Development and Validation of a Brief Self-Report Scale to Measure Perceived Immune Vulnerability (PIV) in Cancer Population
Simple Summary
Abstract
1. Introduction
2. Methods
2.1. Study Population
2.2. Instrument Development
2.3. Study Administration
2.4. Statistical Analysis
3. Results
3.1. Patients’ Characteristics
3.2. Items Distribution
3.3. Reliability and Factor Analysis
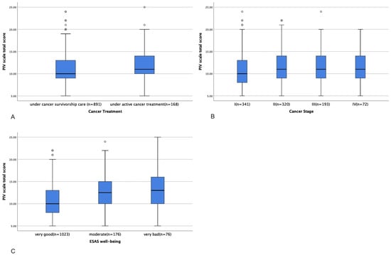
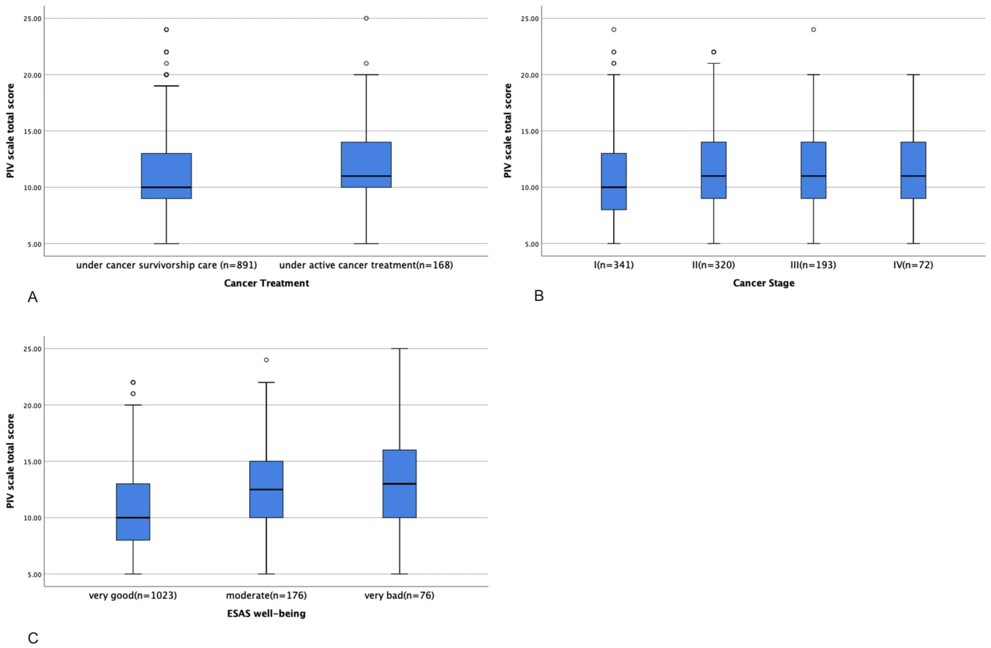
3.4. Construct Validity and Known-Group Validity
4. Discussion
5. Conclusions
Author Contributions
Funding
Institutional Review Board Statement
Informed Consent Statement
Data Availability Statement
Acknowledgments
Conflicts of Interest
Abbreviations
| PIV | Perceived immune vulnerability |
| PRO | Patient-reported outcome |
| ESAS | Edmonton Symptom Assessment Scale |
| PCF | Principal component factor |
| IQR | Interquartile range |
| SD | Standard deviation |
References
- Hiam-Galvez, K.J.; Allen, B.M.; Spitzer, M.H. Systemic immunity in cancer. Nat. Rev. Cancer 2021, 21, 345–359. [Google Scholar] [CrossRef] [PubMed]
- Cao, J.; Yan, Q. Cancer Epigenetics, Tumor Immunity, and Immunotherapy. Trends Cancer 2020, 6, 580–592. [Google Scholar] [CrossRef]
- Gonzalez, H.; Hagerling, C.; Werb, Z. Roles of the immune system in cancer: From tumor initiation to metastatic progression. Genes Dev. 2018, 32, 1267–1284. [Google Scholar] [CrossRef] [PubMed]
- Alaeddini, M.; Etemad-Moghadam, S. SARS-Cov-2 infection in cancer patients, susceptibility, outcome and care. Am. J. Med. Sci. 2022, 364, 511–520. [Google Scholar] [CrossRef] [PubMed]
- Bader, J.E.; Voss, K.; Rathmell, J.C. Targeting Metabolism to Improve the Tumor Microenvironment for Cancer Immunotherapy. Mol. Cell 2020, 78, 1019–1033. [Google Scholar] [CrossRef]
- Murray, N.P. Immune dysfunction, minimal residual disease and patient outcome in nonmetastatic cancer: Could modulation of immune function improve outcome? Future Oncol. 2021, 17, 1571–1575. [Google Scholar] [CrossRef]
- Claus, M.; Dychus, N.; Ebel, M.; Damaschke, J.; Maydych, V.; Wolf, O.T.; Kleinsorge, T.; Watzl, C. Measuring the immune system: A comprehensive approach for the analysis of immune functions in humans. Arch. Toxicol. 2016, 90, 2481–2495. [Google Scholar] [CrossRef]
- Huynh, D.C.; Nguyen, M.P.; Ngo, D.T.; Nguyen, X.H.; Nguyen, D.T.; Mai, T.H.; Le, T.H.; Hoang, M.D.; Le, K.L.; Nguyen, K.Q.; et al. A comprehensive analysis of the immune system in healthy Vietnamese people. Heliyon 2024, 10, e30647. [Google Scholar] [CrossRef]
- Sun, L.; Mao, J.J.; Yan, Y.; Xu, Y.; Yang, Y. Patient Reported Traditional Chinese Medicine Spleen Deficiency Syndrome (TCM-SDS) Scale for Colorectal Cancer: Development and Validation in China. Integr. Cancer Ther. 2021, 20, 15347354211020105. [Google Scholar] [CrossRef]
