Abstract
In this work, the removal of Cu(II) ions from an aqueous effluent was studied using an Mg/Fe layered double hydroxide (LDH) as the adsorbent. The material was synthesized and characterized before and after the adsorption process to identify structural and morphological changes induced by copper uptake. Techniques such as X-ray diffraction (XRD), scanning electron microscopy with energy-dispersive spectroscopy (SEM-EDS), ultraviolet-visible spectroscopy (UV-Vis), Raman spectroscopy, and nitrogen physisorption (BET) were employed to confirm the interaction between the metal ions and the LDH surface. The LDH-Mg/Fe exhibited a high maximum adsorption capacity of 526 mg/g, and the adsorption kinetics followed a pseudo-second-order model, achieving over 90% removal of Cu(II) within 2.5 h. The Cu(II)-loaded material was subsequently evaluated as a sustainable catalyst in two applications: (i) an organic synthesis via “click” chemistry, reaching yields of up to 85%, and (ii) the decoloration of Congo Red via a Fenton-like process, achieving a decoloration efficiency of at least 84%. These dual uses demonstrate the potential of Cu(II)-loaded LDH as a cost-effective and environmentally friendly approach to simultaneous pollutant removal and catalytic valorization.
1. Introduction
With the rapid development of modern industry and the intensification of certain human activities, the environment, ecosystems, and human health have been increasingly threatened by various pollutants, including organic compounds [1], heavy metals [2], oxyanions [3], and radionuclides [4], among others. Heavy metals are particularly problematic due to their persistence, non-biodegradability, and tendency to bioaccumulate in edible plants and animals, ultimately entering the human body through the food chain [5]. Excessive levels of heavy metals in the body are associated with severe health conditions, including neurodegenerative diseases, sclerosis, cancer, and Alzheimer’s disease [6].
Toxic heavy metals are a significant concern in wastewater treatment, with copper, mercury, cadmium, lead, and chromium frequently detected at elevated concentrations [7]. Specifically, copper contamination in natural water bodies has been reported in concentrations ranging from 3.9 mg/L to 13.8 mg/L [8,9], which exceed the maximum permissible limits established by various regulations: 2 mg/L by NOM-127-SSA1-1994 (The Mexican official standard NOM-127-SSA1-1994 establishes the permissible quality limits for drinking water and required treatments for its potabilization (Secretaría de Salud, 1994)), 1.5 mg/L by the World Health Organization (WHO), and 1.3 mg/L by the U.S. Environmental Protection Agency (EPA).
Various techniques have been employed for removing metal ions from water, such as membrane-based filtration [10], biosorption using biochar [11], advanced membrane nanomaterials for photocatalytic removal [12], chemical precipitation methods [13], and microbial-mediated processes [14]. Among these, adsorption has shown significant advantages. Hydrotalcites, also known as layered double hydroxides (LDHs), have been identified as effective adsorbents for a wide range of pollutants in wastewater. Their excellent ion removal performance is attributed to their lamellar structure and intrinsic charge distribution, which allow for multiple interactions between the LDH and target metal ions [15].
The use of LDHs for the adsorption of metal ions has been extensively documented for several systems, including Cu2+, Zn2+, Ni2+, and Co2+ with Ca/Al-LDH [16], Cr6+ with Ni/Fe-LDH [17], Cd(II) with alanine intercalation of Mg/Al–LDH [18], and Pb2+ with Zn/Al-LDH [19].
Despite the numerous adsorption methods reported, a major drawback remains the generation of large volumes of solid waste enriched with adsorbed metals, which require appropriate management to prevent secondary contamination. To address this issue, recent studies have explored the reuse of metal-loaded LDH materials; however, limited attention has been given to their application as dual-function catalysts for both organic synthesis and dye degradation.
A promising strategy to address this issue is to repurpose the Cu(II)-loaded adsorbent in a secondary process of a different nature, such as heterogeneous catalysis. The traditional incorporation of active metal species (e.g., Cu, Ni, Pd, Pt) into catalytic materials is associated with significant economic and environmental costs, including reagent consumption and the generation of contaminated aqueous waste during synthesis.
In this context, the catalytic activity of copper is particularly relevant [20], as it has been widely studied in applications such as electrochemical CO2 reduction [21], copper-supported organic synthesis [22], and water-gas shift reactions [23].
Recent studies emphasize the importance of dual-function treatment strategies that combine pollutant removal with valorization of the resulting waste. Notably, while layered double hydroxides (LDHs) have been explored in catalytic contexts, there is limited precedent for directly repurposing Cu(II)-loaded LDHs—generated through adsorption—for both organic synthesis and dye degradation. Our study addresses this gap by presenting a practical bifunctional material: LDH-Mg/Fe that initially captures Cu(II) and then serves as a versatile catalyst across two environmentally relevant processes.
Therefore, developing alternative, cost-effective, and environmentally friendly routes to prepare catalytic materials is highly desirable. In this work, Cu(II) ions were removed from an aqueous medium using LDH-Mg/Fe as the adsorbent. The Cu(II)-loaded LDH-Mg/Fe was subsequently characterized and evaluated as a catalyst in two different reactions: a model triazole synthesis via click chemistry, and a Fenton-like decoloration process for dye removal. This dual approach not only addresses heavy metal removal, but also promotes material valorization, reducing secondary waste and expanding potential applications.
2. Results and Discussion
2.1. Characterization of LDH-Mg/Fe and LDH-Cu-Mg/Fe
2.1.1. X-Ray Diffraction
The solid obtained was identified as an LDH-Mg/Fe type material with a molar ratio of 3:1, and its crystalline structure was analyzed using a Philips X’Pert diffractometer (Philips Analytical, Almelo, The Netherlands) with Cu Kα radiation. This mineral, also known as pyroaurite (International Centre for Diffraction Data (ICDD) reference code 00-014-0293), has the formula Mg6Fe2CO3(OH)16·4H2O. A slight shift to higher angles was observed in the first two peaks; however, both the position and intensity of all peaks correspond to pyroaurite (Table 1), with the octahedral structure illustrated in Figure 1 [24].
