Homo-Polymerization of 1-Hexene Catalysed by O^N^N (Salicylaldimine)Iron(III) Pre-Catalysts to Branched Poly(1-hexene)
Abstract
:1. Introduction
2. Results and Discussions
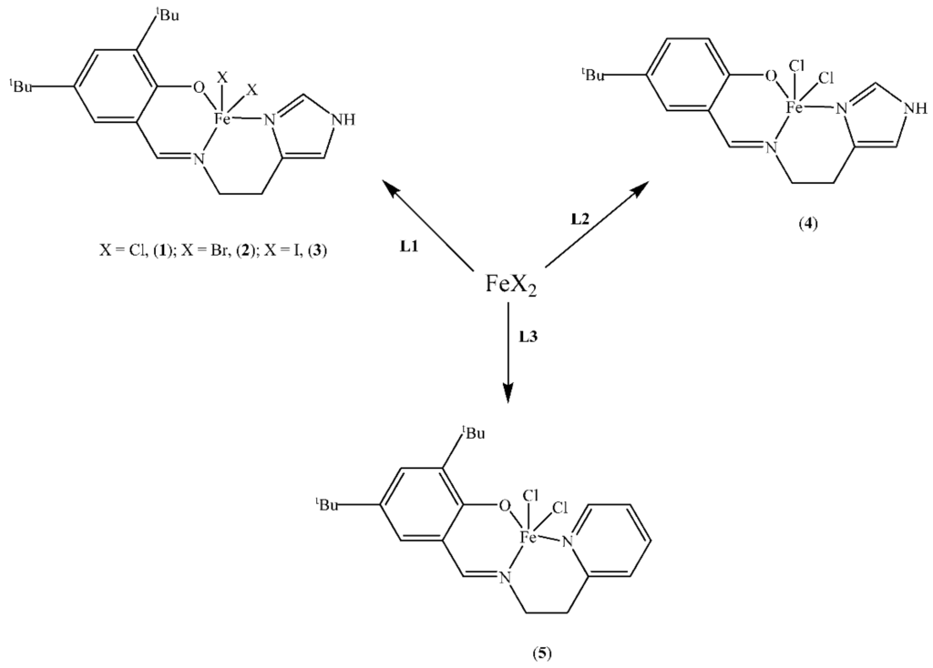
2.1. Syntheses of (Salicylaldimine)Iron(III) Complexes
2.2. Polymerisation of 1-hexene
2.3. Characterization of Poly(1-hexene) Using 1H NMR Spectroscopy
2.4. Characterization of Poly(1-hexene) Using 13C{1H} NMR Spectroscopy
2.5. Rationalisation of Formation of the Different Branches in the Poly(1-hexene) Microstructure
2.5.1. Butyl Branches
2.5.2. Methyl Branches
2.5.3. Long Chain Branches
2.6. Effect of Reaction Conditions on the Poly(1-hexene) Microstructure
3. Experimental Section
3.1. General Materials and Instrumentations
3.2. Synthesis of (2,4-Di-tert-butyl-6-[(2-pyridin-2-yl-ethylimino)-methyl]-phenol)Iron(III) Chloride (5)
3.3. General Procedure for the Polymerization of 1-Hexene
4. Conclusions
Supplementary Files
Supplementary File 1Acknowledgments
Author Contributions
Conflicts of Interest
References
- Morse, P.M. Demand for Synthetic Lubricants on the Rise- Greater Reliability, Stability help Synthetics gain favor over Petroleum Derivatives. Chem. Eng. News 1998, 76, 21–22. [Google Scholar] [CrossRef]
- Brintzinger, H.H.; Fischer, D.; Miilhaupt, R.; Rieger, B.; Waymouth, R.M. Stereospecific Olefin Polymerization with Chiral Metallocene Catalysts. Angew. Chem. Int. Ed. Engl. 1995, 34, 1143–1170. [Google Scholar] [CrossRef]
- Bochmann, M. Cationic Group 4 Metallocene Complexes and their role in Polymerisation Catalysis: The Chemistry of well-defined Ziegler Catalysts. J. Chem. Soc., Dalton Trans. 1996, 255–270. [Google Scholar] [CrossRef]
- Marks, T.J. Surface-bound Metal Hydrocarbyls. Organometallic Connections between Heterogeneous and Homogeneous Catalysis. Acc. Chem. Res. 1992, 25, 57–65. [Google Scholar] [CrossRef]
- Chen, E.Y.-X.; Marks, T.J. Cocatalysts for Metal-Catalyzed Olefin Polymerization: Activators, Activation Processes, and Structure-Activity Relationships. Chem. Rev. 2000, 100, 1391–1434. [Google Scholar] [CrossRef] [PubMed]
- Li, H.; Marks, T.J. Nuclearity and Cooperativity Effects in Binuclear Catalysts and Cocatalysts for Olefin Polymerization. Proc. Natl. Acad. Sci. USA 2006, 103, 15295–15302. [Google Scholar] [CrossRef] [PubMed]
- Manz, T.A.; Phomphrai, K.; Medvedev, G.A.; Krishnamurthy, B.B.; Sharma, S.; Haq, J.; Novstrup, K.A.; Thomson, K.T.; Delgass, W.N.; Caruthers, J.M.; et al. Structure-Activity Correlation in Titanium Single-Site Olefin Polymerization Catalysts Containing Mixed Cyclopentadienyl/Aryloxide Ligation. J. Am. Chem. Soc. 2007, 129, 3776–3777. [Google Scholar] [CrossRef] [PubMed]
