Abstract
The high productivity of oil biosynthesized by microalgae has attracted increasing attention in recent years. Due to the application of such oils in jet fuels, the algal biosynthetic pathway toward oil components has been extensively researched. However, the utilization of the residue from algal cells after oil extraction has been overlooked. This residue is mainly composed of carbohydrates (starch), and so we herein describe the novel processes available for the production of useful chemicals from algal biomass-derived sugars. In particular, this review highlights our latest research in generating lactic acid and levulinic acid derivatives from polysaccharides and monosaccharides using homogeneous catalysts. Furthermore, based on previous reports, we discuss the potential of heterogeneous catalysts for application in such processes.
1. Introduction
Many important chemicals and end products are produced from fossil fuels. For example, petroleum is widely used to produce gasoline, heating oil, and raw materials for plastics. Technologies have also been recently developed to obtain useful products from the hydrocarbons present in natural gas, such as methane and ethane. However, owing to the depletion of fossil fuels, new carbon resources are urgently required on a global scale. As such, various methods have been developed to allow the use of carbohydrates as alternative resources, and these processes could have a significant impact on reducing carbon dioxide emissions. Carbohydrates derived from both crop biomass (i.e., storage polysaccharides, such as starch) and woody biomass (i.e., cell wall polysaccharides, such as cellulose) have been considered for this purpose [1,2,3,4,5,6,7,8]. However, as the global population continues to increase, the use of limited farmland to grow crop biomass instead of food is clearly unrealistic. In addition, sufficient woody biomass can only be obtained through large-scale deforestation and subsequent environmental destruction. Thus, a more efficient and sustainable carbon resource supply system is required.
In this context, microalgae have been investigated as alternatives to crop and woody biomass-based systems, as algae can be propagated industrially without using farmland [9], and its productivity per unit time and per unit area is extremely high [10,11]. The main characteristic of algae is its high productivity of oil and carbohydrates (mainly starch) in cells under unfavorable growth conditions, such as nutrient deficiency [9]. Indeed, the importance of algal-derived oil resources has recently been highlighted by applications of the obtained oil as biojet fuel and biodiesel [12,13,14,15,16,17]. However, unlike cellulose, the utilization of carbohydrates present in algal cells after oil extraction has been overlooked. Therefore, it is also important to develop processes to convert algal carbohydrates into important chemicals.
Table 1 shows the typical carbohydrate compositions in green algae, including Chlorella vulgaris (a health food) and Chlamydomonas reinhardtii (often employed in basic research). These algae have a high productivity of both oil and carbohydrates, with the majority of the latter being in the form of starch and glucose. These carbohydrates may therefore be used as new carbon resources in light of fossil fuel depletion. Although a wide variety of microalgae exist, we herein focus on the applicability of carbohydrate-rich microalgae.
Table 1.
Carbohydrate contents of selected species of microalgae [18].
In this review, we examine the chemical transformation of algal carbohydrates into alkyl lactate and alkyl levulinate. First, the homogeneously catalyzed conversion of glucose into these target chemicals is discussed. Subsequently, we focus on the utilization of algal biomass, especially algal residue (which is commonly discarded after the abstraction of oil) to produce methyl lactate and methyl levulinate. Finally, to put these results into a practical context, we discuss the development of heterogeneous catalysts.
2. Homogeneously Catalyzed Transformation of Carbohydrates into Alkyl Lactate and Alkyl Levulinate
Figure 1 shows that the molecular structures and applications of alkyl lactate and alkyl levulinate. Two molecules of lactic acid can be dehydrated to yield the lactone lactide, and in the presence of catalysts, this lactide can polymerize to give polylactide (PLA), a biodegradable polyester [23]. Indeed, PLA is an excellent example of a plastic that is not derived from petrochemicals. Lactic acid is also employed in pharmaceutical technologies to produce water-soluble lactates from otherwise-insoluble active ingredients. In addition, it finds further use in topical preparations and cosmetics as an acidity regulator and for its disinfectant and keratolytic properties. In contrast, levulinic acid is employed as a precursor for pharmaceuticals, plasticizers, and various other additives, and is recognized as a building block or starting material for a wide number of compounds. Indeed, this family contributes to various large volume chemical markets, commonly being applied in biofuels such as γ-valerolactone, 2-methyl-tetrahydrofuran, and ethyl levulinate as shown in References [24,25,26,27,28].
Figure 1.
Molecular structures and applications of alkyl lactate and alkyl levulinate.
