Abstract
Despite the great advantages of peptidomimetic scaffolds, there are only a few examples of their application in the field of asymmetric catalysis. Peptidomimetic scaffolds offer numerous advantages related to their easy preparation, modular and tunable structures, and biomimetic features, which make them well suited as chiral catalysts. This review underlines the structure–function relationship for catalytic properties towards efficient enantioselective catalysis.
1. Introduction
Chirality is a common phenomenon in nature. The demand of enantiopure compounds has increased dramatically over the years in order to cover the research need of chiral drugs, agrochemicals, and materials [1,2,3,4,5].
Asymmetric catalysis represents the most effective strategy for enantioselective synthesis, and it is built on three strategic pillars based on enzymes, metal complexes and small organic molecules [6,7].
The term organocatalysis was coined in 2000 by David W. C. MacMillan as the use of small organic molecules, with a low molecular weight, acting as catalysts in organic synthesis. Starting from these data, during the last decade, organocatalysis has proven to be an attractive synthetic tool for the development of enantiomerically enriched molecules [8]. The prominent role of asymmetric organocatalysis, in modern research, has been recently underlined by the Nobel Prize in Chemistry being awarded for “the development of asymmetric organocatalysis” to Benjamin List and David MacMillan in 2021 [9,10].
The great interest of academia and industries towards asymmetric organocatalytic transformation regards the applications in medicinal chemistry for the drug discovery and the preparation of new active pharmaceutical compounds [8].
The differentiation between two enantiomers is a fundamental task for living organisms. The most representative example is thalidomide, a drug firstly commercialized as a racemic mixture, but later, in the 1960s, it was withdrawn from the market due to the teratogenic activity of the (S) enantiomer, though the therapeutically effective molecule was the (R) enantiomer [11].
Over the past decades, several peptide-based organocatalysts have been used as effective asymmetric catalysis for a wide range of synthetically useful reactions [12,13]. These catalysts have proven to be effective for asymmetric acylation reactions, C-C bond formations, and oxidations [14,15].
A variety of different strategies have been explored to synthetize new peptide-based catalysts [16,17,18], nucleic acid derivatives [19,20] and DNA-based catalysts [21,22]; these systems have been deeply investigated due to their structural organization enabling enantioselectivity, regioselectivity and chemoselectivity.
Recently, an emerging topic regarded self-assembled short peptides acting as organocatalysts. Their efficiencies are comparable to those found in enzymes [23,24], and their supramolecular state can accelerate the organocatalysis activity [25,26,27].
Despite the numerous advantages offered by peptide-based catalysts, they suffer some limitations, for example, the biostability in comparison with the parent peptidomimetics. Furthermore, the need of a system which permits a rational design and easy synthesis of libraries has encouraged the development of peptidomimetic-based asymmetric catalysts.
A peptidomimetic has been defined as ‘compounds whose essential elements (pharmacophore) mimic a natural peptide or protein in 3D space and which retain the ability to interact with the biological target and produce the same biological effect’ [28].
Peptidomimetics overcome the peptide limitations by displaying higher metabolic stability and enhanced receptor affinity and selectivity. The development of peptidomimetics represents a powerful tool not only for the drug discovery [29] but also for the synthesis of novel catalysts using a rational design, with the purpose of positioning the catalytic site in the right position.
In this contribution, all the peptidomimetic-based asymmetric organocatalysts, reported in literature, with their synthesis and catalytic abilities, are discussed.
This review highlights recent developments up to 2022.
2. Foldamers in Asymmetric Catalysis
The first linear foldamer employed as enantioselective catalyst was reported by Kirshenbaum in 2009 [30]. This approach relies on attaching an achiral TEMPO (2,2,6,6-tetramethylpiperidine-1-oxyl) catalytic residue to a foldamer.
Foldamers are unnatural oligomers, (e.g., oligoureas, peptoids, β-peptides) able to adopt a well-defined secondary structure [31,32].
The classification of foldamers takes into account the chemical nature of their backbone: fully aliphatic (e.g., α-, β-, or γ-peptides, peptoids, peptidomimetic oligoureas), containing aromatic units (e.g., oligoaryl- or heteroarylamides), or results from the combination of aliphatic and aromatic residues. Starting from helices and β-sheets, the most widely found motifs, there are many foldamer backbones able to adopt rigid conformations, which exhibit molecular recognition processes (Figure 1).
Figure 1.
Structural diversity of foldamers.
Taking advantage of the efficient synthesis of peptoids, Kirshenbaum and coworkers have described the incorporation, at the prescribed location, of an achiral catalytic center into the peptoidic helical scaffold.
Peptoids, oligomers of N-substituted glycines, are one class of peptidomimetics. They are mimics of α-peptides in which the side chain is attached to the backbone amide nitrogen instead of the α-carbon (Figure 2).
Figure 2.
Comparison of peptide and peptoid structures.
These oligomers are attractive scaffolds for a wide range of applications because they can be generated using a modular synthesis, based on the solid-phase approach, which allows for the incorporation of a wide variety of functionalities.
The library of catalytic foldamers was designed using benzylamine (pm), TEMPO, (S)- or (R)-1-phenylethylamine (spe o rpe, respectively) as submonomer synthons of the peptoid scaffolds (Figure 3). The synthesis of linear peptoids was accomplished by the “sub-monomer” solid-phase approach on a Rink amide resin. The iteration of bromoacetylations and amine displacement steps gave the desired peptoid oligomers (Scheme 1). In Table 1, all the catalysts synthesized in that paper are reported.
Figure 3.
Monomeric units incorporated into the catalytic peptoids.
Scheme 1.
Preparation of peptoid oligomers 1–9.
Table 1.
Oligomer sequence of catalysts.
Using the catalysts depicted in Figure 4, the asymmetric catalysts were effectively used for the oxidative kinetic resolution of 1-phenylethanol, and some results are summarized in Table 2 [30].
Figure 4.
Linear peptoids used as catalysts.
Table 2.
Conversions, selectivities and enantiomeric excess for the catalytic oxidation of rac-1-phenylethanol by peptoids.
The folded catalyst (1S) is characterized by a right-handed helical configuration with the TEMPO group that is covalently attached at the N-terminus; this compound was able to perform effective kinetic resolution, and the same behavior was revealed by the linear oligomer (1R) presenting a left-handed helical configuration.
Interestingly, when the TEMPO was attached on internal positions of the oligomer chain (e.g., 2S, 3S or 4S) no enantioselectivity was observed.
The highest levels of enantioselectivity were achieved for catalytic peptoids bearing the TEMPO group positioned at the N-terminus (Figure 5A), indicating a less-effective interaction with the asymmetric environment when the TEMPO is incorporated in the middle of the catalytic scaffold (e.g., 4S) (Figure 5B). In peptoid 4S, the catalytic site TEMPO is crowded so the π–π interactions with the substrate 1-phenylethanol are precluded. These could give a reasonable explanation of the different values of enantioselectivity between the catalyst 4S and 1S.
Figure 5.
