Association between Prior Cytotoxic Therapy, Antecedent Hematologic Disorder, and Outcome after Allogeneic Hematopoietic Cell Transplantation in Adult Acute Myeloid Leukemia
Abstract
Simple Summary
Abstract
1. Introduction
2. Materials and Methods
2.1. Study Cohort
2.2. Classification of Disease Risk and Treatment Response
2.3. Statistical Analysis
3. Results
3.1. Characteristics of Study Cohort
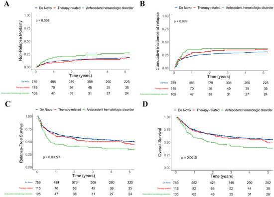
3.2. Relationship between Secondary AML Status and Post-HCT Outcome
3.3. AML after AHD as an Independent Prognostic Factor for Post-HCT Outcome

3.4. Relationship between Disease Status, Conditioning Intensity, and Post-HCT Outcomes
4. Discussion
5. Conclusions
Supplementary Materials
Author Contributions
Funding
Institutional Review Board Statement
Informed Consent Statement
Data Availability Statement
Acknowledgments
Conflicts of Interest
References
- Hulegårdh, E.; Nilsson, C.; Lazarevic, V.; Garelius, H.; Antunovic, P.; Rangert Derolf, Å.; Möllgård, L.; Uggla, B.; Wennström, L.; Wahlin, A.; et al. Characterization and Prognostic Features of Secondary Acute Myeloid Leukemia in a Population-Based Setting: A Report from the Swedish Acute Leukemia Registry: Population-Based Study of Secondary AML. Am. J. Hematol. 2015, 90, 208–214. [Google Scholar] [CrossRef] [PubMed]
- Martínez-Cuadrón, D.; Megías-Vericat, J.E.; Serrano, J.; Martínez-Sánchez, P.; Rodríguez-Arbolí, E.; Gil, C.; Aguiar, E.; Bergua Burgues, J.M.; Lopez-Lorenzo, J.L.; Bernal, T.; et al. Treatment Patterns and Outcomes of 2310 Patients with Secondary Acute Myeloid Leukemia: A PETHEMA Registry Study. Blood Adv. 2021, 6, 1278–1295. [Google Scholar] [CrossRef] [PubMed]
- Østgård, L.S.G.; Kjeldsen, E.; Holm, M.S.; Brown, P.D.N.; Pedersen, B.B.; Bendix, K.; Johansen, P.; Kristensen, J.S.; Nørgaard, J.M. Reasons for Treating Secondary AML as de Novo AML: Reasons for Treating Secondary AML. Eur. J. Haematol. 2010, 85, 217–226. [Google Scholar] [CrossRef] [PubMed]
- Nilsson, C.; Hulegårdh, E.; Garelius, H.; Möllgård, L.; Brune, M.; Wahlin, A.; Lenhoff, S.; Frödin, U.; Remberger, M.; Höglund, M.; et al. Secondary Acute Myeloid Leukemia and the Role of Allogeneic Stem Cell Transplantation in a Population-Based Setting. Biol. Blood Marrow Transplant. 2019, 25, 1770–1778. [Google Scholar] [CrossRef] [PubMed]
- Granfeldt Østgård, L.S.; Medeiros, B.C.; Sengeløv, H.; Nørgaard, M.; Andersen, M.K.; Dufva, I.H.; Friis, L.S.; Kjeldsen, E.; Marcher, C.W.; Preiss, B.; et al. Epidemiology and Clinical Significance of Secondary and Therapy-Related Acute Myeloid Leukemia: A National Population-Based Cohort Study. J. Clin. Oncol. 2015, 33, 3641–3649. [Google Scholar] [CrossRef] [PubMed]
- Kayser, S.; Döhner, K.; Krauter, J.; Köhne, C.-H.; Horst, H.A.; Held, G.; von Lilienfeld-Toal, M.; Wilhelm, S.; Kündgen, A.; Götze, K.; et al. The Impact of Therapy-Related Acute Myeloid Leukemia (AML) on Outcome in 2853 Adult Patients with Newly Diagnosed AML. Blood 2011, 117, 2137–2145. [Google Scholar] [CrossRef]
- Lindsley, R.C.; Mar, B.G.; Mazzola, E.; Grauman, P.V.; Shareef, S.; Allen, S.L.; Pigneux, A.; Wetzler, M.; Stuart, R.K.; Erba, H.P.; et al. Acute Myeloid Leukemia Ontogeny Is Defined by Distinct Somatic Mutations. Blood 2015, 125, 1367–1376. [Google Scholar] [CrossRef]
- Tariq, H.; Barnea Slonim, L.; Coty Fattal, Z.; Alikhan, M.B.; Segal, J.; Gurbuxani, S.; Helenowski, I.B.; Zhang, H.; Sukhanova, M.; Lu, X.; et al. Therapy-related Myeloid Neoplasms with Normal Karyotype Show Distinct Genomic and Clinical Characteristics Compared to Their Counterparts with Abnormal Karyotype. Br. J. Haematol. 2022, 197, 736–744. [Google Scholar] [CrossRef]