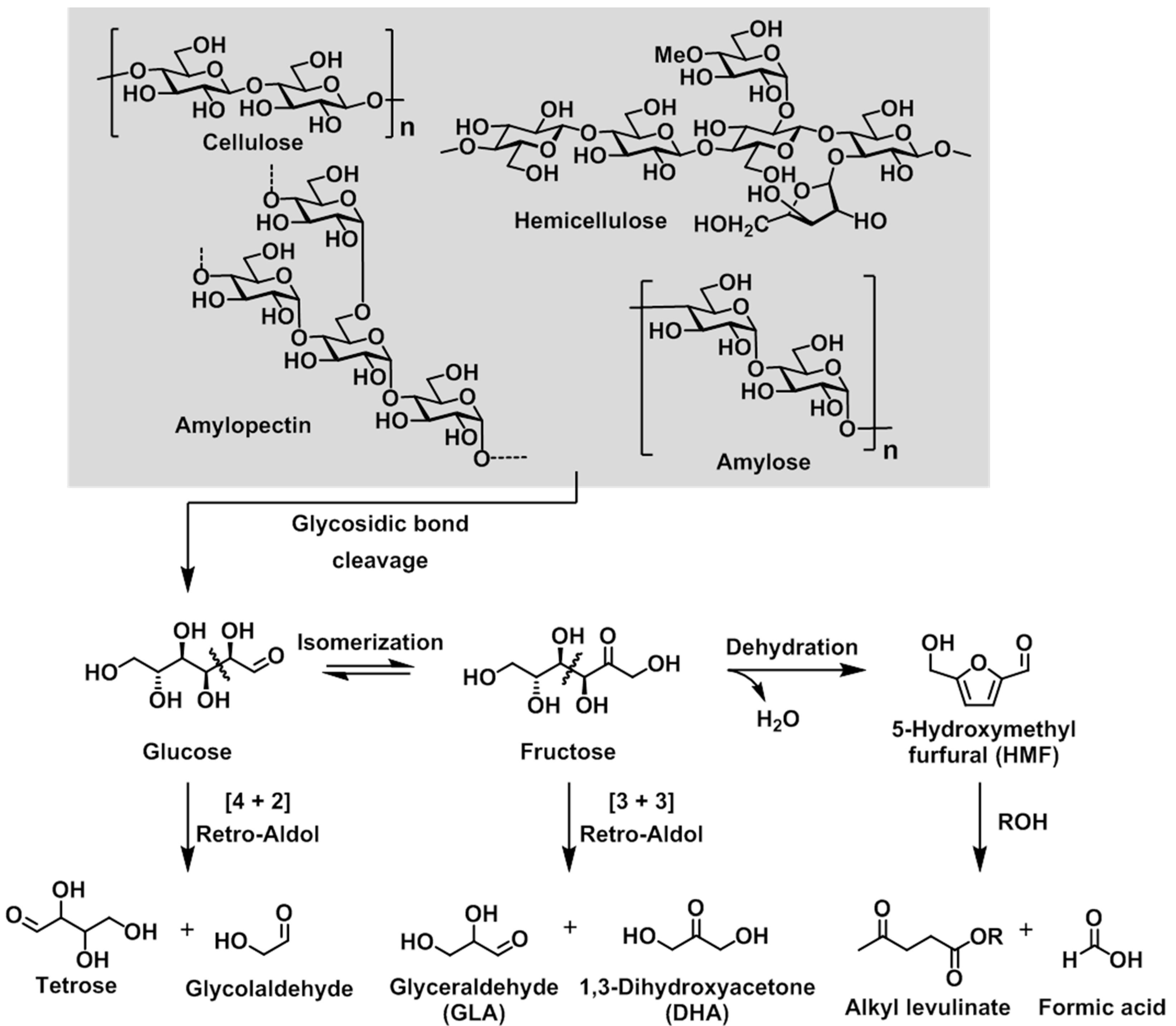
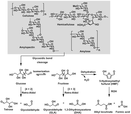
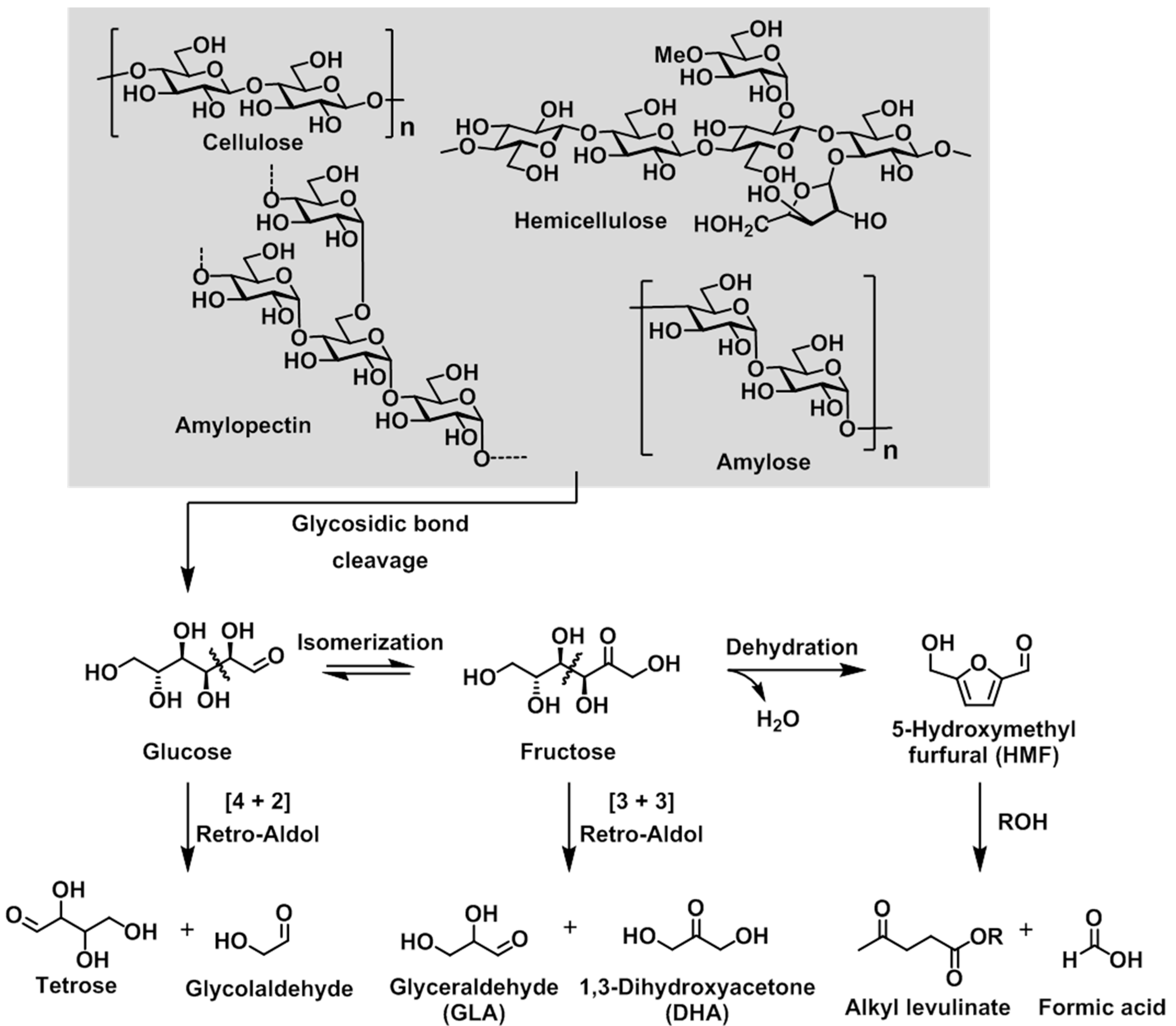
The degradation pathway of polysaccharides such as cellulose, hemicellulose, amylose, and amylopectin is shown in Scheme 1. Initially, cleavage of the glycosidic linkage in all polysaccharides leads to the production of a common main component, namely the glucose monomer. Each molecule of glucose can then be decomposed to give a tetrose (C4) unit and a glycolaldehyde (C2) unit via a retro-aldol reaction. Alternatively, the isomerization of glucose to yield fructose is thermodynamically preferable, and the corresponding retro-aldol reaction of fructose affords trioses (C3), including 1,3-dihydroxyacetone (DHA) and glyceraldehyde (GLA). A separate dehydration reaction of fructose leads to the formation of furfural derivatives, which can react with alcohols to form alkyl levulinate. In general, the product selectivity is strongly dependent on the characteristics of the catalyst, i.e., the balance between its Lewis and Brønsted acidities.
Scheme 1.
Degradation of carbohydrates and their transformation into several oxygenates.
2.1. Production of Alkyl Lactate from Carbohydrates Using Homogeneous Catalysts
In 2005, Hayashi et al. reported the one-pot synthesis of methyl lactate from DHA and GLA, which were obtained via fermentation and the retro-aldol reaction of glucose [29]. In this cascade transformation, sequential dehydration, a 1,2-hydride shift, and the addition of methanol take place to yield the desired product. The use of tin halides led to high product yields, while other Lewis acid catalysts (Cr, Zr, Al, etc.) exhibited low activities in this reaction system (Table 2). To explain this unique behavior of the homogeneous tin metal catalysts, we employed density functional theory calculations to examine the coupling reaction between DHA and formaldehyde, in which tin catalysts also accelerated the aldol condensation [30]. The calculation results indicated that the strong interaction between the tin catalyst and the reaction intermediates possessing carbonyl moieties can reduce the transition state energy, therefore accelerating the reaction.
