Improving the Clinical Utility of Platelet Count for Cancer Detection in Primary Care: A Cohort Study in England, Canada, and Australia
Abstract
Simple Summary
Abstract
1. Introduction
2. Materials and Methods
3. Results
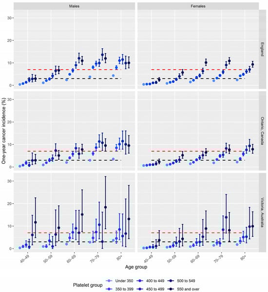
3.1. English Cohort
3.2. Canadian Cohort
3.3. Australian Cohort
| English Cohort N = 3,087,436 | Canadian Cohort N = 3,140,451 | Australian Cohort N = 266,900 | |
|---|---|---|---|
| Cancer incidence, n (%) | 58,001 (1.88) | 48,156 (1.53) | 152 (0.05) |
| Ten * most common tumours, n (% of tumours) | Prostate; 9417 (16.24) Lung; 7611 (13.12) Breast; 5547 (9.56) Colon; 5324 (9.18) Lymphoma; 2778 (4.79) Rectum; 2527 (4.36) Pancreas; 2266 (3.91) Kidney; 1899 (3.27) Leukaemia; 1841 (3.17) Bladder; 1776 (3.06) | Prostate; 6509 (13.52) Breast; 5660 (11.75) Lung; 5532 (11.49) Colon; 4941 (10.26) Lymphoma; 3472 (7.21) Bladder; 2298 (4.77) Melanoma; 1808 (3.75) Endometrial; 1707 (3.54) Kidney; 1401 (2.91) Cervix; 1382 (2.87) | Colon; 36 (23.68) Lung; 27 (17.6) Prostate; 8 (5.26) Rectum; 8 (5.26) |
4. Discussion
5. Strengths and Limitations
6. Implications for Practice
7. Conclusions
Author Contributions
Funding
Institutional Review Board Statement
Informed Consent Statement
Data Availability Statement
Conflicts of Interest
References
- Giles, C. The platelet count and mean platelet volume. Br. J. Haematol. 1981, 48, 31–37. [Google Scholar] [CrossRef] [PubMed]
- Biino, G.; Santimone, I.; Minelli, C.; Sorice, R.; Frongia, B.; Traglia, M.; Ulivi, S.; Di Castelnuovo, A.; Gögele, M.; Nutile, T.; et al. Age- And Sex-Related Variations in Platelet Count in Italy: A Proposal of Reference Ranges Based on 40987 Subjects’ Data. PLoS ONE 2013, 8, e54289. [Google Scholar] [CrossRef] [PubMed]
- Bain, B.J. Ethnic and sex differences in the total and differential white cell count and platelet count. J. Clin. Pathol. 1996, 49, 664–666. [Google Scholar] [CrossRef] [PubMed]
- Silagy, C.A.; Campion, K.; McNeil, J.J.; Salem, H.H.; Robert, J.; Donnan, G.A.; Tonkin, A.M.; Worsam, B. Haematological profile of healthy elderly Australians. Med. J. Aust. 1992, 157, 96–100. [Google Scholar] [CrossRef] [PubMed]
- Segal, J.B.; Moliterno, A.R. Platelet counts differ by sex, ethnicity, and age in the United States. Ann. Epidemiol. 2006, 16, 123–130. [Google Scholar] [CrossRef] [PubMed]
- Bailey, S.E.R.; Ukoumunne, O.C.; Shephard, E.A.; Hamilton, W. Clinical relevance of thrombocytosis in primary care: A prospective cohort study of cancer incidence using UK electronic medical records and cancer registry data. Br. J. Gen. Pract. 2017, 67, e405–e413. [Google Scholar] [CrossRef] [PubMed]
- Giannakeas, V.; Narod, S.A. Incidence of Cancer among Adults with Thrombocytosis in Ontario, Canada. JAMA Netw. Open 2021, 4, e2120633. [Google Scholar] [CrossRef] [PubMed]
- Mounce, L.T.A.; Hamilton, W.; Bailey, S.E.R. Cancer incidence following a high-normal platelet count: Cohort study using electronic healthcare records from English primary care. Br. J. Gen. Pract. 2020, 70, e622–e628. [Google Scholar] [CrossRef] [PubMed]
- NICE: National Institute for Health and Care Excellence. Suspected Cancer: Recognition and Referral. NG12 [Internet]. 2017. (June 2015). Available online: https://www.nice.org.uk/guidance/ng12 (accessed on 23 February 2024).
- Ittermann, T.; Feig, M.A.; Petersmann, A.; Radke, D.; Greinacher, A.; Völzke, H.; Thiele, T. Mean platelet volume is more important than age for defining reference intervals of platelet counts. PLoS ONE 2019, 14, e0213658. [Google Scholar] [CrossRef] [PubMed]
- Wolf, A.; Dedman, D.; Campbell, J.; Booth, H.; Lunn, D.; Chapman, J.; Myles, P. Data resource profile: Clinical Practice Research Datalink (CPRD) Aurum. Int. J. Epidemiol. 2019, 48, 1740–1740g. [Google Scholar] [CrossRef]
- Manski-Nankervis, J.-A.; Canaway, R.; Chidgey, C.; Emery, J.; Sanci, L.; Hocking, J.S.; Davidson, S.; Swan, I.; Boyle, D. Data Resource Profile: Primary Care Audit, Teaching and Research Open Network (Patron). Int. J. Epidemiol. 2024, 53, dyae002. [Google Scholar] [CrossRef]
- Lee, A.; McCarthy, D.; Bergin, R.J.; Drosdowsky, A.; Gutierrez, J.M.; Kearney, C.; Philip, S.; Rafiq, M.; Venning, B.; Wawryk, O.; et al. Data Resource Profile: Victorian Comprehensive Cancer Centre Data Connect. Int. J. Epidemiol. 2023, 52, e292–e300. [Google Scholar] [CrossRef]
- Department of Health Victoria. Victorian Admitted Episodes Dataset. Available online: https://www.health.vic.gov.au/data-reporting/victorian-admitted-episodes-dataset (accessed on 23 February 2024).