(A) Model of energy-minimized structure of the catalytic peptoid 1S with substrate 1-phenylethanol. (B) Model of energy-minimized structure of the catalytic peptoid 4S with substrate 1-phenylethanol. Colors: hydrogen, white; oxygen, red; nitrogen, blue; 1-phenylethanol (substrate), green. Adapted with permission from [30].
This paper underlined how the enantioselectivity depends on the handedness of the asymmetric environment derived from the helical scaffold, the position of the achiral catalytic center and the degree of conformational order of the peptoid.
Synthetic foldamers represent an opportunity to design sophisticated catalysts taking advantage of their easy synthesis. In fact, the construction of peptoid libraries permits rapid catalytic screening and the possibility of performing rapid systematic investigations of sequence–structure–function relationships in order to optimize the catalytic performances.
3. Peptide–Peptoid Hybrid Catalysts
Taking inspiration from the crucial role of combinatorial chemistry for peptide catalyst discovery and development [15,33,34,35,36,37], Paixão and coworkers reported the application of Ugi four-component reaction (Ugi-4CR) for the development of a combinatorial multicomponent synthesis of novel peptide–peptoid hybrid catalysts [38].
In principle, the combinatorial multicomponent strategy allows for the possibility of combining four different starting materials, enabling the development of novel catalyst libraries. Paixão and coworkers described the synthesis with a fixed proline substrate, in order to perform enamine catalysis, modulating three elements of diversity—the amine, oxo and isocyanide components—as shown in Table 3.
Table 3.
Novel library of prolyl peptide–peptoid catalysts.
The catalytic performances of peptide–peptoid hybrid catalysts 17–29 were tested in the asymmetric Michael addition of n-butanal to trans-β-nitrostyrene, as shown in Table 4.
Table 4.
Catalytic performances of peptide–peptoid hybrid catalysts 17–29.
The screening of the enamine-type catalytic performance of peptide–peptoid hybrids 17–29 revealed that the catalyst 25 was the best catalyst in terms of stereocontrol (98% ee, 94:6 dr). The simultaneous presence of the 2-aminoisobutyric acid (Aib) and the chiral N-substituent (S)-α-MeBn are crucial factors for the higher enantioselectivity in comparison with its congeners. It was evident that the conformational rigidity of catalyst 25 affected the stereocontrol of the conjugate addition. This was confirmed by NMR analysis of 25: this catalyst showed almost a single rotational isomer, while its congener, catalyst 23, bearing a Gly amino acid residue (R2 = H), showed a mixture of cis and trans isomers in solution (Figure 6) [38]. The NMR behavior of both catalysts confirmed that different conformers of 23 affect the stereocontrol of the Michael addition, leading to 89% ee and 96:4 dr. The best catalyst 25 was also used to extend the scope of this conjugate asymmetric Michael addition exploring various solvents, reaction conditions and additives.
Figure 6.
(a) 1H NMR spectra of catalyst 23 in CDCl3 (400 MHz); (b) 1H NMR spectra of catalyst 25 in CDCl3 (600 MHz). The figure is prepared from data published previously [38].
This study demonstrates that the combinatorial approach represents a convenient tool for the discovery of new asymmetric catalyst and provides new elements to detect the structure–catalytic activity relationship. This small collection of prolyl peptide–peptoid hybrids provides good-to-excellent stereocontrol and catalytic efficiency in the asymmetric conjugate addition of aldehydes to nitroolefins. In order to extend the scope of the asymmetric Michael addition with the best catalyst 25, various aldehydes and different trans-β-Nitrostyrenes were screened (Scheme 2).
Scheme 2.
Asymmetric Michael addition catalyzed by peptide–peptoid 25.
Peptide–peptoid hybrids represent a new platform to design sophisticated catalysts taking advantage of the combinatorial multicomponent strategy. In particular, the introduction of a specific aminoacid, such as Aib, provided greater conformational rigidity and guaranteed good-to-excellent stereocontrol in the asymmetric Michael addition. All these features have paved the way for new insights into their structure−catalytic activity relationship.
4. β-Turn Peptoid Scaffolds
It has been reported that many peptide-based asymmetric organocatalysts adopt a β-turn-like structure, an important structural feature for high efficiency and selectivity [39].
However, to the best of our knowledge, there are really few examples of β-turn-like peptoid structures [40].
All these reasons motivated Mayaan and coworkers to develop a small library of β-turn-like pyrrolidine-based peptoids exploring the conjugate Michael addition [41], one of the most useful C-C bond forming reaction, important for the pharmaceutical production of enantiopure synthetic intermediates [42,43,44].
The sequences of five designed tripeptoids (44–48) consist of an S- or R-pyrrolidine group at the N-terminus and two consecutive S-, R- or achiral naphthyl-ethyl side chains. The structure of 44 bears an S-pyrrolidine group at the N-terminal and two chiral R-naphthylethyl side chains (Nr1npe). The structures of peptoids 45–48 were designed having a piperazine group at the C-terminus to enhance their water solubility. The synthesis of linear peptoids was accomplished by the “sub-monomer” solid-phase approach on Rink amide resin. The preparation of 44 required a bromoacetylation step followed by an amine displacement step. Bromoacetylation and amine displacement steps were repeated until the desired peptoid was obtained (Scheme 3a). For peptoids 45–48, the synthetic procedure was extended by the initial insertion of the piperazine moiety, achieved by a chloroacylation followed by a cyclic diamine displacement. Once desired sequences have been obtained, the peptoids were cleaved from the resin and characterized (Scheme 3b).
Scheme 3.
Synthetic route for peptoid 44 (a) and for peptoids 45–48 (b).
The ability of peptoid-based catalysts summarized in Figure 7 has been tested for the asymmetric Michael addition between aldehydes and nitro-olefins resulting in γ-nitro aldehydes, which are important building blocks leading to γ-aminoacids [45,46,47,48]. The catalytic performances of peptoids 44–48 were initially tested in the reaction between β-nitrostyrene and pentanal (Table 5).
Figure 7.
Structures of β-turn peptoids 44–48.
Table 5.
Asymmetric Michael addition performed by peptoid catalysts.
The ee was highly dependent on the chirality and structures of catalysts: the best catalyst 45 has a β-turn structure and mechanicistic studies have revealed that the enamine can approach selectively the Si-face of the β-nitrostyrene.
Deep investigation of timing, catalyst loading, helical structure of peptoids, and substrate scope was carried out (Scheme 4). This investigation confirmed that the β-turn structure plays a key role in this highly enantioselective reaction. This work represents the first example of β-turn-like peptoid structure acting as asymmetric catalyst.
Scheme 4.
Substrate scope for the asymmetric Michael conjugate addition catalyzed by 45.
The β-turn-like structure has been formed only when the naphthylethyl side-chains have the reverse chirality of the pyrrolidine residues.
5. Peptidomimetic Triazole-Based Organocatalysts
The triazole ring, considered as an amide bond surrogate, is an important structural tool for the peptidomimetic chemistry [49,50]. Incorporation of this heterocycle into the structure of a peptidomimetic catalyst may rigidify its conformation, improving its selectivity. Moreover, the high number of nitrogen atoms can influence the basicity of the corresponding catalysts.