- Basch, E.; Deal, A.M.; Dueck, A.C.; Scher, H.I.; Kris, M.G.; Hudis, C.; Schrag, D. Overall Survival Results of a Trial Assessing Patient-Reported Outcomes for Symptom Monitoring During Routine Cancer Treatment. JAMA 2017, 318, 197–198. [Google Scholar] [CrossRef]
- Reed, P.; Vile, R.; Osborne, L.A.; Romano, M.; Truzoli, R. Problematic Internet Usage and Immune Function. PLoS ONE 2015, 10, e0134538. [Google Scholar] [CrossRef]
- Versprille, L.J.F.W.; van de Loo, A.J.A.E.; Mackus, M.; Arnoldy, L.; Sulzer, T.A.L.; Vermeulen, S.A.; Abdulahad, S.; Huls, H.; Baars, T.; Scholey, A.; et al. Development and Validation of the Immune Status Questionnaire (ISQ). Int. J. Environ. Res. Public Health 2019, 16, 4743. [Google Scholar] [CrossRef] [PubMed]
- Hallet, J.; Zuckerman, J.; Guttman, M.P.; Chesney, T.R.; Haas, B.; Mahar, A.; Eskander, A.; Chan, W.C.; Hsu, A.; Barabash, V.; et al. Patient-Reported Symptom Burden After Cancer Surgery in Older Adults: A Population-Level Analysis. Ann. Surg. Oncol. 2023, 30, 694–708. [Google Scholar] [CrossRef] [PubMed]
- Burkett, V.S.; Cleeland, C.S. Symptom burden in cancer survivorship. J. Cancer Surviv. 2007, 1, 167–175. [Google Scholar] [CrossRef] [PubMed]
- Iwasa, K.; Yamada, Y.; Tanaka, T. Editorial: Behavioral Immune System: Its Psychological Bases and Functions. Front. Psychol. 2021, 12, 659975. [Google Scholar] [CrossRef]
- Ferreira, J.; Magalhaes, A.C.; Bem-Haja, P.; Alho, L.; Silva, C.F.; Soares, S.C. Perceived Vulnerability to Disease Questionnaire: Psychometric validation with a Portuguese sample. BMC Psychol. 2022, 10, 130. [Google Scholar] [CrossRef]
- Rebe, C.; Ghiringhelli, F. Cytotoxic effects of chemotherapy on cancer and immune cells: How can it be modulated to generate novel therapeutic strategies? Future Oncol. 2015, 11, 2645–2654. [Google Scholar] [CrossRef]
- Wang, Y.Y.; Zhou, N.; Liu, H.S.; Gong, X.L.; Zhu, R.; Li, X.Y.; Sun, Z.; Zong, X.H.; Li, N.N.; Meng, C.T.; et al. Circulating activated lymphocyte subsets as potential blood biomarkers of cancer progression. Cancer Med. 2020, 9, 5086–5094. [Google Scholar] [CrossRef]
- Guilcher, G.M.T.; Rivard, L.; Huang, J.T.; Wright, N.A.M.; Anderson, L.; Eissa, H.; Pelletier, W.; Ramachandran, S.; Schechter, T.; Shah, A.J.; et al. Immune function in childhood cancer survivors: A Children’s Oncology Group review. Lancet Child Adolesc. Health 2021, 5, 284–294. [Google Scholar] [CrossRef]
- Yang, S.; Zheng, L.; Sun, Y.; Li, Z. Effect of Network-Based Positive Psychological Nursing Model Combined With Elemene Injection on Negative Emotions, Immune Function and Quality of Life in Lung Cancer Patients Undergoing Chemotherapy in the Era of Big Data. Front. Public Health 2022, 10, 897535. [Google Scholar] [CrossRef]
