Next Article in Journal
Hydrophilic/Hydrophobic Silane Grafting on TiO2 Nanoparticles: Photocatalytic Paint for Atmospheric Cleaning
Previous Article in Journal
Catalysis on Nanostructured Indium Tin Oxide Surface for Fast and Inexpensive Probing of Antibodies during Pandemics
 
 
Font Type:
Arial Georgia Verdana
Font Size:
Aa Aa Aa
Line Spacing:
Column Width:
Background:
Article

Characteristics of High Surface Area Molybdenum Nitride and Its Activity for the Catalytic Decomposition of Ammonia

1
Department of Chemical Engineering, Chungbuk National University, Chungbuk 28644, Korea
2
Department of Chemical Engineering, Pohang University of Science and Technology, Pohang 37673, Korea
3
Department of Energy and Chemical Engineering, Incheon National University, Incheon 22012, Korea
4
Lotte Chemical Research Institute, Daejeon 34110, Korea
*
Authors to whom correspondence should be addressed.
These authors contributed equally to this work.
Catalysts 2021, 11(2), 192; https://doi.org/10.3390/catal11020192
Submission received: 24 December 2020 / Revised: 24 January 2021 / Accepted: 29 January 2021 / Published: 2 February 2021

Abstract

High surface area (>170 m2 g−1) molybdenum nitride was prepared by the temperature-programmed nitridation of α-MoO3 with pure ammonia. The process was optimized by adjusting the experimental variables: the reaction temperature, heating rate, and molar flow rate of ammonia. The physicochemical properties of the as-formed molybdenum nitride were characterized by X-ray diffraction, N2 sorption, transmission electron microscopy, temperature-programmed oxidation/reduction, and X-ray photoelectron spectroscopy. Of the experimental variables, the nitridation temperature was found to be the most critical parameter determining the surface area of the molybdenum nitride. When the prepared molybdenum nitride was exposed to air, the specific surface area rapidly decreased because of the partial oxidation of molybdenum nitride to molybdenum oxynitride. However, the surface area recovered to 90% the initial value after H2 treatment. The catalyst with the highest degree of nitridation showed the best catalytic activity, superior to that of unmodified α-MoO3, for the decomposition of ammonia because of its high surface area.

Graphical Abstract

1. Introduction

Transition metal oxides, carbides, nitrides, and phosphides are widely used as catalysts or catalyst supports [1]. Well-known oxide materials include single component oxides, such as SiO2, Al2O3, TiO2, V2O5, MoO3, and WO3, and their combinations have been used as catalysts and catalyst supports for reactions such as metathesis, isomerization, hydrogenation, and partial oxidation [2]. In addition, transition metal nitrides, such as Si3N4, AlN, TiN, VN, Mo2N, and WN/W2N, and carbides, such as SiC, Al4C3, TiC, VC, Mo2C, and WC/W2C, have been used in cutting tools and refractory materials owing to their high thermal and chemical stabilities, as well as mechanical strengths [3]. Thus, because of their remarkable thermal and chemical stabilities, these materials are potential supports or catalysts for use in heterogeneous catalysis. However, the application of transition metal nitrides and carbides has been limited because of their low specific surface areas, which are a result of sintering during their high-temperature synthesis [4,5]. To use these transition metal nitrides and carbides as catalysts or catalyst supports, it is necessary to maintain a high surface area to increase the reactant–catalyst contact as much as possible. Volpe and Boudart reported the preparation of high surface area Mo2N and W2N through the topotactic nitridation of MoO3 and WO3 with NH3 at high temperatures [6]. Subsequently, the prepared transition metal nitride compounds were reacted under a CH4/H2 atmosphere to prepare carbide counterparts with a high surface area [7]. Since then, various attempts have been made to synthesize high surface area nitride/carbide materials [8,9,10]. For example, binary molybdenum nitrides, such as Fe3Mo3N, Co3Mo3N, and Ni3Mo3N, have been prepared by adding Fe, Co, and Ni, respectively, to high surface area Mo2N to improve its catalytic activity and stability [11,12,13,14].
As a hydrogen storage medium and carrier, ammonia has a relatively low specific energy cost, especially compared to its alternatives [15,16,17]. Thus, the catalytic decomposition of ammonia with energy efficient manner is a key technology to utilize it as a hydrogen carrier. Ru-based catalysts are most active for the decomposition of ammonia and are capable of completely converting ammonia to nitrogen at 450 °C [18,19], but Ru is expensive. Thus, various attempts have been made to replace these precious metal catalysts [20,21,22,23]. As alternative catalyst materials, transition metal nitrides have been widely applied in chemical reactions, such as ammonia synthesis [24,25,26], carbazole hydrodenitrogenation [27], indole hydrodenitrogenation [28], hydrazine decomposition [29], and direct NO decomposition [30]. Stoichiometric Mo2N exists as crystalline γ-, δ-, and β-phases depending on the synthesis conditions, and, in general, molybdenum nitride synthesized from α-MoO3 is γ-Mo2N [31,32].
In this study, molybdenum nitride having a high surface area was prepared by the topotactic conversion of α-MoO3 by ammonia treatment at high temperature, and the catalytic activity of these materials for the decomposition of ammonia were investigated. The reaction parameters, such as the molar hourly space velocity (MHSV, which is defined as the molar rate of pure ammonia per mole of α-MoO3), reaction temperature, or ramping rate most influencing the surface area of the molybdenum nitride prepared was systematically investigated and correlated with the performance of catalytic ammonia decomposition. The prepared molybdenum nitride was characterized by various techniques, and its stability under an oxidizing, reducing, and inert atmosphere was examined.