- Ittel, S.D.; Johnson, L.K.; Brookhart, M. Late-Metal Catalysts for Ethylene Homo- and Copolymerization. Chem. Rev. 2000, 100, 1169–1204. [Google Scholar] [CrossRef] [PubMed]
- Mecking, S. Cationic Nickel and Palladium Complexes with Bidentate Ligands for the C-C linkage of olefins. Coord. Chem. Rev. 2000, 203, 325–351. [Google Scholar] [CrossRef]
- Gibson, V.C.; Spitzmesser, S.K. Advances in Non-metallocene Olefin Polymerization Catalysis. Chem. Rev. 2003, 103, 283–315. [Google Scholar] [CrossRef] [PubMed]
- Johnson, L.K.; Mecking, S.; Brookhart, M. Copolymerization of Ethylene and Propylene with Functionalized Vinyl Monomers by Palladium(II) Catalysts. J. Am. Chem. Soc. 1996, 118, 267–268. [Google Scholar] [CrossRef]
- Mecking, S.; Johnson, L.K.; Wang, L.; Brookhart, M. Mechanistic Studies of the Palladium-Catalyzed Copolymerization of Ethylene and α-Olefins with Methyl Acrylate. J. Am. Chem. Soc. 1998, 120, 888–899. [Google Scholar] [CrossRef]
- Azoulay, J.D.; Bazan, G.C.; Galland, G.B. Microstructural Characterization of Poly(1-hexene) Obtained Using a Nickel α-Keto-β-diimine Initiator. Macromolecules 2010, 43, 2794–2800. [Google Scholar] [CrossRef]
- Guan, Z.; Cotts, P.M.; McCord, E.F.; McLain, S.J. Chain Walking: A New Strategy to Control Polymer Topology. Science 1999, 283, 2059–2062. [Google Scholar] [CrossRef] [PubMed]
- Younkin, T.R.; Conor, E.F.; Henderson, J.I.; Friedrich, S.K.; Grubbs, R.H.; Bansleban, D.A. Neutral, Single-Component Nickel(II) Polyolefin Catalysts That Tolerate Heteroatoms. Science 2000, 287, 460–462. [Google Scholar] [CrossRef] [PubMed]
- Berkefeld, A.; Mecking, S. Coordination Copolymerization of Polar Vinyl Monomers H2C=CHX. Angew. Chem. Int. Ed. 2008, 47, 2538–2542. [Google Scholar] [CrossRef] [PubMed]
- Johnson, L.K.; Killian, C.M.; Brookhart, M. New Pd(II)- and Ni(II)-Based Catalysts for Polymerization of Ethylene and alpha-Olefins. J. Am. Chem. Soc. 1995, 117, 6414–6415. [Google Scholar] [CrossRef]
- Leatherman, M.D.; Svejda, S.A.; Johnson, L.K.; Brookhart, M. Mechanistic Studies of Nickel(II) Alkyl Agostic Cations and Alkyl Ethylene Complexes: Investigations of Chain Propagation and Isomerization in (α-diimine)Ni(II)-Catalyzed Ethylene Polymerization. J. Am. Chem. Soc. 2003, 125, 3068–3081. [Google Scholar] [CrossRef] [PubMed]
- Killian, C.M.; Tempel, D.J.; Johnson, L.K.; Brookhart, M. Living Polymerization of α-Olefins Using NiII-α-Diimine Catalysts. Synthesis of New Block Polymers Based on α-Olefins. J. Am. Chem. Soc. 1996, 118, 11664–11665. [Google Scholar] [CrossRef]
- Gates, D.P.; Svejda, S.A.; Onate, E.; Killian, C.M.; Johnson, L.K.; White, P.S.; Brookhart, M. Synthesis of Branched Polyethylene Using (α-Diimine)nickel(II) Catalysts: Influence of Temperature, Ethylene Pressure, and Ligand Structure on Polymer Properties. Macromolecules 2000, 33, 2320–2334. [Google Scholar] [CrossRef]