- Arber, D.A.; Orazi, A.; Hasserjian, R.P.; Borowitz, M.J.; Calvo, K.R.; Kvasnicka, H.M.; Wang, S.A.; Bagg, A.; Barbui, T.; Branford, S.; et al. International Consensus Classification of Myeloid Neoplasms and Acute Leukemia: Integrating Morphological, Clinical, and Genomic Data. Blood 2022, 140, 1200–1228. [Google Scholar] [CrossRef]
- Khoury, J.D.; Solary, E.; Abla, O.; Akkari, Y.; Alaggio, R.; Apperley, J.F.; Bejar, R.; Berti, E.; Busque, L.; Chan, J.K.C.; et al. The 5th Edition of the World Health Organization Classification of Haematolymphoid Tumours: Myeloid and Histiocytic/Dendritic Neoplasms. Leukemia 2022, 36, 1703–1719. [Google Scholar] [CrossRef]
- Döhner, H.; Ebert, B.; Godley, L.; Levine, R.; Ossenkoppele, G. Diagnosis and Management of AML in Adults: 2022 ELN Recommendations from an International Expert Panel. Blood J. Am. Soc. Hematol. 2022, 140, 1345–1377. [Google Scholar] [CrossRef]
- Bertoli, S.; Tavitian, S.; Bories, P.; Luquet, I.; Delabesse, E.; Comont, T.; Sarry, A.; Huguet, F.; Bérard, E.; Récher, C. Outcome of Patients Aged 60-75 Years with Newly Diagnosed Secondary Acute Myeloid Leukemia: A Single-institution Experience. Cancer Med. 2019, 8, 3846–3854. [Google Scholar] [CrossRef]
- Boddu, P.C.; Kantarjian, H.M.; Ravandi, F.; Garcia-Manero, G.; Verstovsek, S.; Jabbour, E.J.; Takahashi, K.; Bhalla, K.; Konopleva, M.; DiNardo, C.D.; et al. Characteristics and Outcomes of Older Patients with Secondary Acute Myeloid Leukemia According to Treatment Approach: Secondary AML by Treatment Approach. Cancer 2017, 123, 3050–3060. [Google Scholar] [CrossRef]
- Lancet, J.E.; Uy, G.L.; Cortes, J.E.; Newell, L.F.; Lin, T.L.; Ritchie, E.K.; Stuart, R.K.; Strickland, S.A.; Hogge, D.; Solomon, S.R.; et al. CPX-351 (Cytarabine and Daunorubicin) Liposome for Injection Versus Conventional Cytarabine Plus Daunorubicin in Older Patients With Newly Diagnosed Secondary Acute Myeloid Leukemia. J. Clin. Oncol. 2018, 36, 2684–2692. [Google Scholar] [CrossRef]
- Dumas, P.-Y.; Bertoli, S.; Bérard, E.; Médiavilla, C.; Yon, E.; Tavitian, S.; Leguay, T.; Huguet, F.; Forcade, E.; Milpied, N.; et al. Azacitidine or Intensive Chemotherapy for Older Patients with Secondary or Therapy-Related Acute Myeloid Leukemia. Oncotarget 2017, 8, 79126–79136. [Google Scholar] [CrossRef]
- Jentzsch, M.; Grimm, J.; Bill, M.; Brauer, D.; Backhaus, D.; Goldmann, K.; Schulz, J.; Niederwieser, D.; Platzbecker, U.; Schwind, S. ELN Risk Stratification and Outcomes in Secondary and Therapy-Related AML Patients Consolidated with Allogeneic Stem Cell Transplantation. Bone Marrow Transplant. 2021, 56, 936–945. [Google Scholar] [CrossRef]
- Schmaelter, A.-K.; Labopin, M.; Socié, G.; Itälä-Remes, M.; Blaise, D.; Yakoub-Agha, I.; Forcade, E.; Cornelissen, J.; Ganser, A.; Beelen, D.; et al. Inferior Outcome of Allogeneic Stem Cell Transplantation for Secondary Acute Myeloid Leukemia in First Complete Remission as Compared to de Novo Acute Myeloid Leukemia. Blood Cancer J. 2020, 10, 26. [Google Scholar] [CrossRef]
- Kida, M.; Usuki, K.; Uchida, N.; Fukuda, T.; Katayama, Y.; Kondo, T.; Eto, T.; Matsuoka, K.; Matsuhashi, Y.; Ota, S.; et al. Outcome and Risk Factors for Therapy-Related Myeloid Neoplasms Treated with Allogeneic Stem Cell Transplantation in Japan. Biol. Blood Marrow Transplant. 2020, 26, 1543–1551. [Google Scholar] [CrossRef]
- Michelis, F.V.; Atenafu, E.G.; Gupta, V.; Kim, D.D.; Kuruvilla, J.; Lipton, J.H.; Loach, D.; Seftel, M.D.; Uhm, J.; Alam, N.; et al. Comparable Outcomes Post Allogeneic Hematopoietic Cell Transplant for Patients with de Novo or Secondary Acute Myeloid Leukemia in First Remission. Bone Marrow Transplant. 2015, 50, 907–913. [Google Scholar] [CrossRef]
- Maffini, E. Measurable Residual Disease (MRD) Status before Allogeneic Hematopoietic Cell Transplantation Impact on Secondary Acute Myeloid Leukemia Outcome. A Study from the Acute Leukemia Working Party (ALWP) of the European Society for Blood and Marrow Transplantation (EBMT). Bone Marrow Transplant. 2022, 57, 1556–1563. [Google Scholar]
