Outcome for Pediatric Adreno-Cortical Tumors Is Best Predicted by the COG Stage and Five-Item Microscopic Score—Report from the German MET Studies
Abstract
Simple Summary
Abstract
1. Introduction
2. Materials and Methods
2.1. The German MET Studies
2.2. Statistical Analyses
3. Results
3.1. Neoadjuvant Treatment
3.2. Surgical Management, Histopathological Evaluation, and Post-Surgical Staging
3.3. Adjuvant Treatment in Patients with ACCs and ACx
3.4. Outcome and Subsequent Events in ACCs and ACx
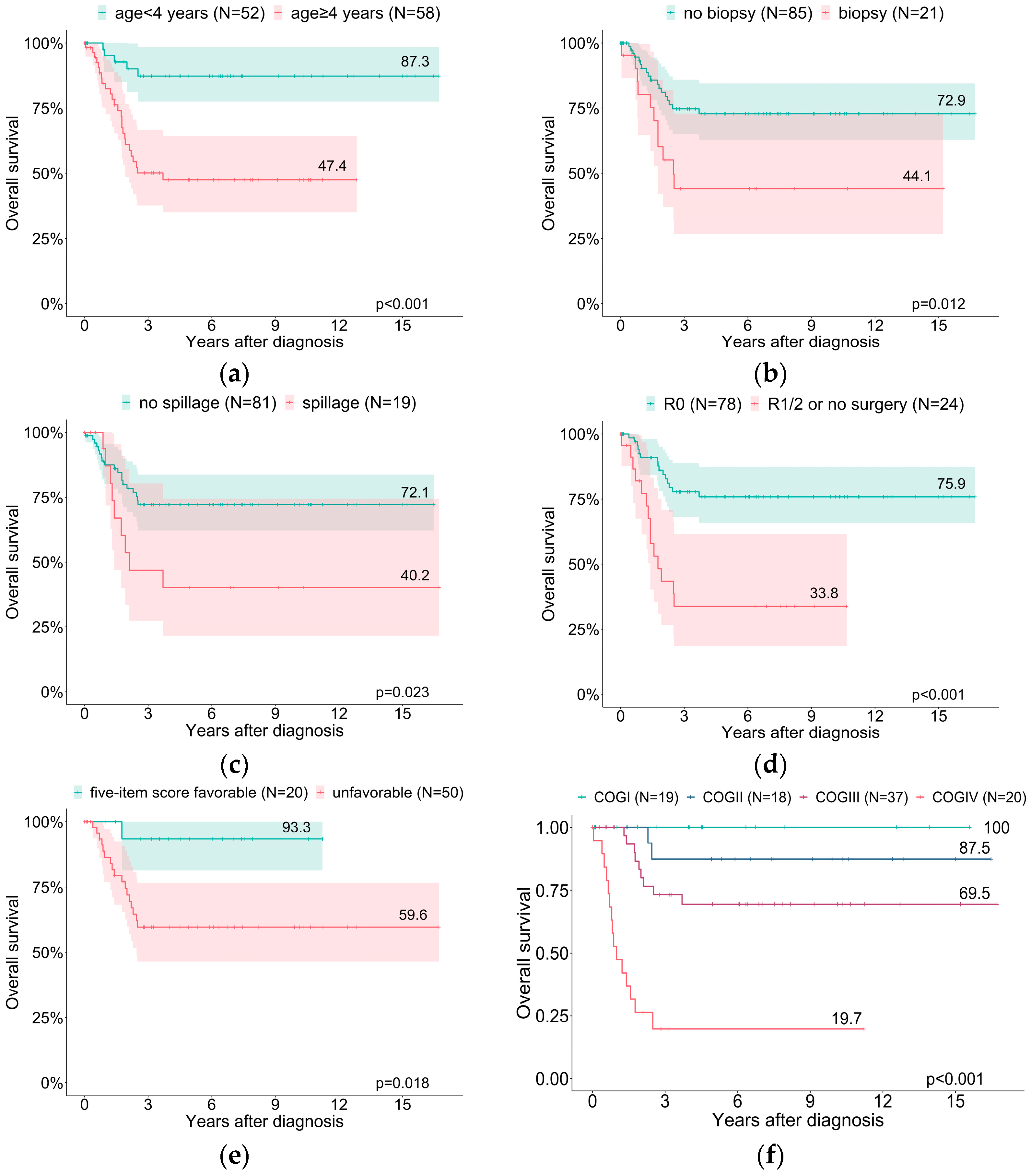
3.5. Outcome for the Clinical Factors and Assessment of Risk Factors in Patients with ACCs and ACx
4. Discussion
5. Conclusions
Author Contributions
Funding
Institutional Review Board Statement
Informed Consent Statement
Data Availability Statement
Conflicts of Interest
References
- Siegel, D.A.; King, J.; Tai, E.; Buchanan, N.; Ajani, U.A.; Li, J. Cancer Incidence Rates and Trends Among Children and Adolescents in the United States, 2001–2009. Pediatrics 2014, 134, e945–e955. [Google Scholar] [CrossRef] [PubMed]
- Dall’Igna, P.; Virgone, C.; De Salvo, G.L.; Bertorelle, R.; Indolfi, P.; De Paoli, A.; Buffa, P.; Conte, M.; Esposito, G.; Inserra, A.; et al. Adrenocortical tumors in Italian children: Analysis of clinical characteristics and P53 status. Data from the national registries. J. Pediatr. Surg. 2014, 49, 1367–1371. [Google Scholar] [CrossRef] [PubMed]
- Wasserman, J.D.; Novokmet, A.; Eichler-Jonsson, C.; Ribeiro, R.C.; Rodriguez-Galindo, C.; Zambetti, G.P.; Malkin, D. Prevalence and Functional Consequence of TP53 Mutations in Pediatric Adrenocortical Carcinoma: A Children’s Oncology Group Study. J. Clin. Oncol. 2015, 33, 602–609. [Google Scholar] [CrossRef] [PubMed]
- Ribeiro, R.C.; Sandrini, F.; Figueiredo, B.; Zambetti, G.P.; Michalkiewicz, E.; Lafferty, A.R.; DeLacerda, L.; Rabin, M.; Cadwell, C.; Sampaio, G.; et al. An inherited p53 mutation that contributes in a tissue-specific manner to pediatric adrenal cortical carcinoma. Proc. Natl. Acad. Sci. USA 2001, 98, 9330–9335. [Google Scholar] [CrossRef]
- Mastellaro, M.J.; Seidinger, A.L.; Kang, G.; Abrahão, R.; Miranda, E.C.M.; Pounds, S.B.; Cardinalli, I.A.; Aguiar, S.S.; Figueiredo, B.C.; Rodriguez-Galindo, C.; et al. Contribution of the TP53 R337H mutation to the cancer burden in southern Brazil: Insights from the study of 55 families of children with adrenocortical tumors. Cancer 2017, 123, 3150–3158. [Google Scholar] [CrossRef]
