Preparation of Immobilized Lipase on Silica Clay as a Potential Biocatalyst on Synthesis of Biodiesel
Abstract
1. Introduction
2. Results and Discussion
2.1. Characterization of the Modification and Immobilization
2.2. Optimization of the Immobilization Process
2.3. Immolization of Lipase on Modified Silica Clay
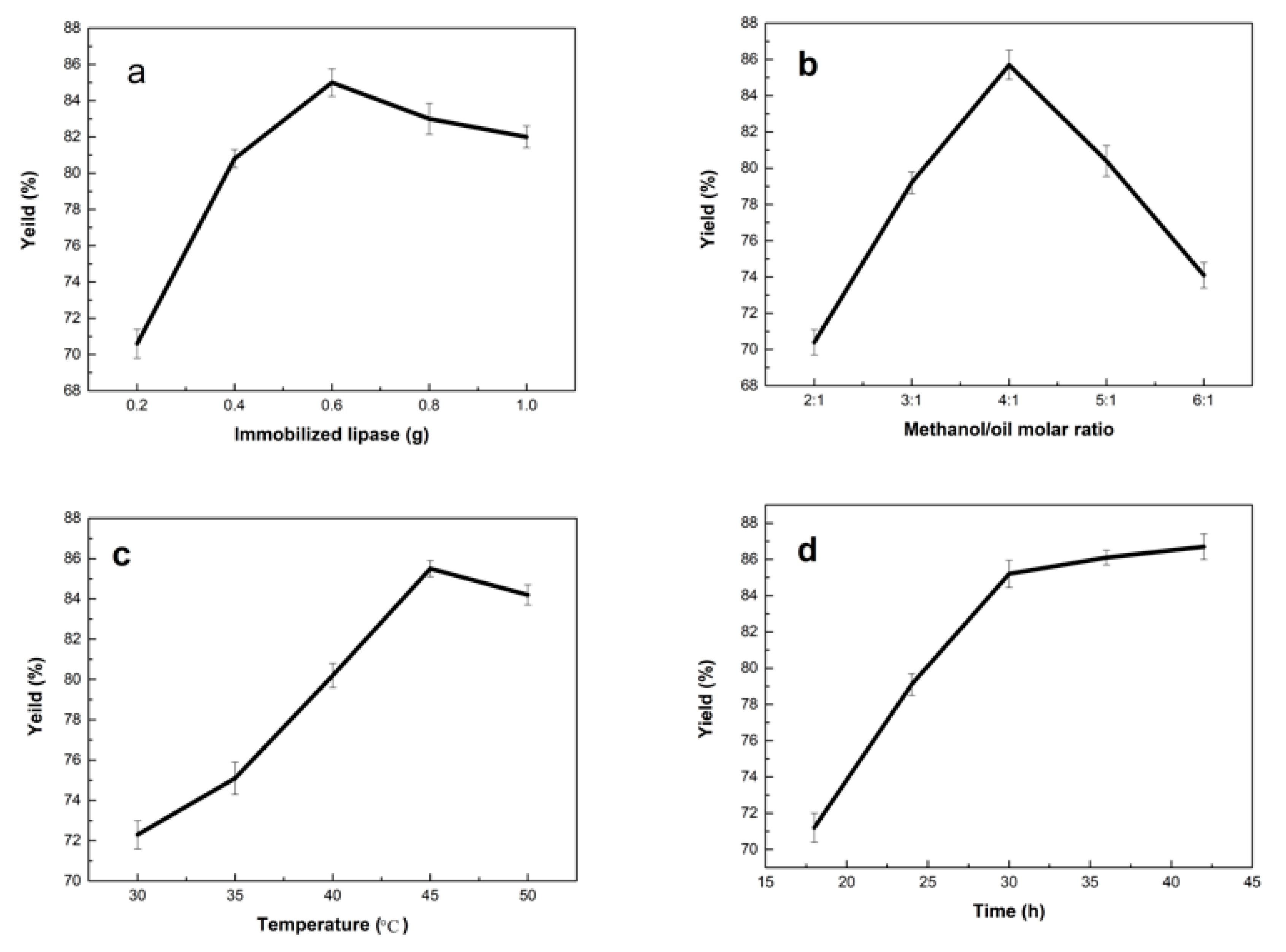
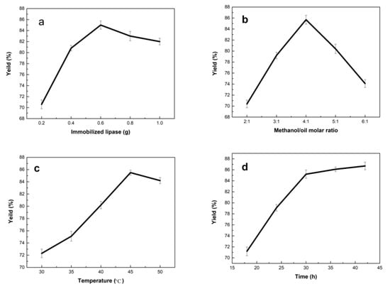
2.4. Application of Lip–Glu–A-SC for Synthesis of Biodiesel
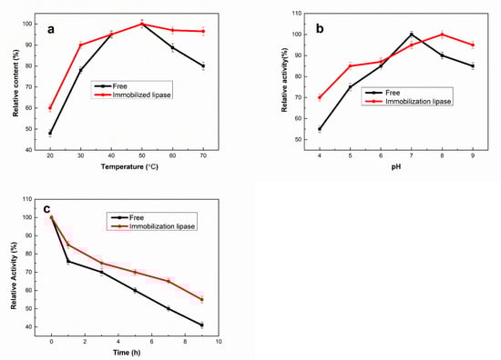
2.5. Reusability of Lip–Glu–A-SC
3. Materials and Methods
3.1. Materials and Reagents
3.2. Modification of Silica Clay and Immobilization of Lipase
3.2.1. Modification of Silica Clay
3.2.2. Immobilization Process
3.3. Application of Lip–Glu–A-SC for Biodiesel Preparation
3.4. Hydrolytic Activity Assay
3.5. Determination of Immobilization Efficiency
3.6. Characterization
4. Conclusions
Supplementary Materials
Author Contributions
Funding
Acknowledgments
Conflicts of Interest
References
- Zhang, Y.; Dubé, M.; McLean, D.; Kates, M. Biodiesel production from waste cooking oil: 1. Process design and technological assessment. Bioresour. Technol. 2003, 89, 1–16. [Google Scholar] [CrossRef]
- Xie, W.; Huang, M. Immobilization of Candida rugosa lipase onto graphene oxide Fe 3 O 4 nanocomposite: Characterization and application for biodiesel production. Energy Convers. Manag. 2018, 159, 42–53. [Google Scholar] [CrossRef]
- Nayak, M.G.; Vyas, A.P. Optimization of microwave-assisted biodiesel production from Papaya oil using response surface methodology. Renew. Energy 2019, 138, 18–28. [Google Scholar] [CrossRef]
- Halek, F.S.; Delavari, A.; Kavousi-Rahim, A. Production of biodiesel as a renewable energy source from castor oil. Clean Technol. Environ. Policy 2012, 15, 1063–1068. [Google Scholar] [CrossRef]
- Miladinović, M.R.; Stojković, I.J.; Veličković, A.V.; Stamenković, O.S.; Banković-Ilić, I.B.; Veljković, V.B. Optimization and kinetic modeling of waste lard methanolysis in a continuous reciprocating plate reactor. Chin. J. Chem. Eng. 2019, 27, 2481–2490. [Google Scholar] [CrossRef]
- Chakraborty, R.; Gupta, A.; Chowdhury, R. Conversion of slaughterhouse and poultry farm animal fats and wastes to biodiesel: Parametric sensitivity and fuel quality assessment. Renew. Sustain. Energy Rev. 2014, 29, 120–134. [Google Scholar] [CrossRef]
- Soufi, M.D.; Ghobadian, B.; Mousavi, S.M.; Najafi, G.; Aubin, J. Valorization of waste cooking oil based biodiesel for biolubricant production in a vertical pulsed column: Energy efficient process approach. Energy 2019, 189, 116266. [Google Scholar] [CrossRef]
- Dhawane, S.H.; Kumar, T.; Halder, G. Process optimisation and parametric effects on synthesis of lipase immobilised carbonaceous catalyst for conversion of rubber seed oil to biodiesel. Energy Convers. Manag. 2018, 176, 55–68. [Google Scholar] [CrossRef]