- Rodríguez-Arbolí, E.; Orvain, C.; Othus, M.; Walter, R.B. Significance of Measurable Residual Disease in Adults with Secondary Acute Myeloid Leukemia Undergoing Allogeneic Hematopoietic Cell Transplantation. Bone Marrow Transplant. 2022, 57, 1732–1734. [Google Scholar] [CrossRef] [PubMed]
- Kröger, N.; Eikema, D.; Köster, L.; Beelen, D.; de Wreede, L.C.; Finke, J.; Koenecke, C.; Niederwieser, D.; Bornhäuser, M.; Schoenland, S.; et al. Impact of Primary Disease on Outcome after Allogeneic Stem Cell Transplantation for Transformed Secondary Acute Leukaemia. Br. J. Haematol. 2019, 185, 725–732. [Google Scholar] [CrossRef] [PubMed]
- Arber, D.A.; Orazi, A.; Hasserjian, R.; Thiele, J.; Borowitz, M.J.; Le Beau, M.M.; Bloomfield, C.D.; Cazzola, M.; Vardiman, J.W. The 2016 Revision to the World Health Organization Classification of Myeloid Neoplasms and Acute Leukemia. Blood 2016, 127, 2391–2405. [Google Scholar] [CrossRef]
- Orvain, C.; Byelykh, M.; Othus, M.; Sandmaier, B.M.; Schoch, G.; Davis, C.; Appelbaum, F.R.; Walter, R.B. Relationship Between Pre-Transplant Nutritional Status and Outcomes of Adults with Acute Myeloid Leukemia Undergoing Allogeneic Hematopoietic Cell Transplantation. Transplant. Cell Ther. 2022, 28, 846.e1–846.e9. [Google Scholar] [CrossRef] [PubMed]
- Grimwade, D.; Hills, R.K.; Moorman, A.V.; Walker, H.; Chatters, S.; Goldstone, A.H.; Wheatley, K.; Harrison, C.J.; Burnett, A.K.; on behalf of the National Cancer Research Institute Adult Leukaemia Working Group. Refinement of Cytogenetic Classification in Acute Myeloid Leukemia: Determination of Prognostic Significance of Rare Recurring Chromosomal Abnormalities among 5876 Younger Adult Patients Treated in the United Kingdom Medical Research Council Trials. Blood 2010, 116, 354–365. [Google Scholar] [CrossRef]
- Sorror, M.L.; Maris, M.B.; Storb, R.; Baron, F.; Sandmaier, B.M.; Maloney, D.G.; Storer, B. Hematopoietic Cell Transplantation (HCT)-Specific Comorbidity Index: A New Tool for Risk Assessment before Allogeneic HCT. Blood 2005, 106, 2912–2919. [Google Scholar] [CrossRef]
- Walter, R.B.; Othus, M.; Borthakur, G.; Ravandi, F.; Cortes, J.E.; Pierce, S.A.; Appelbaum, F.R.; Kantarjian, H.A.; Estey, E.H. Prediction of Early Death After Induction Therapy for Newly Diagnosed Acute Myeloid Leukemia With Pretreatment Risk Scores: A Novel Paradigm for Treatment Assignment. J. Clin. Oncol. 2011, 29, 4417–4424. [Google Scholar] [CrossRef]
- Döhner, H.; Estey, E.; Grimwade, D.; Amadori, S.; Appelbaum, F.R.; Büchner, T.; Dombret, H.; Ebert, B.L.; Fenaux, P.; Larson, R.A.; et al. Diagnosis and Management of AML in Adults: 2017 ELN Recommendations from an International Expert Panel. Blood 2017, 129, 424–447. [Google Scholar] [CrossRef]
- Walter, R.B.; Gooley, T.A.; Wood, B.L.; Milano, F.; Fang, M.; Sorror, M.L.; Estey, E.H.; Salter, A.I.; Lansverk, E.; Chien, J.W.; et al. Impact of Pretransplantation Minimal Residual Disease, As Detected by Multiparametric Flow Cytometry, on Outcome of Myeloablative Hematopoietic Cell Transplantation for Acute Myeloid Leukemia. J. Clin. Oncol. 2011, 29, 1190–1197. [Google Scholar] [CrossRef]
- Walter, R.B.; Buckley, S.A.; Pagel, J.M.; Wood, B.L.; Storer, B.E.; Sandmaier, B.M.; Fang, M.; Gyurkocza, B.; Delaney, C.; Radich, J.P.; et al. Significance of Minimal Residual Disease before Myeloablative Allogeneic Hematopoietic Cell Transplantation for AML in First and Second Complete Remission. Blood 2013, 122, 1813–1821. [Google Scholar] [CrossRef]
- Walter, R.B.; Gyurkocza, B.; Storer, B.E.; Godwin, C.D.; Pagel, J.M.; Buckley, S.A.; Sorror, M.L.; Wood, B.L.; Storb, R.; Appelbaum, F.R.; et al. Comparison of Minimal Residual Disease as Outcome Predictor for AML Patients in First Complete Remission Undergoing Myeloablative or Nonmyeloablative Allogeneic Hematopoietic Cell Transplantation. Leukemia 2015, 29, 137–144. [Google Scholar] [CrossRef]