From these perspectives, Mainkar and co-workers focus their research on the development and synthesis of new peptidomimetic catalysts based on 1,2,3-disubstituted triazole motive [51]. The scaffold of the new pyrrolidine-linked triazole catalyst was enriched with the presence of isoasparagine residue, responsible for providing hydrogen bonding, as enlightened by early investigations of Wennemers et al. [18].
The authors reported the synthesis of two novel catalysts bearing a peptide bond surrogate triazole interpose between a pyrrolidine methylene and an isoaspargine moiety.
Scheme 5 reports the synthetic route towards new catalysts. The preparation of target molecules was accomplished by exposing the known azidopyrrolidine (62) to a thermal Huisgen [3 + 2] cycloaddition with ethyl propiolate to provide two, chromatographically separable, isomeric triazoles, 63 and 63a, in a 28:72 ratio. Both regioisomers (1,5- and 1,4-disubstituted triazoles) were independently transformed to the corresponding acid 64 or 64a. The following coupling with isoaspargine 65 under N-(3-dimethylaminopropyl)–N-ethyl-carbodiimide hydrochloride (EDCI) and hydroxybenzotriazole (HOBt) conditions furnished pyrrolidine-triazole 66 or 66a. Hydrogenation of benzyl ester to 67 or 67a with subsequent TFA-mediated deprotection furnished 68 or 68a.
Scheme 5.
Synthesis of peptidomimetic triazole-based catalysts.
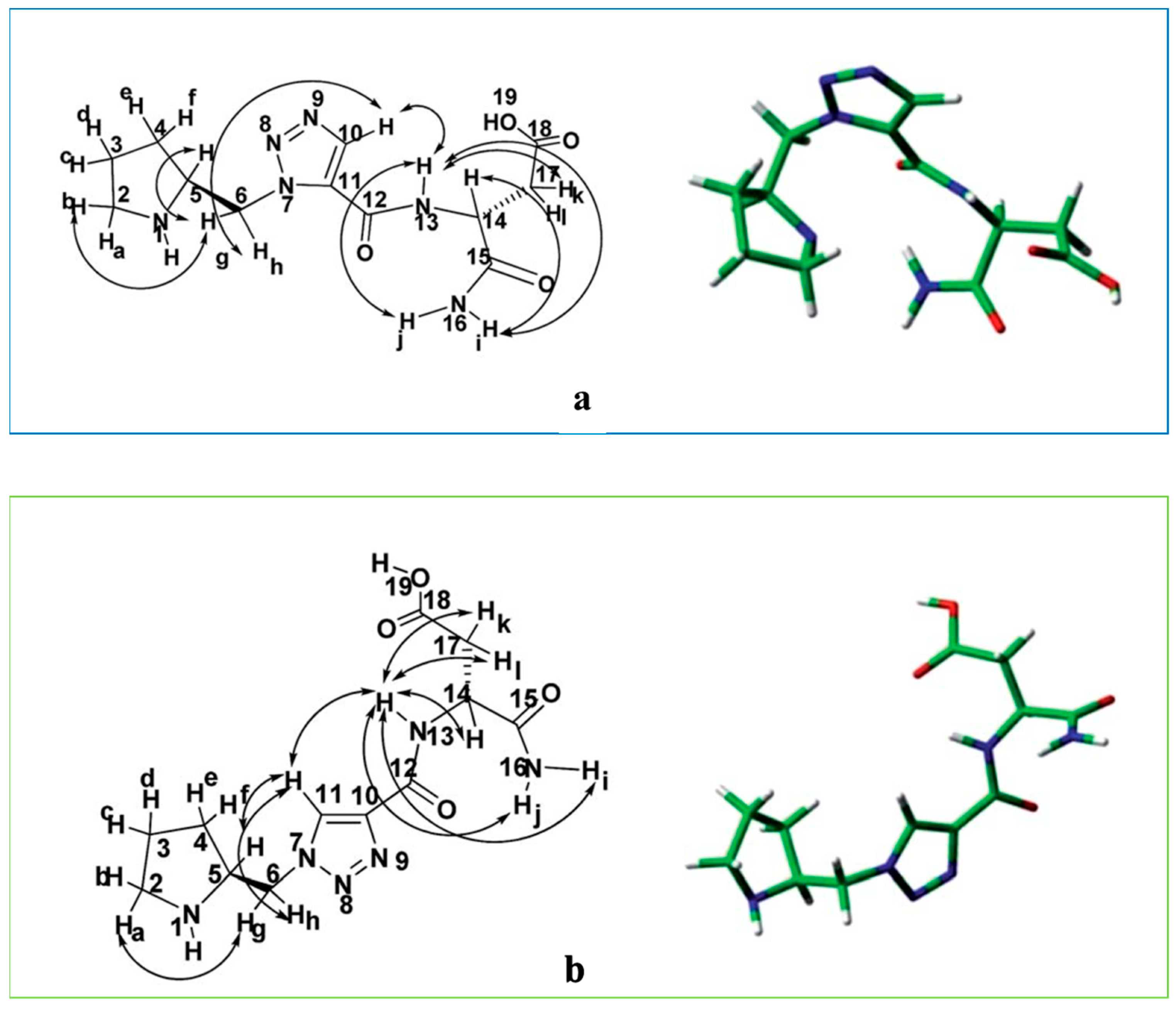
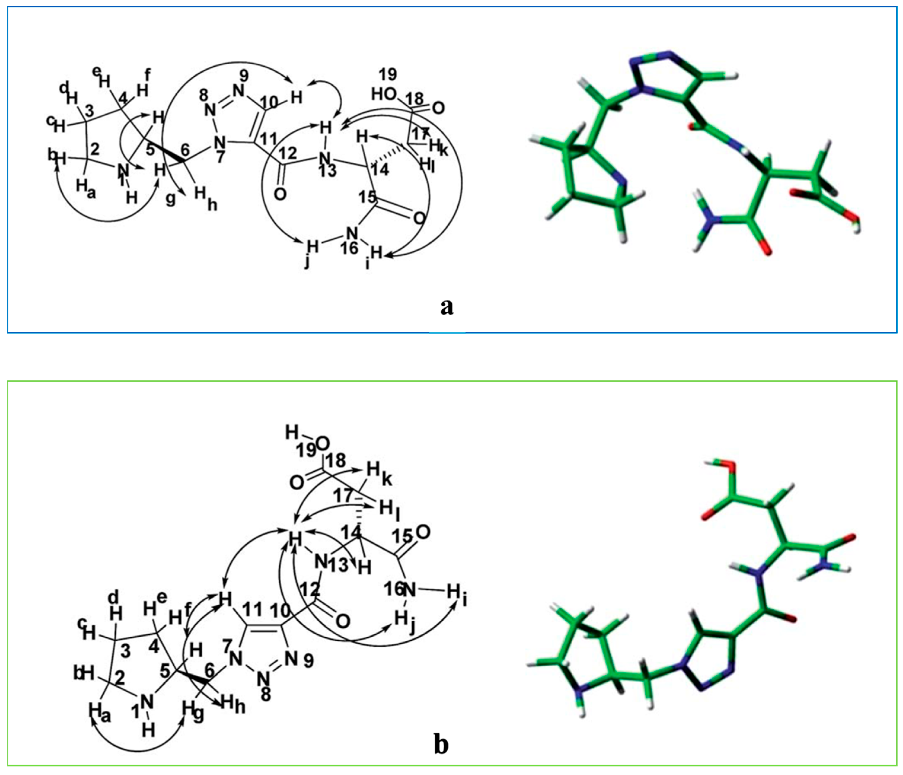
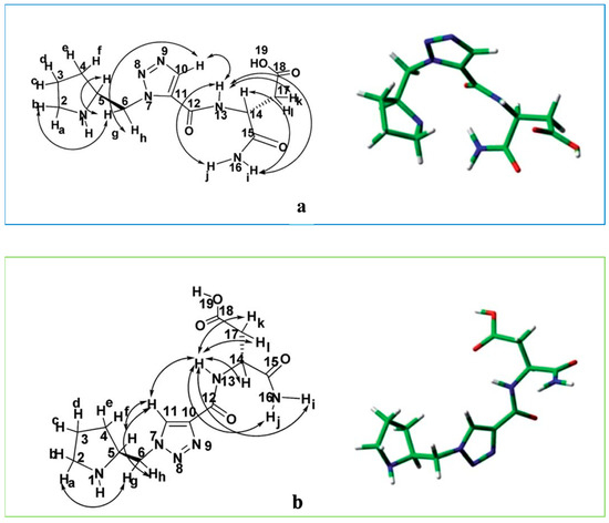
Prior to the examination of the catalytic efficiency of 68 and 68a, an extensive structural study was performed to understand the hydrogen-bonding properties and turn pattern. The NMR investigations in combination with ROE-restrained molecular dynamics revealed that catalyst 68 (1,5-triazole catalyst) adopts a turn-like compact structure (Figure 8a), while the 1,4-disubstituted isomer, catalyst 68a is characterized by an extended conformation (Figure 8b).