- Michalkiewicz, E.; Sandrini, R.; Figueiredo, B.; Miranda, E.C.; Caran, E.; Oliveira-Filho, A.G.; Marques, R.; Pianovski, M.A.; Lacerda, L.; Cristofani, L.M.; et al. Clinical and Outcome Characteristics of Children With Adrenocortical Tumors: A Report From the International Pediatric Adrenocortical Tumor Registry. J. Clin. Oncol. 2004, 22, 838–845. [Google Scholar] [CrossRef]
- Wagner, J.; Portwine, C.; Rabin, K.; Leclerc, J.-M.; Narod, S.A.; Malkin, D. High Frequency of Germline p53 Mutations in Childhood Adrenocortical Cancer. JNCI J. Natl. Cancer Inst. 1994, 86, 1707–1710. [Google Scholar] [CrossRef]
- Ribeiro, R.C.; Pinto, E.M.; Zambetti, G.P.; Rodriguez-Galindo, C. The International Pediatric Adrenocortical Tumor Registry initiative: Contributions to clinical, biological, and treatment advances in pediatric adrenocortical tumors. Mol. Cell Endocrinol. 2012, 351, 37–43. [Google Scholar] [CrossRef]
- Rodriguez-Galindo, C.; Figueiredo, B.C.; Zambetti, G.P.; Ribeiro, R.C. Biology, clinical characteristics, and management of adrenocortical tumors in children. Pediatr. Blood Cancer 2005, 45, 265–273. [Google Scholar] [CrossRef]
- Cecchetto, G.; Ganarin, A.; Bien, E.; Vorwerk, P.; Bisogno, G.; Godzinski, J.; Dall’Igna, P.; Reguerre, Y.; Schneider, D.; Brugières, L.; et al. Outcome and prognostic factors in high-risk childhood adrenocortical carcinomas: A report from the European Cooperative Study Group on Pediatric Rare Tumors (EXPeRT). Pediatr. Blood Cancer 2016, 64, e26368. [Google Scholar] [CrossRef]
- Dehner, L.P. Pediatric Adrenocortical Neoplasms. Am. J. Surg. Pathol. 2003, 27, 1005–1007. [Google Scholar] [CrossRef] [PubMed]
- Wieneke, J.A.; Thompson, L.D.R.; Heffess, C.S. Adrenal Cortical Neoplasms in the Pediatric Population. Am. J. Surg. Pathol. 2003, 27, 867–881. [Google Scholar] [CrossRef] [PubMed]
- Zambaiti, E.; Duci, M.; De Corti, F.; Gamba, P.; Dall’Igna, P.; Ghidini, F.; Virgone, C. Clinical prognostic factors in pediatric adrenocortical tumors: A meta-analysis. Pediatr. Blood Cancer 2020, 68, e28836. [Google Scholar] [CrossRef] [PubMed]
- Chatterjee, G.; DasGupta, S.; Mukherjee, G.; Sengupta, M.; Roy, P.; Arun, I.; Datta, C.; Mishra, P.K.; Banerjee, S.; Chatterjee, U. Usefulness of Wieneke criteria in assessing morphologic characteristics of adrenocortical tumors in children. Pediatr. Surg. Int. 2015, 31, 563–571. [Google Scholar] [CrossRef]