- Araki, D.; Wood, B.L.; Othus, M.; Radich, J.P.; Halpern, A.B.; Zhou, Y.; Mielcarek, M.; Estey, E.H.; Appelbaum, F.R.; Walter, R.B. Allogeneic Hematopoietic Cell Transplantation for Acute Myeloid Leukemia: Time to Move Toward a Minimal Residual Disease–Based Definition of Complete Remission? J. Clin. Oncol. 2016, 34, 329–336. [Google Scholar] [CrossRef]
- Zhou, Y.; Othus, M.; Araki, D.; Wood, B.L.; Radich, J.P.; Halpern, A.B.; Mielcarek, M.; Estey, E.H.; Appelbaum, F.R.; Walter, R.B. Pre- and Post-Transplant Quantification of Measurable (‘Minimal’) Residual Disease via Multiparameter Flow Cytometry in Adult Acute Myeloid Leukemia. Leukemia 2016, 30, 1456–1464. [Google Scholar] [CrossRef]
- Wood, B.L. Acute Myeloid Leukemia Minimal Residual Disease Detection: The Difference from Normal Approach. Curr. Protoc. Cytom. 2020, 93, e73. [Google Scholar] [CrossRef]
- Walter, R.B.; Sandmaier, B.M.; Storer, B.E.; Godwin, C.D.; Buckley, S.A.; Pagel, J.M.; Sorror, M.L.; Deeg, H.J.; Storb, R.; Appelbaum, F.R. Number of Courses of Induction Therapy Independently Predicts Outcome after Allogeneic Transplantation for Acute Myeloid Leukemia in First Morphological Remission. Biol. Blood Marrow Transplant. 2015, 21, 373–378. [Google Scholar] [CrossRef]
- Hoffmann, A.P.; Besch, A.L.; Othus, M.; Morsink, L.M.; Wood, B.L.; Mielcarek, M.; Estey, E.H.; Appelbaum, F.R.; Walter, R.B. Early Achievement of Measurable Residual Disease (MRD)-Negative Complete Remission as Predictor of Outcome after Myeloablative Allogeneic Hematopoietic Cell Transplantation in Acute Myeloid Leukemia. Bone Marrow Transplant. 2020, 55, 669–672. [Google Scholar] [CrossRef]
- Morsink, L.M.; Bezerra, E.D.; Othus, M.; Wood, B.L.; Fang, M.; Sandmaier, B.M.; Mielcarek, M.B.; Deeg, H.J.; Schoch, G.; Appelbaum, F.R.; et al. Comparative Analysis of Total Body Irradiation (TBI)-Based and Non-TBI-Based Myeloablative Conditioning for Acute Myeloid Leukemia in Remission with or without Measurable Residual Disease. Leukemia 2020, 34, 1701–1705. [Google Scholar] [CrossRef]
- Morsink, L.M.; Othus, M.; Bezerra, E.D.; Wood, B.L.; Fang, M.; Sandmaier, B.M.; Mielcarek, M.; Schoch, G.; Storb, R.; Deeg, H.J.; et al. Impact of Pretransplant Measurable Residual Disease on the Outcome of Allogeneic Hematopoietic Cell Transplantation in Adult Monosomal Karyotype AML. Leukemia 2020, 34, 1577–1587. [Google Scholar] [CrossRef]
- Paras, G.; Morsink, L.M.; Othus, M.; Milano, F.; Sandmaier, B.M.; Zarling, L.C.; Palmieri, R.; Schoch, G.; Davis, C.; Bleakley, M.; et al. Conditioning Intensity and Peri-Transplant Flow Cytometric MRD Dynamics in Adult AML. Blood 2022, 139, 1694–1706. [Google Scholar] [CrossRef]
- Boddu, P.; Kantarjian, H.M.; Garcia-Manero, G.; Ravandi, F.; Verstovsek, S.; Jabbour, E.; Borthakur, G.; Konopleva, M.; Bhalla, K.N.; Daver, N.; et al. Treated Secondary Acute Myeloid Leukemia: A Distinct High-Risk Subset of AML with Adverse Prognosis. Blood Adv. 2017, 1, 1312–1323. [Google Scholar] [CrossRef]
- Finke, J.; Schmoor, C.; Bertz, H.; Marks, R.; Wäsch, R.; Zeiser, R.; Hackanson, B. Long-Term Follow-up of Therapy-Related Myelodysplasia and AML Patients Treated with Allogeneic Hematopoietic Cell Transplantation. Bone Marrow Transplant. 2016, 51, 771–777. [Google Scholar] [CrossRef] [PubMed]
- Montalban-Bravo, G.; Kanagal-Shamanna, R.; Class, C.A.; Sasaki, K.; Ravandi, F.; Cortes, J.E.; Daver, N.; Takahashi, K.; Short, N.J.; DiNardo, C.D.; et al. Outcomes of Acute Myeloid Leukemia with Myelodysplasia Related Changes Depend on Diagnostic Criteria and Therapy. Am. J. Hematol. 2020, 95, 612–622. [Google Scholar] [CrossRef] [PubMed]