- Killian, C.M.; Johnson, L.K.; Brookhart, M. Preparation of Linear α-Olefins Using Cationic Nickel(II) α-Diimine Catalysts. Organometallics 1997, 16, 2005–2007. [Google Scholar] [CrossRef]
- Svejda, S.A.; Brookhart, M. Ethylene Oligomerization and Propylene Dimerization Using Cationic (α-Diimine)nickel(II) Catalysts. Organometallics 1999, 18, 65–74. [Google Scholar] [CrossRef]
- Meinhard, D.; Wegner, M.; Kipiani, G.; Hearley, A.; Reuter, P.; Fischer, S.; Marti, O.; Rieger, B. New Nickel(II) Diimine Complexes and the Control of Polyethylene Microstructure by Catalyst Design. J. Am. Chem. Soc. 2007, 129, 9182–9191. [Google Scholar] [CrossRef] [PubMed]
- Yue, E.; Zhang, L.; Xing, Q.; Cao, X.-P.; Hao, X.; Redshaw, C.; Sun, W.-H. 2-(1-(2-Benzhydrylnaphthylimino)ethyl)pyridylnickel halides: Synthesis, Characterization, and Ethylene Polymerization Behaviour. Dalton Trans. 2014, 43, 423–431. [Google Scholar] [CrossRef] [PubMed]
- Gao, R.; Sun, W.-H.; Redshaw, C. Nickel Complex Pre-catalysts in Ethylene Polymerization: New Approaches to Elastomeric Materials. Catal. Sci. Technol. 2013, 3, 1172–1179. [Google Scholar] [CrossRef]
- Cherian, A.E.; Rose, J.M.; Lobkovsky, E.B.; Coates, G.W. A C2-Symmetric, Living α-Diimine Ni(II) Catalyst: Regioblock Copolymers from Propylene. J. Am. Chem. Soc. 2005, 127, 13770–13771. [Google Scholar] [CrossRef] [PubMed]
- Rose, J.M.; Deplace, F.; Lynd, N.A.; Wang, Z.; Hotta, A.; Lobkovsky, E.B.; Kramer, E.J.; Coates, G.W. C2-Symmetric Ni(II) α-Diimines Featuring Cumyl-Derived Ligands: Synthesis of Improved Elastomeric Regioblock Polypropylenes. Macromolecules 2008, 41, 9548–9555. [Google Scholar] [CrossRef]
- Rose, J.M.; Cherian, A.E.; Coates, G.W. Living Polymerization of α-Olefins with an α-Diimine Ni(II) Catalyst: Formation of Well-Defined Ethylene-Propylene Copolymers through Controlled Chain-Walking. J. Am. Chem. Soc. 2006, 128, 4186–4187. [Google Scholar] [CrossRef] [PubMed]
- McCord, E.F.; McLain, S.J.; Nelson, L.T.J.; Arthur, S.D.; Coughlin, E.B.; Ittel, S.D.; Johnson, L.K.; Tempel, D.; Killian, C.M.; Brookhart, M. 13C and 2D NMR Analysis of Propylene Polymers Made with α-Diimine Late Metal Catalysts. Macromolecules 2001, 34, 362–371. [Google Scholar] [CrossRef]
- Galland, G.B.; da Silva, L.P.; Dias, M.L.; Crossetti, G.L.; Ziglio, C.M.; Filgueiras, C.A.L. 13C NMR Determination of the Microstructure of Polypropylene obtained with the DADNi(NCS)2/methylaluminoxane Catalyst System. J. Polym. Sci. Part A 2004, 42, 2171–2178. [Google Scholar] [CrossRef]
- Peruch, F.; Cramail, H.; Deffieux, A. Kinetic and UV-Visible Spectroscopic Studies of Hex-1-ene Polymerization Initiated by an α-Diimine-[N,N] Nickel Dibromide/MAO Catalytic System. Macromolecules 1999, 32, 7977–7983. [Google Scholar] [CrossRef]