- Wang, Y.-T.; Fang, Z.; Zhang, F. Esterification of oleic acid to biodiesel catalyzed by a highly acidic carbonaceous catalyst. Catal. Today 2019, 319, 172–181. [Google Scholar] [CrossRef]
- Kumar, D.; Das, T.; Giri, B.S.; Verma, B. Preparation and characterization of novel hybrid bio-support material immobilized from Pseudomonas cepacia lipase and its application to enhance biodiesel production. Renew. Energy 2020, 147, 11–24. [Google Scholar] [CrossRef]
- Nicoletti, G.; Cipolatti, E.P.; Valério, A.; Carbonera, N.G.; Soares, N.S.; Theilacker, E.; Ninow, J.L.; Oliveira, D. Evaluation of different methods for immobilization of Candida antarctica lipase B (CalB lipase) in polyurethane foam and its application in the production of geranyl propionate. Bioprocess Biosyst. Eng. 2015, 38, 1739–1748. [Google Scholar] [CrossRef] [PubMed]
- Cui, J.; Sun, B.; Lin, T.; Feng, Y.; Jia, S. Enzyme shielding by mesoporous organosilica shell on Fe3O4@silica yolk-shell nanospheres. Int. J. Biol. Macromol. 2018, 117, 673–682. [Google Scholar] [CrossRef] [PubMed]
- Katiyar, M.; Ali, A. Immobilization of Candida rugosa lipase on MCM-41 for the transesterification of cotton seed oil. J. Oleo Sci. 2012, 61, 469–475. [Google Scholar] [CrossRef]
- Sun, S.; Li, K. Biodiesel production from phoenix tree seed oil catalyzed by liquid lipozyme TL100L. Renew. Energy 2020, 151, 152–160. [Google Scholar] [CrossRef]
- Norjannah, B.; Ong, H.C.; Masjuki, H.H.; Juan, J.C.; Chong, W.T. Enzymatic transesterification for biodiesel production: A comprehensive review. RSC Adv. 2016, 6, 60034–60055. [Google Scholar] [CrossRef]
- Datta, S.; Christena, L.R.; Rajaram, Y.R.S. Enzyme immobilization: An overview on techniques and support materials. 3 Biotech 2013, 3, 1–9. [Google Scholar] [CrossRef] [PubMed]
- Noureddini, H.; Gao, X.; Philkana, R. Immobilized Pseudomonas cepacia lipase for biodiesel fuel production from soybean oil. Bioresour. Technol. 2005, 96, 769–777. [Google Scholar] [CrossRef]
- Çakmak, R.; Topal, G.; Çınar, E. Covalent Immobilization of Candida rugosa Lipase on Epichlorohydrin-Coated Magnetite Nanoparticles: Enantioselective Hydrolysis Studies of Some Racemic Esters and HPLC Analysis. Appl. Biochem. Biotechnol. 2020, 191, 1411–1431. [Google Scholar] [CrossRef]
- Bonet-Ragel, K.; Canet, A.; Benaiges, M.D.; Valero, F. Synthesis of biodiesel from high FFA alperujo oil catalysed by immobilized lipase. Fuel 2015, 161, 12–17. [Google Scholar] [CrossRef]
- Song, D.W.; Chen, M.; Cheng, H.M. Collagen-immobilized lipases show good activity and reusability for butyl butyrate synthesis. Appl. Biochem. Biotechnol. 2016, 15, 1–15. [Google Scholar]