2. Results and Discussion

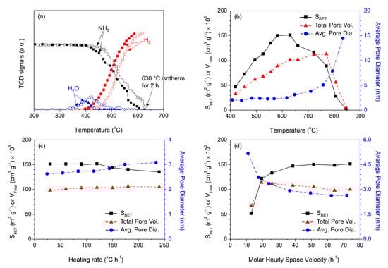
Figure 1a shows the plots of NH3 decomposition and H2 and H2O production during temperature-programmed nitridation, as well as the reduction of α-MoO3 and MoO2, as a function of reaction temperature. H2O, which is generated by the reduction of oxides by NH3, was detected from ca. 320 °C, and the evolution of H2 via the decomposition of NH3 was observed at ca. 400 °C. The evolution of H2 over both oxides started from the peak temperature in the H2O evolution curves, indicating that the decomposition of NH3 proceeds over nitrided α-MoO3 (γ-Mo2N). Dewangan et al. reported that the formation of γ-Mo2N by the nitridation of α-MoO3 with NH3 proceeds via an intermediate γ-Mo2OxN1-x or MoO2 phase [32]. Thus, the hydrogen produced by the initial dissociation of NH3 was not detected and was mostly consumed during the reduction of both oxides. In addition, the decomposition of NH3 and generation of H2 over α-MoO3 require higher temperatures than MoO2 because of the formation of an intermediate γ-Mo2OxN1-x phase from α-MoO3.
The reaction parameters affecting the Brunauer–Emmett–Teller (BET) surface area, total pore volume, and average pore diameter during the nitridation of α-MoO3 were investigated by changing the nitridation temperature, heating rate, and MHSV (Figure 1b–d, respectively). As shown in Figure 1b, the BET surface area of α-MoO3 increased proportionally with increase in nitridation temperature, reaching its maximum value of 150 m2 g−1 at 630 °C; this is approximately 50 times higher than that (3 m2 g−1) of pristine α-MoO3. In line with the increase in the BET surface area, the total pore volume of α-MoO3 increased proportionally to the nitridation temperature up to 770 °C, subsequently decreasing rapidly because of the phase transformation of γ-Mo2N to the other phase, such as β-Mo2N. Wei et al. reported the transformation of γ-Mo2N to β-Mo2N at 600 °C and β-Mo2N to metallic Mo at around 880 °C based on the observation of N2 release in their temperature-programmed reduction (TPR) experiments under flowing H2 [33]. Thus, the reduction of the specific surface area at nitridation temperatures higher than 630 °C can be attributed to the formation of the β-Mo2N phase. However, a continuous increase in the total pore volume up to 770 °C was observed, probably because of the formation of mesopores during the partial transformation of γ-Mo2N to β-Mo2N [34]. The differentiation of γ-Mo2N and β-Mo2N by X-ray diffraction is quite difficult because of the heavy overlap of the characteristic peaks; however, the BET surface areas of γ-Mo2N and β-Mo2N fall into the range of 40–145 and 2–17 m2 g−1, respectively [25,35,36]. Thus, it can be reasonably speculated that the phase change of γ-Mo2N to β-Mo2N occurred at the temperatures higher than 630 °C. The rapid increase in the average pore diameter with associated reduction in the surface area and pore volume over the samples nitrided at temperatures higher than 800 °C is a result of the formation of metallic Mo particles. This can be further supported by the observation of X-ray diffraction peaks corresponding to metallic Mo at the temperatures higher than 800 °C, as shown in Table S1. In fact, the heating rate during high-temperature treatment of oxide materials is an important factor determining the surface area and particle size [2]. Figure 1c shows the textural properties (i.e., BET surface area, total pore volume, and average pore diameter) of α-MoO3 nitrided in flowing NH3 at 630 °C and a MHSV of 6.2 h−1 at different heating rates (30–240 °C h−1). For the nitridation of α-MoO3 in flowing NH3, a low heating rate at temperatures below 450 °C is advantageous for the generation of γ-Mo2OxN1-x and HxMoO3 rather than MoO2 [32]. Under these conditions, the H2 formed by the dissociation of NH3 diffuses into the α-MoO3 lattice and produces the HxMoO3 phase by a topotactic reaction in which the loosely held double-thick layers of [MoO6] octahedra in α-MoO3 are broken by H2 insertion [37]. On the other hand, the fast heating of α-MoO3 below 450 °C disturbs the diffusion of H2 into the α-MoO3 lattice, and, as a result, the decomposition of α-MoO3 to MoO2 dominates. As shown in Figure 1c, the surface area of nitrided α-MoO3 was maintained higher than 150 m2 g−1 when a heating rate of less than 120 °C h−1 was used but steadily reduced at higher heating rates. This implies that the diffusion of H2 is limited at heating rates higher than 120 °C h−1, resulting in the decomposition of α-MoO3 to MoO2. This result is also well correlated with the rapid increase in the average pore diameter of this material at heating rates higher than 120 °C h−1. Unlike the changes in surface area and average pore diameter, the total pore volume of nitrided α-MoO3 hardly changed over the entire range of heating rates. Figure 1d shows the changes in the BET surface area, total pore volume, and average pore diameter of α-MoO3 nitrided with NH3 at 630 °C as a function of MHSV. The α-MoO3 nitrided with NH3 at a low MHSV of 10 h−1 has a relatively low surface area and total pore volume, probably because of the thermal reduction of α-MoO3 to MoO2 at this reaction temperature. Spevack and McIntyre also observed the thermal reduction of α-MoO3 to MoO2 at 600 °C using Raman spectroscopy [38]. The surface area of nitrided α-MoO3 gradually increased with increasing MHSV and leveled off at MHSV values higher than 40 h−1. In addition, the total pore volume of the nitrided sample rapidly increased until the MHSV reached 20 h−1 and was slightly reduced at higher MHSV.
The theoretical mass reduction in the transformation of α-MoO3 to γ-Mo2N is 28.5 wt.%, and the nitrogen content in γ-Mo2N is 6.8 wt.%. As shown in Table S1, the mass reduction occurred below the theoretical value for all nitride samples obtained after nitridation, and, in most cases, the MoO2 phase was detected. Thus, to prevent the rapid surface oxidation of the nitrided sample on exposure to air, the sample was passivated with 1% O2/Ar at room temperature, and the weight difference between the theoretical and practical values of the sample can be explained by oxygen adsorption and diffusion into the nitride samples. Above a nitridation temperature of 700 °C, the MoO2 phase was no longer detected, and only the γ-Mo2N phase was observed by X-ray diffraction (XRD) analysis (Figure S1 and Table S1). The lattice parameter of the sample nitrided at 700 °C was similar (0.4166 nm) to that of stoichiometric γ-Mo2N (a = 0.4165 nm), which has a face-centered cubic (fcc) structure [31,32]. Above a nitridation temperature of 800 °C, metallic Mo was detected by XRD analysis, and this was likely formed by the partial decomposition of γ-Mo2N (Table S1). This formation of metallic Mo caused a rapid decrease in the surface area and total pore volume, and the porous nature of the sample was lost.
Figure 2 shows the N2 adsorption–desorption isotherms of α-MoO3 and the analogous samples nitrided at different temperatures for 7 h. The α-MoO3 sample shows a typical type II isotherm, which is characteristic of non-porous materials [39]. This is further supported by its very low BET surface area (2.8 m2 g−1) and total pore volume (0.007 cm3 g−1). However, the shape of the N2 adsorption–desorption isotherm of nitrided α-MoO3 gradually changed to type IV, characteristic of a mesoporous material, as the nitridation temperature increased from 450 to 700 °C, and the hysteresis loop related to the narrow slit-type pores was observed over all nitrided α-MoO3. The maximum BET surface area (145 m2 g−1) and total pore volume (0.106 cm3 g−1) were observed for α-MoO3 nitrided at 650 °C. The maximum Barrett–Joyner–Halenda (BJH) pore diameter calculated from the N2 adsorption branch also gradually increased from 1.2 to 2.2 nm with the increase in nitridation temperature.
Figure 3 shows the results of simultaneous thermogravimetric (TG)/differential thermal analysis (DTA)–mass spectrometry (MS) analyses of the nitrided α-MoO3 (i.e., γ-Mo2N) under inert, oxidizing, and reducing atmospheres (He, O2, and 20% H2/He, respectively). The TG-DTA traces shown in Figure 3a,b contain three steps of weight loss and changes in the heat flow in flowing O2: 0–250, 250–700, and 700–900 °C, corresponding to the exothermic oxidation of γ-Mo2N to γ-Mo2OxN1-x or MoO2 (14% mass increase), total oxidation to α-MoO3 (5% mass increase), and melting and evaporation of α-MoO3, respectively. The sharp endothermic peak observed in the DTA curve around 800 °C represents the phase transformation of solid α-MoO3 (melting point = 795 °C) to the liquid phase. As shown in Figure 3c, massive consumption of O2 (m/z = 32) and evolution of N2 (m/z = 28) at ca. 450 °C in an oxidizing atmosphere were observed by quadrupole mass spectrometry (QMS), indicating that the total oxidation of γ-Mo2OxN1-x to α-MoO3 occurred at this temperature. This is further confirmed by the fact that only peaks corresponding to α-MoO3 were observed in the XRD pattern (Figure S2c) of γ-Mo2N treated at 700 °C in flowing 5% O2/He (100 cm3 min−1). The theoretical mass increases for the oxidation of γ-Mo2N to MoO2 and α-MoO3 are 24.3% and 39.8%, respectively. The actual mass increase of less than 20% under an O2 atmosphere is probably due to the partial oxidation of the prepared γ-Mo2N to γ-Mo2OxN1-x or MoO2, especially in the surface region during the passivation process. The mass losses observed up to 400 °C under H2 and He atmospheres mainly originate from the reaction adsorbed ammonia on the partially oxidized α-MoO3 (MoO3∙NH3γ-MoOxN1-x), and the mass reduction at temperatures higher than 600 °C is probably due to the phase transformation of γ-Mo2N to β-Mo2N, which is well correlated with the decrease in the surface area of this material, as shown in Figure 1b. However, as shown in Figure S2b, a significant amount of the MoO2 phase was observed after treatment with γ-Mo2N in a flow of pure He (100 cm3 min−1), probably caused by the decomposition of surface γ-Mo2OxN1-x formed during passivation in 1% O2/He to MoO2. The generation of nitrogen-containing compounds (i.e., NO, NO2, and N2O) and H2 below 300 °C in the He atmosphere supports the presence of reaction with adsorbed ammonia and lattice oxygen (Figure 3d). In addition, the increase in N2 release at temperatures higher than 600 °C confirms the phase transformation to the nitrogen-deficient β-Mo2N phase, and this change was more significant under the reducing conditions (20% H2/He), resulting in the higher weight loss shown in Figure 3a.