Figure 8.
ROE-restrained molecular dynamics studies for catalyst 68 (a) and 68a (b). Adapted with permission from [51].
The efficiency of these new catalysts was tested in the Michael addition of ketones onto nitroolefins (Table 6). The authors hypothesized that the turn structure of the 1,5-triazole catalyst 68 could promote the hydrogen bonding between the terminal isoasparagine and the nitro group of nitrostyrene improving its catalytic efficacy.
Table 6.
Asymmetric Michael addition performed by peptidomimetic triazole-based catalysts.
In order to confirm this assumption, cyclohexanone was reacted with nitrostyrene in the presence of catalyst 68 (5 mol%) and CH2Cl2 as the solvent, resulting in the formation of the corresponding adduct in 55% yield and >99% ee.
Subsequent screening of reaction conditions revealed that methanol is the optimal solvent for enhancing efficiency and selectivity of chemical transformation. After a deeper screening of solvents and catalyst loading, the results prompted the authors to examine the substrate scope for broader applications. The outcome of this study demonstrated that the presence of both electron-donating and electron-withdrawing groups marginally affects the stereoselectivity of the reaction, ensuring a wide applicability of the catalysts. Moreover, it is worth emphasizing that catalyst 68a, having no turn structure, resulted to be just slightly less effective than 68.
In the light of the computational results, a mechanism was proposed. According to the study, the compound 68 acts as a bifunctional catalyst. Firstly, an enamine is formed as the proline ring reacts with the cyclohexanone carbonyl group with the assistance of acidic co-catalyst. Afterwards, owing to the turn structure of 68, the carboxylic group is able to participate in hydrogen-bonding interaction with the nitro group of nitrostyrene. The transition state arising from Re-face attack on the Anti-enamine resulted to be energetically lower than alternative ones (Anti-Si, Syn-Re and Syn-Si). On the other hand, the catalyst 68a, lacking the crucial hydrogen-bonding interaction, responsible for an extra stabilization, resulted in a higher-energy transition states compared to 68 (Figure 9). The significant energy difference of the two-transition states (>10 kcal mol−1) did not justify the slightly lower efficiency of 68a in comparison with 68. These results suggest that the catalyst 68, forming hydrogen bonding and having turn-inducing properties, acts following the mechanism established for tripeptides by a turn-like conformation while the catalyst 68a acts following a mechanism of proline-derived catalyst.
Figure 9.
Preferred transition states for catalyst 68 and 68a. Adapted with permission from [51].
The study performed by Mainkar et al. demonstrates a considerable potential of these new peptidomimetic catalysts containing a peptide bond surrogate triazole in Michael-addition reactions. These results open interesting perspectives on the possibility of designing new triazole-based peptidomimetics for organocatalytic applications.
6. Cyclic Peptoids as PTC in Asymmetric Catalysis
Linear peptoids lack conformation rigidity in comparison to their parent α-peptides; macrocyclic constrains has been employed to rigidify the conformation of these flexible oligomers obtaining the corresponding cyclic peptoids (e.g., using the head-to-tail cyclization strategy) (Figure 10) [52,53].
Figure 10.
From a linear peptoid oligomer to a cyclic peptoid.
In fact, it is well known that cyclization can enhance the selective binding and stability compared to the corresponding linear oligomer and can pre-organize the structure in a well-defined active conformation, which is a key element in designing new enantiopure therapeutic agents [54].
Since 2007, when Kirshenbaum and co-workers reported the first cyclopeptoid hetero oligomers [55], a great deal of research interest has been devoted to the synthesis of novel cyclopeptoids. Macrocyclic peptoids have shown remarkable biological properties [56] such as antitumor [57,58,59], antimicrobial [60,61,62,63,64], glycosidase inhibition [65,66,67] and ionophoric activities [68,69,70]. Some of these features are a direct consequence of the cation-binding ability of the macrocyclic scaffold [71,72,73,74,75,76].
The cation-binding ability encouraged Izzo, Della Sala and coworkers to test their catalytic efficiency as phase-transfer catalysts. The synthesis of five catalysts 71–75 was accomplished using the “sub-monomer”solid-phase method (Scheme 6).
Scheme 6.
Synthesis of cyclic peptoids 71–75.
As enlightened by early investigation, concerning achiral cyclopeptoids [77], these macrocycles proved to be able to promote the nucleophilic substitution of 4-nitrobenzyl bromide with NaSCN and KSCN (Scheme 7).
Scheme 7.
Nucleophilic substitution performed by cyclic peptoids as PTC catalysts.
More recently, the same research group have developed chiral cyclopeptoids able to catalyze the enantioselective alkylation of N-(diphenylmethylene)glycine esters under phase-transfer catalysis (PTC) conditions [78]. A library of chiral catalysts has been used in the synthesis of cyclopeptoid with different cavity size containing L-proline residues alternating with N-substituted glycines (prolinated hexamer and tetramer macrocycles). The chiral library was realized using a mixed sub-monomeric/monomeric approach. The modular synthesis is based on a solid-phase process characterized by quick preparation and easy workup/purification. The first step is the loading of bromoacetic acid on a chlorotrityl resin; this step is followed by a nucleophilic substitution with a primary amine to build the first monomer. Then, there is a coupling reaction with a chiral monomer, in this case L-Proline, in the presence of a coupling reagent such as HATU followed by a deprotection step. The repetition of the steps described above affords a linear peptoid oligomer, attached on the resin. Cleavage reaction, in mild acidic conditions, affords the free linear hexapeptoid. No purification steps are required, and by-products are eliminated by easy filtration. The next step is a cyclization reaction that involves a head-to-tail connection in high dilution conditions (Scheme 8).