- Jehangir, S.; Nanjundaiah, P.; Sigamani, E.; Burad, D.; Manipadam, M.T.; Lea, V.; Ly, T.; Holland, A.J.A. Pathological prognostication of paediatric adrenocortical tumours: Is a gold standard emerging? Pediatr. Blood Cancer 2018, 66, e27567. [Google Scholar] [CrossRef]
- Teinturier, C.; Pauchard, M.S.; Brugieres, L.; Landais, P.; Chaussain, J.L.; Bougneres, P.F. Clinical and prognostic aspects of adrenocortical neoplasms in childhood. Med. Pediatr. Oncol. 1999, 32, 106–111. [Google Scholar] [CrossRef]
- Picard, C.; Orbach, D.; Carton, M.; Brugieres, L.; Renaudin, K.; Aubert, S.; Berrebi, D.; Galmiche, L.; Dujardin, F.; Leblond, P.; et al. Revisiting the role of the pathological grading in pediatric adrenal cortical tumors: Results from a national cohort study with pathological review. Mod. Pathol. 2018, 32, 546–559. [Google Scholar] [CrossRef] [PubMed]
- Picard, C.; Faure-Conter, C.; Leblond, P.; Brugières, L.; Thomas-Teinturier, C.; Hameury, F.; Defachelles, A.; Verschuur, A.; Brisse, H.J.; Sarnacki, S.; et al. Exploring heterogeneity of adrenal cortical tumors in children: The French pediatric rare tumor group (Fracture) experience. Pediatr. Blood Cancer 2019, 67, e28086. [Google Scholar] [CrossRef]
- McAteer, J.P.; Huaco, J.A.; Gow, K.W. Predictors of survival in pediatric adrenocortical carcinoma: A Surveillance, Epidemiology, and End Results (SEER) program study. J. Pediatr. Surg. 2013, 48, 1025–1031. [Google Scholar] [CrossRef]
- Rodriguez-Galindo, C.; Krailo, M.D.; Pinto, E.M.; Pashankar, F.; Weldon, C.B.; Huang, L.; Caran, E.M.; Hicks, J.; McCarville, M.B.; Malkin, D.; et al. Treatment of Pediatric Adrenocortical Carcinoma With Surgery, Retroperitoneal Lymph Node Dissection, and Chemotherapy: The Children’s Oncology Group ARAR0332 Protocol. J. Clin. Oncol. 2021, 39, 2463–2473. [Google Scholar] [CrossRef]
- Virgone, C.; Roganovic, J.; Vorwerk, P.; Redlich, A.; Schneider, D.T.; Janic, D.; Bien, E.; López-Almaraz, R.; Godzinski, J.; Osterlundh, G.; et al. Adrenocortical tumours in children and adolescents: The EXPeRT/PARTNER diagnostic and therapeutic recommendations. Pediatr. Blood Cancer 2021, 68, e29025. [Google Scholar] [CrossRef]