Table 1.
Crystallographic parameters LDH-Mg/Fe.
Figure 1.
X-Ray Diffraction (XRD) pattern of LDH-Mg/Fe with a molar ratio of 3:1 LDH-Mg/Fe (red) before and LDH-Cu-Mg/Fe (blue) after adsorption.
The diffraction patterns before and after Cu(II) removal experiments (Figure 1) revealed that the LDH-Cu-Mg/Fe exhibited a decrease in peak intensity and a slight shift to lower angles of the remaining peaks (Table 2). The average crystallite size, calculated using Scherrer’s equation, decreased upon Cu(II) adsorption, whereas the inter-planar distances showed a slight increase. This expansion may be related to a mild structural distortion caused by the incorporation of copper ions into the LDH layers, which can locally increase the spacing between brucite-like sheets.
Table 2.
Crystallographic parameters LDH-Cu-Mg/Fe.
2.1.2. Textural Characterization from N2 Adsorption–Desorption Isotherms
The N2 adsorption–desorption isotherms of both materials were classified as Type III [25], as shown in Figure 2, which is typical of layered materials with weak adsorbate–adsorbent interactions. After Cu(II) adsorption, a noticeable decrease in surface area and pore volume was observed, while the average pore size slightly increased (Table 3). This behavior suggests that copper ions partially block or fill smaller pores, resulting in a reduction in accessible surface area but shifting the mean pore diameter to larger values.
Figure 2.
LDH Mg/Fe and Cu-Mg/Fe-loaded isotherms.
Table 3.
Textural properties of LDH-Mg/Fe and LDH-Cu-Mg/Fe.
The Barrett–Joyner–Halenda (BJH) pore size distribution curves revealed a mesoporous structure centered at ~24 nm for both samples. The pristine material exhibited a maximum of 0.071 cm3/g·nm at 24.04 nm (Figure 3A) and a wide distribution extending up to 105 nm. At the same time, the Cu(II)-loaded sample showed a maximum at 24.84 nm with a significantly lower intensity (0.030 cm3/g·nm) (Figure 3B) and a narrower distribution (up to 64.7 nm). These results indicate that the mesoporous framework is preserved after Cu(II) adsorption, but a considerable fraction of the pores becomes partially blocked, decreasing the accessible pore volume.
Figure 3.
BJH pore size distribution curves obtained from adsorption and desorption branches: (A) LDH-Mg/Fe and (B) LDH-Cu-Mg/Fe.
2.1.3. Scanning Electron Microscopy and Chemical Analysis (SEM-EDS)
Figure 4A shows the LDH-Mg/Fe material before Cu(II) removal. The morphology consists of small agglomerated crystals with the typical layered structure of LDH materials. Figure 4B presents the EDS analysis, which confirms the absence of copper before removal. The SEM image of LDH-Cu-Mg/Fe is shown in Figure 4C, revealing no significant morphological alterations. The presence of Cu(II) in LDH-Cu-Mg/Fe was confirmed by EDS (Figure 4D) using a SUPRA 55 VP Carl Zeiss Scanning Electron Microscope (Carl Zeiss AG, Oberkochen, Germany).
Figure 4.
(A) SEM image of Mg/Fe-LDH, 30,000 magnification, (B) EDS of Mg/Fe-LDH, (C) SEM image of recovered LDH-Cu-Mg/Fe at 30,000 magnification, (D) EDS of recovered LDH-Cu-Mg/Fe.
2.1.4. UV-Vis Spectrophotometry
The UV-Vis analyses (Varian Cary 100, Varian, Inc., Palo Alto, CA, USA) before and after the removal experiments are compared in Figure 5. The spectra exhibit a band in the 250–300 nm region for both materials, both before and after Cu adsorption, which is typically attributed to ligand-to-metal charge transfer transitions (O2− → Fe3+). The decrease in intensity of this band suggests a modification in the local electronic environment of Fe3+ due to Cu(II) incorporation. Additionally, an increase in absorbance is observed for the LDH-Cu-Mg/Fe between 600 and 800 nm, a range associated with Cu(II) d–d transitions [26].
Figure 5.
UV-Vis spectra of LDH-Mg/Fe and LDH-Cu-Mg/Fe.
2.1.5. Raman Spectroscopy
The analysis reveals a notable decrease in Raman intensity, as the LDH-Cu-Mg/Fe material (orange) exhibits lower intensity in the characteristic vibrational bands compared to the pristine LDH-Mg/Fe (blue), indicating that the layered structure is preserved after Cu(II) adsorption (Figure 6). These changes are attributed to the incorporation of Cu(II), which induces local structural distortion and decreases crystallinity. This effect is consistent with the XRD results, which also showed a decrease in peak intensity after Cu incorporation.
Figure 6.
Raman spectra of LDH-Mg/Fe (blue) and LDH-Cu-Mg/Fe (orange).
2.1.6. Infrared Spectroscopy
Figure 7 shows a comparison of the Fourier Transformed-Infrared (FT-IR) spectra for LDH-Mg/Fe and LDH-Cu-Mg/Fe materials. A new band between 1145 and 1115 cm−1 is observed in the recovered material, consistent with the adsorption of Cu(II) on the LDH-Mg/Fe surface. Typical bands for double-layered materials were also identified: 3405 cm−1 for O–H stretching, 1400–880 cm−1 for carbonate stretching vibrations, and 590–667 cm−1 for M–O and O–M–O vibrations [27]. The spectra were recorded using the ATR technique with a Bruker Alpha II spectrometer, (Bruker Optik GmbH, Ettlingen, Germany).