Figure 4 shows the transmission electron microscopy (TEM) images and selected area electron diffraction (SAED) patterns of α-MoO3 and its nitrided analogs prepared at different temperatures (550–700 °C). α-MoO3 has plate-like morphology with an orthorhombic crystal lattice (a = 3.96, b = 13.86, and c = 3.70 Å) [40]. Because the nitridation proceeds at high temperatures, the generation of new pores observed in the samples is probably due to the extraction of lattice oxygen from the crystalline oxynitride phase. Volpe and Boudart [6] and Jaggers [5] reported that α-MoO3 is transformed to γ-Mo2N under an NH3 atmosphere via a reaction pathway in which γ-Mo2OxN1-x or MoO2 are reaction intermediates. The reaction pathway for α-MoO3 nitridation is mainly dependent on the heating conditions (i.e., temperature and heating rate) [32,41]. In addition, γ-Mo2OxN1-x is known to be transformed to γ-Mo2N at a relatively low nitridation temperature (ca. 500 °C), whereas MoO2 starts to react with NH3 only at temperatures higher than 657 °C and is completely converted to γ-Mo2N at 785 °C [6,31]. This is further supported by the observation of characteristic peaks corresponding to pure γ-Mo2N at 700 °C, as shown in Figure S1.
As shown in Figure 4a, the SAED image of α-MoO3 clearly shows reflections corresponding to the (100), (101), and (001) facets along the [010] direction [5]. After the transformation of α-MoO3 to the fcc-structured γ-Mo2OxN1-x by nitridation at high temperatures, reflections corresponding to the (002), (020), and (022) facets were also observed along the [100] direction [11,32]. Energy dispersive X-ray spectroscopy (EDS) mapping (Figure 4f) shows the uniform distribution of nitrogen on the γ-Mo2N sample prepared at 700 °C by nitridation and also indicates the presence of molybdenum oxynitrides, which are generated during the passivation process. However, the large amount of oxygen observed in the EDS maps of γ-Mo2N prepared at 700 °C suggests the presence of XRD-invisible MoO2 clusters in the sample.
To examine the stability of γ-Mo2N under oxidizing conditions, a sample was exposed to air for up to 60 days, and the textural properties are compared in Figure 5. Compared to the initial surface area (120 m2 g−1) of γ-Mo2N prepared at 700 °C for 7 h, those of the samples exposed to air gradually decreased over time, as did their total pore volumes. After 60 days, we measured the N2 adsorption–desorption isotherm of the γ-Mo2N sample, which revealed a change to a type II nonporous material, as well as reductions in the surface area and total pore volume of 88% and 81%, respectively, compared to the initial values. This is a result of the diffusion of oxygen into the nitride crystal lattice, which results in the formation of molybdenum oxynitride and the observed reduction in pore volume and specific surface area. After exposure to air for seven days, the initial γ-Mo2N phase did not change significantly, as shown by the XRD analysis, which contained no peaks corresponding to molybdenum oxide phases (Figure S3). However, after air exposure for seven days, the reflection corresponding to the (111) facet shifted from 37.4° to 37.2° in 2θ. This small shift (Δ = 0.2°) indicates the expansion of the fcc unit cell from 0.4163 to 0.4180 nm. This volume expansion induced by oxygen diffusion into bulk γ-Mo2N causes pore blocking and, finally, the transformation to γ-Mo2OxN1-x, which results in a decrease in the surface area and total pore volume. However, the oxynitride sample exposed to air recovered the textural properties of the initial nitride (by more than 90% the initial values) after H2 treatment at 500 °C for 2 h (Figure S4).
As shown in Figure 6, the distribution of Mo, N, and O in the γ-Mo2N sample exposed to air for three days was characterized by X-ray photoelectron spectroscopy (XPS) depth profiling analysis. As the sputtering time of the Ar ion beam increased, the concentration of Mo increased and those of N and O decreased. The initial surface ratios of N/Mo and O/Mo in the samples are 0.7 and 0.4, respectively, and these ratios continuously decreased with the increase in sputtering time. The high O/Mo ratio, especially in the surface region, indicates the oxidation of the γ-Mo2N surface during the passivation with air. As Ar ion sputtering proceeded, the ratio of N/Mo and O/Mo gradually decreased and approached the values of Mo2N0.7O0.3.
The XPS results are shown in Figure 7 and Table 1. XPS measurements were performed to investigate the degree of nitridation, reduction of MoO3, and the oxidation state of Mo with respect to the increase in nitridation temperature. The N 1s peak in the spectra was deconvoluted into three peaks: O-N, NH3, and NH4+ species centered at 397.4–397.7, 399.0–399.4, and 401.2–401.3 eV, respectively, and an overlapped Mo 3p3/2 peak (395.2–395.6 eV) was also observed [42,43]. The binding energy of Mo 3p3/2 (398.7 eV) in the unmodified α-MoO3 shifted to lower energy after high-temperature nitridation because of the changes in the oxidation state (Mo6+ → Mo6+, Mo5+, and Mo4+) and electronegativity (3.44 → 3.04, Pauling scale) of the bonding elements. In addition, the intensities of the peaks corresponding to Mo 3p3/2 and O-N increased as high-temperature nitridation proceeded because of the increased proportion of Mo in Mo2N compared to that in α-MoO3 and the presence of γ-Mo2OxN1-x. On the other hand, the peak intensities of adsorbed species, such as NH3 and NH4+, were reduced at higher nitridation temperatures because desorption was easier. The O 1s peaks in the spectra were deconvoluted into three peaks corresponding to O2 (530.6–530.7 eV), OH- (531.8–531.9 eV), and O-N (532.9–533.1 eV) species originating from α-MoO3, adsorbed H2O, and γ-Mo2OxN1-x, respectively [44]. As the nitridation temperature increased, the atomic concentration of O2 and OH- decreased, whereas that of O-N increased. However, of the three components, the peak corresponding to O2 was dominant, suggesting the formation of oxide layers after passivation with dilute O2 and the presence of XRD-invisible MoO2 clusters. The Mo 3d peak was deconvoluted into five peaks, representing Mo6+, Mo5+, Mo4+, Mo-N, and Mo-OH centered at 232.5–232.8, 230.7–230.8, 229.7, 228.9–229.0, and 233.6–233.8 eV, respectively [45,46]. As the nitridation temperature was increased, the atomic concentration of Mo6+ decreased, whereas that of Mo-N increased. Moreover, the peak of Mo-OH was drastically reduced after nitridation at high temperatures.
The conversions of NH3 during the nitridation of α-MoO3 at various temperatures were shown in Figure 8. It is obvious that the nitridation of α-MoO3 and catalytic decomposition of NH3 over nitrided α-MoO3 proceed with the concurrent manner, and their performances are increases with the elevation of temperature. However, a sharp increase of NH3 conversion was observed between 550 and 600 °C, probably due to the facilitated nitridation of α-MoO3. As shown in Figure 1b, the BET surface areas of nitrided α-MoO3 was almost proportional to the temperatures up to 600 °C, while no specific correlation between the surface area and the conversion of NH3 was observed. However, the atomic content of Mo-N species in Mo 3d XPS analysis (Table 1) was 4.7 times increased at this temperature range (550–600 °C) indicating the facilitated structural change from α-MoO3 or Mo2OxN1-x to Mo2N. In addition, the induction period in the conversion of NH3 was observed during the decomposition of NH3 at all temperatures except 700 °C indicating that the transition of α-MoO3 or Mo2OxN1-x to Mo2N still proceeds at the reaction condition.
Figure 9a shows the XRD patterns of molybdenum nitride samples prepared at 650 °C for 7 and 24 h, respectively. It is obvious that the remaining portion of MoO2 on the molybdenum nitride sample reduced at the prolonged reactions (nitridation and NH3 decomposition). In addition, this further nitridation of sample during the reaction conditions results in the increase of both BET surface area and total pore volume (Figure 9b), which are favorable for the catalytic performance of molybdenum nitride (Figure 9c). The apparent activation energies (Ea) of ammonia decomposition between 400 and 525 °C over two molybdenum nitride samples prepared at 650 °C for nitridation times from 7 and 24 h were calculated using the following relationship: −rNH3 = ko exp(Ea/RT)PNH3α. Here, rNH3 is the number of moles of NH3 consumed per second per gram of base MoO3. As shown in Figure 8a, the NH3 conversion was higher over the sample prepared for a longer nitridation time, indicating that the nitridation period is another decisive parameter determining the catalytic activity of molybdenum nitrides. Figure 8b shows the Arrhenius plots for NH3 consumption over the two molybdenum nitride catalysts. The apparent activation energies of ammonia decomposition were calculated to be 28.4 and 29.4 kcal/mol over the samples nitrided for 7 and 24 h, respectively. The activation energies of the molybdenum nitride catalysts were slightly higher than those of molybdenum carbide (21.3 kcal/mol) and supported Ru catalysts (17.9–20.3 kcal/mol) reported in the literature [47]. Overall, the results of this study reveal the potential of high surface area molybdenum nitrides as catalysts for H2 production via ammonia decomposition.