- Cancer Council Victoria. Victorian Cancer Registry. Available online: https://www.cancervic.org.au/research/vcr (accessed on 23 February 2024).
- Banks, J.; Hollinghurst, S.; Bigwood, L.; Peters, T.J.; Walter, F.M.; Hamilton, W. Preferences for cancer investigation: A vignette-based study of primary-care attendees. Lancet Oncol. 2014, 15, 232–240. [Google Scholar] [CrossRef] [PubMed]
- Zaninetti, C.; Biino, G.; Noris, P.; Melazzini, F.; Civaschi, E.; Balduini, C.L. Personalized reference intervals for platelet count reduce the number of subjects with unexplained thrombocytopenia. Haematologica 2015, 100, e338–e340. [Google Scholar] [CrossRef] [PubMed]
- Clarke, C.; Hamilton, W.; Price, S.; Bailey, S.E. Association of non-malignant diseases with thrombocytosis: A prospective cohort study in general practice. Br. J. Gen. Pract. 2020, 70, e852–e857. [Google Scholar] [CrossRef] [PubMed]
- Nicholson, B.D.; Oke, J.; Virdee, P.S.; Harris, D.A.; O’Doherty, C.; Park, J.E.; Hamady, Z.; Sehgal, V.; Millar, A.; Medley, L.; et al. Multi-cancer early detection test in symptomatic patients referred for cancer investigation in England and Wales (SYMPLIFY): A large-scale, observational cohort study. Lancet Oncol. 2023, 24, 733–743. [Google Scholar] [CrossRef]

| English Cohort N = 3,087,436 | Canadian Cohort N = 3,140,451 | Australian Cohort N = 266,900 | |
|---|---|---|---|
| Male sex, n (%) | |||
| 1,366,827 (44.27) | 1,392,750 (44.34) | 117,690 (44.10) | |
| Age, mean (SD) | |||
| Men | 62.6 (13.0) | 60.8 (12.0) | 57.3 (13.2) |
| Women | 62.6 (14.3) | 60.8 (13.0) | 57.5 (14.4) |
| Age group, n (%) | |||
| 40 to 49 | 687,116 (22.26) | 705,763 (22.47%) | 96,502 (36.16%) |
| 50 to 59 | 750,823 (24.32) | 905,780 (28.84%) | 65,865 (24.68%) |
| 60 to 69 | 690,372 (22.36) | 787,994 (25.09%) | 51,560 (19.32%) |
| 70 to 79 | 566,723 (18.36) | 477,173 (15.19%) | 29,492 (11.05%) |
| 80 and over | 392,402 (12.71) | 263,741 (8.40%) | 23,481 (8.80%) |
Disclaimer/Publisher’s Note: The statements, opinions and data contained in all publications are solely those of the individual author(s) and contributor(s) and not of MDPI and/or the editor(s). MDPI and/or the editor(s) disclaim responsibility for any injury to people or property resulting from any ideas, methods, instructions or products referred to in the content. |
© 2024 by the authors. Licensee MDPI, Basel, Switzerland. This article is an open access article distributed under the terms and conditions of the Creative Commons Attribution (CC BY) license (https://creativecommons.org/licenses/by/4.0/).
Share and Cite
Mounce, L.T.A.; Calitri, R.; Hamilton, W.; Rafiq, M.; Emery, J.D.; Giannakeas, V.; Kotsopoulos, J.; Bailey, S.E.R. Improving the Clinical Utility of Platelet Count for Cancer Detection in Primary Care: A Cohort Study in England, Canada, and Australia. Cancers 2024, 16, 3074. https://doi.org/10.3390/cancers16173074
Mounce LTA, Calitri R, Hamilton W, Rafiq M, Emery JD, Giannakeas V, Kotsopoulos J, Bailey SER. Improving the Clinical Utility of Platelet Count for Cancer Detection in Primary Care: A Cohort Study in England, Canada, and Australia. Cancers. 2024; 16(17):3074. https://doi.org/10.3390/cancers16173074
Chicago/Turabian StyleMounce, Luke T. A., Raff Calitri, Willie Hamilton, Meena Rafiq, Jon D. Emery, Vasily Giannakeas, Joanne Kotsopoulos, and Sarah E. R. Bailey. 2024. "Improving the Clinical Utility of Platelet Count for Cancer Detection in Primary Care: A Cohort Study in England, Canada, and Australia" Cancers 16, no. 17: 3074. https://doi.org/10.3390/cancers16173074
APA StyleMounce, L. T. A., Calitri, R., Hamilton, W., Rafiq, M., Emery, J. D., Giannakeas, V., Kotsopoulos, J., & Bailey, S. E. R. (2024). Improving the Clinical Utility of Platelet Count for Cancer Detection in Primary Care: A Cohort Study in England, Canada, and Australia. Cancers, 16(17), 3074. https://doi.org/10.3390/cancers16173074