- Yuan, J.-C.; Silva, L.C.; Gomes, P.T.; Valerga, P.; Campos, J.M.; Ribeiro, M.R.; Chien, J.C.W.; Marques, M.M. Living and Block Polymerization of α-Olefins using a Ni(II)-α-Diimine Catalyst Containing OSiPh2tBu Groups. Polymer 2005, 46, 2122–2132. [Google Scholar] [CrossRef]
- Merna, J.; Cihlar, J.; Kucera, M.; Deffieux, A.; Cramail, H. Polymerization of Hex-1-ene Initiated by Diimine Complexes of Nickel and Palladium. Eur. Polym. J. 2005, 41, 303–312. [Google Scholar] [CrossRef]
- Small, B.L.; Brookhart, M.; Bennett, A.M.A. Highly Active Iron and Cobalt Catalysts for the Polymerization of Ethylene. J. Am. Chem. Soc. 1998, 120, 4049–4050. [Google Scholar] [CrossRef]
- Britovsek, G.J.P.; Gibson, V.C.; Kimberley, B.S.; Maddox, P.J.; McTavish, S.J.; Solan, G.A.; White, A.J.P.; Williams, D.J. Novel Olefin Polymerization Catalysts based on Iron and Cobalt. Chem. Commun. 1998, 849–850. [Google Scholar] [CrossRef]
- Britovsek, G.J.P.; Bruce, M.; Gibson, V.C.; Kimberley, B.S.; Maddox, P.J.; Mastroianni, S.; McTavish, S.J.; Redshaw, C.; Solan, G.A.; Stromberg, S.; et al. J Iron and Cobalt Ethylene Polymerization Catalysts Bearing 2,6-Bis(Imino)Pyridyl Ligands: Synthesis, Structures, and Polymerization Studies. J. Am. Chem. Soc. 1999, 121, 8728–8740. [Google Scholar] [CrossRef]
- Britovsek, G.J.P.; Mastroianni, S.; Solan, G.A.; Baugh, S.P.D.; Redshaw, C.; Gibson, V.C.; White, A.J.P.; Williams, D.J.; Elsegood, M.R.J. Oligomerisation of Ethylene by Bis(imino)pyridyliron and -cobalt Complexes. Chem. Eur. J. 2000, 6, 2221–2231. [Google Scholar] [CrossRef]
- Britovsek, G.J.P.; Gibson, V.C.; Kimberley, B.S.; Mastroianni, S.; Redshaw, C.; Solan, G.A.; White, A.J.P.; Williams, D.J. Bis(imino)pyridyl iron and cobalt Complexes: The Effect of Nitrogen Substituents on Ethylene Oligomerisation and Polymerisation. Dalton Trans. 2001, 1639–1644. [Google Scholar] [CrossRef]
- Britovsek, G.J.P.; Gibson, V.C.; Hoarau, O.D.; Spitzmesser, S.K.; White, A.J.P.; Williams, D.J. Iron and Cobalt Ethylene Polymerization Catalysts: Variations on the Central Donor. Inorg. Chem. 2003, 42, 3454–3465. [Google Scholar] [CrossRef] [PubMed]
- Britovsek, G.J.P.; Gibson, V.C.; Mastroianni, S.; Oakes, D.C.H.; Redshaw, C.; Solan, G.A.; White, A.J.P.; Williams, D.J. Imine versus Amine Donors in Iron-Based Ethylene Polymerisation Catalysts. Eur. J. Inorg. Chem. 2001, 2001, 431–437. [Google Scholar] [CrossRef]
- Britovsek, G.J.P.; Baugh, S.P.D.; Hoarau, O.; Gibson, V.C.; Wass, D.F.; White, A.J.P.; Williams, D.J. The Role of Bulky Substituents in the Polymerization of Ethylene Using Late Transition Metal Catalysts: A Comparative Study of Nickel and Iron Catalysts. Inorg. Chim. Acta 2003, 345, 279–291. [Google Scholar] [CrossRef]