Table 2.
Catalytic conversions of trioses to methyl lactate.1
In 2017, Dusselier et al. reported a synthetic process to produce methyl lactate from cellulose (Scheme 2) [31]. Following the initial decomposition of cellulose to give the glucose monomer, a subsequent isomerization of glucose followed by a retro-aldol reaction of fructose afforded the desired product. Interestingly, the use of Sn(OTf)2 (Tf = triflate) accelerated the retro-aldol reaction. In addition, the balance between Sn as a Lewis acid and TfOH as a Brønsted acid has a strong influence on product selectivity, therefore indicating that tuning of the Lewis and Brønsted acidic ratio is crucial to achieving the desired degradation of the polysaccharides and of glucose.
Scheme 2.
Transformation of cellulose into methyl lactate.
2.2. Production of Alkyl Levulinate from Carbohydrates Using Homogeneous Catalysts
In 2012, Wu et al. reported the synthesis of alkyl levulinate via the degradation of cellulose [32]. The use of supercritical methanol as the solvent and sulfuric acid as an acid catalyst provided the desired product in a high yield. This result indicates that Brønsted acids are effective for cleaving the glycosidic bonds of cellulose and for the sequential dehydration reactions of glucose to generate alkyl levulinate.
Based on these reports, we described how the acidic properties of the catalyst affect the transformation of polysaccharides into alkyl lactate and alkyl levulinate. As shown in Scheme 3, a strong acid such as sulfuric acid or TfOH is required to degrade the polysaccharides (e.g., cellulose) into monosaccharides (e.g., glucose). However, both Lewis and Brønsted acids are required for the isomerization of glucose into fructose followed by the retro-aldol reaction of fructose to afford alkyl lactate. In contrast, a strong Brønsted acid is required for the formation of furfural derivatives and alkyl levulinate via dehydration and subsequent reaction with an alcohol.
Scheme 3.
Effect of the catalyst acidic properties on the transformation of polysaccharides into alkyl lactate and alkyl levulinate.
2.3. Chemical Production Using Algal Residue as a Carbon Source
In 2017, we achieved the successful transformation of algal residue into methyl levulinate and methyl lactate [33]. Following oil abstraction from Cyanidioschyzon merolae 10D, the algal residue contained amylose and amylopectin as starch polysaccharides, which were then used to produce the target chemicals (Figure 2).
Figure 2.
A concept of the full utilization of algae.
Initially, we optimized the reaction conditions required for the conversion of authentic starch into either methyl levulinate or methyl lactate (Table 3). According to a previous report [31] on the degradation of cellulose, the use of Sn(OTf)2 led to the production of methyl levulinate and methyl lactate in comparable yields. In addition, as a strong Brønsted acid is required for the synthesis of methyl levulinate (see Scheme 3), the use of Sn(OTf)2 was examined, and in this case, only methyl levulinate was obtained in a high yield (entry 1). Furthermore, a high yield of methyl levulinate was achieved using only TfOH, indicating that TfOH is crucial both for the degradation of polysaccharides and for the sequential dehydration reactions (entry 2). In contrast, to selectively synthesize methyl lactate, a balance between the ratio of Lewis and Brønsted acids is important, as mentioned above. Based on these considerations, we examined the effect of different tin halides on the transformation, including SnCl4·5H2O, SnBr4, and SnI4. Although the use of SnCl4·5H2O did not result in the desired product (entry 3), the use of SnBr4 and SnI4 gave methyl lactate in satisfactory yields (entries 4 and 5). Other metal halides were not active in this transformation. We also found that the product selectivity was reversible in the presence of HBr, which confirms that the use of tin metal as a Lewis acid is essential in the retro-aldol reaction of fructose.
Table 3.
Conversion of authentic starch into methyl levulinate and methyl lactate using various catalysts. 1
According to previous reports, SnCl4 is the most effective tin halide catalyst for the production of methyl lactate from 3- [29] or 6-carbon [34] sugars. This can be explained by examining the electronegativity (Χp) of the different halogen atoms (see Table 4) and the pKa values of the hydrogen halides (see Table 5). However, in our case, the use of SnCl4 failed to result in the desired methyl lactate (Table 3, entry 3). Although the strong Lewis acidity of Sn in SnCl4 appears to accelerate the retro-aldol reaction, the dehydration, and the 1,2-hydride shift, the glycosidic linkages are not cleaved smoothly due to the low pKa of HCl. In contrast, as the strong Brønsted acid HBr and HI accelerate the cleavage of the glycosidic linkages, the use of SnBr4 and SnI4 produced methyl lactate in moderate yields (i.e., 27% and 20% yields, respectively, see Table 3, entries 4 and 5).