- Gao, S.; Fang, C.; Wang, T.; Lu, W.; Wang, N.; Sun, L.; Fang, W.; Chen, Y.; Hu, R. The effect of ginsenoside Rg3 combined with chemotherapy on immune function in non-small cell lung cancer: A systematic review and meta-analysis of randomized controlled trials. Medicine 2023, 102, e33463. [Google Scholar] [CrossRef]
- Nicholson, L.B. The immune system. Essays Biochem. 2016, 60, 275–301. [Google Scholar] [CrossRef] [PubMed]
- Heikkinen, T.; Jarvinen, A. The common cold. Lancet 2003, 361, 51–59. [Google Scholar] [CrossRef]
- Czubak, J.; Stolarczyk, K.; Orzel, A.; Fraczek, M.; Zatonski, T. Comparison of the clinical differences between COVID-19, SARS, influenza, and the common cold: A systematic literature review. Adv. Clin. Exp. Med. 2021, 30, 109–114. [Google Scholar] [CrossRef]
- Shibata, M.; Iwane, T.; Higuchi, R.; Suwa, K.; Nakajima, K. Potential common factors associated with predisposition to common cold in middle-aged and elderly Japanese: A community-based cross-sectional study. Medicine 2018, 97, e10729. [Google Scholar] [CrossRef]
- Worrall, G. Common cold. Can. Fam. Physician 2011, 57, 1289–1290. [Google Scholar]
- Hui, D.; Bruera, E. The Edmonton Symptom Assessment System 25 Years Later: Past, Present, and Future Developments. J. Pain Symptom Manag. 2017, 53, 630–643. [Google Scholar] [CrossRef]
- Yamaguchi, T.; Morita, T.; Nitto, A.; Takahashi, N.; Miyamoto, S.; Nishie, H.; Matsuoka, J.; Sakurai, H.; Ishihara, T.; Tarumi, Y.; et al. Establishing Cutoff Points for Defining Symptom Severity Using the Edmonton Symptom Assessment System-Revised Japanese Version. J. Pain Symptom Manag. 2016, 51, 292–297. [Google Scholar] [CrossRef]
- Tavakol, M.; Dennick, R. Making sense of Cronbach’s alpha. Int. J. Med. Educ. 2011, 2, 53–55. [Google Scholar] [CrossRef] [PubMed]
- Kim, H.Y. Statistical notes for clinical researchers: Assessing normal distribution (2) using skewness and kurtosis. Restor. Dent. Endod. 2013, 38, 52–54. [Google Scholar] [CrossRef] [PubMed]
- Seo, S.K.; Liu, C.; Dadwal, S.S. Infectious Disease Complications in Patients with Cancer. Crit. Care Clin. 2021, 37, 69–84. [Google Scholar] [CrossRef]
- Hatch-McChesney, A.; Smith, T.J. Nutrition, Immune Function, and Infectious Disease in Military Personnel: A Narrative Review. Nutrients 2023, 15, 4999. [Google Scholar] [CrossRef]
- Dhabhar, F.S. Effects of stress on immune function: The good, the bad, and the beautiful. Immunol. Res. 2014, 58, 193–210. [Google Scholar] [CrossRef]
- Lewis, E.D.; Wu, D.; Meydani, S.N. Age-associated alterations in immune function and inflammation. Prog. Neuro-psychopharmacol. Biol. Psychiatry 2022, 118, 110576. [Google Scholar] [CrossRef]