- Small, B.L.; Brookhart, M. Polymerization of Propylene by a New Generation of Iron Catalysts: Mechanisms of Chain Initiation, Propagation, and Termination. Macromolecules 1999, 32, 2120–2130. [Google Scholar] [CrossRef]
- Small, B.L.; Marcucci, A.J. Iron Catalysts for the Head-to-Head Dimerization of α-Olefins and Mechanistic Implications for the Production of Linear α-Olefins. Organometallics 2001, 20, 5738–5744. [Google Scholar] [CrossRef]
- Yankey, M.; Obuah, C.; Guzei, I.A.; Osei-Twum, E.; Hearne, G.; Darkwa, J. (Phenoxyimidazolyl-salicylaldimine)iron Complexes: Synthesis, Properties and Iron Catalysed Ethylene Reactions. Dalton Trans. 2014, 43, 13913–13923. [Google Scholar] [CrossRef] [PubMed]
- Subramanyam, U.; Rajamohanan, P.R.; Sivaram, S. A Study of the Structure of Poly(hexene-1) Prepared by Nickel(α-diimine)/MAO Catalyst using High Resolution NMR Spectroscopy. Polymer 2004, 45, 4063–4076. [Google Scholar] [CrossRef]
- Popeney, C.S.; Guan, Z. Effect of Ligand Electronics on the Stability and Chain Transfer Rates of Substituted Pd(II) α-Diimine Catalysts(1). Macromolecules 2010, 43, 4091–4097. [Google Scholar] [CrossRef]
- Chen, R.; Mapolie, S.F. Catalyst Precursors for Ethylene Polymerization Based on Novel mono- and bi-Nuclear Pyridylimine-type Palladium(II) Complexes with Long Straight Chain Alkyl Substituents at the Imino Nitrogen. J. Mol. Catal. A 2003, 193, 33–40. [Google Scholar] [CrossRef]
- Guan, Z. Control of Polymer Topology through Late-transition-metal Catalysis. J. Polym. Sci. Part A 2003, 41, 3680–3692. [Google Scholar] [CrossRef]
- Usami, T.; Takayama, S. Fine-branching Structure in High-pressure, Low-density Polyethylenes by 50.10-MHz carbon-13 NMR Analysis. Macromolecules 1984, 17, 1756–1761. [Google Scholar] [CrossRef]
- Galland, G.B.; de Souza, R.F.; Mauler, R.S.; Nunes, F.F. 13C NMR Determination of the Composition of Linear Low-Density Polyethylene Obtained with [η3-Methallyl-nickel-diimine]PF6 Complex. Macromolecules 1999, 32, 1620–1625. [Google Scholar] [CrossRef]
- Camacho, D.H.; Guan, Z. Living Polymerization of α-Olefins at Elevated Temperatures Catalyzed by a Highly Active and Robust Cyclophane-Based Nickel Catalyst. Macromolecules 2005, 38, 2544–2546. [Google Scholar] [CrossRef]
- Rose, J.M.; Cherian, A.E.; Lee, J.H.; Archer, L.A.; Coates, G.W.; Fetters, L.J. Rheological Behavior of Chain-Straightened Poly(α-olefin)s. Macromolecules 2007, 40, 6807–6813. [Google Scholar] [CrossRef]
- Yankey, M.; Obuah, C.; Darkwa, J. Phenoxysalicylaldimine-Bearing Chromium(III) Precatalysts for Ethylene Polymerization. Macromol. Chem. Phys. 2014, 215, 1767–1775. [Google Scholar] [CrossRef]