- Portugese, A.J.; Albittar, A.; Gooley, T.H.; Deeg, H.J. Transplantation for Myeloid Neoplasms with Antecedent Solid Tumor. Cancer 2022, 129, 142–150. [Google Scholar] [CrossRef] [PubMed]
- Sengsayadeth, S.; Gatwood, K.S.; Boumendil, A.; Labopin, M.; Finke, J.; Ganser, A.; Stelljes, M.; Ehninger, G.; Beelen, D.; Niederwieser, D.; et al. Conditioning Intensity in Secondary AML with Prior Myelodysplastic Syndrome/Myeloproliferative Disorders: An EBMT ALWP Study. Blood Adv. 2018, 2, 2127–2135. [Google Scholar] [CrossRef]
- Kroger, N.; Brand, R.; van Biezen, A.; Zander, A.; Dierlamm, J.; Niederwieser, D.; Devergie, A.; Ruutu, T.; Cornish, J.; Ljungman, P.; et al. Risk Factors for Therapy-Related Myelodysplastic Syndrome and Acute Myeloid Leukemia Treated with Allogeneic Stem Cell Transplantation. Haematologica 2009, 94, 542–549. [Google Scholar] [CrossRef]
- Lee, C.J.; Labopin, M.; Beelen, D.; Finke, J.; Blaise, D.; Ganser, A.; Itälä-Remes, M.; Chevallier, P.; Labussière-Wallet, H.; Maertens, J.; et al. Comparative Outcomes of Myeloablative and Reduced-intensity Conditioning Allogeneic Hematopoietic Cell Transplantation for Therapy-related Acute Myeloid Leukemia with Prior Solid Tumor: A Report from the Acute Leukemia Working Party of the European Society for Blood and Bone Marrow Transplantation. Am. J. Hematol. 2019, 94, 431–438. [Google Scholar] [CrossRef]
- Metheny, L.; Callander, N.S.; Hall, A.C.; Zhang, M.-J.; Bo-Subait, K.; Wang, H.-L.; Agrawal, V.; Al-Homsi, A.S.; Assal, A.; Bacher, U.; et al. Allogeneic Transplantation to Treat Therapy-Related Myelodysplastic Syndrome and Acute Myelogenous Leukemia in Adults. Transplant. Cell Ther. 2021, 27, 923.e1–923.e12. [Google Scholar] [CrossRef]


| Characteristic | All Patients (n = 979) | De Novo (n = 759) | Therapy-Related (n = 115) | AHD (n = 105) |
|---|---|---|---|---|
| Age at HCT (IQR), years | 55 (42–64) | 53 (40–62) | 57 (48–66) | 63 (56–68) |
| Female gender, n (%) | 454 (46%) | 348 (46%) | 69 (60%) | 37 (35%) |
| WBC count at diagnosis (IQR), G/L | 8 (2–40) | 9 (2–48) | 5 (2–33) | 3 (2–14) |
| Cytogenetic risk (MRC), n (%) | ||||
| Favorable | 72 (8%) | 60 (8%) | 12 (11%) | 0 |
| Intermediate | 659 (70%) | 520 (71%) | 68 (61%) | 71 (72%) |
| Adverse | 213 (23%) | 153 (21%) | 32 (29%) | 28 (28%) |
| Time from last remission to HCT (IQR), days | 98 (69–146) | 104 (72–150) | 96 (69–132) | 72 (53–105) |
| Disease status at HCT, n (%) | ||||
| First remission | 747 (76%) | 551 (73%) | 105 (91%) | 91 (87%) |
| Second remission | 232 (24%) | 208 (27%) | 10 (8.7%) | 14 (13%) |
| MFC MRD status before HCT, n (%) | ||||
| MRD-negative | 788 (80%) | 636 (84%) | 87 (76%) | 65 (62%) |
| MRD-positive | 191 (20%) | 123 (16%) | 28 (24%) | 40 (38%) |
| Recovered peripheral blood counts before HCT, n (%) | 680 (69%) | 544 (72%) | 76 (66%) | 60 (57%) |
| HCT-CI category, n (%) | ||||
| Low | 339 (35%) | 293 (39%) | 8 (7.0%) | 38 (36%) |
| Intermediate | 347 (35%) | 279 (37%) | 29 (25%) | 39 (37%) |
| High | 293 (30%) | 187 (25%) | 78 (68%) | 28 (27%) |
| Stem cell source, n (%) | ||||
| BM | 81 (8%) | 68 (9%) | 8 (7%) | 5 (5%) |
| PBSC | 766 (78%) | 584 (77%) | 91 (79%) | 91 (87%) |
| Cord blood | 132 (13%) | 107 (14%) | 16 (14%) | 9 (9%) |
| HLA matching, n (%) | ||||
| Identical related donor | 227 (23%) | 173 (23%) | 35 (30%) | 19 (18%) |
| Matched unrelated donor | 482 (49%) | 369 (49%) | 56 (49%) | 57 (54%) |
| 1–2 allele mismatch | 101 (10%) | 79 (10%) | 5 (4%) | 17 (16%) |
| Haplo-identical | 37 (4%) | 31 (4%) | 3 (3%) | 3 (3%) |
| Cord blood | 132 (13%) | 107 (14%) | 16 (14%) | 9 (9%) |
| Conditioning regimen intensity, n (%) | ||||
| MAC | 583 (60%) | 483 (64%) | 51 (44%) | 49 (47%) |
| Non-MAC | 396 (40%) | 276 (36%) | 64 (56%) | 56 (53%) |
| Non-Relapse Mortality | Relapse | RFS | OS | |||||
|---|---|---|---|---|---|---|---|---|