Table 4.
Χp values of the halogen atoms.
Table 5.
pKa values of the hydrogen halides.
Based on these results obtaining for the authentic starch sample, the corresponding reactions using algae were investigated. The cultivation conditions and pretreatment method employed are described in the literature [33] along with details regarding quantification of the neutral sugars. Preparation of the algae for use as a reaction substrate was carried out as indicated in Figure 3. After cultivation of the algae, the centrifugation, freezing, and dehydration steps resulted in a green powder. This powder was then suspended in methanol and subjected to sonication to yield the reaction substrate containing both oils and carbohydrates. However, when the reaction was attempted using this suspension, no traces of the desired products were obtained. We therefore hypothesized that the mineral ions and pigments present in the green powder reduced the catalytic activity, likely through catalyst poisoning. Thus, the sonicated powder suspension was filtered, washed with methanol, and dried in vacuo prior to application in the reaction.
Figure 3.
Method for preparation of the algal residue.
The resulting dried sample was then employed to examine the degradation of the algal carbohydrates (Scheme 4). Initially, Sn(OTf)2 was applied as the catalyst under ths same conditions employed for the authentic starch sampe, and the desired products (i.e., methyl levulinate and methyl lactate) were obtained in 37% and 9% yields, respectively. In contrast, the use of SnBr4 produced respective yields of 6% and 37%, with methyl lactate being the major product, as predicted. Hence, the introduction of an optimized pretreatment method to remove the mineral ions and pigments was successful in retaining the catalyst activity and producting the desired products. However, the goal of this study was to produce chemicals of interest using the algal residue following abstraction of the oil components. Therefore, the sonication step was carried out in a mixed solvent (CHCl3/MeOH) to separate the oil components from the algal residue. As indicated in Scheme 4, the product yields obtained from the algal residue were comparable to those obtained without the oil extraction stage. These results confirm that the homogeneous catalysts could also be employed for reactions involving the algal residues.
Scheme 4.
Conversion of the algal residue into methyl levulinate and methyl lactate using Sn(OTf)2 and SnBr4, respectively.
3. Heterogeneously Catalyzed Transformation of Carbohydrates into Methyl Levulinate and Methyl Lactate
The use of heterogeneous rather than homogeneous catalysts is necessary in the development of a green chemical process for the transformation of algal biomass-derived polysaccharides into chemicals of interest. This is due to the easy separation and recovery of homogeneous catalysts, and the absence of inorganic salt wastes associated with catalyst degradation. As such, the use of heterogeneous catalysts could lead to a sustainable and environmentally friendly process. A summary of related studies is given below.
3.1. Production of Alkyl Lactate from Carbohydrates Using Heterogeneous Catalysts
In 2009, Taarning et al. reported the zeolite-catalyzed transformation of triose sugars into methyl lactate, where Lewis-acidic zeolites such as Sn-Beta exhibited surprisingly high activities and selectivities in the isomerization of trioses to methyl lactate, and in both the 1,2-hydride shift and the dehydration reaction [35]. In addition, in 2010, the West group reported the transformation of trioses into methyl lactate using H-USY-zeolite [36]. According to their study, a purely Lewis acidic zeolite is highly active for the formation of methyl lactate from triose sugars, which supports the hypothesis that Brønsted and Lewis acidic sites catalyze two different reaction paths, with only the Lewis acidic sites leading to the formation of lactic acid/methyl lactate from DHA/GLA in appreciable amounts. These results clearly indicate that Lewis acids are effective for the transformation of trioses into lactic acid/methyl lactate (Table 4, entries 1–6).
Furthermore, in 2010, Holm et al. developed an efficient method to transform mono- and disaccharides into methyl lactate (Table 6, entries 7–11) [34]. They used zeolites possessing Lewis acidic sites with a beta-type zeolite containing a 12-membered pore structure (pore dimensions: 6.6 × 7.6 Å) exhibiting an especially high activity. This result clearly demonstrates that Lewis acidic sites are effective in the retro-aldol reaction of fructose, while the presence of Brønsted acidic sites leads to unwanted side reactions. This is consistent with the case of homogeneous catalysts. Furthermore, this accelerating effect agrees with the report of the Román-Leshkov group, which states that cooperative catalysis in the zeolite pores promotes the aldol condensation between DHA and formaldehyde, and can be attributed to the presence of both a Lewis acidic site (Sn) and a Brønsted acidic site (lattice oxygen) [37].