- Hubertus, J.; Boxberger, N.; Redlich, A.; von Schweinitz, D.; Vorwerk, P. Surgical Aspects in the Treatment of Adrenocortical Carcinomas in Children: Data of the GPOH-MET 97 Trial. Klin. Pädiatrie 2012, 224, 143–147. [Google Scholar] [CrossRef]
- Redlich, A.; Boxberger, N.; Strugala, D.; Frühwald, M.C.; Leuschner, I.; Kropf, S.; Bucsky, P.; Vorwerk, P. Systemic Treatment of Adrenocortical Carcinoma in Children: Data from the German GPOH-MET 97 Trial. Klin. Pädiatrie 2012, 224, 366–371. [Google Scholar] [CrossRef]
- Sandrini, R.; Ribeiro, R.C.; DeLacerda, L. Childhood Adrenocortical Tumors1. J. Clin. Endocrinol. Metab. 1997, 82, 2027–2031. [Google Scholar] [CrossRef][Green Version]
- Riedmeier, M.; Decarolis, B.; Haubitz, I.; Reibetanz, J.; Wiegering, A.; Härtel, C.; Schlegel, P.-G.; Fassnacht, M.; Wiegering, V. Assessment of prognostic factors in pediatric adrenocortical tumors: A systematic review and evaluation of a modified S-GRAS score. Eur. J. Endocrinol. 2022, 187, 751–763. [Google Scholar] [CrossRef]
- Pinto, E.M.; Rodriguez-Galindo, C.; Pounds, S.B.; Wang, L.; Clay, M.R.; Neale, G.; Garfinkle, E.A.; Lam, C.G.; Levy, C.F.; Pappo, A.S.; et al. Identification of Clinical and Biologic Correlates Associated With Outcome in Children With Adrenocortical Tumors Without Germline TP53 Mutations: A St Jude Adrenocortical Tumor Registry and Children’s Oncology Group Study. J. Clin. Oncol. 2017, 35, 3956–3963. [Google Scholar] [CrossRef]
- Gulack, B.C.; Rialon, K.L.; Englum, B.R.; Kim, J.; Talbot, L.J.; Adibe, O.O.; Rice, H.E.; Tracy, E.T. Factors associated with survival in pediatric adrenocortical carcinoma: An analysis of the National Cancer Data Base (NCDB). J. Pediatr. Surg. 2015, 51, 172–177. [Google Scholar] [CrossRef]
- Williams, A.R.; Hammer, G.D.; Else, T. Transcutaneous biopsy of adrenocortical carcinoma is rarely helpful in diagnosis, potentially harmful, but does not affect patient outcome. Eur. J. Endocrinol. 2014, 170, 829–835. [Google Scholar] [CrossRef]
- Riedmeier, M.; Decarolis, B.; Haubitz, I.; Müller, S.; Uttinger, K.; Börner, K.; Reibetanz, J.; Wiegering, A.; Härtel, C.; Schlegel, P.-G.; et al. Adrenocortical Carcinoma in Childhood: A Systematic Review. Cancers 2021, 13, 5266. [Google Scholar] [CrossRef]