| HR (95% CI) | p | HR (95% CI) | p | HR (95% CI) | p | HR (95% CI) | p | |
| Age at transplantation, years | 1.04 (1.02–1.05) | <0.001 | 1.01 (1.00–1.02) | 0.035 | 1.02 (1.01–1.03) | <0.001 | 1.02 (1.01–1.03) | <0.001 |
| Female gender | 0.71 (0.54–0.95) | 0.022 | 0.85 (0.68–1.06) | 0.2 | 0.79 (0.67–0.95) | 0.011 | 0.81 (0.67–0.97) | 0.022 |
| WBC count at diagnosis, G/L | 1.00 (1.00–1.00) | 0.3 | 1.00 (1.00–1.00) | 0.5 | 1.00 (1.00–1.00) | 0.3 | 1.00 (1.00–1.00) | 0.2 |
| Disease status at diagnosis | ||||||||
| De novo | Ref. | Ref. | Ref. | Ref. | ||||
| Therapy-related | 1.06 (0.68–1.66) | 0.88 | 1.19 (0.85–1.67) | 0.3 | 1.14 (0.88–1.50) | 0.3 | 1.12 (0.84–1.48) | 0.4 |
| Antecedent hematologic disorder | 1.94 (1.30–2.88) | 0.001 | 1.54 (1.11–2.15) | 0.011 | 1.69 (1.31–2.18) | <0.001 | 1.63 (1.25–2.12) | <0.001 |
| Cytogenetic risk (MRC) | ||||||||
| Favorable | Ref. | Ref. | Ref. | Ref. | ||||
| Intermediate | 1.43 (0.81–2.52) | 0.2 | 1.75 (0.99–3.06) | 0.052 | 1.59 (1.06–2.37) | 0.024 | 1.74 (1.13–2.69) | 0.012 |
| Adverse | 0.98 (0.51–1.89) | >0.9 | 3.20 (1.79–5.71) | <0.001 | 2.11 (1.38–3.21) | <0.001 | 2.22 (1.40–3.50) | <0.001 |
| Time from last remission to HCT, days | 1.00 (1.00–1.00) | 0.5 | 1.00 (1.00–1.00) | 0.034 | 1.00 (1.00–1.00) | 0.2 | 1.00 (1.00–1.00) | 0.3 |
| Disease status at HCT | ||||||||
| First remission | Ref. | Ref. | Ref. | Ref. | ||||
| Second remission | 1.20 (0.87–1.66) | 0.3 | 1.36 (1.06–1.74) | 0.016 | 1.30 (1.06–1.58) | 0.010 | 1.34 (1.09–1.64) | 0.005 |
| MFC MRD status before HCT | ||||||||
| MRD-negative | Ref. | Ref. | Ref. | Ref. | ||||
| MRD-positive | 1.60 (1.10–2.32) | 0.014 | 4.28 (3.40–5.40) | <0.001 | 3.11 (2.57–3.76) | <0.001 | 2.65 (2.18–3.23) | <0.001 |
| Recovered peripheral blood counts before HCT | 0.60 (0.45–0.80) | <0.001 | 0.95 (0.74–1.21) | 0.7 | 0.79 (0.66–0.95) | 0.014 | 0.76 (0.63–0.92) | 0.006 |
| HCT-CI category | ||||||||
| Low | Ref. | Ref. | Ref. | Ref. | ||||
| Intermediate | 1.25 (0.87–1.79) | 0.2 | 1.10 (0.84–1.44) | 0.5 | 1.15 (0.93–1.43) | 0.2 | 1.17 (0.93–1.46) | 0.2 |
| High | 1.70 (1.19–2.42) | 0.003 | 1.16 (0.87–1.53) | 0.3 | 1.34 (1.08–1.67) | 0.008 | 1.41 (1.12–1.77) | 0.003 |
| Stem cell source | ||||||||
| BM | Ref. | Ref. | Ref. | Ref. | ||||
| PBSC | 1.91 (0.97–3.74) | 0.060 | 0.69 (0.48–0.98) | 0.036 | 0.93 (0.68–1.27) | 0.6 | 0.93 (0.67–1.27) | 0.6 |
| Cord blood | 2.03 (0.96–4.30) | 0.065 | 0.56 (0.35–0.90) | 0.017 | 0.85 (0.58–1.25) | 0.4 | 0.94 (0.63–1.39) | 0.7 |
| HLA matching | ||||||||
| Identical related donor | Ref. | Ref. | Ref. | Ref. | ||||
| Matched unrelated donor | 1.09 (0.75–1.59) | 0.6 | 0.97 (0.74–1.28) | 0.8 | 1.02 (0.81–1.27) | 0.9 | 1.04 (0.82–1.32) | 0.7 |
| 1–2 allele mismatch | 2.53 (1.61–3.96) | <0.001 | 1.15 (0.77–1.73) | 0.5 | 1.61 (1.20–2.17) | 0.002 | 1.80 (1.32–2.44) | <0.001 |
| Haplo-identical | 1.48 (0.63–3.50) | 0.4 | 1.74 (1.02–2.94) | 0.040 | 1.68 (1.08–2.64) | 0.023 | 1.75 (1.08–2.82) | 0.022 |
| Cord blood | 1.37 (0.85–2.22) | 0.2 | 0.81 (0.54–1.22) | 0.3 | 1.00 (0.73–1.36) | >0.9 | 1.13 (0.82–1.56) | 0.4 |
| Conditioning regimen intensity | ||||||||
| MAC | Ref. | Ref. | Ref. | Ref. | ||||
| Non-MAC | 2.28 (1.72–3.04) | <0.001 | 1.36 (1.08–1.70) | 0.008 | 1.66 (1.39–1.98) | <0.001 | 1.60 (1.33–1.92) | <0.001 |
| Non-Relapse Mortality | Relapse | RFS | OS | |||||
|---|---|---|---|---|---|---|---|---|
| HR (95% CI) | p | HR (95% CI) | p | HR (95% CI) | p | HR (95% CI) | p | |
| Age at transplantation, years | 1.02 (1.00–1.04) | 0.012 | 1.00 (0.99–1.01) | 0.4 | 1.00 (1.00–1.01) | 0.3 | 1.01 (1.00–1.01) | 0.2 |
| Female gender | 0.75 (0.55–1.03) | 0.071 | 1.02 (0.80–1.30) | 0.9 | 0.91 (0.75–1.10) | 0.3 | 0.87 (0.71–1.06) | 0.2 |
| WBC count at diagnosis, G/L | 1.00 (1.00–1.01) | 0.068 | 1.00 (1.00–1.00) | 0.013 | 1.00 (1.00–1.00) | 0.002 | 1.00 (1.00–1.00) | 0.004 |