- Pae, M.; Wu, D. Nutritional modulation of age-related changes in the immune system and risk of infection. Nutr. Res. 2017, 41, 14–35. [Google Scholar] [CrossRef] [PubMed]
- Hojman, P. Exercise protects from cancer through regulation of immune function and inflammation. Biochem. Soc. Trans. 2017, 45, 905–911. [Google Scholar] [CrossRef] [PubMed]
- Mao, J.J.; Palmer, S.C.; Desai, K.; Li, S.Q.; Armstrong, K.; Xie, S.X. Development and Validation of an Instrument for Measuring Attitudes and Beliefs about Complementary and Alternative Medicine (CAM) Use among Cancer Patients. Evid. Based Complement. Altern. Med. 2012, 2012, 798098. [Google Scholar] [CrossRef]
- Bauml, J.M.; Chokshi, S.; Schapira, M.M.; Im, E.O.; Li, S.Q.; Langer, C.J.; Ibrahim, S.A.; Mao, J.J. Do attitudes and beliefs regarding complementary and alternative medicine impact its use among patients with cancer? A cross-sectional survey. Cancer 2015, 121, 2431–2438. [Google Scholar] [CrossRef] [PubMed]
- Sun, L.; Mao, J.J.; Vertosick, E.; Seluzicki, C.; Yang, Y. Evaluating Cancer Patients’ Expectations and Barriers Toward Traditional Chinese Medicine Utilization in China: A Patient-Support Group-Based Cross-Sectional Survey. Integr. Cancer Ther. 2018, 17, 885–893. [Google Scholar] [CrossRef]



| Combined | Phase 1 | Phase 2 | |||||
|---|---|---|---|---|---|---|---|
| Characteristics | N = 1375 | % | N = 100 | % | N = 1275 | % | |
| Age | ≤65 | 438 | 31.9 | 46 | 46.0 | 392 | 30.7 |
| >65 | 937 | 68.1 | 54 | 54.0 | 883 | 69.3 | |
| Gender | Male | 483 | 35.1 | 32 | 32.0 | 451 | 35.4 |
| Female | 892 | 64.9 | 68 | 68.0 | 824 | 64.6 | |
| Education | ≤High school | 794 | 59.7 | 62 | 63.3 | 732 | 59.4 |
| >High school | 537 | 40.3 | 36 | 36.7 | 501 | 39.3 | |
| Work status | Working | 91 | 6.6 | 8 | 8.0 | 83 | 6.5 |
| Retired | 1284 | 93.4 | 92 | 92.0 | 1192 | 93.5 | |
| Year since cancer diagnose | ≤1 year | 75 | 5.5 | 8 | 8.0 | 67 | 5.3 |
| 1–5 years | 387 | 28.1 | 37 | 37.0 | 350 | 27.5 | |
| ≥5 years | 913 | 66.4 | 55 | 55.0 | 858 | 67.3 | |
| Cancer type | Lung | 276 | 20.1 | 26 | 26.0 | 250 | 19.6 |
| GI | 356 | 25.9 | 20 | 20.0 | 336 | 26.4 | |
| Breast | 373 | 27.1 | 24 | 24.0 | 349 | 27.4 | |
| Gynecologic | 109 | 7.9 | 9 | 9.0 | 100 | 7.8 | |
| Other | 261 | 19.0 | 21 | 21.0 | 240 | 18.8 | |
| Cancer stage | I | 380 | 37.5 | 39 | 44.8 | 341 | 36.8 |
| II | 338 | 33.4 | 18 | 20.7 | 320 | 34.6 | |
| III | 213 | 21.0 | 20 | 23.0 | 193 | 20.8 | |
| IV | 82 | 8.1 | 10 | 11.5 | 72 | 7.8 | |
| Treatment status * | Active treatment | 181 | 15.8 | 76 | 85.4 | 891 | 84.1 |
| Survivorship care | 967 | 84.2 | 13 | 14.5 | 168 | 15.9 | |
| Advanced cancer treatment (n = 181) ** | Chemo-/radiotherapy | 35 | 25.7 | 3 | 42.9 | 32 | 24.8 |
| Targeted therapy | 47 | 34.6 | 3 | 42.9 | 44 | 34.1 | |
