Improving the Power Efficiency of Micro-LED Displays with Optimized LED Chip Sizes
Abstract
1. Introduction
2. Device Modeling
2.1. RGB Micro-LED Display
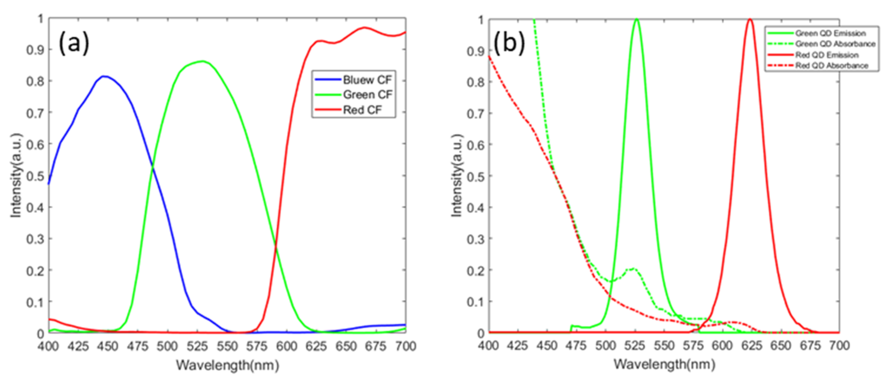
2.2. Color-Conversion Micro-LED Display
3. Simulation Results and Discussion
3.1. Optimization Process of Uniform LED Chip Size in RGB Subpixels
3.1.1. RGB Micro-LED Display
3.1.2. Color-Conversion Micro-LED Display
3.2. Optimization Process of Different LED Chip Sizes in RGB Subpixels
4. Conclusions
Author Contributions
Funding
Conflicts of Interest
References
- Lin, J.Y.; Jiang, H.X. Development of microLED. Appl. Phys. Lett. 2020, 116, 100502. [Google Scholar] [CrossRef]
- Jiang, H.X.; Lin, J.Y. Nitride micro-LEDs and beyond-a decade progress review. Opt. Express. 2013, 21, A475–A484. [Google Scholar] [CrossRef] [PubMed]
- Huang, Y.; Tan, G.; Gou, F.; Li, M.C.; Lee, S.L.; Wu, S.T. Prospects and challenges of mini-LED and micro-LED displays. J. Soc. Inf. Disp. 2019, 27, 387–401. [Google Scholar] [CrossRef]
- Huang, Y.; Hsiang, E.L.; Deng, M.Y.; Lin, C.L.; Wu, S.T. Mini-LED, Micro-LED and OLED displays: Present status and future perspectives. Light Sci. Appl. 2020, 9, 105. [Google Scholar]
- Ding, K.; Avrutin, V.; Izyumskaya, N.; Özgür, Ü.; Morkoç, H. Micro-LEDs, a manufacturability perspective. Appl. Sci. 2019, 9, 1206. [Google Scholar] [CrossRef]
- Corbett, B.; Loi, R.; Zhou, W.; Liu, D.; Ma, Z. Transfer print techniques for heterogeneous integration of photonic components. Prog. Quantum Electron. 2017, 52, 1–17. [Google Scholar] [CrossRef]
- Cok, R.S.; Neitl, M.; Rotzoll, R.; Melnik, G.; Fecioru, A.; Trindade, A.J.; Raymond, B.; Bonafede, S.; Gomez, D.; Moore, T.; et al. Inorganic light-emitting diode displays using micro-transfer printing. J. Soc. Inf. Disp. 2017, 25, 589–609. [Google Scholar] [CrossRef]
- Lin, H.Y.; Sher, C.W.; Hsieh, D.H.; Chen, X.Y.; Chen, H.M.P.; Chen, T.M.; Lau, K.M.; Chen, C.H.; Lin, C.C.; Kuo, H.C. Optical cross-talk reduction in a quantum-dot-based full-color micro-light-emitting-diode display by a lithographic-fabricated photoresist mold. Photonics Res. 2017, 5, 411–416. [Google Scholar] [CrossRef]
- Chen, G.S.; Wei, B.Y.; Lee, C.T.; Lee, H.Y. Monolithic red/green/blue micro-LEDs with HBR and DBR structures. IEEE Photonics Technol. Lett. 2017, 30, 262–265. [Google Scholar] [CrossRef]
- Chen, H.; He, J.; Wu, S.T. Recent advances in quantum-dot-enhanced liquid crystal displays. IEEE J. Sel. Topics Quantum Electron. 2017, 23, 1900611. [Google Scholar] [CrossRef]
- Chen, S.W.H.; Shen, C.C.; Wu, T.; Liao, Z.Y.; Chen, L.F.; Zhou, J.R.; Lee, C.F.; Lin, C.H.; Lin, C.C.; Sher, C.W.; et al. Full-color monolithic hybrid quantum dot nanoring micro light-emitting diodes with improved efficiency using atomic layer deposition and nonradiative resonant energy transfer. Photonics Res. 2019, 7, 416–422. [Google Scholar] [CrossRef]
- Kim, H.M.; Ryu, M.; Cha, J.H.; Kim, H.S.; Jeong, T.; Jang, J. Ten micrometer pixel, quantum dots color-conversion layer for high resolution and full color active matrix micro-LED display. J. Soc. Inf. Disp. 2019, 27, 347–353. [Google Scholar] [CrossRef]