- Xie, W.; Ma, N. Immobilized Lipase on Fe3O4Nanoparticles as Biocatalyst for Biodiesel Production. Energy Fuels 2009, 23, 1347–1353. [Google Scholar] [CrossRef]
- Machado, N.B.; Miguez, J.P.; Bolina, I.C.; Salviano, A.B.; Gomes, R.A.; Tavano, O.L.; Luiz, J.H.; Tardioli, P.W.; Érika, C.C.; Mendes, A.A. Preparation, functionalization and characterization of rice husk silica for lipase immobilization via adsorption. Enzym. Microb. Technol. 2019, 128, 9–21. [Google Scholar] [CrossRef]
- Mendes, A.A.; Giordano, R.C.; Giordano, R.D.L.C.; De Castro, H.F. Immobilization and stabilization of microbial lipases by multipoint covalent attachment on aldehyde-resin affinity: Application of the biocatalysts in biodiesel synthesis. J. Mol. Catal. B Enzym. 2011, 68, 109–115. [Google Scholar] [CrossRef]
- Liu, C.-H.; Huang, C.-C.; Wang, Y.-W.; Lee, D.S.; Chang, J.-S. Biodiesel production by enzymatic transesterification catalyzed by Burkholderia lipase immobilized on hydrophobic magnetic particles. Appl. Energy 2012, 100, 41–46. [Google Scholar] [CrossRef]
- Yagiz, F.; Kazan, D.; Akin, A.N. Biodiesel production from waste oils by using lipase immobilized on hydrotalcite and zeolites. Chem. Eng. J. 2007, 134, 262–267. [Google Scholar] [CrossRef]
- You, Q.; Yin, X.; Zhao, Y.; Zhang, Y. Biodiesel production from jatropha oil catalyzed by immobilized Burkholderia cepacia lipase on modified attapulgite. Bioresour. Technol. 2013, 148, 202–207. [Google Scholar] [CrossRef]
- Ulker, C.; Gokalp, N.; Guvenilir, Y. Immobilization of Candida antarctica lipase B (CALB) on surface-modified rice husk ashes (RHA) via physical adsorption and cross-linking methods. Biocatal. Biotransformation 2016, 34, 172–180. [Google Scholar] [CrossRef]
- Bandikari, R.; Qian, J.; Baskaran, R.; Liu, Z.; Wu, G. Bio-affinity mediated immobilization of lipase onto magnetic cellulose nanospheres for high yield biodiesel in one time addition of methanol. Bioresour. Technol. 2018, 249, 354–360. [Google Scholar] [CrossRef]
- Zheng, R.; Ren, Z.; Gao, H.; Zhang, A.; Bian, Z. Effects of calcination on silica phase transition in diatomite. J. Alloy. Compd. 2018, 757, 364–371. [Google Scholar] [CrossRef]
- Liu, X. Preparation of porous hollow Fe3O4/P (GMA-DVB-St) microspheres and application for lipase immobilization. Bioprocess. Biosyst. Eng. 2018, 41, 771–779. [Google Scholar] [CrossRef] [PubMed]
- He, S.; Song, D.; Chen, M.; Cheng, H. Immobilization of Lipases on Magnetic Collagen Fibers and Its Applications for Short-Chain Ester Synthesis. Catalysts 2017, 7, 178. [Google Scholar] [CrossRef]
- Mu, Y.; Cui, M.; Zhang, S.; Zhao, J.; Meng, C.; Sun, Q. Comparison study between a series of new type functional diatomite on methane adsorption performance. Microporous Mesoporous Mater. 2018, 267, 203–211. [Google Scholar] [CrossRef]