Figure 7.
FT-IR spectra of LDH-Mg/Fe (blue) and LDH-Cu-Mg/Fe (red).
2.2. Adsorption Experiments of Cu(II) on LDH-Mg/Fe
2.2.1. Removal of Cu(II) from Aqueous Solution
The removal of Cu(II) was studied at concentrations of 15, 20, 25, 30, and 50 mg/L, with the adsorbent left in contact until equilibrium concentration was reached. Results demonstrate that LDH-Mg/Fe achieves up to 92% removal of Cu(II) ions within short periods, using a significantly smaller amount of material compared to previous literature reports [28]. The removal was performed without pH control; the initial pH ranged from 6 (at 15 mg/L) to 5.5 (at 50 mg/L), indicating that higher CuSO4·5H2O concentrations increase the acidity of the solution. At the end of the removal process, the pH of the recovered water was monitored and found to be 7.5.
Although not included in the main text, an Analysis of Variance (ANOVA) statistical analysis confirmed that the differences in removal efficiencies across concentrations were statistically significant (p < 0.05).
All experiments were performed in triplicate, and the average values were reported. Standard deviations were below 5%.
2.2.2. Influence of Contact Time on Removal
The contact time between the adsorbent material and the contaminated aqueous solution is a fundamental factor for achieving optimal removal efficiency. This is illustrated in Figure 8, where it can be observed that for all tested Cu(II) concentrations, at least 60% of the initial concentration is removed within the first 20 min. The maximum removal of Cu(II) by LDH-Mg/Fe occurs within 2 h, achieving a 92% removal rate. The LDH-Mg/Fe exhibited a fast initial uptake of Cu(II), reaching over 60% removal within 20 min.
Figure 8.
Percentage removal of Cu(II) during the contact time.
2.2.3. Kinetics of Cu(II) Adsorption
To establish the adsorption kinetics, Equation (1) was used to calculate qe which represents the amount of analyte adsorbed per gram of adsorbent (mg/g) (Figure 9).
where V is the volume of the aqueous solution used (L), W is the weight of the adsorbent (g), and C0 and Cₑ represent the initial and equilibrium concentrations, respectively. The kinetic adsorption models, including the pseudo-first-order model (Equation (2)) and the pseudo-second-order model (Equation (3)), which mathematically represent the adsorption rate [29].
Figure 9.
Adsorption kinetics at different initial Cu(II) concentrations.
Equations (2) and (3) were applied to estimate the kinetic parameters of Cu(II) adsorption on Mg/Fe-LDH, as shown in Table 4. Here, qeq and qt (mg/g) represent the adsorption capacity at equilibrium and at any time, respectively; k1 is the pseudo-first-order kinetic constant, and k2 is the pseudo-second-order constant. Analysis of the removal data shows that the pseudo-second-order model provides a better fit, as the experimental (qe,exp) and theoretical (qe,theo) values of qeq are very close, allowing good predictions of Cu(II) removal concentrations in this process.
Table 4.
Summary of kinetic parameters.
Moreover, the maximum removal amount of Cu(II) was high for all concentrations evaluated, with removal of at least 92%, ranging from initial concentrations of 7.5 to 25 times the maximum allowable limit according to Mexican regulations. The pseudo-second-order model is associated with an adsorption process that requires two active, adjacent, and available sites for a metallic ion to be adsorbed onto the material surface [30].
2.2.4. Adsorption Equilibrium
The Langmuir (ec. 4) and Freundlich (ec. 5) models were evaluated, with their respective linearized mathematical expressions presented in Equations (6)–(8), the Langmuir characteristic parameter RL, respectively [31].
The data were evaluated using the described mathematical models, where Ce is the equilibrium concentration of Cu(II) ions and qeq is the equilibrium adsorption capacity.
Qmax: maximum adsorption capacity of the adsorbent [mg/g]
KL: Langmuir constant [L/mg]
RL: Langmuir characteristic parameter
KF: Freundlich constant and adsorption capacity
n: adsorption intensity in the Freundlich model
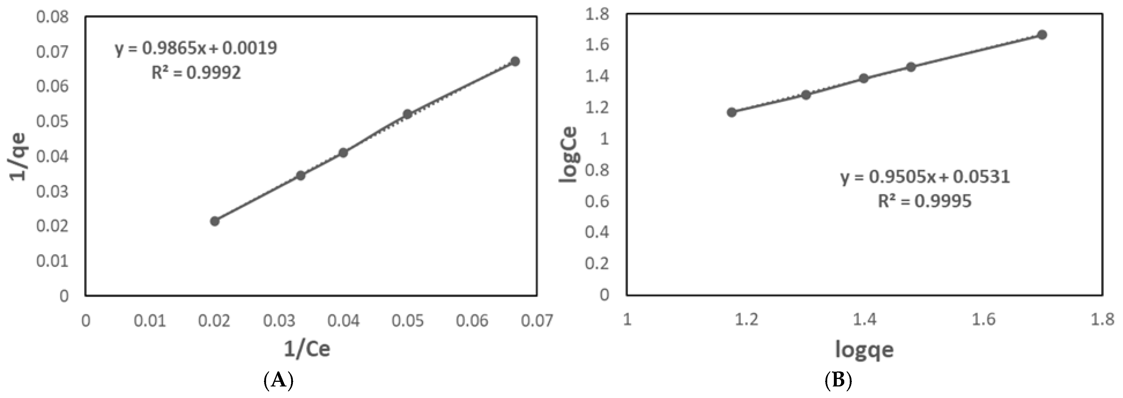
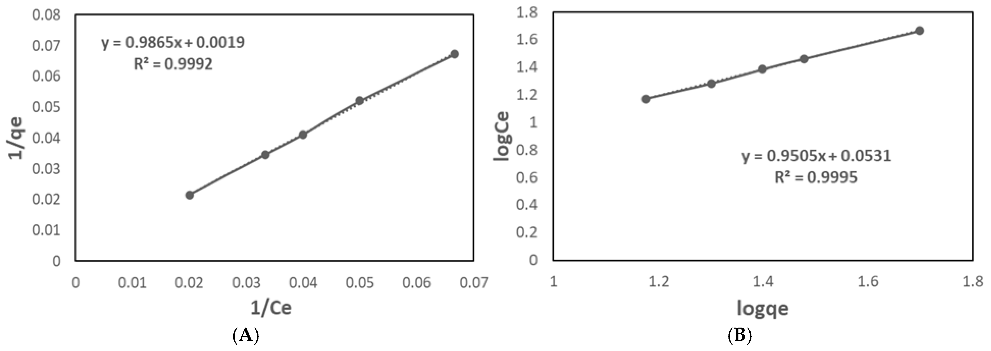
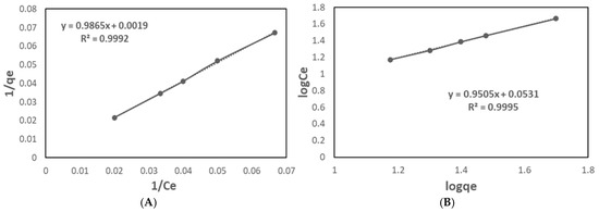