3. Experimental

3.1. Catalyst Preparation

Molybdenum nitride having a high specific surface area was synthesized by the temperature-programmed nitridation of α-MoO3 (Sigma–Aldrich, St. Louis, MO, USA) in a flow of pure ammonia. The optimal synthetic parameters were investigated by changing the pure ammonia flow rate (2–11.5 L h−1), heating rate (30–240 °C h−1), and nitridation temperature (425–846 °C). The molar hourly space velocity (MHSV, h−1) is defined as the molar flow rate of pure ammonia per mole of α-MoO3 as the molybdenum nitride precursor. Typically, pure molybdenum nitride phase was obtained by the nitridation of α-MoO3 at a reaction temperature of 700 °C for 7 h at a heating rate of 200 °C h−1 to 200 °C and 60 °C h−1 to 700 °C in flowing ammonia (10 L h−1 for 1 g of α-MoO3, i.e., MHSV = 64.2 h−1). After cooling, the samples to room temperature in flowing N2 (100 cm3 g−1), passivation was performed using 1% O2/N2 (100 cm3 min−1) for a minimum of 1 h to avoid the rapid oxidation of the external nitride surface.

3.2. Catalyst Characterization

XRD analyses were performed to examine the crystal phases of the prepared catalysts using a D8 Discover with a GADDS detector (Bruker AXS, Billericay, MA, USA). The generator current and voltage were 30 mA and 50 kV, respectively, and Cu Kα X-rays (0.15418 nm) were used. The analyses were carried out between 2θ values of 10° and 90° at a scanning rate of 0.4° min−1. To measure the specific surface area, pore size distribution, and total pore volume of the catalyst used, nitrogen adsorption–desorption measurements were performed at liquid nitrogen temperature (−196 °C) using an ASAP 2020 (Micromeritics, Norcross, GA, USA). The specific surface area was measured in the relative pressure (P/P0) range of 0.05–0.2 using the BET formula. The total pore volume was calculated from the amount of nitrogen adsorbed at P/P0 = 0.995. The pore size distribution was calculated from the adsorption isotherm using the BJH equation. XPS measurements were performed on a PHI Quantera II analyzer (Al Kα =1486.6 Ev, Ulvac-PHI Inc., Chigasaki, Kanagawa, Japan), and the results were used to investigate the electronic states of the surface elements in the molybdenum nitride samples. The binding energy was corrected based on the C 1s peak at 284.6 eV. Changes in the morphology of the catalysts were observed through TEM, and elemental analyses of the catalyst were performed via EDS analysis. SAED measurements were performed to confirm the crystalline phases. An FEI/Talos F200X (Thermo Fisher Scientific, Waltham, MA, USA) was used for TEM measurements, and an Oxford X-Max50 (Oxford Instruments, Abingdon-on-Thames, UK) was used for EDS analyses; Mn Kα radiation ( ≤ 129 eV) produced at an acceleration voltage of 200 kV was used. Samples used for TEM and EDS analyses were dispersed in toluene (>99.8%, SAMCHUN, Pyungtaek, Korea) for 5 min using a small fraction of the prepared catalyst. Temperature-programmed decomposition (TPD) experiments were performed to investigate the decomposition of molybdenum nitride in pure He, O2, and 20% H2/He at flow rates of 100 cm3 min−1. The TPD experiments were carried out at room temperature to 700 °C at a heating rate of 10 °C min−1, and the decomposed gases were analyzed by QMS 200 (Balzers, Nashua, NH, USA). Simultaneous TG-DTA (TA Instruments, New Castle, DE, USA) analyses of molybdenum nitride was performed in flowing helium, pure oxygen, and 20% H2/He at flow rates of 50 cm3 min−1.

3.3. Catalytic Activity Tests

The catalytic activity of molybdenum nitride prepared by the temperature-programmed nitridation of α-MoO3 for ammonia decomposition was tested at atmospheric pressure. The conversion of ammonia is defined using Equation (1).
Conversion   of   ammonia   ( % ) = 2 3 F H 2   produced F NH 3   fed ×   100
Here, FH2 and FNH3 are the molar flow rates of produced hydrogen and reactant ammonia, respectively. The reactants and products (ammonia, hydrogen, and water) were analyzed using nitrogen as carrier gas and a gas chromatograph (Varian 450GC, Varian Inc., Palo Alto, CA, USA) equipped with a Carbosphere-packed column (1/8″ × 1.8 m) and a thermal conductivity detector (TCD).