| Disease status at diagnosis | ||||||||
| De novo | Ref. | Ref. | Ref. | Ref. | ||||
| Therapy-related | 0.84 (0.51–1.39) | 0.5 | 0.86 (0.59–1.26) | 0.4 | 0.89 (0.66–1.21) | 0.5 | 0.93 (0.68–1.27) | 0.6 |
| Antecedent hematologic disorder | 1.59 (1.01–2.52) | 0.047 | 1.07 (0.73–1.58) | 0.7 | 1.20 (0.89–1.61) | 0.2 | 1.19 (0.88–1.62) | 0.2 |
| Cytogenetic risk (MRC) | ||||||||
| Favorable | Ref. | Ref. | Ref. | Ref. | ||||
| Intermediate | 1.28 (0.69–2.37) | 0.4 | 1.97 (1.06–3.65) | 0.031 | 1.58 (1.02–2.43) | 0.040 | 1.74 (1.09–2.77) | 0.020 |
| Adverse | 0.83 (0.40–1.72) | 0.6 | 3.20 (1.66–6.17) | <0.001 | 1.93 (1.20–3.10) | 0.007 | 2.07 (1.24–3.44) | 0.005 |
| Time from last remission to HCT, days | 1.00 (1.00–1.00) | >0.9 | 1.00 (1.00–1.00) | 0.5 | 1.00 (1.00–1.00) | 0.7 | 1.00 (1.00–1.00) | 0.7 |
| Disease status at HCT | ||||||||
| First remission | Ref. | Ref. | Ref. | Ref. | ||||
| Second remission | 1.18 (0.80–1.74) | 0.4 | 1.43 (1.05–1.94) | 0.023 | 1.31 (1.03–1.66) | 0.029 | 1.34 (1.05–1.71) | 0.020 |
| MFC MRD status before HCT | ||||||||
| MRD-negative | Ref. | Ref. | Ref. | Ref. | ||||
| MRD-positive | 1.29 (0.84–1.97) | 0.2 | 4.31 (3.31–5.62) | <0.001 | 2.95 (2.37–3.67) | <0.001 | 2.39 (1.91–2.99) | <0.001 |
| Recovered peripheral blood counts before HCT | 0.76 (0.55–1.05) | 0.10 | 1.17 (0.89–1.53) | 0.3 | 1.00 (0.81–1.22) | <0.9 | 0.91 (0.74–1.13) | 0.4 |
| HCT-CI category | ||||||||
| Low | Ref. | Ref. | Ref. | Ref. | ||||
| Intermediate | 1.16 (0.79–1.68) | 0.4 | 1.07 (0.80–1.43) | 0.6 | 1.10 (0.87–1.38) | 0.4 | 1.10 (0.86–1.40) | 0.4 |
| High | 1.52 (1.03–2.23) | 0.034 | 1.21 (0.88–1.65) | 0.2 | 1.29 (1.01–1.65) | 0.039 | 1.33 (1.04–1.72) | 0.026 |
| Stem cell source | ||||||||
| BM | Ref. | Ref. | Ref. | Ref. | ||||
| PBSC | 1.34 (0.66–2.75) | 0.4 | 0.64 (0.42–0.96) | 0.033 | 0.78 (0.55–1.11) | 0.2 | 0.85 (0.59–1.23) | 0.4 |
| Cord blood | 2.24 (0.96–5.23) | 0.062 | 0.46 (0.26–0.83) | 0.009 | 0.77 (0.49–1.23) | 0.3 | 0.97 (0.60–1.58) | >0.9 |
| HLA matching | ||||||||
| Identical related donor | Ref. | Ref. | Ref. | Ref. | ||||
| Matched unrelated donor | 0.94 (0.63–1.41) | 0.8 | 0.89 (0.66–1.20) | 0.4 | 0.90 (0.71–1.15) | 0.4 | 0.93 (0.72–1.19) | 0.5 |
| 1–2 allele mismatch | 1.80 (1.11–2.93) | 0.018 | 0.95 (0.62–1.47) | 0.8 | 1.28 (0.93–1.76) | 0.13 | 1.48 (1.06–2.05) | 0.021 |
| Haplo-identical | 1.70 (0.68–4.24) | 0.3 | 1.29 (0.72–2.32) | 0.4 | 1.41 (0.86–2.30) | 0.2 | 1.56 (0.92–2.65) | 0.10 |
| Conditioning regimen intensity | ||||||||
| MAC | Ref. | Ref. | Ref. | Ref. | ||||
| Non-MAC | 1.51 (1.03–2.22) | 0.033 | 1.71 (1.27–2.30) | <0.001 | 1.66 (1.31–2.09) | <0.001 | 1.48 (1.16–1.89) | 0.002 |
| Non-Relapse Mortality | Relapse | RFS | OS | |||||
|---|---|---|---|---|---|---|---|---|
| HR (95% CI) | p | HR (95% CI) | p | HR (95% CI) | p | HR (95% CI) | p | |
| Age at transplantation, years | 1.00 (0.97–1.03) | 0.8 | 1.02 (0.99–1.04) | 0.2 | 1.01 (0.99–1.03) | 0.3 | 1.00 (0.98–1.02) | 0.8 |
| Female gender | 0.57 (0.26–1.23) | 0.2 | 0.80 (0.46–1.41) | 0.4 | 0.71 (0.45–1.12) | 0.14 | 0.66 (0.41–1.07) | 0.089 |
| WBC count at diagnosis, G/L | 1.00 (0.99–1.01) | 0.6 | 1.00 (0.99–1.01) | 0.8 | 1.00 (0.99–1.01) | >0.9 | 1.00 (0.99–1.01) | 0.9 |
| Cytogenetic risk (MRC) | ||||||||
| Favorable | ||||||||
| Intermediate | Ref. | Ref. | Ref. | Ref. | ||||
| Adverse | 0.51 (0.20–1.32) | 0.2 | 1.80 (1.01–3.20) | 0.046 | 1.18 (0.73–1.89) | 0.5 | 1.01 (0.61–1.66) | >0.9 |
| Time from last remission to HCT, days | 1.00 (0.99–1.01) | >0.9 | 1.00 (1.00–1.01) | 0.3 | 1.00 (1.00–1.01) | 0.3 | 1.00 (1.00–1.00) | 0.7 |
| Disease status at HCT | ||||||||
| First remission | Ref. | Ref. | Ref. | Ref. | ||||
| Second remission | 1.12 (0.39–3.22) | 0.8 | 1.71 (0.86–3.42) | 0.13 | 1.49 (0.84–2.65) | 0.2 | 1.23 (0.68–2.24) | 0.5 |