| Immunotherapy | 54 | 39.7 | 1 | 14.3 | 53 | 41.1 | |
| IQR | Mean(SD) (Range 1–5) | Very Good % | Good % | Average % | Bad % | Very Bad % | ||
|---|---|---|---|---|---|---|---|---|
| Item 1 | How would you evaluate your immunity over the past three months? | 1.00 | 2.5(0.80) | 7.4 | 41.7 | 41.4 | 7.9 | 1.5 |
| Please rate the following statements | Strongly Agree % | Disagree % | Not Sure % | Mostly Agree % | Completely Agree % | |||
| Item 2 | I catch colds easily | 2.00 | 2.14(0.98) | 27.1 | 44.7 | 16.6 | 10.0 | 1.5 |
| Item 3 | I catch colds more frequently than other people. | 1.00 | 2.07(0.93) | 28.4 | 47.2 | 14.8 | 8.6 | 1.1 |
| Item 4 | If I catch a cold, my symptoms are more severe than other people’s. | 1.00 | 2.18(0.96) | 24.0 | 46.7 | 17.5 | 10.6 | 1.2 |
| Item 5 | If I catch a cold, my illness lasts longer than in other people. | 1.00 | 2.24(0.99) | 23.6 | 44.3 | 18.3 | 12.4 | 1.5 |
Disclaimer/Publisher’s Note: The statements, opinions and data contained in all publications are solely those of the individual author(s) and contributor(s) and not of MDPI and/or the editor(s). MDPI and/or the editor(s) disclaim responsibility for any injury to people or property resulting from any ideas, methods, instructions or products referred to in the content. |
© 2025 by the authors. Licensee MDPI, Basel, Switzerland. This article is an open access article distributed under the terms and conditions of the Creative Commons Attribution (CC BY) license (https://creativecommons.org/licenses/by/4.0/).
Share and Cite
Sun, L.; Fok, R.W.-Y.; Bawa, J.; Li, X.; Lampson, K.; Chimonas, S.; Atkinson, T.M.; Mao, J.J. Development and Validation of a Brief Self-Report Scale to Measure Perceived Immune Vulnerability (PIV) in Cancer Population. Cancers 2025, 17, 3713. https://doi.org/10.3390/cancers17223713
Sun L, Fok RW-Y, Bawa J, Li X, Lampson K, Chimonas S, Atkinson TM, Mao JJ. Development and Validation of a Brief Self-Report Scale to Measure Perceived Immune Vulnerability (PIV) in Cancer Population. Cancers. 2025; 17(22):3713. https://doi.org/10.3390/cancers17223713
Chicago/Turabian StyleSun, Lingyun, Rose Wai-Yee Fok, Jerrin Bawa, Xiaotong Li, Kaitlin Lampson, Susan Chimonas, Thomas M. Atkinson, and Jun J. Mao. 2025. "Development and Validation of a Brief Self-Report Scale to Measure Perceived Immune Vulnerability (PIV) in Cancer Population" Cancers 17, no. 22: 3713. https://doi.org/10.3390/cancers17223713
APA StyleSun, L., Fok, R. W.-Y., Bawa, J., Li, X., Lampson, K., Chimonas, S., Atkinson, T. M., & Mao, J. J. (2025). Development and Validation of a Brief Self-Report Scale to Measure Perceived Immune Vulnerability (PIV) in Cancer Population. Cancers, 17(22), 3713. https://doi.org/10.3390/cancers17223713