Table 6.
Conversion of carbohydrates to methyl lactate in methanol.
As mentioned above, the transformatio of monosaccharides into alkyl lactate using heterogeneous catalysts has been successfully developed. However, a few examples of the degradation of polysaccharides into alkyl lactate can also be found. This latter transformation involves the hydrolysis of cellulose to glucose, the isomerization of glucose into fructose and then into trioses, and the conversion of these trioses to alkyl lactate. Hence, the overall reaction is sensitive to the ratio of Lewis and Brønsted acid sites.
3.2. Production of Alkyl Levulinates from Carbohydrates Using Heterogeneous Catalysts
As previously discussed, Lewis acidic sites promote the production of methyl lactate through acceleration of the retro-aldol reaction of glucose, while Brønsted acidic sites promote the subsequent dehydration reactions. In 2013, Saravanamurugan et al. reported a selective synthesis of methyl levulinate from monosaccharides using several zeolites [38]. As shown in Table 7, as the Si/Al ratio increased, the Brønsted acidity was reduced, and the yield of the desired product was lowered. These results therefore confirm that a Brønsted acidic site is crucial for promoting the dehydration pathway.
Table 7.
Conversion of glucose to methyl levulinate over zeolites 1.
It is therefore apparent that as with the homogeneous catalysts, the balance between Lewis and Brønsted acidic sites is important in the heterogeneously catalyzed preparation of alkyl lactate and alkyl levulinate. However, the degradation of polysaccharides into alkyl lactate and alkyl levulinate has also been reported for heterogeneous catalysts. As such, the development of processes involving the hydrolysis of polysaccharides to monosachcarides and the conversion of monosaccharides into the desired products is challenging.
4. Conclusions
Microalgae have attracted attention as novel sources of biomass due to their high biomass productivities per unit time and area. In addition, algae can be propagated industrially without the requiring extensive areas of farmland. Under unfavorable growth conditions, such as a nutrient deficiency, algae produce large quantities of oil and carbohydrates (mainly starch) in their cells, and recently this algae-based oil has been employed as both biojet fuel and biodiesel. However, few reports exist into the use of algae-derived starch remaining in the algal cells following oil extraction.
In this review, we discussed the conversion of this starch into alkyl lactate (a precursor of the biodegradable polyesters of atactic or syndiotactic polylactides) and alkyl levulinate (a precursor and building block for pharmaceuticals, plasticizers, and other additives). Various homogeneous catalysts were examined to optimize the selective production of either methyl levulinate or methyl lactate, and the homogeneous SnII triflate led to increased yields of alkyl levulinate, while SnBr4 allowed the selective production of alkyl lactate. However, the development of heterogeneous catalysts is required for the implementation of these systems in practical applications.
We therefore confirm that algae can be utilized for oil production and as a carbon resource to potentially replace fossil fuels. Future studies should then focus on the underlying mechanism of starch production in algae, as such information will be useful for the design and selection of algal species that can produce high yields of biomass.
Acknowledgements
This study was supported by the JSPS Grant-in-Aid for Scientific Research on Innovative Areas (Grant no. 16H01010 and 26105003).
Author Contributions
S.Y. and S.I. conceived the concept and directed the project. K.M. and K.T. discussed the experiments and results.
Conflicts of Interest
The authors declare no conflict of interest.