Scheme 8.
Synthesis of chiral cyclic peptoids 78a–e and 79a–i.
After an extensive investigation of substrates, solvents, temperatures, catalyst loading, the asymmetric alkylation of cumyl N-(diphenylmethylene)glycine ester was efficiently performed by the cyclohexapeptoid 79a (Scheme 9) [79]. Good-to-excellent ees and yields in the alkylation reaction were achieved using a small amount of the chiral catalyst (1.0–2.5 mol%). Furthermore, the cumyl ester group is convenient in the transformation of the glycine derivatives to the corresponding free amino acid, as it could be cleaved by hydrogenolysis without affecting acid-labile groups in the molecule.
Scheme 9.
Asymmetric alkylation of cumyl N-(diphenylmethylene)glycine ester promoted by 79a.
The same prolinated catalysts, described above in Scheme 8, were also applied to the enantioselective alkylation of 2-phenyl-2-oxazoline-4-carboxylate ester under PTC conditions [80,81]. The alkylation reaction was catalyzed by the cyclic hexapeptoid decorated with alternated residues of L-Proline and 4-methoxybenzyl side chains, 79h, in a toluene/50% aq NaOH liquid-liquid biphasic system. The enantiomeric excesses were moderate to good (48–75%) (Scheme 10).
Scheme 10.
Catalytic alkylation of 2-Aryl-2-oxazoline-4-carboxylic acid esters using 79h as catalyst.
This methodology enables the achievement of important synthetic analogues of α-alkylserines, which are widespread in peptidomimetics and bioactive natural products [82].
7. Conclusions and Outlook
The purpose of this contribution is to corroborate the connection between the asymmetric organic synthesis and biomimetic structures, presenting the numerous efforts that have been made in recent years to design and synthetize new peptidomimetic scaffolds for organocatalytic applications. These seminal studies unveil the great potential of peptidomimetic catalysts as an appealing alternative to the parent peptides thanks to their unique structural properties, suggesting a rapid increase in their applications over the next few years.
Author Contributions
Writing—review and editing, I.K., A.M.A. and R.S.; visualization, R.S.; supervision. All authors have read and agreed to the published version of the manuscript.
Funding
This research received no external funding.
Data Availability Statement
Not applicable.
Acknowledgments
We would like to thank G. Della Sala, our inspiring mentor, for helpful discussions and insightful comments, as well as I. Izzo and F. De Riccardis for their inestimable daily support. We also thank A. D’Amato and G. Pierri for their discussions and invaluable support. This review is dedicated to a new life coming.
Conflicts of Interest
The authors declare no conflict of interest.
References
- Saha, D.; Kharbanda, A.; Yan, W.; Lakkaniga, N.R.; Frett, B.; Li, H.-Y. The Exploration of Chirality for Improved Druggability within the Human Kinome. J. Med. Chem. 2020, 63, 441–469. [Google Scholar] [CrossRef]
- Ceramella, J.; Iacopetta, D.; Franchini, A.; De Luca, M.; Saturnino, C.; Andreu, I.; Sinicropi, M.S.; Catalano, A. A Look at the Importance of Chirality in Drug Activity: Some Significative Examples. Appl. Sci. 2022, 12, 10909. [Google Scholar] [CrossRef]
- Cossy, J.R. The Importance of Chirality in Drugs and Agrochemicals Comprehensive. Chirality 2012, 1, 1–7. [Google Scholar] [CrossRef]
- Meskers, S.C.J. Consequences of chirality on the response of materials. Mater. Adv. 2022, 3, 2324–2336. [Google Scholar] [CrossRef]
- Han, B.; He, X.-H.; Liu, Y.-Q.; He, G.; Peng, C.; Li, J.-L. Asymmetric organocatalysis: An enabling technology for medicinal chemistry. Chem. Soc. Rev. 2021, 50, 1522–1586. [Google Scholar] [CrossRef] [PubMed]
- Noyori, R. Asymmetric Catalysis: Science and Opportunities (Nobel Lecture). Angew. Chem. Int. Ed. 2002, 41, 2008–2022. [Google Scholar] [CrossRef]
- Bell, E.L.; Finnigan, W.; France, S.P.; Green, A.P.; Hayes, M.A.; Hepworth, L.J.; Lovelock, S.L.; Niikura, H.; Osuna, S.; Romero, E.; et al. Biocatalysis. Nat. Rev. Methods Primers 2021, 1, 46. [Google Scholar] [CrossRef]
- Alemán, J.; Cabrera, S. Applications of asymmetric organocatalysis in medicinal chemistry. Chem. Soc. Rev. 2013, 42, 774–793. [Google Scholar] [CrossRef]
- Hargittai, I. The 2021 chemistry Nobel laureates and asymmetric organocatalysis. Struct. Chem. 2022, 33, 303–305. [Google Scholar] [CrossRef]
- Mancheño, O.G.; Waser, M. Recent Developments and Trends in Asymmetric Organocatalysis. Eur. J. Org. Chem. 2023, 26, e202200950. [Google Scholar] [CrossRef]
- Wang, Y.; Huang, H.; Zhang, Q.; Zhang, P. Chirality in metal-based anticancer agents. Dalton Trans. 2018, 47, 4017–4026. [Google Scholar] [CrossRef] [PubMed]
- Wennemers, H. Asymmetric catalysis with peptides. Chem. Commun. 2011, 47, 12036–12041. [Google Scholar] [CrossRef]
- Freund, M.; Tsogoeva, S.B. Peptides for asymmetric catalysis. In Catalytic Methods in Asymmetric Synthesis: Advanced Materials, Techniques, and Applications; Gruttadauria, M., Giacalone, F., Eds.; Wiley: Hoboken, NJ, USA, 2011; pp. 529–578. [Google Scholar]
- Metrano, A.J.; Chinn, A.J.; Shugrue, C.R.; Stone, E.A.; Kim, B.; Miller, S.J. Asymmetric Catalysis Mediated by Synthetic Peptides, Version 2.0: Expansion of Scope and Mechanisms. Chem. Rev. 2020, 120, 11479–11615. [Google Scholar] [CrossRef] [PubMed]