- Lee, E.; Tangirala, R.; Smith, A.; Carpenter, A.; Hotz, C.; Kim, H.; Yurek, J.; Miki, T.; Yoshihara, S.; Kizaki, T.; et al. Invited Paper: Quantum Dot Conversion Layers Through Inkjet Printing. SID Int. Symp. Digest Tech. Pap. 2018, 49, 525–527. [Google Scholar] [CrossRef]
- Biwa, G.; Doi, M.; Yasuda, A.; Kadota, H. Technologies for the Crystal LED Display System. SID Int. Symp. Dig. Tech. Pap. 2019, 50, 121–124. [Google Scholar] [CrossRef]
- (Samsung Electronics Corp) The Wall’s Specs. Available online: https://www.samsung.com/us/business/products/displays/direct-view-led/the-wall/ (accessed on 15 April 2020).
- Yadavalli, K.; Chuang, C.L.; El-Ghoroury, H.S. Monolithic and heterogeneous integration of RGB micro-LED arrays with pixel-level optics array and CMOS image processor to enable small form-factor display applications. In Proceedings of the SPIE 2020, 11310, Optical Architectures for Displays and Sensing in Augmented, Virtual, and Mixed Reality (AR, VR, MR), San Francisco, CA, USA, 2 February 2020; p. 113100Z. [Google Scholar]
- Liu, Z.J.; Chong, W.C.; Wong, K.M.; Tam, K.H.; Lau, K.M. A novel BLU-free full-color LED projector using LED on silicon micro-displays. IEEE Photonics Technol. Lett. 2013, 25, 2267–2270. [Google Scholar] [CrossRef]
- Chen, C.J.; Chen, H.C.; Liao, J.H.; Yu, C.J.; Wu, M.C. Fabrication and Characterization of Active-Matrix 960×540 Blue GaN-Based Micro-LED Display. IEEE J. Quantum Electron. 2019, 55, 1–6. [Google Scholar] [CrossRef]
- Day, J.; Li, J.; Lie, D.Y.C.; Bradford, C.; Lin, J.Y.; Jiang, H.X. III-Nitride full-scale high-resolution microdisplays. Appl. Phys. Lett. 2011, 99, 031116. [Google Scholar] [CrossRef]
- Liu, Z.J.; Chong, W.C.; Wong, K.M.; Lau, K.M. GaN-based LED micro-displays for wearable applications. Microelectron. Eng. 2015, 148, 98–103. [Google Scholar] [CrossRef]
- Chong, W.C.; Cho, W.K.; Liu, Z.J.; Wang, C.H.; Lau, K.M. 1700 pixels per inch (PPI) passive-matrix micro-LED display powered by ASIC. In Proceedings of the 2014 IEEE Compound Semiconductor Integrated Circuit Symposium (CSICS), La Jolla, CA, USA, 19–22 October 2014; pp. 1–4. [Google Scholar]
- Parikh, K.; Ahmed, K.; Matsumura, N.; Gottardo, D.; Cancel, R.; Girvin, B.; Woodbeck, R. Invited Paper: Requirements for Next Generation Wearable Display and Battery Technologies. SID Int. Symp. Digest Tech. Pap. 2016, 47, 570–573. [Google Scholar] [CrossRef]
- Chen, H.; Lee, J.H.; Lin, B.Y.; Chen, S.; Wu, S.T. Liquid crystal display and organic light-emitting diode display: Present status and future perspectives. Light Sci. Appl. 2018, 7, 17168. [Google Scholar] [CrossRef]
- Wierer, J.J., Jr.; Tansu, N. III-Nitride Micro-LEDs for Efficient Emissive Displays. Laser. Photonics Rev. 2019, 13, 1900141. [Google Scholar] [CrossRef]
- Tian, P.; McKendry, J.J.; Gong, Z.; Guilhabert, B.; Watson, I.M.; Gu, E.; Chen, Z.; Zhang, G.; Dawson, M.D. Size-dependent efficiency and efficiency droop of blue InGaN micro-light emitting diodes. Appl. Phys. Lett. 2012, 101, 231110. [Google Scholar] [CrossRef]
- Olivier, F.; Daami, A.; Licitra, C.; Templier, F. Shockley-Read-Hall and Auger non-radiative recombination in GaN based LEDs: A size effect study. Appl. Phys. Lett. 2017, 111, 022104. [Google Scholar] [CrossRef]