References
- Huber, G.W.; Iborra, S.; Corma, A. Synthesis of transportation fuels from biomass: Chemistry, catalysts, and engineering. Chem. Rev. 2006, 106, 4044–4098. [Google Scholar] [CrossRef] [PubMed]
- Corma, A.; Iborra, S.; Velty, A. Chemical routes for the transformation of biomass into chemicals. Chem. Rev. 2007, 107, 2411–2502. [Google Scholar] [CrossRef] [PubMed]
- Bozell, J.J.; Peterson, G.R. Technology development for the production of biobased products from biorefinery carbohydrates—The US Department of Energy’s “Top 10” revisited. Green Chem. 2010, 12, 539–554. [Google Scholar] [CrossRef]
- Marshall, A.L.; Alaimo, P.J. Useful products from complex starting materials: Common chemicals from biomass feedstocks. Chem. Eur. J. 2010, 16, 4970–4980. [Google Scholar] [CrossRef] [PubMed]
- Pileidis, F.; Titirici, M. Levulinic acid biorefineries: New challenges for efficient utilization of biomass. ChemSusChem 2016, 9, 562–582. [Google Scholar] [CrossRef] [PubMed]
- Yamaguchi, S.; Baba, T. A novel strategy for biomass upgrade: Cascade approach to the synthesis of useful compounds via C-C bond formation using biomass-derived sugars as carbon nucleophiles. Molecules 2016, 21, 937. [Google Scholar] [CrossRef] [PubMed]
- Yamaguchi, S.; Baba, T. Cascade approach to the synthesis of useful compounds using various natural carbon resources. J. Synth. Org. Chem. Jpn. 2016, 74, 975–983. [Google Scholar] [CrossRef]
- Binder, J.B.; Raines, R.T. Simple chemical transformation of lignocellulosic biomass into furans for fuels and chemicals. J. Am. Chem. Soc. 2009, 131, 1979–1985. [Google Scholar] [CrossRef] [PubMed]
- Chisti, Y. Biodiesel from microalgae. Biotechnol. Adv. 2007, 25, 294–306. [Google Scholar] [CrossRef] [PubMed]
- Rosenberg, J.N.; Oyler, G.A.; Wilkinson, L.; Betenbaugh, M.J. A green light for engineered algae: Redirecting metabolism to fuel a biotechnology revolution. Curr. Opin. Biotechnol. 2008, 19, 430–436. [Google Scholar] [CrossRef] [PubMed]
- Sheehan, J. Engineering direct conversion of CO2 to biofuel. Nat. Biotechnol. 2009, 27, 1128–1129. [Google Scholar] [CrossRef] [PubMed]
- Spolaore, P.; Joannis-Cassan, C.; Duran, E.; Isambert, A. Commercial applications of microalgae. J. Biosci. Bioeng. 2006, 101, 87–96. [Google Scholar] [CrossRef] [PubMed]
- Ragauskas, A.J.; Williams, C.K.; Davison, B.H.; Britovsek, G.; Cairney, J.; Eckert, C.A.; Frederick, W.J., Jr.; Hallett, J.P.; Leak, D.J.; Liotta, C.L.; et al. The path forward for biofuels and biomaterials. Science 2006, 311, 484–489. [Google Scholar] [CrossRef] [PubMed]
- Wackett, L.P. Biomass to fuels via microbial transformations. Curr. Opin. Chem. Biol. 2008, 12, 187–193. [Google Scholar] [CrossRef] [PubMed]
- Atsumi, S.; Higashide, W.; Liao, J.C. Direct photosynthetic recycling of carbon dioxide to isobutyraldehyde. Nat. Biotechnol. 2009, 27, 1177–1180. [Google Scholar] [CrossRef] [PubMed]
- Dexter, J.; Fu, P. Metabolic engineering of cyanobacteria for ethanol production. Energy Environ. Sci. 2009, 2, 857–864. [Google Scholar] [CrossRef]
- Chen, C.Y.; Yeh, K.L.; Aisyah, R.; Lee, D.J.; Chang, J.S. Cultivation, photobioreactor design and harvesting of microalgae for biodiesel production: A critical review. Bioresour. Technol. 2011, 102, 71–81. [Google Scholar] [CrossRef] [PubMed]
- Simas-Rodrigues, C.; Villela, H.D.M.; Martins, A.P.; Marques, L.G.; Colepicolo, P.; Tonon, A.P. Microalgae for economic applications: Advantages and perspectives for bioethanol. J. Exp. Bot. 2015, 66, 4097–4108. [Google Scholar] [CrossRef] [PubMed]
- Choi, S.P.; Nguyen, M.T.; Sim, S.J. Enzymatic pretreatment of Chlamydomonas reinhardtii biomass for ethanol production. Bioresour. Technol. 2010, 101, 5330–5336. [Google Scholar] [CrossRef] [PubMed]
- Harun, R.; Danquah, M.K. Influence of acid pre-treatment on microalgal biomass for bioethanol production. Process Biochem. 2011, 46, 304–309. [Google Scholar] [CrossRef]
- Ho, S.-H.; Huang, S.-W.; Chen, C.-Y.; Hasunuma, T.; Kondo, A.; Chang, J.-S. Bioethanol production using carbohydrate-rich microalgae biomass as feedstock. Bioresour. Technol. 2013, 135, 191–198. [Google Scholar] [CrossRef] [PubMed]