- Kuhlen, M.; Mier, P.; Kunstreich, M.; Lessel, L.; Schneider, D.; Brecht, I.; Schewe, D.M.; Frühwald, M.C.; Vorwerk, P.; Redlich, A. Key factors for effective mitotane therapy in children with adrenocortical carcinoma. Endocr.-Relat. Cancer 2022, 29, 545–555. [Google Scholar] [CrossRef]
- Pinto, E.M.; Chen, X.; Easton, J.; Finkelstein, D.; Liu, Z.; Pounds, S.; Rodriguez-Galindo, C.; Lund, T.C.; Mardis, E.R.; Wilson, R.K.; et al. Genomic landscape of paediatric adrenocortical tumours. Nat. Commun. 2015, 6, 6302. [Google Scholar] [CrossRef]




| Characteristics | <4 Years | ≥4 Years | Total | p-Value | |||
|---|---|---|---|---|---|---|---|
| n | % | n | % | n | % | ||
| Diagnoses | |||||||
| ACC | 37 | 47.4 | 54 | 65.1 | 91 | 56.5 | 0.009 |
| ACx | 15 | 19.2 | 4 | 4.8 | 19 | 11.8 | |
| ACA | 26 | 33.3 | 25 | 30.1 | 51 | 31.7 | |
| Sex | |||||||
| Female | 48 | 61.5 | 65 | 78.3 | 113 | 70.2 | 0.031 |
| Male | 30 | 38.5 | 18 | 21.7 | 48 | 29.8 | |
| Age (years) at diagnosis | |||||||
| Median | 1.4 | 11.3 | 4.3 | ||||
| Range | 0.1–3.9 | 4.1–17.8 | 0.1–17.8 | ||||
| Distant metastases in | |||||||
| ACC/ACx | 3 | 5.8 | 17 | 29.3% | 20 | 18.2 | 0.003 |
| Lung | 3 | 15 | 18 | ||||
| Liver | 0 | 5 | 5 | ||||
| Bone | 0 | 3 | 3 | ||||
| Central nervous system | 0 | 1 | 1 | ||||
| No | 49 | 41 | 90 | ||||
| Not reported | 0 | 0 | 0 | ||||
| Symptomatic interval (months) prior to diagnosis | |||||||
| Median | 3.6 | 6.0 | 4.8 | 0.002 | |||
| Range | 0–30.0 | 0–169.2 | 0–169.2 | ||||
| Endocrine phenotype | |||||||
| Cushing syndrome | 2 | 3.4 | 11 | 18.0 | 13 | 10.9 | 0.004 |
| Virilization * | 33 | 56.9 | 17 | 27.9 | 50 | 42.0 | |
| Combined | 9 | 15.5 | 16 | 26.2 | 25 | 21.0 | |
| Silent | 14 | 24.1 | 17 | 27.9 | 31 | 26.1 | |
| Not reported | 20 | 22 | 42 | ||||
| <4 Years | ≥4 Years | Total | p-Value | ||||
|---|---|---|---|---|---|---|---|
| n | % | n | % | n | % | ||
| Tumor volume (cm3) | |||||||
| Median | 113.0 | 336.5 | 160.8 | <0.001 | |||
| Range | 0.5–1260.0 | 11.4–3645.0 | 0.5–3645.0 | ||||
| Tumor weight (g) | |||||||
| Median | 123.5 | 303.5 | 215.0 | 0.008 | |||
| Range | 9.0–1214.0 | 11.7–3300.0 | 9.0–3300.0 | ||||
| Tumor diameter (cm) | |||||||
| maximum | |||||||
| Median | 7.4 | 10.5 | 8.5 | ||||
| Range | 1.0–19.5 | 4.0–30.0 | 1.0–30.0 | <0.001 | |||
| Resection status | |||||||
| Complete | 43 | 89.6 | 35 | 64.8 | 78 | 76.5 | 0.023 |
| Microscopic residue | 3 | 6.3 | 10 | 18.5 | 13 | 12.7 | |