The obtained R2 values indicate that Cu(II) adsorption on LDH-Mg/Fe fits slightly better with the Freundlich model. This model is generally associated with physical adsorption, characterized by low energy and multilayer adsorption. However, both models adequately describe the adsorption process, as they exhibit a high goodness of fit with R2 > 0.999 (Figure 10). Furthermore, as previously mentioned, various authors agree that the pseudo-second-order kinetics strongly suggest chemical adsorption [30]. Therefore, it can be argued that the adsorption of Cu(II) likely involves chemical interactions occurring in a monolayer, characterized by high energy and following a Type 1 or Langmuir isotherm.
Figure 10.
Linearized form for (A) Langmuir model and (B) the Freundlich model.
In Table 5, the adsorption parameters for Cu(II) on LDH-Mg/Fe are summarized. Most of these parameters relate to the intensity and affinity of the adsorption process. The Langmuir characteristic parameter RL, defined by Equation (10), indicates whether the adsorption is favorable (0 < RL < 1), irreversible (RL = 0), or unfavorable (RL > 1) [32]. In this case, adsorption is favorable since the value lies between 0 and 1. The maximum adsorption capacity qmax, along with the ratio of adsorbent dosage to solution volume used in this work, demonstrates a significant advantage for Cu(II) removal by LDH-Mg/Fe compared to other adsorbents reported in the literature (Table 6).
Table 5.
Adsorption parameters in Cu(II) adsorption.
Table 6.
Maximum removal capacity of Cu(II) compared to related reports.
For the Freundlich model, the parameter n relates to adsorption intensity and is also referred to as the heterogeneity factor. Since 1/n is less than 1, this indicates high adsorption intensity; as the value approaches 0, the intensity decreases and the surface becomes more homogeneous [31]. In this study, 1/n is slightly less than 1, suggesting a strong adsorption affinity of Cu(II) onto the LDH-Mg/Fe surface.
2.2.5. Elovich Model
The Elovich equation describes a kinetic adsorption model characterized by an exponential decrease in the adsorption rate over time, as represented in Equation (9). The linear form is presented in Equation (10) [41].
Given the high goodness-of-fit value (R2 > 0.99) obtained from the data generated by the adsorption of Cu(II) onto Mg/Fe-LDH, it can be concluded that the adsorption rate decreases exponentially over time. This provides further evidence that the removal process involves chemical adsorption.
where
α = adsorption initial rate [mg/g·min]
β = desorption constant [g/mg]
2.2.6. Intra-Particle Diffusion (IP) Model
This model is used to determine whether mass transfer through film diffusion is a limiting step in the adsorption process. In this model, the plot of qe versus t0.5 should be a straight line passing through the origin.
In this study, the resulting plot is not linear, and the R2 value is not high enough to confirm a good fit to this model (Figure 11). Therefore, film diffusion is not a limiting step in the adsorption process. As some authors have noted, when the plot exhibits multiple linear segments, these sections may represent different mechanisms that govern the adsorption process [41].
Figure 11.
Linear fit for the linearized intraparticle diffusion model.
2.3. Catalytic Activity of Sustainable Catalyst LDH-Cu-Mg/Fe
2.3.1. Catalytic Evaluation in Organic Synthesis Reaction
The LDH-Cu-Mg/Fe recovered material exhibited superior catalytic activity compared to Cu/Al-LDH, which was explicitly synthesized for evaluation in this reaction. It also outperformed other expensive or environmentally harmful commercial catalysts reported in the literature. To improve performance, some of these materials required calcination—a process that involves additional energy consumption (Table 7).
Table 7.
Triazole synthesis: reaction performance.
Despite the strong interaction between Cu(II) and the LDH-Mg/Fe surface, as confirmed by the adsorption models applied in this study, the metal species remain available on the surface to participate in catalysis, as Cu(I) species catalyze the reaction. In this case, sodium ascorbate acts as a reducing agent for the adsorbed Cu(II).
Notably, the recovered LDH-Cu-Mg/Fe was dried overnight at 70 °C before being used in the catalytic reaction. This highlights that LDH-Mg/Fe can be considered a bifunctional material, exhibiting dual functionality for metal ion removal and catalytic applications, showing good performance in both applications (Figure 12).
Figure 12.
Triazole synthesis reaction catalyzed by LDH-Cu-Mg/Fe.