- Ho, S.-H.; Li, P.-J.; Liu, C.-C.; Chang, J.-S. Bioprocess development on microalgae-based CO2 fixation and bioethanol production using Scenedesmus obliquus CNW-N. Bioresour. Technol. 2013, 145, 142–149. [Google Scholar] [CrossRef] [PubMed]
- Dusselier, M.; Wouwe, P.V.; Dewaele, A.; Makshina, E.; Sels, B.F. Lactic acid as a platform chemical in the biobased economy: The role of chemocatalysis. Energy Environ. Sci. 2013, 6, 1415–1442. [Google Scholar] [CrossRef]
- Bozell, J.J.; Moens, L.; Elliott, D.C.; Wang, Y.; Neuenscwander, G.G.; Fitzpatrick, S.W.; Bilski, R.J.; Jarnefeld, J.L. Production of levulinic acid and use as a platform chemical for derived products. Resour. Conserv. Recycl. 2000, 28, 227–239. [Google Scholar] [CrossRef]
- Manzer, L.E. Catalytic synthesis of α-methylene-γ-valerolactone: A biomass-derived acrylic monomer. Appl. Catal. A Gen. 2004, 272, 249–256. [Google Scholar] [CrossRef]
- Guo, Y.; Li, K.; Clark, J.H. The synthesis of diphenolic acid using the periodic mesoporous H3PW12O40-silica composite catalysed reaction of levulinic acid. Green Chem. 2007, 9, 839–841. [Google Scholar] [CrossRef]
- Geilen, F.M.A.; Engendahl, B.; Harwardt, A.; Marquardt, W.; Klankermayer, J.; Leitner, W. Selective and flexible transformation of biomass-derived platform chemicals by a multifunctional catalytic system. Angew. Chem. Int. Ed. 2010, 49, 5510–5514. [Google Scholar] [CrossRef] [PubMed]
- Antonetti, C.; Licursi, D.; Fulignati, S.; Valentini, G.; Galletti, A.M.R. New Frontiers in the Catalytic Synthesis of Levulinic Acid: From Sugars to Raw and Waste Biomass as Starting Feedstock. Catalysts 2016, 6, 196. [Google Scholar] [CrossRef]
- Hayashi, Y.; Sasaki, Y. Tin-catalyzed conversion of trioses to alkyl lactates in alcohol solution. Chem. Commun. 2005, 41, 2716–2718. [Google Scholar] [CrossRef] [PubMed]
- Yamaguchi, S.; Deguchi, H.; Kawauchi, S.; Motokura, K.; Miyaji, A.; Baba, T. Mechanistic Insight into Biomass Conversion to Five-membered Lactone Based on Computational and Experimental Analysis. ChemistrySelect 2017, 2, 591–597. [Google Scholar] [CrossRef]
- Dusselier, M.; Clercq, R.; Cornelis, R.; Sels, B.F. Tin triflate-catalyzed conversion of cellulose to valuable (α-hydroxy-) esters. Catal. Today 2017, 279, 339–344. [Google Scholar] [CrossRef]
- Wu, X.; Fu, J.; Lu, X. One-pot preparation of methyl levulinate from catalytic alcoholysis of cellulose in near-critical methanol. Carbohydr. Res. 2012, 358, 37–39. [Google Scholar] [CrossRef] [PubMed]
- Yamaguchi, S.; Kawada, Y.; Yuge, H.; Tanaka, K.; Imamura, S. Development of New Carbon Resources: Production of Important Chemicals from Algal Residue. Sci. Rep. 2017. [Google Scholar] [CrossRef] [PubMed]
- Holm, M.S.; Saravanamurugan, S.; Taarning, E. Conversion of sugars to lactic acid derivatives using heterogeneous zeotype catalysts. Science 2010, 328, 602–605. [Google Scholar] [CrossRef] [PubMed]
- Taarning, E.; Saravanamurugan, S.; Holm, M.S.; Xiong, J.; West, R.M.; Christensen, C.H. Zeolite-Catalyzed Isomerization of Triose Sugars. ChemSusChem 2009, 2, 625–627. [Google Scholar] [CrossRef] [PubMed]
- West, R.M.; Holm, M.S.; Saravanamurugan, S.; Xiong, J.; Beversdorf, Z.; Taarning, E.; Christensen, C.H. Zeolite H-USY for the production of lactic acid and methyl lactate from C3-sugars. J. Catal. 2010, 269, 122–130. [Google Scholar] [CrossRef]
- Vyver, S.; Odermatt, C.; Romero, K.; Prasomsri, T.; Román-Leshkov, Y. Solid Lewis Acids Catalyze the Carbon–Carbon Coupling between Carbohydrates and Formaldehyde. ACS Catal. 2015, 5, 972–977. [Google Scholar] [CrossRef]
- Saravanamurugan, S.; Riisager, A. Zeolite Catalyzed Transformation of Carbohydrates to Alkyl Levulinates. ChemCatChem 2013, 5, 1754–1757. [Google Scholar] [CrossRef]
© 2017 by the authors. Licensee MDPI, Basel, Switzerland. This article is an open access article distributed under the terms and conditions of the Creative Commons Attribution (CC BY) license (http://creativecommons.org/licenses/by/4.0/).