- Revell, J.D.; Wennemers, H. Peptidic catalysts developed by combinatorial screening methods. Curr. Opin. Chem. Biol. 2007, 11, 269–278. [Google Scholar] [CrossRef]
- Davie, E.A.C.; Mennen, S.M.; Xu, Y.; Miller, S.J. Asymmetric catalysis mediated by synthetic peptides. Chem. Rev. 2007, 107, 5759–5812. [Google Scholar] [CrossRef] [PubMed]
- Miller, S.J. In search of peptide-based catalysts for asymmetric organic synthesis. Acc. Chem. Res. 2004, 37, 601–610. [Google Scholar] [CrossRef] [PubMed]
- Wiesner, M.; Revell, J.D.; Wennemers, H. Tripeptides as efficient asymmetric catalysts for 1,4-addition reactions of aldehydes to nitroolefins—A rational approach. Angew. Chem. Int. Ed. 2008, 47, 1871–1874. [Google Scholar] [CrossRef]
- Joyce, G.F.; Visser, G.M.; van Boeckel, C.A.A.; van Boom, J.H.; Orgel, L.E.; van Westrenen, J. Chiral selection in poly(C)-directed synthesis of oligo(G). Nature 1984, 310, 602–604. [Google Scholar] [CrossRef]
- Stuhlmann, F.; Ja¨schke, A. Characterization of an RNA active site: Interactions between a diels-alderase ribozyme and its substrates and products. J. Am. Chem. Soc. 2002, 124, 3238–3244. [Google Scholar] [CrossRef]
- Coquiere, D.; Feringa, B.L.; Roelfes, G. DNA-based catalytic enantioselective Michael reactions in water. Angew. Chem. Int. Ed. 2007, 46, 9308–9311. [Google Scholar] [CrossRef]
- Boersma, A.J.; Klijin, J.E.; Feringa, B.L.; Roelfes, G. DNA-based asymmetric catalysis: Sequence-dependent rate acceleration and enantioselectivity. J. Am. Chem. Soc. 2008, 130, 11783–11790. [Google Scholar] [CrossRef]
- Zozulia, O.; Dolan, M.A.; Korendovych, I.V. Catalytic peptide assemblies. Chem. Soc. Rev. 2018, 47, 3621–3639. [Google Scholar] [CrossRef]
- Distaffen, H.H.E.; Jones, C.W.; Abraham, B.L.; Nilsson, B.L. Multivalent display of chemical signals on self-assembled peptide scaffolds. Pept. Sci. 2021, 113, e24224. [Google Scholar] [CrossRef]
- Sinibaldi, A.; Della Penna, F.; Ponzetti, M.; Fini, F.; Marchesan, S.; Baschieri, A.; Pesciaioli, F.; Carlone, A. Asymmetric Organocatalysis Accelerated via Self- Assembled Minimal Structures. Eur. J. Org. Chem. 2021, 5403–5406. [Google Scholar] [CrossRef]
- Rodríguez-Llansola, F.; Miravet, J.F.; Escuder, B. Supramolecular Catalysis with Extended Aggregates and Gels: Inversion of Stereoselectivity Caused by Self-Assembly. Chem. Eur. J. 2010, 16, 8480–8486. [Google Scholar] [CrossRef] [PubMed]
- Pelin, J.N.B.D.; Edwards-Gayle, C.J.C.; Castelletto, V.; Aguilar, A.M.; Alves, W.A.; Seitsonen, J.; Ruokolainen, J.; Hamley, I.W. Self-Assembly, Nematic Phase Formation, and Organocatalytic Behavior of a Proline-Functionalized Lipopeptide. ACS Appl. Mater. Interfaces 2020, 12, 13671–13679. [Google Scholar] [CrossRef]
- Vagner, H.J.; Qu, H.; Hruby, V.J. Peptidomimetics, a synthetic tool of drug discovery. Curr. Opin. Chem. Biol. 2008, 12, 292–296. [Google Scholar] [CrossRef] [PubMed]
- Lenci, E.; Trabocchi, A. Peptidomimetic toolbox for drug discovery. Chem. Soc. Rev. 2020, 49, 3262–3277. [Google Scholar] [CrossRef]
- Maayan, G.; Ward, M.D.; Kirshenbaum, K. Folded biomimetic oligomers for enantioselective catalysis. Proc. Natl. Acad. Sci. USA 2009, 106, 13679–13684. [Google Scholar] [CrossRef] [PubMed]
- Gellman, S.H. Foldamers: A manifesto. Acc. Chem. Res. 1998, 31, 173–180. [Google Scholar] [CrossRef]
- Pasco, M.; Dolain, C.; Guichard, G. Foldamers in Medicinal Chemistry. In Comprehensive Supramolecular Chemistry II; Atwood, J.L., Ed.; Elsevier: Amsterdam, The Netherlands, 2017; pp. 89–120. [Google Scholar]
- Lichtor, P.A.; Miller, S.J. Combinatorial evolution of site- and enantioselective catalysts for polyene epoxidation. Nat. Chem. 2012, 4, 990–995. [Google Scholar] [CrossRef] [PubMed]
- Lichtor, P.A.; Miller, S. One-Bead-One-Catalyst Approach to Aspartic Acid-Based Oxidation Catalyst Discovery. J. ACS Comb. Sci. 2011, 13, 321–326. [Google Scholar] [CrossRef]
- Berkessel, A. The discovery of catalytically active peptides through combinatorial chemistry. Curr. Opin. Chem. Biol. 2003, 7, 409–419. [Google Scholar] [CrossRef]
- Liu, R.; Li, X.; Lam, K.S. Combinatorial chemistry in drug discovery. Curr. Opin. Chem. Biol. 2017, 38, 117–126. [Google Scholar] [CrossRef]
- Maeda, Y.; Makhlynets, O.V.; Matsui, H.; Korendovych, I.V. Design of Catalytic Peptides and Proteins Through Rational and Combinatorial Approaches. Annu. Rev. Biomed. Eng. 2016, 18, 311–328. [Google Scholar] [CrossRef]
- de la Torre, A.F.; Rivera, D.G.; Ferreira, M.A.B.; Corrêa, A.G.; Paixão, M.W. Multicomponent Combinatorial Development and Conformational Analysis of Prolyl Peptide–Peptoid Hybrid Catalysts: Application in the Direct Asymmetric Michael Addition. J. Org. Chem 2013, 78, 10221–10232. [Google Scholar] [CrossRef] [PubMed]
- Metrano, A.J.; Abascal, N.C.; Mercado, B.Q.; Paulson, E.K.; Hurtley, A.E.; Miller, S.J. Diversity of Secondary Structure in Catalytic Peptides with β-Turn-Biased Sequences. J. Am. Chem. Soc. 2017, 139, 492–516. [Google Scholar] [CrossRef]
- Rainaldi, M.; Moretto, V.; Crisma, M.; Peggion, E.; Mammi, S.; Toniolo, C.; Cavicchioni, G. Peptoid residues and β-turn formation. J. Pept. Sci. 2002, 8, 241–252. [Google Scholar] [CrossRef]
- Darapaneni, C.M.; Ghosh, P.; Ghosh, T.; Maayan, G. Unique β-Turn Peptoid Structures and Their Application as Asymmetric Catalysts. Chem. Eur. J. 2020, 26, 9573–9579. [Google Scholar] [CrossRef] [PubMed]