- Li, Q.; Zhai, G.; Xu, Y.; Odoom-Wubah, T.; Jia, L.; Huang, J.; Sun, D.; Li, Q. Diatomite Supported Pt Nanoparticles as Efficient Catalyst for Benzene Removal. Ind. Eng. Chem. Res. 2019, 58, 14008–14015. [Google Scholar] [CrossRef]
- Arica, M.Y.; Soydogan, H.; Bayramoglu, G. Reversible immobilization of Candida rugosa lipase on fibrous polymer grafted and sulfonated p(HEMA/EDGMA) beads. Bioprocess. Biosyst. Eng. 2010, 33, 227–236. [Google Scholar] [CrossRef] [PubMed]
- Miao, C.; Yang, L.; Wang, Z.; Luo, W.; Li, H.; Lv, P.; Yuan, Z. Lipase immobilization on amino-silane modified superparamagnetic Fe3O4 nanoparticles as biocatalyst for biodiesel production. Fuel 2018, 224, 774–782. [Google Scholar] [CrossRef]
- Kleiner, B.; Fleischer, P.; Schörken, U. Biocatalytic synthesis of biodiesel utilizing deep eutectic solvents: A two-step-one-pot approach with free lipases suitable for acidic and used oil processing. Process. Biochem. 2016, 51, 1808–1816. [Google Scholar] [CrossRef]
- Yasin, Y. Optimization of biocatalytic biodiesel production from pomace oil using response surface methodology. Fuel Process. Technol. 2012, 99, 97–102. [Google Scholar]









| Samples | N (%) | C (%) | H (%) | S (%) | 
|---|---|---|---|---|
| SC | 0.88 | 0.27 | 0.46 | 0 | 
| A-SC | 1.85 | 3.78 | 1.08 | 0 | 
| Glu–A-SC | 1.23 | 4.68 | 1.36 | 0 | 
| Lip–Glu–A-SC | 2.06 | 5.21 | 1.73 | 0.24 | 
| Publisher’s Note: MDPI stays neutral with regard to jurisdictional claims in published maps and institutional affiliations. | 
© 2020 by the authors. Licensee MDPI, Basel, Switzerland. This article is an open access article distributed under the terms and conditions of the Creative Commons Attribution (CC BY) license (http://creativecommons.org/licenses/by/4.0/).
Share and Cite
Zou, T.; Duan, Y.-d.; Wang, Q.-e.; Cheng, H.-m. Preparation of Immobilized Lipase on Silica Clay as a Potential Biocatalyst on Synthesis of Biodiesel. Catalysts 2020, 10, 1266. https://doi.org/10.3390/catal10111266
Zou T, Duan Y-d, Wang Q-e, Cheng H-m. Preparation of Immobilized Lipase on Silica Clay as a Potential Biocatalyst on Synthesis of Biodiesel. Catalysts. 2020; 10(11):1266. https://doi.org/10.3390/catal10111266
Chicago/Turabian StyleZou, Ting, You-dan Duan, Qiao-e Wang, and Hai-ming Cheng. 2020. "Preparation of Immobilized Lipase on Silica Clay as a Potential Biocatalyst on Synthesis of Biodiesel" Catalysts 10, no. 11: 1266. https://doi.org/10.3390/catal10111266
APA StyleZou, T., Duan, Y.-d., Wang, Q.-e., & Cheng, H.-m. (2020). Preparation of Immobilized Lipase on Silica Clay as a Potential Biocatalyst on Synthesis of Biodiesel. Catalysts, 10(11), 1266. https://doi.org/10.3390/catal10111266
 
        
 
       