2.3.2. Catalytic Evaluation for Fenton-like Reaction
The recovered LDH-Cu-Mg/Fe material demonstrated excellent performance in decoloring Congo Red dye (Figure 13), achieving 84% decoloration within 2.5 h of reaction (Figure 14A). This confirms that the adsorbed Cu(II) acts as an active catalytic site. In contrast, the original LDH-Mg/Fe material—without Cu loading—achieved only 34% decoloration under the same conditions (Figure 14B). The comparative results are summarized in Table 8.
Figure 13.
Congo Red decoloration by the Fenton-like process.
Figure 14.
Congo Red decoloration by (A) LDH-Cu-Mg/Fe and (B) LDH-Mg/Fe.
Table 8.
Congo Red decoloration results.
These findings indicate that LDH-Cu-Mg/Fe is an effective catalyst for Fenton-like reactions, outperforming the original LDH that relies solely on Fe as the active center.
All the catalytic tests were conducted in duplicate, and the average performance is reported.
3. Materials and Methods
3.1. Synthesis of Mg/Fe-LDH
A solution containing Mg(NO3)2·9H2O (Aldrich, 98%) and Fe(NO3)3·9H2O (Aldrich, St. Louis, MO, USA, 98%) was prepared in 50 mL of distilled water, with adequate quantities to have a 3:1 molar ratio. This precursor solution was added dropwise under vigorous stirring to another solution of Na2CO3 (Mallinckrodt, St. Louis, MO, USA, R.A.) and NaOH (Meyer, Mexico City, Mexico, 97%) dissolved in 50 mL of distilled water, using a Teflon vessel. During the co-precipitation process, the pH was maintained at 10 using a 3 M NaOH solution. The resulting suspension was aged for 24 h at 80 °C and subsequently filtered. The solid product was washed with distilled water and dried at 80 °C for 24 h.
3.2. Cu(II) Adsorption Experiments
Adsorption experiments were carried out using CuSO4·5H2O (Aldrich, St. Louis, MO, USA, 98%) to prepare aqueous solutions with concentrations of 15, 20, 25, 30 and 50 mg/L. Each solution (50 mL) was placed in a 50 mL Erlenmeyer flask. A series of contact times ranging from 20 to 150 min was tested. The adsorption experiments were conducted at a constant temperature of 30 °C using 0.010 g of LDH-Mg/Fe per test. Agitation was maintained at 700 rpm. After the predetermined contact time, the suspensions were filtered, and the residual Cu(II) concentration in the filtrate was determined by atomic absorption spectroscopy (GBC Scientific Equipment, Melbourne, Australia).
3.3. Organic Synthesis—Catalytic Evaluation of LDH-Cu-Mg/Fe
The catalytic performance of the LDH-Cu-Mg/Fe was evaluated through a model triazole synthesis. The reaction was carried out using phenylacetylene 1 (1 mmol, Aldrich, 99%), sodium azide 2 (2.12 mmol, Aldrich, 99%), benzyl chloride 3 (1.2 mmol, Aldrich, 99%), and 10 mg of sodium ascorbate (Aldrich, 98%) in 4 mL of an ethanol–water solution (3:1 v/v), with 15 mg of the catalyst. The mixture was subjected to microwave irradiation using a CEM Discover Labmate® reactor (CEM Corporation, Matthews, NC, USA) at 80 °C and 30 W for 10 min.
The organic phase was extracted with ethyl acetate, and the solvent was removed using a rotary evaporator. The resulting product was dissolved in HPLC-grade methanol and analyzed by gas chromatography with flame ionization detection (GC-FID) using an Agilent 6890 system (Agilent Technologies, Santa Clara, CA, USA).
3.4. Catalytic Evaluation of LDH-Cu-Mg/Fe in a Fenton-like Reaction
The dye decoloration reaction was carried out using 50 mL of a 10 mg/L Congo Red dye solution (Sigma-Aldrich, St. Louis, MO, USA, 86%), 1 mL of H2O2 (J.T. Baker, Avantor, Phillipsburg, NJ, USA, 30%), and 10 mg of catalyst (LDH-Cu-Mg/Fe). The reaction time was set to 1.5 h, with samples taken every 30 min. At each interval, 3 mL aliquots were withdrawn and centrifuged to remove the solid phase. Decoloration was quantified by measuring the UV-Vis absorbance spectra using a Thermo Scientific Genesys 10S spectrophotometer (Thermo Fisher Scientific, Waltham, MA, USA). All experiments were performed in duplicate to ensure reproducibility. The reaction was conducted under stirring at 400 rpm and room temperature (25 °C).
The maximum absorbance wavelength, monitored to track the progress of the reaction, was 499 nm. The percentage of decoloration was calculated according to Equation (11).
4. Conclusions
The LDH-Mg/Fe material with a 3:1 molar ratio and crystalline structure was successfully synthesized via the co-precipitation method. After it was applied for Cu(II) removal from aqueous solution, the presence of Cu(II) in the material was confirmed via SEM-EDS and complementary spectroscopic techniques (UV-Vis, FTIR, Raman, N2 Physisorption). The Cu(II) removal experiments at different initial concentrations showed excellent performance, achieving high removal efficiency within just two hours of contact.
The adsorption kinetics followed a pseudo-second-order model, indicating that the removal mechanism is governed by chemisorption. A maximum adsorption capacity of 526 mg/g was determined, highlighting the material’s high efficiency.
Importantly, the Cu(II)-loaded LDH was not treated as waste but repurposed as a sustainable catalyst for two distinct applications. First, it exhibited good catalytic activity in the synthesis of a triazole, showing superior performance compared to reference catalysts synthesized for the same response. Second, in the Fenton-like reaction for Congo Red dye degradation, the material achieved 85% decoloration in approximately 1.5 h under mild and low-cost conditions.