| Macroscopic residue | 2 | 4.2 | 5 | 9.3 | 7 | 6.9 | |
| No surgery | 0 | 4 | 7.4 | 4 | 3.9 | ||
| Vena cava invasion | |||||||
| Yes | 9 | 18.0 | 16 | 29.1 | 25 | 23.8 | |
| No | 41 | 82.0 | 39 | 70.9 | 80 | 76.2 | 0.270 |
| Venous invasion | |||||||
| Yes | 26 | 30 | 56 | 70.9 | |||
| No | 13 | 66.7 | 10 | 75.0 | 23 | 29.1 | 0.570 |
| Not reported | 13 | 33.3 | 18 | 25.0 | 31 | ||
| Tumor necrosis | |||||||
| Yes | 34 | 40 | 74 | ||||
| No | 12 | 73.9 | 7 | 85.1 | 19 | 79.6 | 0.280 |
| Not reported | 6 | 26.1 | 11 | 14.9 | 17 | 20.4 | |
| Ki-67 index | |||||||
| ≤15% | 22 | 48.9 | 17 | 37.8 | 39 | 43.3 | 0.395 |
| >15% | 23 | 51.1 | 28 | 62.2 | 51 | 56.7 | |
| Wieneke score | |||||||
| <3 | 11 | 45.8 | 7 | 26.9 | 18 | 36.0 | |
| =3 | 6 | 25.0 | 3 | 11.5 | 9 | 18.0 | 0.069 |
| >3 | 7 | 29.2 | 16 | 61.5 | 23 | 46.0 | |
| Five-item score | |||||||
| ≤2 features | 11 | 32.4 | 9 | 25.0 | 20 | 28.6 | |
| >2 features | 23 | 67.6 | 27 | 75.0 | 50 | 71.4 | 0.677 |
| COG stage for ACC/ACx | |||||||
| Stage I | 16 | 35.6 | 4 | 8.0 | 20 | 21.1 | |
| Stage II | 11 | 24.4 | 7 | 14.0 | 18 | 18.9 | |
| Stage III | 15 | 33.3 | 22 | 44.0 | 37 | 38.9 | |
| Stage IV | 3 | 6.7 | 17 | 34.0 | 20 | 21.1 | <0.001 |
| OS | EFS | |||||
|---|---|---|---|---|---|---|
| Univariate Analysis | HR | 95% CI | p | HR | 95% CI | p |
| Age at diagnosis ≥ 4 years | 5.4 | 2.1–14.1 | 0.001 | 3.0 | 1.6–5.9 | 0.001 |
| Virilization | 0.6 | 0.3–1.3 | 0.205 | 0.8 | 0.4–1.6 | 0.562 |
| Cushing syndrome | 1.6 | 0.8–3.4 | 0.217 | 1.5 | 0.8–2.8 | 0.165 |
| Five-item score, unfavorable | 7.5 | 1.0–58.2 | 0.047 | 4.6 | 1.4–15.2 | 0.012 |
| Initial biopsy | 2.5 | 1.2–5.3 | 0.016 | 1.8 | 1.0–3.5 | 0.068 |
| Tumor spillage | 2.4 | 1.1–5.4 | 0.028 | 2.2 | 1.1–4.4 | 0.019 |
| R1/2 resection or no surgery | 4.0 | 1.9–8.4 | <0.001 | 2.7 | 1.5–5.0 | 0.001 |
| Tumor volume ≥ 200 mL | 8.0 | 2.8–23.0 | <0.001 | 3.7 | 1.9–7.1 | <0.001 |
| Ki67 index > 15% | 2.9 | 1.1–8.0 | 0.034 | 3.3 | 1.5–7.2 | 0.003 |
| COG stage III or IV | 10.3 | 2.4–43.7 | 0.002 | 6.4 | 2.5–16.4 | <0.001 |
| COG stage IV | 10.6 | 4.7–23.7 | <0.001 | 5.2 | 2.7–9.9 | <0.001 |
| OS | EFS | |||||
|---|---|---|---|---|---|---|
| Multivariable Analysis | HR | 95% CI | p | HR | 95% CI | p |
| Age at diagnosis ≥ 4 years | 2.8 | 0.8–10.3 | 0.127 | 1.7 | 0.7–4.2 | 0.285 |
| Five-item score > 2 features | 7.5 | 1.0–58.2 | 0.047 | 5.8 | 1.4–24.8 | 0.018 |