| Entry | Pre-Catalyst | Temperature (°C) | Yield (g) | Activity b × 106 | Mn c (Da) | Mw c (Da) | Mw/Mn c |
|---|---|---|---|---|---|---|---|
| 1 | 1 | 30 | 0.68 | 2.83 | 1045 | 1273 | 1.22 |
| 2 | 2 | 30 | 0.57 | 2.35 | 1059 | 1296 | 1.22 |
| 3 | 3 | 30 | 0.54 | 2.25 | 1068 | 1318 | 1.23 |
| 4 | 4 | 30 | 0.53 | 2.17 | 1079 | 1342 | 1.24 |
| 5 | 5 | 30 | 0.56 | 2.31 | 1063 | 1312 | 1.23 |
| 6 | 1 | 40 | 0.69 | 2.88 | 1037 | 1263 | 1.22 |
| 7 | 1 | 50 | 0.74 | 3.10 | 1029 | 1253 | 1.22 |
| 8 | 1 | 60 | 0.58 | 2.42 | 1021 | 1240 | 1.21 |
| 9 d | 1 | 30 | 0.64 | 2.67 | 1038 | 1237 | 1.19 |
| 10 e | 1 | 30 | 0.66 | 2.77 | 1084 | 1339 | 1.24 |
| Peak No. | Chem. Shifts (ppm) | Integral Expt. | Carbon Atom Assignment |
|---|---|---|---|
| 1 | 14.13 | 1 | 1B4, 1Bn |
| 2 | 14.58 | 0.16 | 1B3 |
| 3 | 19.76 | 0.14 | 1B1 |
| 20.09 | 0.05 | 2B3 | |
| 4 | 22.76 | 0.74 | 2Bn |
| 5 | 23.22–23.25 | 0.25 | 2B4 |
| 6 | 26.44–26.80 | 0.11 | βB4 |
| 27.16 | 0.02 | 2B2 | |
| 27.32–27.59 | 0.06 | βB2 | |
| 7 | 27.9 | 0.1 | 1,6β1B1 |
| 8 | 28.21 | 0.06 | 3B4 |
| 9 | 29.45 | 0.17 | 3B4 |
| 10 | 29.76 | 0.36 | 4Bn, 1,4-4Bn |
| 11 | 30.09–30.21 | 0.29 | γB1 |
| 12 | 30.44 | 0.15 | 1,4-γB1, 1,5-γB1 |
| 13 | 30.76 | 0.14 | brB1 |
| 14 | 32.01 | 0.35 | 1,4-α1Bn |
| 15 | 32.45 | 0.27 | 3Bn, 1,4-3Bn |
| 16 | 33.00 | 0.03 | brB1 |
| 17 | 33.77 | 0.09 | 4B4 |
| 18 | 34.09 | 0.11 | αB4 |
| 34.35 | 0.07 | 4B4, αB3 | |
| 19 | 35.00 | 0.13 | αB1,brB3, 1,5-α1B1 |
| 20 | 37.16–37.61 | 0.06 | αB1, brB3 |
| 21 | 39.62 | 0.11 | brB2 |
© 2016 by the authors; licensee MDPI, Basel, Switzerland. This article is an open access article distributed under the terms and conditions of the Creative Commons by Attribution (CC-BY) license (http://creativecommons.org/licenses/by/4.0/).
Share and Cite
Yankey, M.; Obuah, C.; Darkwa, J. Homo-Polymerization of 1-Hexene Catalysed by O^N^N (Salicylaldimine)Iron(III) Pre-Catalysts to Branched Poly(1-hexene). Catalysts 2016, 6, 47. https://doi.org/10.3390/catal6030047
Yankey M, Obuah C, Darkwa J. Homo-Polymerization of 1-Hexene Catalysed by O^N^N (Salicylaldimine)Iron(III) Pre-Catalysts to Branched Poly(1-hexene). Catalysts. 2016; 6(3):47. https://doi.org/10.3390/catal6030047
Chicago/Turabian StyleYankey, Margaret, Collins Obuah, and James Darkwa. 2016. "Homo-Polymerization of 1-Hexene Catalysed by O^N^N (Salicylaldimine)Iron(III) Pre-Catalysts to Branched Poly(1-hexene)" Catalysts 6, no. 3: 47. https://doi.org/10.3390/catal6030047
APA StyleYankey, M., Obuah, C., & Darkwa, J. (2016). Homo-Polymerization of 1-Hexene Catalysed by O^N^N (Salicylaldimine)Iron(III) Pre-Catalysts to Branched Poly(1-hexene). Catalysts, 6(3), 47. https://doi.org/10.3390/catal6030047