These results demonstrate that LDH-Cu-Mg/Fe is an effective and sustainable bifunctional material, capable of both removing heavy metal ions from water and catalyzing diverse chemical reactions. This dual-function approach not only mitigates the environmental burden associated with spent adsorbents but also provides a cost-effective route to catalytic materials. Compared to conventional single-use adsorbents, our method integrates pollutant removal and valorization in a single workflow, offering a scalable and sustainable strategy for water remediation and green chemical synthesis.
Future work will explore extending this concept to other metal-loaded LDHs and additional catalytic reactions, further broadening the environmental and industrial relevance of this approach.
Author Contributions
Conceptualization, methodology, writing—review and editing; investigation, formal analysis, E.O.L.C.; Methodology, R.L.-M.; Supervision; project administration; funding acquisition, methodology, writing—review and editing; investigation, D.A.-B.; supervision, project administration, funding acquisition, methodology, writing—review and editing; investigation, R.R.-V. All authors have read and agreed to the published version of the manuscript.
Funding
This research received no external funding.
Data Availability Statement
The datasets generated and analyzed during the current study are available from the corresponding author upon reasonable request.
Acknowledgments
The authors are grateful for the following research spaces: Laboratorio Divisional de Microscopía Electrónica, Laboratorio de Química General y Procesos Analíticos, and Laboratorio de Difracción de Rayos X for the use of the microscope Zeiss SUPRA 55VP, UV-Spectrometer, and Philips X’pert diffractometer, respectively. EOLC thanks CINVESTAV for the PhD scholarship, and RLM, RVR, and DAB are indeed grateful for the SNI distinction.
Conflicts of Interest
The authors declare no conflicts of interest.
Abbreviations
The following abbreviations are used in this manuscript:
| ANOVA | Analysis Of Variance |
| ATR | Attenuated total reflectance |
| BET | Brunauer–Emmett–Teller |
| EPA | Environmental Protection Agency |
| EDS | Energy-Dispersive X-ray Spectroscopy |
| FID | Flame Ionization Detection |
| GC | Gas Chromatography |
| ICDD | International Centre for Diffraction Data |
| LDH | Layered Double Hydroxide |
| MCM | Mobil Composition of Matter |
| SEM | Scanning Electron Microscopy |
| UV-Vis | Ultraviolet-Visible |
| WHO | World Health Organization |
References
- Karpińska, J.; Kotowska, U. Removal of Organic Pollution in the Water Environment. Water 2019, 11, 2017. [Google Scholar]
- Mitra, S.; Chakraborty, A.J.; Tareq, A.M.; Bin Emran, T.; Nainu, F.; Khusro, A.; Idris, A.M.; Khandaker, M.U.; Osman, H.; Alhumaydhi, F.A.; et al. Impact of Heavy Metals on the Environment and Human Health: Novel Therapeutic Insights to Counter the Toxicity. J. King Saud. Univ. Sci. 2022, 34, 101865. [Google Scholar] [CrossRef]
- Moore, J.M.; Fout, A.R. Synthetic Strategies for Oxyanion Reduction: Metal-Based Insights and Innovations. Coord. Chem. Rev. 2025, 541, 216692. [Google Scholar]
- Chandra, K.; Proshad, R.; Dey, H.C.; Idris, A.M. A Review on Radionuclide Pollution in Global Soils with Environmental and Health Hazards Evaluation. Environ. Geochem. Health 2023, 45, 9245–9266. [Google Scholar]
- Briffa, J.; Sinagra, E.; Blundell, R. Heavy Metal Pollution in the Environment and Their Toxicological Effects on Humans. Heliyon 2020, 6, e04691. [Google Scholar]
- Awual, M.R. New Type Mesoporous Conjugate Material for Selective Optical Copper(II) Ions Monitoring & Removal from Polluted Waters. Chem. Eng. J. 2017, 307, 85–94. [Google Scholar] [CrossRef]
- Oladimeji, T.E.; Oyedemi, M.; Emetere, M.E.; Agboola, O.; Adeoye, J.B.; Odunlami, O.A. Review on the Impact of Heavy Metals from Industrial Wastewater Effluent and Removal Technologies. Heliyon 2024, 10, e40370. [Google Scholar] [CrossRef]
- Méndez-Ramírez, M.; Armienta-Hernández, M.A. Distribución de Fe, Zn, Pb, Cu, Cd y As originada por residuos mineros y aguas residuales en un transecto del Río Taxco en Guerrero, México. Rev. Mex. Cien. Geol 2012, 29, 450–462. [Google Scholar]
- Corral-Bermúdez, M.L.; Rivera-Quintero, N.; Sánchez-Ortiz, E. Perceptions and Realities about Pollution in the Mining Community of San José de Avino, Durango. Tecnol. Cienc. Agua 2014, 5, 119–134. [Google Scholar]
- Qasem, N.A.A.; Mohammed, R.H.; Lawal, D.U. Removal of Heavy Metal Ions from Wastewater: A Comprehensive and Critical Review. npj Clean Water 2021, 4, 36. [Google Scholar]