4. Conclusions

Temperature-programmed nitridation of α-MoO3 was performed to prepare molybdenum nitride with a high surface area (>170 m2 g−1). MoO2 was observed as the intermediate phase. A mixture of molybdenum metal and molybdenum nitride was observed by XRD analyses after the nitridation of α-MoO3 at temperatures over 800 °C, and this phase transformation caused a rapid decrease in the specific surface area. When the prepared molybdenum nitride was exposed to air, the diffusion of oxygen into the bulk nitride resulted in a volume expansion, and a corresponding gradual reduction in the surface area and total pore volume arising from pore blocking was also observed. The easy diffusion of oxygen into the molybdenum nitride resulted in the formation of oxynitrides, but up to 90% of the initial specific surface area was recovered after H2 treatment. The catalytic activity of molybdenum nitride for ammonia decomposition was dependent on the degree of nitridation, and, of the molybdenum nitride samples, that with the highest degree of nitridation showed the highest catalytic activity. The molybdenum nitride obtained by the nitridation at 650 °C for 24 h exhibits the conversion of ammonia higher than 94% at the same temperature without significant catalyst deactivation.

Supplementary Materials

The following are available online at https://www.mdpi.com/2073-4344/11/2/192/s1: Figure S1: XRD patterns of nitride samples obtained after nitridation of MoO3 as a function of (a) reaction temperature and (b) MHSV (h−1) at 650 °C. Standard nitridation conditions: pure ammonia flow rate of 3.36 L h−1 for 0.3 g MoO3 (MHSV = 72 h−1) at heating rates of 200 °C h−1 to 200 °C and 60 °C h−1 to the final temperature, followed by maintenance at this temperature for 7 h. Figure S2: (a) XRD pattern of nitride sample and those after temperature-programmed decomposition of the nitride sample at (b) 700 °C at a heating rate of 10 °C min−1 in flow of pure He (100 cm3 min−1) and at (c) 700 °C at a heating rate of 10 °C min−1 in flow of 5% O2/He (100 cm3 min−1). The nitride sample in (a) was obtained by the nitridation of MoO3 under the following reaction conditions: reaction temperature of 700 °C for 7 h at a heating rate of 60 °C h−1 in pure ammonia at a flow rate of 10 L h−1 for 1 g of MoO3 (MHSV = 64.2 h−1). Figure S3: XRD patterns of molybdenum oxynitride samples exposed to air as a function of exposure time: (a) passivated samples after nitridation at 700 °C for (b) 3, (c) 5, and (d) 7 days; Figure S4: N2 adsorption–desorption isotherms and pore size distribution of molybdenum nitride exposed to air for 60 days and (b) treated at 500 °C for 2 h in pure H2 (30 cm3 min−1); Table S1: Mass variation, chemical compositions, and XRD phases of nitride samples obtained after the nitridation of MoO3 as a function of reaction temperature, heating rate, and MHSV. Nitridation was carried out at the final temperature for 7 h.

Author Contributions

Conceptualization: H.-K.M. and C.-H.S.; methodology: S.-H.B., K.Y., D.-C.K., H.-K.M., and C.-H.S.; investigation: S.-H.B., K.Y., D.-C.K., H.A., M.B.P., H.-K.M., and C.-H.S.; resources: S.-H.B., D.-C.K., and C.-H.S.; data curation: S.-H.B., K.Y., and D.-C.K.; writing—original draft preparation: S.-H.B., K.Y., and D.-C.K.; writing—review and editing: S.-H.B., K.Y., and D.-C.K.; supervision: H.-K.M. and C.-H.S.; project administration: H.-K.M. and C.-H.S.; funding acquisition: C.-H.S. All authors have read and agreed to the published version of the manuscript.

Funding

This research was funded by the Research Year of Chungbuk National University in 2020 and the C1 Gas Refinery Program through the National Research Foundation of Korea (NRF) funded by the Ministry of Science, ICT and Future Planning (2015M3D3A1A01064899).

Institutional Review Board Statement

Not applicable.

Informed Consent Statement

Not applicable.

Data Availability Statement

Not applicable.

Conflicts of Interest

The authors declare no conflict of interest.