- Jones, S.B.; Simmons, B.; Mastracchio, A.; MacMillan, D.W.C. Collective synthesis of natural products by means of organocascade catalysis. Nature 2011, 475, 183–188. [Google Scholar] [CrossRef] [PubMed]
- Zhang, Z.; Antilla, J.C. Enantioselective Construction of Pyrroloindolines Catalyzed by Chiral Phosphoric Acids: Total Synthesis of (−)-Debromoflustramine B. Angew. Chem. Int. Ed. 2012, 51, 11778–11782. [Google Scholar] [CrossRef]
- Hui, C.; Pu, F.; Xu, J. Metal-Catalyzed Asymmetric Michael Addition in Natural Product Synthesis. Chem. Eur. J. 2017, 23, 4023–4036. [Google Scholar] [CrossRef]
- Guo, L.; Zhang, W.; Guzei, I.A.; Spencer, L.C.; Gellman, S.H. New Preorganized γ-Amino Acids as Foldamer Building Blocks. Org. Lett. 2012, 14, 2582–2585. [Google Scholar] [CrossRef]
- Giuliano, M.W.; Maynard, S.J.; Almeida, A.M.; Guo, L.; Guzei, I.A.; Spencer, L.C.; Gellman, S.H. A γ-Amino Acid That Favors 12/10-Helical Secondary Structure in α/γ-Peptides. J. Am. Chem. Soc. 2014, 136, 15046–15053. [Google Scholar] [CrossRef] [PubMed]
- Gonzalez, M.A.; Estevez, A.M.; Campos, M.; Estevez, J.C.; Estevez, R.J. Protocol for the Incorporation of γ-Amino Acids into Peptides: Application to (−)-Shikimic Acid Based 2-Amino-Methylcyclohexanecarboxylic Acids. J. Org. Chem. 2018, 83, 1543–1550. [Google Scholar] [CrossRef] [PubMed]
- Sukhorukov, A.Y.; Sukhanova, A.; Zlotin, S. Stereoselective reactions of nitro compounds in the synthesis of natural compound analogs and active pharmaceutical ingredients. Tetrahedron 2016, 72, 6191–6281. [Google Scholar] [CrossRef]
- Holub, J.M.; Kirshenbaum, K. Tricks with clicks: Modification of peptidomimetic oligomers via copper-catalyzed azide-alkyne [3 + 2] cycloaddition. Chem. Soc. Rev. 2010, 39, 1325–1337. [Google Scholar] [CrossRef]
- Araszczuk, A.M.; D’Amato, A.; Schettini, R.; Costabile, C.; Della Sala, G.; Pierri, G.; Tedesco, C.; De Riccardis, F.; Izzo, I. Macrocyclic Triazolopeptoids: A Promising Class of Extended Cyclic Peptoids. Org. Lett. 2022, 24, 7752–7756. [Google Scholar] [CrossRef]
- Chandrasekhar, S.; Kumar, C.P.; Kumar, T.P.; Haribabu, K.; Jagadeesh, B.; Lakshmi, J.K.; Mainkar, P.S. Peptidomimetic organocatalysts: Efficient Michael addition of ketones onto nitroolefins with very low catalyst loading. RSC Adv. 2014, 4, 30325–30331. [Google Scholar] [CrossRef]
- Webster, A.M.; Cobb, S.L. Recent Advances in the Synthesis of Peptoid Macrocycles. Chem. Eur. J. 2018, 24, 7560–7573. [Google Scholar] [CrossRef]
- Yoo, B.; Shin, S.B.Y.; Huang, M.L.; Kirshenbaum, K. Peptoid Macrocycles: Making the Rounds with Peptidomimetic Oligomers. Chem. Eur. J. 2010, 16, 5528–5537. [Google Scholar] [CrossRef]
- Driggers, E.M.; Hale, S.P.; Lee, J.; Terrett, N.K. The exploration of macrocycles for drug discovery—An underexploited structural class. Nat. Rev. Drug Discov. 2008, 7, 608–624. [Google Scholar] [CrossRef]
- Shin, S.B.Y.; Yoo, B.; Todaro, L.J.; Kirshenbaum, K. Cyclic Peptoids. J. Am. Chem. Soc. 2007, 129, 3218–3225. [Google Scholar] [CrossRef] [PubMed]
- D’Amato, A. Bioactivity Relationship in Cyclic Peptoids: An Overview. Eur. J. Org. Chem. 2022, e202200665. [Google Scholar] [CrossRef]
- Schneider, A.; Craven, T.W.; Kasper, A.C.; Yun, C.; Haugbro, M.; Briggs, E.M.; Svetlov, V.; Nudler, E.; Knaut, H.; Bonneau, R.; et al. Design of Peptoid-peptide Macrocycles to Inhibit the β-catenin TCF Interaction in Prostate Cancer. Nat. Commun. 2018, 9, 4396. [Google Scholar] [CrossRef] [PubMed]
- Oh, M.; Lee, J.H.; Moon, H.; Hyun, Y.-J.; Lim, H.-S. A Chemical Inhibitor of the Skp2/p300 Interaction that Promotes p53- Mediated Apoptosis. Angew. Chem. Int. Ed. 2016, 55, 602–606. [Google Scholar] [CrossRef]
- DuBose, M.B.; Sartawi, T.; Sawatzky, T.M.; Causey, C.P.; Rehman, F.K.; Knuckley, B. A peptoid-based inhibitor of protein arginine methyltransferase 1 (PRMT1) induces apoptosis and autophagy in cancer cells. J. Biol. Chem. 2022, 298, 102205. [Google Scholar] [CrossRef]
- Comegna, D.; Benincasa, M.; Gennaro, R.; Izzo, I.; De Riccardis, F. Design, synthesis and antimicrobial properties of non-hemolytic cationic α-cyclopeptoids. Bioorg. Med. Chem. 2010, 18, 2010–2018. [Google Scholar] [CrossRef]
- Huang, M.L.; Shin, S.B.Y.; Benson, M.A.; Torres, V.J.; Kirshenbaum, K. A Comparison of Linear and Cyclic Peptoid Oligomers as Potent Antimicrobial Agents. ChemMedChem 2012, 7, 114–122. [Google Scholar] [CrossRef]
- Huang, M.L.; Benson, M.A.; Shin, S.B.Y.; Torres, V.J.; Kirshenbaum, K. Amphiphilic Cyclic Peptoids That Exhibit Antimicrobial Activity by Disrupting Staphylococcus aureus Membranes. Eur. J. Org. Chem. 2013, 2013, 3560–3566. [Google Scholar] [CrossRef]
- Nam, H.Y.; Choi, J.; Kumar, S.D.; Nielsen, J.E.; Kyeong, M.; Wang, S.; Kang, D.; Lee, Y.; Lee, J.; Yoon, M.-H.; et al. Helicity Modulation Improves the Selectivity of Antimicrobial Peptoids. ACS Infect. Dis. 2020, 6, 2732–2744. [Google Scholar] [CrossRef] [PubMed]
- Nielsen, J.E.; Alford, M.A.; Yung, D.B.Y.; Molchanova, N.; Fortkort, J.A.; Lin, J.S.; Diamond, G.; Hancock, R.E.W.; Jenssen, H.; Pletzer, D.; et al. Self-Assembly of Antimicrobial Peptoids Impacts Their Biological Effects on ESKAPE Bacterial Pathogens. ACS Infect. Dis. 2022, 8, 533–545. [Google Scholar] [CrossRef]