- Wong, M.S.; Nakamura, S.; DenBaars, S.P. Review—Progress in high performance III-nitride micro-light-emitting diodes. ECS J. Solid State Sci. Technol. 2020, 9, 015012. [Google Scholar] [CrossRef]
- Konoplev, S.S.; Bulashevich, K.A.; Karpov, S.Y. From large-size to micro-LEDs: Scaling trends revealed by modeling. Phys. Status Solidi A 2018, 215, 1700508. [Google Scholar] [CrossRef]
- Bulashevich, K.A.; Karpov, S.Y. Impact of surface recombination on efficiency of III-nitride light-emitting diodes. Phys. Status Solidi (RRL)–Rapid Res. Lett. 2016, 10, 480–484. [Google Scholar] [CrossRef]
- Oh, J.T.; Lee, S.Y.; Moon, Y.T.; Moon, J.H.; Park, S.; Hong, K.Y.; Song, K.Y.; Oh, C.; Shim, J.I.; Jeong, H.H.; et al. Light output performance of red AlGaInP-based light emitting diodes with different chip geometries and structures. Opt. Express 2018, 26, 11194–11200. [Google Scholar] [CrossRef]
- Lee, Y.C.; Ni, C.H.; Chen, C.Y. Enhancing light extraction mechanisms of GaN-based light-emitting diodes through the integration of imprinting microstructures, patterned sapphire substrates, and surface roughness. Opt. Express. 2010, 18, A489–A498. [Google Scholar] [CrossRef]
- Gu, X.; Qiu, T.; Zhang, W.; Chu, P.K. Light-emitting diodes enhanced by localized surface plasmon resonance. Nanoscale Res. Lett. 2011, 6, 199. [Google Scholar] [CrossRef]
- Chu, C.H.; Wu, F.; Sun, S. High PPI micro-LED display based on PWM technology. SID Symp. Dig. Tech. Pap. 2018, 49, 337–338. [Google Scholar] [CrossRef]
- Ahn, H.A.; Hong, S.K.; Kwon, O.K. An active matrix micro-pixelated LED display driver for high luminance uniformity using resistance mismatch compensation method. IEEE Trans. Circuits Syst. II Express Briefs. 2018, 65, 724–728. [Google Scholar] [CrossRef]
- Chen, H.; Tan, G.; Wu, S.T. Ambient contrast ratio of LCDs and OLED displays. Opt. Express. 2017, 25, 33643–33656. [Google Scholar] [CrossRef]
- Lee, J.H.; Zhu, X.; Lin, Y.H.; Lin, T.C.; Hsu, H.C.; Lin, H.Y.; Wu, S.T. High ambient-contrast-ratio display using tandem reflective liquid crystal display and organic light-emitting device. Opt. Express. 2005, 13, 9431–9438. [Google Scholar] [CrossRef] [PubMed]
- Gou, F.; Hsiang, E.L.; Tan, G.; Chou, P.T.; Li, Y.L.; Lan, Y.F.; Wu, S.T. Angular color shift of micro-LED displays. Opt. Express. 2019, 27, A746–A757. [Google Scholar] [CrossRef]
- Liu, Z.; Wang, K.; Luo, X.; Liu, S. Precise optical modeling of blue light-emitting diodes by Monte Carlo ray-tracing. Opt. Express. 2010, 18, 9398–9412. [Google Scholar] [CrossRef]
- Moser, M.; Winterhoff, R.; Geng, C.; Queisser, I.; Scholz, F.; Dörnen, A. Refractive index of (AlxGa1−x)0.5In0.5P grown by metalorganic vapor phase epitaxy. Appl. Phys. Lett. 1994, 64, 235–237. [Google Scholar] [CrossRef]
- Gou, F.; Hsiang, E.L.; Tan, G.; Lan, Y.F.; Tsai, C.Y.; Wu, S.T. Tripling the optical efficiency of color-converted micro-LED displays with funnel-tube array. Crystals 2019, 9, 39. [Google Scholar] [CrossRef]
- Zollers, M. Phosphor Modeling in LightTools. LightTools White Paper. 2011. Available online: http://optics.synopsys.com/lighttools/pdfs/ModelingPhosphorsInLightTools.pdf (accessed on 15 April 2020).