| MFC MRD status before HCT | ||||||||
| MRD-negative | Ref. | Ref. | Ref. | Ref. | ||||
| MRD-positive | 1.08 (0.52–2.25) | 0.8 | 2.21 (1.28–3.81) | 0.005 | 1.70 (1.10–2.61) | 0.016 | 1.75 (1.12–2.72) | 0.014 |
| Recovered peripheral blood counts before HCT | 0.91 (0.46–1.82) | 0.8 | 1.26 (0.72–2.20) | 0.4 | 1.11 (0.72–1.71) | 0.6 | 1.10 (0.70–1.71) | 0.7 |
| HCT-CI category | ||||||||
| Low | Ref. | Ref. | Ref. | Ref. | ||||
| Intermediate | 1.33 (0.57–3.11) | 0.5 | 1.06 (0.50–2.22) | 0.9 | 1.17 (0.67–2.04) | 0.6 | 1.51 (0.83–2.75) | 0.2 |
| High | 1.85 (0.76–4.49) | 0.2 | 2.51 (1.27–4.94) | 0.008 | 2.26 (1.32–3.86) | 0.003 | 2.58 (1.45–4.58) | 0.001 |
| Stem cell source | ||||||||
| BM | Ref. | Ref. | Ref. | Ref. | ||||
| PBSC | 0.21 (0.06–0.71) | 0.012 | 1.54 (0.21–11.2) | 0.7 | 0.54 (0.20–1.48) | 0.2 | 0.38 (0.14–1.06) | 0.066 |
| Cord blood | 0.52 (0.11–2.34) | 0.4 | 2.68 (0.32–22.3) | 0.4 | 1.07 (0.33–3.41) | >0.9 | 0.70 (0.21–2.29) | 0.6 |
| HLA matching | ||||||||
| Identical related donor | Ref. | Ref. | Ref. | Ref. | ||||
| Matched unrelated donor | 1.12 (0.47–2.68) | 0.8 | 1.70 (0.78–3.72) | 0.2 | 1.43 (0.80–2.54) | 0.2 | 1.14 (0.64–2.05) | 0.7 |
| 1–2 allele mismatch | 1.28 (0.42–3.95) | 0.7 | 1.57 (0.57–4.33) | 0.4 | 1.42 (0.67–3.02) | 0.4 | 1.36 (0.63–2.93) | 0.4 |
| Haplo-identical | 6.03 (0.69–52.5) | 0.10 | 5.39 (1.11–26.1) | 0.036 | 5.35 (1.51–19) | 0.009 | 4.33 (1.24–15.1) | 0.022 |
| Cord blood | 2.56 (0.75–8.74) | 0.13 | 2.73 (0.94–7.90) | 0.064 | 2.61 (1.17–5.81) | 0.019 | 2.05 (0.90–4.68) | 0.086 |
| Conditioning regimen intensity | ||||||||
| MAC | Ref. | Ref. | Ref. | Ref. | ||||
| Non-MAC | 0.88 (0.44–1.76) | 0.7 | 2.11 (1.18–3.77) | 0.012 | 1.48 (0.96–2.29) | 0.075 | 1.06 (0.68–1.65) | 0.8 |
Disclaimer/Publisher’s Note: The statements, opinions and data contained in all publications are solely those of the individual author(s) and contributor(s) and not of MDPI and/or the editor(s). MDPI and/or the editor(s) disclaim responsibility for any injury to people or property resulting from any ideas, methods, instructions or products referred to in the content. |
© 2023 by the authors. Licensee MDPI, Basel, Switzerland. This article is an open access article distributed under the terms and conditions of the Creative Commons Attribution (CC BY) license (https://creativecommons.org/licenses/by/4.0/).
Share and Cite
Orvain, C.; Rodríguez-Arbolí, E.; Othus, M.; Sandmaier, B.M.; Deeg, H.J.; Appelbaum, F.R.; Walter, R.B. Association between Prior Cytotoxic Therapy, Antecedent Hematologic Disorder, and Outcome after Allogeneic Hematopoietic Cell Transplantation in Adult Acute Myeloid Leukemia. Cancers 2023, 15, 352. https://doi.org/10.3390/cancers15020352
Orvain C, Rodríguez-Arbolí E, Othus M, Sandmaier BM, Deeg HJ, Appelbaum FR, Walter RB. Association between Prior Cytotoxic Therapy, Antecedent Hematologic Disorder, and Outcome after Allogeneic Hematopoietic Cell Transplantation in Adult Acute Myeloid Leukemia. Cancers. 2023; 15(2):352. https://doi.org/10.3390/cancers15020352
Chicago/Turabian StyleOrvain, Corentin, Eduardo Rodríguez-Arbolí, Megan Othus, Brenda M. Sandmaier, H. Joachim Deeg, Frederick R. Appelbaum, and Roland B. Walter. 2023. "Association between Prior Cytotoxic Therapy, Antecedent Hematologic Disorder, and Outcome after Allogeneic Hematopoietic Cell Transplantation in Adult Acute Myeloid Leukemia" Cancers 15, no. 2: 352. https://doi.org/10.3390/cancers15020352
APA StyleOrvain, C., Rodríguez-Arbolí, E., Othus, M., Sandmaier, B. M., Deeg, H. J., Appelbaum, F. R., & Walter, R. B. (2023). Association between Prior Cytotoxic Therapy, Antecedent Hematologic Disorder, and Outcome after Allogeneic Hematopoietic Cell Transplantation in Adult Acute Myeloid Leukemia. Cancers, 15(2), 352. https://doi.org/10.3390/cancers15020352