- Caumes, C.; Gillon, E.; Legeret, B.; Taillefumier, C.; Imberty, A.; Faure, S. Multivalent thioglycopeptoids via photoclick chemistry: Potent affinities towards LecA and BC2L-A lectins. Chem. Comm. 2015, 51, 12301–12304. [Google Scholar] [CrossRef] [PubMed]
- Lepage, M.L.; Meli, A.; Bodlenner, A.; Tarnus, C.; De Riccardis, F.; Izzo, I.; Compain, P. Synthesis of the first examples of iminosugar clusters based on cyclopeptoid cores. Beilstein J. Org. Chem. 2014, 10, 1406–1412. [Google Scholar] [CrossRef] [PubMed]
- Lepage, M.L.; Schneider, J.P.; Bodlenner, A.; Meli, A.; De Riccardis, F.; Schmitt, M.; Tarnus, C.; Nguyen-Huynh, N.-T.; Francois, Y.-N.; Leize-Wagner, E.; et al. Iminosugar-Cyclopeptoid Conjugates Raise Multivalent Effect in Glycosidase Inhibition at Unprecedented High Levels. Chem. Eur. J. 2016, 22, 5151–5155. [Google Scholar] [CrossRef]
- D’Amato, A.; Volpe, R.; Vaccaro, M.C.; Terracciano, S.; Bruno, I.; Tosolini, M.; Tedesco, C.; Pierri, G.; Tecilla, P.; Costabile, C.; et al. Cyclic Peptoids as Mycotoxin Mimics: An Exploration of Their Structural and Biological Properties. J. Org. Chem. 2017, 82, 8848–8863. [Google Scholar] [CrossRef]
- Schettini, R.; Tosolini, M.; ur Rehman, J.; Shah, M.R.; Pierri, G.; Tedesco, C.; Della Sala, G.; De Riccardis, F.; Tecilla, P.; Izzo, I. Role of Lipophilicity in the Activity of Hexameric Cyclic Peptoid Ion Carriers. Eur. J. Org. Chem. 2021, 2021, 464–472. [Google Scholar] [CrossRef]
- Schettini, R.; Costabile, C.; Della Sala, G.; Buirey, J.; Tosolini, M.; Tecilla, P.; Vaccaro, M.C.; Bruno, I.; De Riccardis, F.; Izzo, I. Tuning the biomimetic performances of 4-hydroxyproline-containing cyclic peptoids. Org. Biomol. Chem. 2018, 16, 6708–6717. [Google Scholar] [CrossRef]
- Maulucci, N.; Izzo, I.; Bifulco, G.; Aliberti, A.; De Cola, C.; Comegna, D.; Gaeta, C.; Napolitano, A.; Pizza, C.; Tedesco, C.; et al. Synthesis, structures, and properties of nine-, twelve-, and eighteen-membered N-benzyloxyethyl cyclic α-peptoids. Chem. Commun. 2008, 3927–3929. [Google Scholar] [CrossRef]
- De Cola, C.; Licen, S.; Comegna, D.; Cafaro, E.; Bifulco, G.; Izzo, I.; Tecilla, P.; De Riccardis, F. Size-dependent cation transport by cyclic α-peptoid ion carriers. Org. Biomol. Chem. 2009, 7, 2851–2854. [Google Scholar] [CrossRef] [PubMed]
- Hurley, M.F.D.; Northrup, J.D.; Ge, Y.; Schafmeister, C.E.; Voelz, V.A. Metal Cation-Binding Mechanisms of Q-Proline Peptoid Macrocycles in Solution. J. Chem. Inf. Model. 2021, 61, 2818–2828. [Google Scholar] [CrossRef]
- Izzo, I.; Ianniello, G.; De Cola, C.; Nardone, B.; Erra, L.; Vaughan, G.; Tedesco, C.; De Riccardis, F. Structural Effects of Proline Substitution and Metal Binding on Hexameric Cyclic Peptoids. Org. Lett. 2013, 15, 598–601. [Google Scholar] [CrossRef]
- Baskina, M.; Maayan, G. A rationally designed metal-binding helical peptoid for selective recognition processes. Chem. Sci. 2016, 7, 2809–2820. [Google Scholar] [CrossRef]
- De Santis, E.; Edwards, A.A.; Alexander, B.D.; Holder, S.J.; Biesse-Martin, A.-S.; Nielsen, B.V.; Mistry, D.; Waters, L.; Siligardi, G.; Hussain, R.; et al. Selective complexation of divalent cations by a cyclic α,β-peptoid hexamer: A spectroscopic and computational study. Org. Biomol. Chem. 2016, 14, 11371–11380. [Google Scholar] [CrossRef]
- Della Sala, G.; Nardone, B.; De Riccardis, F.; Izzo, I. Cyclopeptoids: A novel class of phase-transfer catalysts. Org. Biomol. Chem. 2013, 11, 726–731. [Google Scholar] [CrossRef]
- Schettini, R.; Nardone, B.; De Riccardis, F.; Della Sala, G.; Izzo, I. Cyclopeptoids as Phase-Transfer Catalysts for the Enantioselective Synthesis of α-Amino Acids. Eur. J. Org. Chem. 2014, 2014, 7793–7797. [Google Scholar] [CrossRef]
- Schettini, R.; De Riccardis, F.; Della Sala, G.; Izzo, I. Enantioselective Alkylation of Amino Acid Derivatives Promoted by Cyclic Peptoids under Phase-Transfer Conditions. J. Org. Chem. 2016, 81, 2494–2505. [Google Scholar] [CrossRef]
- Schettini, R.; D’Amato, A.; De Riccardis, F.; Della Sala, G.; Izzo, I. Catalytic Alkylation of 2-Aryl-2-oxazoline-4-carboxylic Acid Esters Using Cyclopeptoids; Newly Designed Phase-Transfer Catalysts. Synthesis 2017, 49, 1319–1326. [Google Scholar] [CrossRef]
- Schettini, R.; Sicignano, M.; De Riccardis, F.; Izzo, I.; Della Sala, G. Macrocyclic Hosts in Asymmetric Phase-Transfer Catalyzed Reactions. Synthesis 2018, 50, 4777–4795. [Google Scholar] [CrossRef]
- Frązczak, O.; Lasota, A.; Leśniak, A.; Lipkowski, A.W.; Olma, A. The Biological Consequences of Replacing D-Ala in Biphalin with Amphiphilic α-Alkylserines. Chem. Biol. Drug Des. 2014, 84, 199–206. [Google Scholar] [CrossRef]
Disclaimer/Publisher’s Note: The statements, opinions and data contained in all publications are solely those of the individual author(s) and contributor(s) and not of MDPI and/or the editor(s). MDPI and/or the editor(s) disclaim responsibility for any injury to people or property resulting from any ideas, methods, instructions or products referred to in the content. |
© 2023 by the authors. Licensee MDPI, Basel, Switzerland. This article is an open access article distributed under the terms and conditions of the Creative Commons Attribution (CC BY) license (https://creativecommons.org/licenses/by/4.0/).