References

  1. Alexander, A.-M.; Hargreaves, J.S.J. Alternative catalytic materials: Carbides, nitrides, phosphides and amorphous boron alloys. Chem. Soc. Rev. 2010, 39, 4388–4401. [Google Scholar] [CrossRef] [PubMed]
  2. Kung, H.H. Transition Metal Oxides: Surface Chemistry and Catalysis; Elsevier: Burlington, MA, USA, 1989; Volume 45. [Google Scholar]
  3. Kral, C.; Lengauer, W.; Rafaja, D.; Ettmayer, P. Critical review on the elastic properties of transition metal carbides, nitrides and carbonitrides. J. Alloys Compd. 1998, 265, 215–233. [Google Scholar] [CrossRef]
  4. Oyama, S.T. Transition Metal Carbides, Nitrides, and Phosphides. In Handbook of Heterogeneous Catalysis, 2nd ed.; Ertl, G., Knözinger, H., Weitkamp, J., Eds.; Wiley-VCH, Cop.: Weinheim, Allemagne, 2008; Volume 8, pp. 342–355. [Google Scholar]
  5. Jaggers, C.H.; Michaels, J.N.; Stacy, A.M. Preparation of high-surface-area transition-metal nitrides: Molybdenum nitrides, Mo2N and MoN. Chem. Mater. 1990, 2, 150–157. [Google Scholar] [CrossRef]
  6. Volpe, L.; Boudart, M. Compounds of molybdenum and tungsten with high specific surface area: I. Nitrides. J. Solid State Chem. 1985, 59, 332–337. [Google Scholar] [CrossRef]
  7. Volpe, L.; Boudart, M. Compounds of molybdenum and tungsten with high specific surface area: II. Carbides. J. Solid State Chem. 1985, 59, 338–356. [Google Scholar] [CrossRef]
  8. Shin, C.-H.; Bugli, G.; Djéga-Mariadassou, G. Preparation and characterization of titanium oxynitrides with high specific surface areas. J. Solid State Chem. 1991, 95, 145–155. [Google Scholar] [CrossRef]
  9. Tomas-Garcia, A.L.; Li, Q.; Jensen, J.O.; Bjerrum, N.J. High surface area tungsten carbides: Synthesis, characterization and catalytic activity towards the hydrogen evolution reaction in phosphoric acid at elevated temperatures. Int. J. Electrochem. Sci. 2014, 9, 1016–1032. [Google Scholar]
  10. Iglesia, E.; Ribeirob, F.H.; Boudart, M.; Baumgartner, J.E. Synthesis, characterization, and catalytic properties of clean and oxygen-modified tungsten carbides. Catal. Today 1992, 15, 307–337. [Google Scholar] [CrossRef]
  11. Podila, S.; Zaman, S.F.; Driss, H.; Alhamed, Y.A.; Al-Zahrani, A.A.; Petrov, L.A. Hydrogen production by ammonia decomposition using high surface area Mo2N and Co3Mo3N catalysts. Catal. Sci. Technol. 2016, 6, 1496–1506. [Google Scholar] [CrossRef]
  12. Podila, S.; Zaman, S.F.; Driss, H.; Al-Zahrani, A.A.; Daous, M.A.; Petrov, L.A. High performance of bulk Mo2N and Co3Mo3N catalysts for hydrogen production from ammonia: Role of citric acid to Mo molar ratio in preparation of high surface area nitride catalysts. Int. J. Hydrogen Energy 2017, 42, 8006–8020. [Google Scholar] [CrossRef]
  13. Li, Y.; Zhang, Y.; Raval, R.; Li, C.; Zhai, R.; Xin, Q. The modification of molybdenum nitrides: The effect of the second metal component. Catal. Lett. 1997, 48, 239–245. [Google Scholar] [CrossRef]
  14. Srifa, A.; Okura, K.; Okanishi, T.; Muroyama, H.; Matsui, T.; Eguchi, K. COx-free hydrogen production via ammonia decomposition over molybdenum nitride-based catalysts. Catal. Sci. Technol. 2016, 6, 7495–7504. [Google Scholar] [CrossRef]
  15. Klerke, A.; Christensen, C.H.; Norskov, J.K.; Vegge, T. Ammonia for hydrogen storage: Challenges and opportunities. J. Mat. Chem. 2008, 18, 2304–2310. [Google Scholar] [CrossRef]
  16. Zamfirescu, C.; Dincer, I. Using ammonia as a sustainable fuel. J. Power Sources 2008, 185, 459–465. [Google Scholar] [CrossRef]
  17. Mukherjee, S.; Devaguptapu, S.V.; Sviripa, A.; Lund, C.R.F.; Wu, G. Low-temperature ammonia decomposition catalysts for hydrogen generation. Appl. Catal. B Environ. 2018, 226, 162–181. [Google Scholar] [CrossRef]
  18. Hill, A.K.; Torrente-Murciano, L. Low temperature H2 production from ammonia using ruthenium-based catalysts: Synergetic effect of promoter and support. Appl. Catal. B Environ. 2015, 172–173, 129–135. [Google Scholar] [CrossRef]
  19. Yin, S.-F.; Zhang, Q.-H.; Xu, B.-Q.; Zhu, W.-X.; Ng, C.-F.; Au, C.-T. Investigation on the catalysis of COx-free hydrogen generation from ammonia. J. Catal. 2004, 224, 384–396. [Google Scholar] [CrossRef]
  20. Duan, X.; Qian, G.; Zhou, X.; Sui, Z.; Chen, D.; Yuan, W. Tuning the size and shape of Fe nanoparticles on carbon nanofibers for catalytic ammonia decomposition. Appl. Catal. B Environ. 2011, 101, 189–196. [Google Scholar] [CrossRef]
  21. Bell, T.E.; Torrente-Murciano, L. H2 production via ammonia decomposition using non-noble metal catalysts: A review. Top. Catal. 2016, 59, 1438–1457. [Google Scholar] [CrossRef]
  22. Gurram, V.R.B.; Enumula, S.S.; Chada, R.R.; Koppadi, K.S.; Burri, D.R.; Kamaraju, S.R.R. Synthesis and industrial catalytic applications of binary and ternary molybdenum nitrides: A review. Catal. Surv. Asia 2018, 22, 166–180. [Google Scholar] [CrossRef]
  23. Lendzion-Bielun, Z.; Narkiewicz, U.; Arabczyk, W. Cobalt-based catalysts for ammonia decomposition. Materials 2013, 6, 2400–2409. [Google Scholar] [CrossRef] [PubMed]
  24. Zeinalipour-Yazdi, C.D.; Hargreaves, J.S.J.; Catlow, C.R.A. Low-T Mechanisms of ammonia synthesis on Co3Mo3N. J. Phys. Chem. C 2018, 122, 6078–6082. [Google Scholar] [CrossRef]
  25. Mckay, D.; Hargreaves, J.S.J.; Rico, J.L.; Rivera, J.L.; Sun, X.-L. The influence of phase and morphology of molybdenum nitrides on ammonia synthesis activity and reduction characteristics. J. Solid State Chem. 2008, 181, 325–333. [Google Scholar] [CrossRef]
  26. Nishibyashi, Y. Molybdenum-catalyzed reduction of molecular dinitrogen into ammonia under ambient reaction conditions. C.R. Chimie 2015, 18, 776–784. [Google Scholar] [CrossRef]
  27. Nagai, M.; Goto, Y.; Miyata, A.; Kiyoshi, M.; Hada, K.; Oshikawa, K.; Omi, S. Temperature-programmed reduction and XRD studies of ammonia-treated molybdenum oxide and its activity for carbazole hydrodenitrogenation. J. Catal. 1992, 182, 292–301. [Google Scholar] [CrossRef]
  28. Li, S.; Lee, J.S. Molybdenum nitride and carbide prepared from heteropolyacid. II. Hydrodenitrogenation of indole. J. Catal. 1998, 173, 134–144. [Google Scholar]
  29. Chen, X.; Zhang, T.; Zheng, M.; Wu, Z.; Wu, W.; Li, C. The reaction route and active site of catalytic decomposition of hydrazine over molybdenum nitride catalyst. J. Catal. 2004, 224, 473–478. [Google Scholar] [CrossRef]
  30. He, H.; Dai, H.X.; Ngan, K.Y.; Au, C.T. Molybdenum nitride for the direct decomposition of NO. Catal. Lett. 2001, 71, 147–153. [Google Scholar] [CrossRef]
  31. Inumaru, K.; Baba, K.; Yamanaka, S. Synthesis and characterization of superconducting β-Mo2N crystalline phase on a Si substrate: An application of pulsed laser deposition to nitride chemistry. Chem. Mater. 2005, 17, 5935–5940. [Google Scholar] [CrossRef]
  32. Dewangan, K.; Patil, S.S.; Joag, D.S.; More, M.A.; Gajbhiye, N.S. Topotactical nitridation of α-MoO3 fibers to γ-Mo2N fibers and its field emission properties. J. Phys. Chem. C 2010, 114, 14710–14715. [Google Scholar] [CrossRef]
  33. Wei, Z.B.; Xin, Q.; Grange, P.; Delmon, B. Surface species and the stability of γ-Mo2N. Solid State Ion. 1997, 101–103, 761–767. [Google Scholar] [CrossRef]
  34. Cárdenas-Lizana, F.; Gómez-Quero, S.; Perret, N.; Kiwi-Minsker, L.; Keane, M.A. β-Molybdenum nitride: Synthesis mechanism and catalytic response in the gas phase hydrogenation of p-chloronitrobenzene. Catal. Sci. Technol. 2011, 1, 794–801. [Google Scholar]
  35. Cárdenas-Lizana, F.; Lamey, D.; Kiwi-Minsker, L.; Keane, M.A. Molybdenum nitrides: A study of synthesis variables and catalytic performance in acetylene hydrogenation. J. Mater. Sci. 2018, 53, 6707–6718. [Google Scholar] [CrossRef]
  36. Gong, S.; Chen, H.; Li, W.; Li, B. Synthesis of β-Mo2N0.78 hydrodesulfurization catalyst in mixtures of nitrogen and hydrogen. Appl. Catal. A Gen. 2005, 279, 257–261. [Google Scholar] [CrossRef]
  37. Choi, J.-G.; Brenner, J.R.; Colling, C.W.; Demczyk, B.G.; Dunning, J.L.; Thompson, L.T. Synthesis and characterization of molybdenum nitride hydrodenitrogenation catalysts. Catal. Today 1992, 15, 201–222. [Google Scholar] [CrossRef]
  38. Spevack, P.A.; Mclntyre, N.S. Thermal reduction of molybdenum trioxide. J. Phys. Chem. 1992, 96, 9029–9035. [Google Scholar] [CrossRef]
  39. Gregg, S.J.; Sing, K.S.W. Adsorption, Surface Area and Porosity; Academic Press: London, UK, 1982; ISBN 9780123009500. [Google Scholar]
  40. Chen, J.; Wei, Q. Phase transformation of molybdenum trioxide to molybdenum dioxide: An in-situ transmission electron microscopy investigation. Int. J. Appl. Ceram. Technol. 2017, 14, 1020–1025. [Google Scholar] [CrossRef]
  41. Choi, J.-G.; Curl, R.L.; Thompson, L.T. Molybdenum nitride catalysts I. Influence of the synthesis factors on structural properties. J. Catal. 1994, 146, 218–227. [Google Scholar] [CrossRef]
  42. Lee, K.-H.; Lee, Y.-W.; Kwak, D.-H.; Moon, J.-S.; Park, A.-R.; Hwang, E.-T.; Park, K.-W. Single-crystalline mesoporous Mo2N nanobelts with an enhanced electrocatalytic activity for oxygen reduction reaction. Mater. Lett. 2014, 124, 231–234. [Google Scholar]
  43. Clayton, C.R. Passivity Mechanisms in Stainless Steels: Mo-N Synergism; State University of New York at Stony Brook, Department of Materials Science and Engineering, Stony Brook: New York, NY, USA, 1986. [Google Scholar]
  44. Yuan, Y.; Zhang, B.; Sun, J.; Jonnard, P.; Le Guen, K.; Tu, Y.; Yan, C.; Lan, R. Structure and optical properties of CrOxNy films with composition modulation. Surf. Eng. 2019, 36, 411–417. [Google Scholar] [CrossRef]
  45. Su, D.; Zhang, X.; Wu, A. CoO-Mo2N hollow heterostructure for high-efficiency electrocatalytic hydrogen evolution reaction. NPG Asia Mater. 2019, 11, 78. [Google Scholar] [CrossRef]
  46. Wei, Z.B.Z.; Grange, P.; Delmon, B. XPS and XRD studies of fresh and sulfided Mo2N. Appl. Surf. Sci. 1998, 135, 107–114. [Google Scholar] [CrossRef]
