Solid Films 1997, 305, 130–143. [Google Scholar] [CrossRef]
- Aouadi, S.M.; Paudel, Y.; Luster, B.; Stadler, S.; Kohli, P.; Muratore, C.; Hager, C.; Voevodin, A.A. Adaptive Mo2N/MoS2/Ag tribological nanocom-posite coatings for aerospace applications. Tribol. Lett. 2008, 29, 95–103. [Google Scholar] [CrossRef]
- Aouadi, S.M.; Paudel, Y.; Simonson, W.J.; Ge, Q.; Kohli, P.; Muratore, C.; Voevodin, A.A. Tribological investigation of adaptive Mo2N/MoS2/Ag coatings with high sulfur content. Surf. Coat. Technol. 2009, 203, 1304–1309. [Google Scholar] [CrossRef]
- Sun, W.; Liu, J.; Xiang, H.; Zhou, Y. A Theoretical Investigation on the Anisotropic Surface Stability and Oxygen Adsorption Behavior of ZrB2. J. Am. Ceram. Soc. 2016, 99, 4113–4120. [Google Scholar] [CrossRef]
- Wang, P.; Qi, Y.; Zhou, S.; Hu, P.; Chen, G.; Zhang, X.; Han, W. Polycrystalline ZrB2 coating prepared on graphite by chemical vapor deposition. Phys. Status Solidi (b) 2016, 253, 1590–1595. [Google Scholar] [CrossRef]
- Ma, H.-B.; Zhang, G.-J.; Liu, H.-L.; Liu, J.-X.; Lu, Y.; Xu, F.F. Effect of WC or ZrC addition on thermal residual stresses in ZrB2SiC ceramics. Mater. Des. 2016, 110, 340–345. [Google Scholar] [CrossRef]
- Sha, J.; Li, J.; Wang, S.; Wang, Y.; Zhang, Z.; Dai, J. Toughening effect of short carbon fibers in the ZrB2–ZrSi2 ceramic composites. Mater. Des. 2015, 75, 160–165. [Google Scholar] [CrossRef]
- Balak, Z.; Asl, M.S.; Azizieh, M.; Kafashan, H.; Hayati, R. Effect of different additives and open porosity on fracture toughness of ZrB2-SiC-based composites prepared by SPS. Ceram. Int. 2017, 43, 2209–2220. [Google Scholar] [CrossRef]
- Zhou, C.; Wang, P.; Wei, C.; Han, W.; Zhang, X.; Xu, B. ZrB2 grains synthesized on graphite by chemical vapor deposition. J. Alloys Compd. 2017, 698, 27–32. [Google Scholar] [CrossRef]
- Emami, S.M.; Salahi, E.; Zakeri, M.; Tayebifard, S.A. Effect of composition on spark plasma sintering of ZrB2-SiC-ZrC nanocomposite synthesized by MASPSyn. Ceram. Int. 2017, 43, 111–115. [Google Scholar] [CrossRef]
- Zhou, S.B.; Wang, Z.; Zhang, W. Effect of graphite flake orientation on microstructure and mechanical properties of ZrB2-SiC-graphite composite. J. Alloys Compd. 2009, 485, 181–185. [Google Scholar] [CrossRef]
- Silvestroni, L.; Sciti, D.; Hilmas, G.E.; Fahrenholtz, W.G.; Watts, J. Effect of a weak fiber interface coating in ZrB2 reinforced with long SiC fibers. Mater. Des. 2015, 88, 610–618. [Google Scholar] [CrossRef]
- Sciti, D.; Pienti, L.; Murri, A.N.; Landi, E.; Medri, V.; Zoli, L. From random chopped to oriented continuous SiC fibers-ZrB2 composites. Mater. Des. 2014, 63, 464–470. [Google Scholar] [CrossRef]
- Monteverde, F.; Guicciardi, S.; Bellosi, A. Advances in microstructure and mechanical properties of zirconium diboride based ceramics. Mater. Sci. Eng. A 2003, 346, 310–319. [Google Scholar] [CrossRef]
- Xu, J.; Ju, H.; Yu, L. Effects of Mo Content on the Microstructure and Friction and Wear Properties of Timon Films. Acta Met. Sin. 2012, 48, 1132–1138. [Google Scholar] [CrossRef]
- Hazar, H. Characterization of MoN coatings for pistons in a diesel engine. Mater. Des. 2010, 31, 624–627. [Google Scholar] [CrossRef]
- Yang, Q.; Zhao, L.; Patnaik, P.; Zeng, X. Wear resistant TiMoN coatings deposited by magnetron sputtering. Wear 2006, 261, 119–125. [Google Scholar] [CrossRef]
- Mei, F.; Shao, N.; Wei, L.; Dong, Y.; Li, G. Coherent epitaxial growth and superhardness effects of fcc-TiN/hcp-TiB2 nanomultilayers. Appl. Phys. Lett. 2005, 87, 011906. [Google Scholar] [CrossRef]
- Kong, M.; Shao, N.; Dong, Y.; Yue, J.; Li, G. Growth, microstructure and mechanical properties of (Ti, Al)N/VN nanomultilayers. Mater. Lett. 2006, 60, 874–877. [Google Scholar] [CrossRef]
- Liu, C.H.; Du, X.S.; Wang, D.Z.; Huang, N.K.; Yang, B. XPS characterization of the molybdenum before and after H+ ion irradiation. J. Funct. Mater. 2007, 2, 176–178. [Google Scholar]