| COG stage III | 2.7 | 0.5–14.3 | 0.231 | 3.2 | 1.0–10.9 | 0.057 |
| COG stage IV | 10.5 | 2.1–52.8 | 0.004 | 7.6 | 2.2–26.0 | 0.001 |
Disclaimer/Publisher’s Note: The statements, opinions and data contained in all publications are solely those of the individual author(s) and contributor(s) and not of MDPI and/or the editor(s). MDPI and/or the editor(s) disclaim responsibility for any injury to people or property resulting from any ideas, methods, instructions or products referred to in the content. |
© 2022 by the authors. Licensee MDPI, Basel, Switzerland. This article is an open access article distributed under the terms and conditions of the Creative Commons Attribution (CC BY) license (https://creativecommons.org/licenses/by/4.0/).
Share and Cite
Kuhlen, M.; Kunstreich, M.; Wudy, S.A.; Holterhus, P.-M.; Lessel, L.; Schneider, D.T.; Brecht, I.B.; Schewe, D.M.; Seitz, G.; Roecken, C.; et al. Outcome for Pediatric Adreno-Cortical Tumors Is Best Predicted by the COG Stage and Five-Item Microscopic Score—Report from the German MET Studies. Cancers 2023, 15, 225. https://doi.org/10.3390/cancers15010225
Kuhlen M, Kunstreich M, Wudy SA, Holterhus P-M, Lessel L, Schneider DT, Brecht IB, Schewe DM, Seitz G, Roecken C, et al. Outcome for Pediatric Adreno-Cortical Tumors Is Best Predicted by the COG Stage and Five-Item Microscopic Score—Report from the German MET Studies. Cancers. 2023; 15(1):225. https://doi.org/10.3390/cancers15010225
Chicago/Turabian StyleKuhlen, Michaela, Marina Kunstreich, Stefan A. Wudy, Paul-Martin Holterhus, Lienhard Lessel, Dominik T. Schneider, Ines B. Brecht, Denis M. Schewe, Guido Seitz, Christoph Roecken, and et al. 2023. "Outcome for Pediatric Adreno-Cortical Tumors Is Best Predicted by the COG Stage and Five-Item Microscopic Score—Report from the German MET Studies" Cancers 15, no. 1: 225. https://doi.org/10.3390/cancers15010225
APA StyleKuhlen, M., Kunstreich, M., Wudy, S. A., Holterhus, P.-M., Lessel, L., Schneider, D. T., Brecht, I. B., Schewe, D. M., Seitz, G., Roecken, C., Vokuhl, C., Johann, P. D., Frühwald, M. C., Vorwerk, P., & Redlich, A. (2023). Outcome for Pediatric Adreno-Cortical Tumors Is Best Predicted by the COG Stage and Five-Item Microscopic Score—Report from the German MET Studies. Cancers, 15(1), 225. https://doi.org/10.3390/cancers15010225