  47. Zheng, W.; Cotter, T.P.; Kaghazchi, P.; Jacob, T.; Frank, B.; Schlichte, K.; Zhang, W.; Su, D.S.; Schüth, F.; Schlӧgl, R. Experimental and theoretical investigation of molybdenum carbide and nitride as catalysts for ammonia decomposition. J. Am. Chem. Soc. 2013, 135, 3458–3464. [Google Scholar] [CrossRef] [PubMed]
Figure 1. (a) NH3 decomposition and production of H2O and H2 during the temperature-programmed nitridation of α-MoO3 (open symbols) and MoO2 (closed symbols) from 200 to 630 °C for 2 h. Standard nitridation conditions were an MHSV of 64.2 h−1 (10 L h−1 for 1 g α-MoO3) at heating rates of 200 °C h−1 to 200 °C and then 30 °C h−1 to 630 °C followed by maintenance at this temperature for 2 h. (bd) Changes in textural properties of nitride samples obtained after the nitridation of α-MoO3 as a function of (b) reaction temperature at a heating rate of 30 °C h−1 and MHSV of 64.2 h−1, (c) heating rate (heating to 630 °C at an MHSV of 64.2 h−1), and (d) MHSV (heating at a rate of 90 °C h−1).
Figure 1. (a) NH3 decomposition and production of H2O and H2 during the temperature-programmed nitridation of α-MoO3 (open symbols) and MoO2 (closed symbols) from 200 to 630 °C for 2 h. Standard nitridation conditions were an MHSV of 64.2 h−1 (10 L h−1 for 1 g α-MoO3) at heating rates of 200 °C h−1 to 200 °C and then 30 °C h−1 to 630 °C followed by maintenance at this temperature for 2 h. (bd) Changes in textural properties of nitride samples obtained after the nitridation of α-MoO3 as a function of (b) reaction temperature at a heating rate of 30 °C h−1 and MHSV of 64.2 h−1, (c) heating rate (heating to 630 °C at an MHSV of 64.2 h−1), and (d) MHSV (heating at a rate of 90 °C h−1).
Catalysts 11 00192 g001
Figure 2. N2 adsorption–desorption isotherms of (a) α-MoO3 and nitrided samples prepared by nitridation of α-MoO3 in pure ammonia flow at (bf) 450, 550, 600, 650, and 700 °C, respectively. Nitridation conditions: pure ammonia flow rate of 3.4 L h−1 for 0.3 g α-MoO3 at a heating rate of 200 °C h−1 to 200 °C and, then, 60 °C h−1 to the final temperature, followed by maintenance at that temperature for 7 h. Insets shows Barrett–Joyner–Halenda pore size distribution calculated from adsorption branch.
Figure 2. N2 adsorption–desorption isotherms of (a) α-MoO3 and nitrided samples prepared by nitridation of α-MoO3 in pure ammonia flow at (bf) 450, 550, 600, 650, and 700 °C, respectively. Nitridation conditions: pure ammonia flow rate of 3.4 L h−1 for 0.3 g α-MoO3 at a heating rate of 200 °C h−1 to 200 °C and, then, 60 °C h−1 to the final temperature, followed by maintenance at that temperature for 7 h. Insets shows Barrett–Joyner–Halenda pore size distribution calculated from adsorption branch.
Catalysts 11 00192 g002
Figure 3. (a) TGA and (b) DTA curves of γ-Mo2N in flowing helium, pure O2, and 20% H2/He (50 cm3 min−1). Evolution of fragment ions observed by QMS during the temperature-programmed decomposition of γ-Mo2N in flowing (c) 5% O2/He (100 cm3 min−1) and (d) pure He. This nitride sample was obtained by the nitridation of α-MoO3 at a reaction temperature of 700 °C for 7 h at a heating rate of 60 °C h−1 in flowing ammonia (10 L h−1 for 1 g of α-MoO3, i.e., MHSV = 64.2 h−1).
Figure 3. (a) TGA and (b) DTA curves of γ-Mo2N in flowing helium, pure O2, and 20% H2/He (50 cm3 min−1). Evolution of fragment ions observed by QMS during the temperature-programmed decomposition of γ-Mo2N in flowing (c) 5% O2/He (100 cm3 min−1) and (d) pure He. This nitride sample was obtained by the nitridation of α-MoO3 at a reaction temperature of 700 °C for 7 h at a heating rate of 60 °C h−1 in flowing ammonia (10 L h−1 for 1 g of α-MoO3, i.e., MHSV = 64.2 h−1).
Catalysts 11 00192 g003
Figure 4. TEM images and SAED patterns of (a) commercial α-MoO3 and nitrided samples treated at (bd) 550, 600, and 700 °C, respectively; (e) α-MoO3 and nitrided samples treated at 700 °C; and (f) EDS mapping of the nitrided sample shown in (e). Nitridation conditions: pure ammonia flow rate of 3.4 L h−1 for 0.3 g α-MoO3 (MHSV = 72 h−1) at heating rates of 200 °C h−1 to 200 °C and 60 °C h−1 to the final temperature, followed by maintenance at that temperature for 7 h.
Figure 4. TEM images and SAED patterns of (a) commercial α-MoO3 and nitrided samples treated at (bd) 550, 600, and 700 °C, respectively; (e) α-MoO3 and nitrided samples treated at 700 °C; and (f) EDS mapping of the nitrided sample shown in (e). Nitridation conditions: pure ammonia flow rate of 3.4 L h−1 for 0.3 g α-MoO3 (MHSV = 72 h−1) at heating rates of 200 °C h−1 to 200 °C and 60 °C h−1 to the final temperature, followed by maintenance at that temperature for 7 h.
Catalysts 11 00192 g004
Figure 5. Changes in (a) textural properties and (b) N2 adsorption–desorption isotherms of nitride sample as a function of exposure time in air. The inset image shows the BJH pore size distribution calculated from the adsorption branch. The nitride samples were prepared by heating 1 g α-MoO3 at 700 °C for 7 h at heating rates of 200 °C h−1 to 200 °C and 60 °C h−1 to the final temperature in pure ammonia at a flow rate of 3.4 L h−1 (MHSV = 21.6 h−1).
Figure 5. Changes in (a) textural properties and (b) N2 adsorption–desorption isotherms of nitride sample as a function of exposure time in air. The inset image shows the BJH pore size distribution calculated from the adsorption branch. The nitride samples were prepared by heating 1 g α-MoO3 at 700 °C for 7 h at heating rates of 200 °C h−1 to 200 °C and 60 °C h−1 to the final temperature in pure ammonia at a flow rate of 3.4 L h−1 (MHSV = 21.6 h−1).
Catalysts 11 00192 g005
Figure 6. (a) X-ray photoelectron spectroscopy depth profiles of the major elements in γ-Mo2N, and (b) O/Mo and N/Mo atomic ratios as a function of Ar ion sputtering time. Depth profiles were obtained by Ar ion sputtering at 0.03 nm s−1. γ-Mo2N obtained by temperature-programmed nitridation of 1.0 g α-MoO3 at 700 °C for 7 h in pure NH3 at a flow rate of 3.4 L h−1.
Figure 6. (a) X-ray photoelectron spectroscopy depth profiles of the major elements in γ-Mo2N, and (b) O/Mo and N/Mo atomic ratios as a function of Ar ion sputtering time. Depth profiles were obtained by Ar ion sputtering at 0.03 nm s−1. γ-Mo2N obtained by temperature-programmed nitridation of 1.0 g α-MoO3 at 700 °C for 7 h in pure NH3 at a flow rate of 3.4 L h−1.
Catalysts 11 00192 g006
Figure 7. (A) N 1s and Mo 3p3/2, (B) O 1s, and (C) Mo 3d XPS spectra of (a) α-MoO3 and molybdenum nitride samples prepared by nitridation of α-MoO3 at (b–e) 550, 600, 650, and 700 °C, respectively, in pure ammonia flow.
Figure 7. (A) N 1s and Mo 3p3/2, (B) O 1s, and (C) Mo 3d XPS spectra of (a) α-MoO3 and molybdenum nitride samples prepared by nitridation of α-MoO3 at (b–e) 550, 600, 650, and 700 °C, respectively, in pure ammonia flow.
Catalysts 11 00192 g007
Figure 8. Evolution of NH3 conversion during the temperature programmed nitridation of α-MoO3 at different temperatures in flowing pure ammonia, 3.4 L h−1 for 0.3 g of α-MoO3; (a) 450, (b) 500, (c) 550, (d) 600, (e) 650, and (f) 700 °C.
Figure 8. Evolution of NH3 conversion during the temperature programmed nitridation of α-MoO3 at different temperatures in flowing pure ammonia, 3.4 L h−1 for 0.3 g of α-MoO3; (a) 450, (b) 500, (c) 550, (d) 600, (e) 650, and (f) 700 °C.
Catalysts 11 00192 g008
Figure 9. (a) XRD patterns, (b) N2 adsorption-desorption isotherms, (c) catalytic activity of molybdenum nitride as a function of reaction temperature in the decomposition of ammonia, and (d) Arrhenius’ plot of NH3 consumption over molybdenum nitride catalysts from 400 to 525 °C. The molybdenum nitride samples were prepared in pure ammonia flow (3.4 L h−1) using 0.3 g α-MoO3 at heating rates of 5 °C min−1 to 200 °C and 1 °C min−1 to 650 °C followed by maintenance at that temperature for 7 or 24 h.
Figure 9. (a) XRD patterns, (b) N2 adsorption-desorption isotherms, (c) catalytic activity of molybdenum nitride as a function of reaction temperature in the decomposition of ammonia, and (d) Arrhenius’ plot of NH3 consumption over molybdenum nitride catalysts from 400 to 525 °C. The molybdenum nitride samples were prepared in pure ammonia flow (3.4 L h−1) using 0.3 g α-MoO3 at heating rates of 5 °C min−1 to 200 °C and 1 °C min−1 to 650 °C followed by maintenance at that temperature for 7 or 24 h.
Catalysts 11 00192 g009
Table 1. Binding energies and atomic percentages obtained from the XPS analyses of (a) α-MoO3 and molybdenum nitrides prepared at (b–e) 550, 600, 650, and 700 °C, respectively.
Table 1. Binding energies and atomic percentages obtained from the XPS analyses of (a) α-MoO3 and molybdenum nitrides prepared at (b–e) 550, 600, 650, and 700 °C, respectively.
SampleN 1sO 1sMo 3d
Binding Energy (eV), (at.%)Binding Energy (eV), (at.%) Binding Energy (eV), (at.%)
Mo 3p3/2O-NNH3NH4+O2−OH-O-NMo-NMo4+Mo5+Mo6+Mo-OH
(a) MoO3398.7 (100)---530.7 (88.1)531.9 (11.9)----232.8 (77.8)233.7 (22.2)
(b) MN (550) 1395.6 (41.9)397.4 (29.5)399.0 (24.1)401.2 (4.5)530.6 (69.4)531.8 (21.7)533.1 (8.9)229.0 (5.1)229.7 (36.5)230.8 (20.5)232.5 (32.7)233.6 (5.2)
(c) MN (600)395.2 (44.0)397.5 (33.6)399.2 (17.9)401.2 (4.5)530.6 (69.2)531.8 (21.1)532.9 (9.7)229.0 (24.2)229.7 (20.5)230.8 (18.7)232.7 (31.5)233.8 (5.1)
(d) MN (650)395.2 (46.9)397.6 (33.8)399.2 (15.1)401.3 (4.2)530.7 (68.8)531.9 (20.8)532.9 (10.4)228.9 (32.7)229.7 (19.7)230.8 (17.2)232.7 (25.5)233.8 (4.9)
(e) MN (700)395.2 (49.4)397.7 (34.1)399.4 (13.1)401.3 (3.4)530.7 (68.1)531.8 (20.5)532.9 (11.4)228.9 (34.2)229.7 (19.3)230.7 (17.1)232.7 (25.0)233.8 (4.4)
1 Values in parentheses denote the nitridation temperature in degrees Celsius.
Publisher’s Note: MDPI stays neutral with regard to jurisdictional claims in published maps and institutional affiliations.