- Shin, M.H.; Kim, H.J.; Kim, Y.J. Optical modeling based on mean free path calculations for quantum dot phosphors applied to optoelectronic devices. Opt. Express 2017, 25, A113–A123. [Google Scholar] [CrossRef]
- Hong, Q.; Lee, K.C.; Luo, Z.; Wu, S.T. High-efficiency quantum dot remote phosphor film. Appl. Opt. 2015, 54, 4617–4622. [Google Scholar] [CrossRef][Green Version]
- Chen, C.J.; Lien, J.Y.; Wang, S.L.; Chiang, R.K. Invited Paper: Thick-Shelled Quantum Dots for Display Applications. SID Int. Symp. Dig. Tech. Pap. 2017, 48, 550–553. [Google Scholar] [CrossRef]
















| Material Parameters | 626 nm | 529 nm | 465 nm | |||
|---|---|---|---|---|---|---|
| n | k | n | k | n | k | |
| Molding layer | 1.48 | 0 | 1.49 | 0 | 1.50 | 0 |
| Red LED chip | 3.30 | 0 | 3.56 | 0.16 | 3.76 | 0.28 |
| Blue/Green LED chip | 2.35 | 4 × 10−5 | 2.34 | 4 × 10−5 | 2.42 | 4 × 10−5 |
| Bounding metal | 0.15 | 3.52 | 0.44 | 2.29 | 1.43 | 1.85 |
| Glass substrate | 1.5 | 0 | 1.5 | 0 | 1.5 | 0 |
| Applications | Smartphone | Laptop | TV |
|---|---|---|---|
| Resolution | 2688 × 1242 | 3840 × 2160 | 3840 × 2160 |
| Pixel size | 55.45 µm | 90 µm | 373 µm |
| Ambient illuminance | 2000 lux | 450 lux | 200 lux |
| ACR | 30 | 120 | 800 |
| Display surface reflection | 4% | 4% | 1.2% |
© 2020 by the authors. Licensee MDPI, Basel, Switzerland. This article is an open access article distributed under the terms and conditions of the Creative Commons Attribution (CC BY) license (http://creativecommons.org/licenses/by/4.0/).
Share and Cite
Hsiang, E.-L.; He, Z.; Huang, Y.; Gou, F.; Lan, Y.-F.; Wu, S.-T. Improving the Power Efficiency of Micro-LED Displays with Optimized LED Chip Sizes. Crystals 2020, 10, 494. https://doi.org/10.3390/cryst10060494
Hsiang E-L, He Z, Huang Y, Gou F, Lan Y-F, Wu S-T. Improving the Power Efficiency of Micro-LED Displays with Optimized LED Chip Sizes. Crystals. 2020; 10(6):494. https://doi.org/10.3390/cryst10060494
Chicago/Turabian StyleHsiang, En-Lin, Ziqian He, Yuge Huang, Fangwang Gou, Yi-Fen Lan, and Shin-Tson Wu. 2020. "Improving the Power Efficiency of Micro-LED Displays with Optimized LED Chip Sizes" Crystals 10, no. 6: 494. https://doi.org/10.3390/cryst10060494
APA StyleHsiang, E.-L., He, Z., Huang, Y., Gou, F., Lan, Y.-F., & Wu, S.-T. (2020). Improving the Power Efficiency of Micro-LED Displays with Optimized LED Chip Sizes. Crystals, 10(6), 494. https://doi.org/10.3390/cryst10060494