- Hussain, F.; Kim, L.H.; Oh, S.E.; Kim, S. Neutralization of PH and Removal of Heavy Metals from Acid Mine Water by Using Low-Cost Biosorbents in Batch and Column Studies. Groundw. Sustain. Dev. 2025, 31, 101506. [Google Scholar] [CrossRef]
- Jawad, N.H.; Darwesh, T.M.; Abbas, A.F.; Yahya, A.A.; Kamel, A.H.; Rashid, K.T.; Abood, T.W.; Al-Juboori, R.A.; Meskher, H.; Al-Saadi, S.; et al. MXene Synthesis, Surface Functionalization, and Membrane Integration for Photocatalytic Removal of Heavy Metals from Wastewater: A Comprehensive Review. Mater. Today Sustain. 2025, 32, 101208. [Google Scholar] [CrossRef]
- Xing, W.; Chen, X.; Liu, J.; Meng, X.; Zhang, J. Removal of Heavy Metals from Sewage Sludge by Sequential Acidification with HCl–H3PO4 and Precipitation with Na2S–Ca(OH)2. Waste Manag. 2025, 203, 114897. [Google Scholar] [CrossRef] [PubMed]
- Taharia, M.; Das, K.; Sukul, U.; Chao, H.C.; Banerjee, P.; Dey, G.; Sharma, R.K.; Lin, P.Y.; Hung, T.C.; Chen, C.Y. Impact of Bacterial Cell Concentration on Microbial-Mediated Cerium Carbonate Precipitation for Efficient Heavy Metal Removal: Insights from Adsorption Isotherm, Kinetics, and Thermodynamics. Bioresour. Technol. 2025, 421, 132151. [Google Scholar] [CrossRef] [PubMed]
- Tang, L.; Xie, X.; Li, C.; Xu, Y.; Zhu, W.; Wang, L. Regulation of Structure and Anion-Exchange Performance of Layered Double Hydroxide: Function of the Metal Cation Composition of a Brucite-like Layer. Materials 2022, 15, 7983. [Google Scholar] [CrossRef]
- Xiong, W.; Yang, M.; Wang, J.; Wang, H.; Zhao, P.; Li, Z.; Liu, B.; Kong, X.; Duan, H.; Zhao, Y. Removal, Recycle and Reutilization of Multiple Heavy Metal Ions from Electroplating Wastewater Using Super-Stable Mineralizer Ca-Based Layered Double Hydroxides. Chem. Eng. Sci. 2023, 279, 118928. [Google Scholar] [CrossRef]
- Nemati, S.S.; Dehghan, G.; Khataee, A.; Alidokht, L.; Kudaibergenov, N. Layered Double Hydroxides as Versatile Materials for Detoxification of Hexavalent Chromium: Mechanism, Kinetics, and Environmental Factors. J. Environ. Chem. Eng. 2024, 12, 114742. [Google Scholar] [CrossRef]
- Shi, D.; Ren, Y.; Wang, X.; Han, X.; Zhu, X.; Xu, N. Efficient Removal of Aqueous Heavy Metal Cd2+ by Alanine Intercalation of MgAl–LDH: Adsorbent Preparation, Characterization, Adsorption Performance, and Mechanisms. ChemistrySelect 2025, 10, e202405400. [Google Scholar] [CrossRef]
- Awang, N.A.; Wan Salleh, W.N.; Ahmad, S.Z.N.; Mohd Razali, N.A.; Sazali, N.; Ismail, A.F. Synergistic Effect of Molar Ratio on Lead Removal by Zn-Al Layered Double Hydroxide. Inorg. Chem. Commun. 2025, 179, 114660. [Google Scholar] [CrossRef]
- Wu, K.; Xing, L.; Ji, Y. Synthesis and Applications of Copper-Based Catalysts. Catalysts 2023, 13, 973. [Google Scholar] [CrossRef]
- Huang, J.; Zhang, X.; Yang, J.; Yu, J.; Chen, Q.; Peng, L. Recent Progress on Copper-Based Bimetallic Heterojunction Catalysts for CO2 Electrocatalysis: Unlocking the Mystery of Product Selectivity. Adv. Sci. 2024, 11, e2309865. [Google Scholar] [CrossRef] [PubMed]
- Drelinkiewicz, D.; Whitby, R.J. A Practical Flow Synthesis of 1,2,3-Triazoles. RSC Adv. 2022, 12, 28910–28915. [Google Scholar] [CrossRef]
- Wang, J.; Wang, C.; Feng, Y.; Li, F.; Su, W.; Fang, Y.; Zhao, B. Cu/CeO2 Catalysts for Reverse Water Gas Shift Reactions: The Effect of the Preparation Method. RSC Adv. 2024, 14, 16736–16746. [Google Scholar] [CrossRef]
- Zubair, Y.O.; Fuchida, S.; Oyama, K.; Tokoro, C. Morphologically Controlled Synthesis of MgFe-LDH Using MgO and Succinic Acid for Enhanced Arsenic Adsorption: Kinetics, Equilibrium, and Mechanism Studies. J. Envion. Sci. 2025, 148, 637–649. [Google Scholar] [CrossRef]
- Thommes, M.; Kaneko, K.; Neimark, A.V.; Olivier, J.P.; Rodriguez-Reinoso, F.; Rouquerol, J.; Sing, K.S.W. Physisorption of Gases, with Special Reference to the Evaluation of Surface Area and Pore Size Distribution (IUPAC Technical Report). Pure Appl. Chem. 2015, 87, 1051–1069. [Google Scholar] [CrossRef]
- Pestryakov, A.N.; Petranovskii, V.P.; Kryazhov, A.; Ozhereliev, O.; Pfänder, N.; Knop-Gericke, A. Study of Copper Nanoparticles Formation on Supports of Different Nature by UV-Vis Diffuse Reflectance Spectroscopy. Chem. Phys. Lett. 2004, 385, 173–176. [Google Scholar] [CrossRef]
- Shabanian, M.; Hajibeygi, M.; Raeisi, A. FTIR Characterization of Layered Double Hydroxides and Modified Layered Double Hydroxides. In Woodhead Publishing Series in Composites Science and Engineering, Layered Double Hydroxide Polymer Nanocomposites; Woodhead Publishing: Sawston, UK, 2020. [Google Scholar] [CrossRef]