Share and Cite

MDPI and ACS Style

Baek, S.-H.; Yun, K.; Kang, D.-C.; An, H.; Park, M.B.; Shin, C.-H.; Min, H.-K. Characteristics of High Surface Area Molybdenum Nitride and Its Activity for the Catalytic Decomposition of Ammonia. Catalysts 2021, 11, 192. https://doi.org/10.3390/catal11020192

AMA Style

Baek S-H, Yun K, Kang D-C, An H, Park MB, Shin C-H, Min H-K. Characteristics of High Surface Area Molybdenum Nitride and Its Activity for the Catalytic Decomposition of Ammonia. Catalysts. 2021; 11(2):192. https://doi.org/10.3390/catal11020192

Chicago/Turabian Style

Baek, Seo-Hyeon, Kyunghee Yun, Dong-Chang Kang, Hyejin An, Min Bum Park, Chae-Ho Shin, and Hyung-Ki Min. 2021. "Characteristics of High Surface Area Molybdenum Nitride and Its Activity for the Catalytic Decomposition of Ammonia" Catalysts 11, no. 2: 192. https://doi.org/10.3390/catal11020192

APA Style

Baek, S.-H., Yun, K., Kang, D.-C., An, H., Park, M. B., Shin, C.-H., & Min, H.-K. (2021). Characteristics of High Surface Area Molybdenum Nitride and Its Activity for the Catalytic Decomposition of Ammonia. Catalysts, 11(2), 192. https://doi.org/10.3390/catal11020192

Note that from the first issue of 2016, this journal uses article numbers instead of page numbers. See further details here.

Article Metrics

Back to TopTop