- Wang, T.-G.; Liu, Y.; Zhang, T.; Kim, D.-I.; Kim, K.H. Influence of Nitrogen Flow Ratio on the Microstructure, Composition, and Mechanical Properties of DC Magnetron Sputtered Zr–B–O–N Films. J. Mater. Sci. Technol. 2012, 28, 981–991. [Google Scholar] [CrossRef]
- Pierson, J.; Billard, A.; Belmonte, T.; Michel, H.; Frantz, C. Influence of oxygen flow rate on the structural and mechanical properties of reactively magnetron sputter-deposited Zr–B–O coatings. Thin Solid Films 1999, 347, 78–84. [Google Scholar] [CrossRef]
- Zhang, J.; Xue, Q.; Li, S.-X.; Qin, Z. Microstructure, corrosion and tribological properties of Ti(CN) multilayer coatings on 35CrMo steel by CVD. Rare Met. 2014, 39, 1314–1320. [Google Scholar] [CrossRef]
- Li, Y.; Zou, W.J.; Li, B.X.; Dong, Q.M. The Frictional Properties and Mechanism of Nano-Diamond/Ni Composite Coatings by Brush-Plating. Adv. Mater. Res. 2011, 291–294, 197–200. [Google Scholar] [CrossRef]
- Wang, X.; Xu, J.; Ma, S.; Xu, K. Effects of annealing temperature on the microstructure and hardness of TiAlSiN hard coatings. Chin. Sci. Bull. 2011, 56, 1727–1731. [Google Scholar] [CrossRef][Green Version]
- Anderson, P.; Li, C. Hall-Petch relations for multilayered materials. Nanostruct. Mater. 1995, 5, 349–362. [Google Scholar] [CrossRef]
- Du, H.J.; Tian, Y.J. Hardening mechanism for Nano-multilayer films. Acta Inorg. Mater. 2006, 4, 769–775. [Google Scholar]
- Kato, M.; Mori, T.; Schwartz, L. Hardening by spinodal modulated structure. Acta Met. 1980, 28, 285–289. [Google Scholar] [CrossRef]
- Shinn, M.; Barnett, S.A. Effect of superlattice layer elastic moduli on hardness. Appl. Phys. Lett. 1994, 64, 61–63. [Google Scholar] [CrossRef]
- Bouaouina, B.; Besnard, A.; Abaidia, S.; Haid, F. Residual stress, mechanical and microstructure properties of multilayer Mo2 N/CrN coating produced by R.F Magnetron discharge. Appl. Surf. Sci. 2017, 395, 117–121. [Google Scholar] [CrossRef]
- Drnovsek, A.; de Figueiredo, M.R.; Vo, H.; Xia, A.; Vachhani, S.J.; Kolozsvari, S.; Hosemann, P.; Franz, R. Correlating high temperature mechanical and tribological properties of CrAlN and CrAlSiN hard coatings. Surf. Coat. Technol. 2019, 372, 361–368. [Google Scholar] [CrossRef]
- Kiryukhantsev-Korneev, F.V.; Lemesheva, M.V.; Shvyndina, N.V.; Levashov, E.A.; Potanin, A.Y. Structure, Mechanical Properties, and Oxidation Resistance of ZrB2, ZrSiB, and ZrSiB/SiBC Coatings. Prot. Met. Phys. Chem. Surf. 2018, 54, 1147–1156. [Google Scholar] [CrossRef]
- Lu, Z.-L.; Zhou, Y.-X.; Rao, Q.-C.; Jin, Z.-H. An investigation of the abrasive wear behavior of ductile cast iron. J. Mater. Process. Technol. 2001, 116, 176–181. [Google Scholar] [CrossRef]
- Tarasov, S.; Rubtsov, V.; Kolubaev, E.; Gnyusov, S.F.; Kudinov, Y.A. Radioscopy of remnant joint line in a friction stir welded seam. Russ. J. Nondestruct. Test. 2015, 51, 573–579. [Google Scholar] [CrossRef]
- Jin, S.X.; Liu, N.; Zhang, S.; Li, D.J. The simulation of interface structure, energy and electronic properties of TaN/ReB2 multilayers using first-principles. Surf. Coat. Technol. 2017, 326, 417–423. [Google Scholar] [CrossRef]
- Xiong, H.; Liu, Z.; Zhang, H.; Du, Z.; Chen, C. First principles calculation of interfacial stability, energy and electronic properties of SiC/ZrB2 interface. J. Phys. Chem. Solids 2017, 107, 162–169. [Google Scholar] [CrossRef]
- Fan, X.; Chen, B.; Zhang, M.; Li, D.; Liu, Z.; Xiao, C. First-principles calculations on bonding characteristic and electronic property of TiC (111)/TiN (111) interface. Mater. Des. 2016, 112, 282–289. [Google Scholar] [CrossRef]
- Wang, H.; Zhang, S.; Li, D.; Liu, S. The simulation of adhesion, stability, electronic structure of W/ZrB2 interface using first-principles. Surf. Coat. Technol. 2013, 228, S583–S587. [Google Scholar] [CrossRef]
Publisher’s Note: MDPI stays neutral with regard to jurisdictional claims in published maps and institutional affiliations. |
© 2021 by the authors. Licensee MDPI, Basel, Switzerland. This article is an open access article distributed under the terms and conditions of the Creative Commons Attribution (CC BY) license (http://creativecommons.org/licenses/by/4.0/).