- Puzyrnaya, L.N.; Pshinko, G.N.; Zub, V.Y.; Zuy, O.V. Removal of Cu(II), Co(II) and Cd(II) from Water Solutions by Layered-Double Hydroxides with Different [Mg(II)]/[Fe(III)] Molar Ratios. Bull. Mater. Sci. 2020, 43, 3. [Google Scholar] [CrossRef]
- Ho, Y.S.; Mckay, G. Pseudo-Second Order Model for Sorption Processes. Process Biochem. 1999, 34, 451–465. [Google Scholar] [CrossRef]
- Hubbe, M.A.; Azizian, S.; Douven, S. Implications of Apparent Pseudo-Second-Order Adsorption Kinetics onto Cellulosic Materials. Bioresources 2019, 14, 7582–7626. [Google Scholar] [CrossRef]
- Wang, J.; Guo, X. Adsorption Isotherm Models: Classification, Physical Meaning, Application and Solving Method. Chemosphere 2020, 258, 127279. [Google Scholar] [CrossRef] [PubMed]
- Ayawei, N.; Ebelegi, A.N.; Wankasi, D. Modelling and Interpretation of Adsorption Isotherms. J. Chem. 2017, 2017, 3039817. [Google Scholar] [CrossRef]
- Lv, D.; Liu, Y.; Zhou, J.; Yang, K.; Lou, Z.; Baig, S.A.; Xu, X. Application of EDTA-Functionalized Bamboo Activated Carbon (BAC) for Pb(II) and Cu(II) Removal from Aqueous Solutions. Appl. Surf. Sci. 2018, 428, 648–658. [Google Scholar] [CrossRef]
- Benazouz, K.; Bouchelkia, N.; Moussa, H.; Boutheldja, R.; Zamouche, M.; Amrane, A.; Parvathiraja, C.; Al-Lohedan, H.A.; Bollinger, J.C.; Mouni, L. Efficient Removal of Cu(II) from Wastewater Using Chitosan Derived from Shrimp Shells: A Kinetic, Thermodynamic, Optimization, and Modelling Study. Water 2025, 17, 851. [Google Scholar] [CrossRef]
- Mohammadnezhad, G.; Soltani, R.; Abad, S.; Dinari, M. A Novel Porous Nanocomposite of Aminated Silica MCM-41 and Nylon-6: Isotherm, Kinetic, and Thermodynamic Studies on Adsorption of Cu(II) and Cd(II). J. Appl. Polym. Sci. 2017, 134, 45383. [Google Scholar] [CrossRef]
- Huang, G.; Wang, D.; Ma, S.; Chen, J.; Jiang, L.; Wang, P. A New, Low-Cost Adsorbent: Preparation, Characterization, and Adsorption Behavior of Pb(II) and Cu(II). J. Colloid Interface Sci. 2015, 445, 294–302. [Google Scholar] [CrossRef] [PubMed]
- Tran, H.N.; Lin, C.; Chao, H. Amino Acids-Intercalated Mg/Al Layered Double Hydroxides as Dual-Electronic Adsorbent for Effective Removal of Cationic and Oxyanionic Metal Ions. Sep. Purif. Technol. 2018, 192, 36–45. [Google Scholar] [CrossRef]
- Ghanavati Nasab, S.; Semnani, A.; Karimi, M.; Javaheran Yazd, M.; Cheshmekhezr, S. Synthesis of Ion-Imprinted Polymer-Decorated SBA-15 as a Selective and Efficient System for the Removal and Extraction of Cu(II) with Focus on Optimization by Response Surface Methodology. Analyst 2019, 144, 4596–4612. [Google Scholar] [CrossRef]
- Asiabi, H.; Yamini, Y.; Shamsayei, M.; Tahmasebi, E. Highly Selective and Efficient Removal and Extraction of Heavy Metals by Layered Double Hydroxides Intercalated with the Diphenylamine-4- Sulfonate: A Comparative Study. Chem. Eng. J. 2017, 323, 212–223. [Google Scholar] [CrossRef]
- Huang, Y.; Zeng, X.; Guo, L.; Lan, J.; Zhang, L.; Cao, D. Heavy Metal Ion Removal of Wastewater by Zeolite-Imidazolate Frameworks. Sep. Purif. Technol. 2018, 194, 462–469. [Google Scholar] [CrossRef]
- Kajjumba, G.W.; Emik, S.; Öngen, A.; Özcan, H.K.; Aydın, S. Modelling of Adsorption Kinetic Processes—Errors, Theory and Application. In Advanced Sorption Process Applications; IntechOpen: London, UK, 2018; Volume I, p. 13. [Google Scholar]
- Hernández, M.; Edgar, J.; Beltrán, D.Á.; Negrón, S.; Guillermo, E.; Olvera, R.G.; Castro, U.; Ivette, C.; Romero, L.L. Hidrotalcitas Cu/Al como catalizadores en la reacción de Huisgen. Rev. Tend. Docencia Investig. Química 2015, 659–667. [Google Scholar]
- González-Olvera, R.; Urquiza-Castro, C.I.; Negrón-Silva, G.E.; Ángeles-Beltrán, D.; Lomas-Romero, L.; Gutiérrez-Carrillo, A.; Lara, V.H.; Santillan, R.; Morales-Serna, J.A. Cu-Al Mixed Oxide Catalysts for Azide-Alkyne 1,3-Cycloaddition in Ethanol-Water. RSC Adv. 2016, 6, 63660–63666. [Google Scholar] [CrossRef]
Disclaimer/Publisher’s Note: The statements, opinions and data contained in all publications are solely those of the individual author(s) and contributor(s) and not of MDPI and/or the editor(s). MDPI and/or the editor(s) disclaim responsibility for any injury to people or property resulting from any ideas, methods, instructions or products referred to in the content. |
© 2025 by the authors. Licensee MDPI, Basel, Switzerland. This article is an open access article distributed under the terms and conditions of the Creative Commons Attribution (CC BY) license (https://creativecommons.org/licenses/by/4.0/).













