Survival in Breast Cancer Patients with Bone Metastasis: A Multicenter Real-World Study on the Prognostic Impact of Intensive Postoperative Bone Scan after Initial Diagnosis of Breast Cancer (CSBrS-023)
Abstract
Simple Summary
Abstract
1. Introduction
2. Materials and Methods
2.1. Design and Patients
2.2. Clinicopathological Factors
2.3. Follow-Up and Outcomes Definition
2.4. Propensity Score Matching (PSM)
2.5. Statistical Analysis
3. Results
3.1. Patient Characteristics
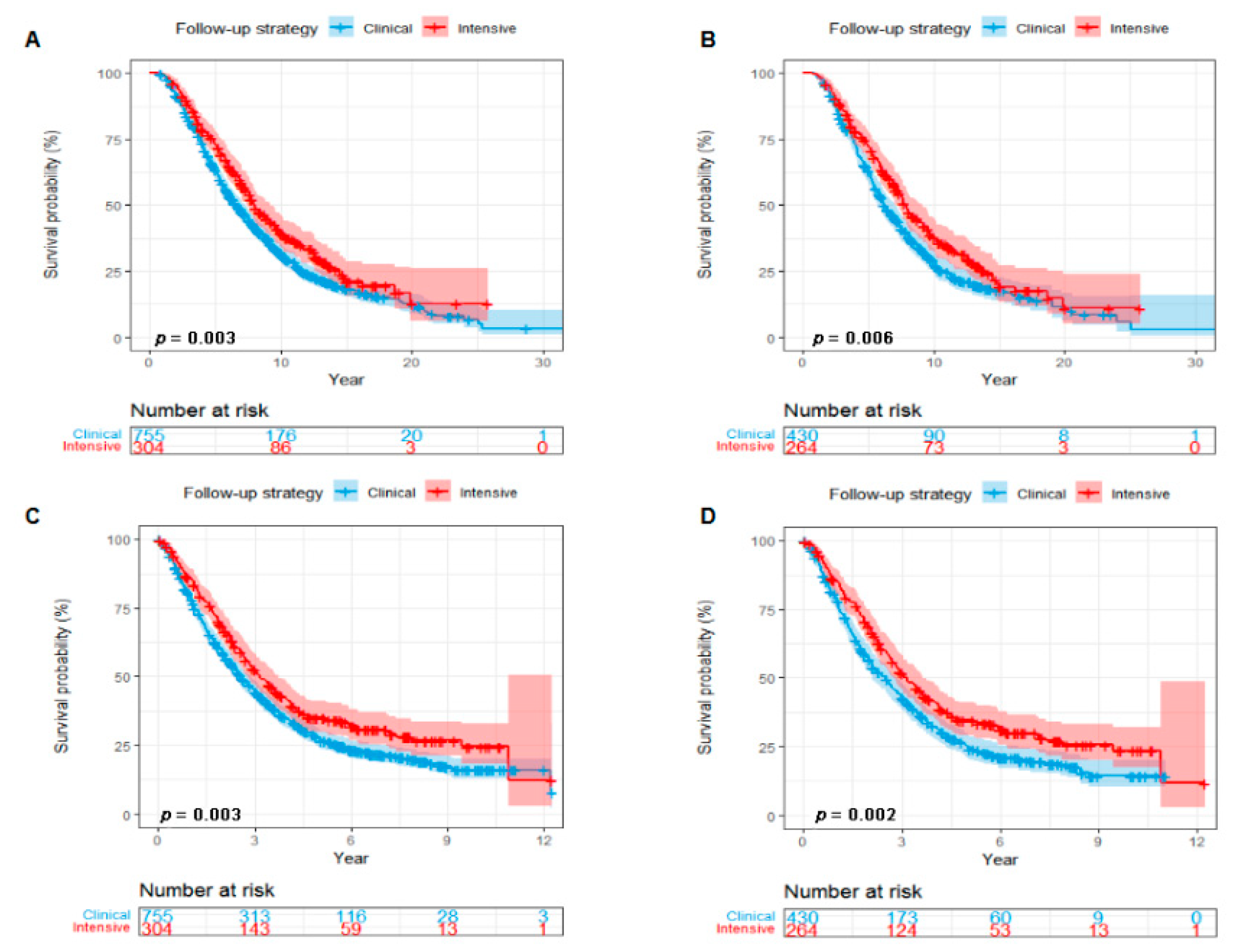
3.2. The Impact of an Intensive Postoperative BS on Survival
3.3. Univariate and Multivariate Analysis of Factors Influencing Survival
3.4. Interaction and Univariate Stratified Analysis of the Impact of an Intensive Postoperative BS on Survival
3.5. The Impact of Palliative Treatments on Survival Stratified by Molecular Subtype
3.6. The Association of BMFI with BC Stage and Molecular Subtype
4. Discussion
5. Conclusions
Author Contributions
Funding
Institutional Review Board Statement
Informed Consent Statement
Data Availability Statement
Acknowledgments
Conflicts of Interest
References
- Bray, F.; Ferlay, J.; Soerjomataram, I.; Siegel, R.L.; Torre, L.A.; Jemal, A. Global cancer statistics 2018: GLOBOCAN estimates of incidence and mortality worldwide for 36 cancers in 185 countries. CA Cancer J. Clin. 2018, 68, 394–424. [Google Scholar] [CrossRef] [PubMed]
- Coleman, R.E. Metastatic bone disease: Clinical features, pathophysiology and treatment strategies. Cancer Treat. Rev. 2001, 27, 165–176. [Google Scholar] [CrossRef] [PubMed]
- Cetin, K.; Christiansen, C.F.; Svaerke, C.; Jacobsen, J.B.; Sørensen, H.T. Survival in patients with breast cancer with bone metastasis: A Danish population-based cohort study on the prognostic impact of initial stage of disease at breast cancer diagnosis and length of the bone metastasis-free interval. BMJ Open 2015, 5, e007702. [Google Scholar] [CrossRef]
- Hamaoka, T.; Madewell, J.E.; Podoloff, D.A.; Hortobagyi, G.N.; Ueno, N.T. Bone imaging in metastatic breast cancer. J. Clin. Oncol. 2004, 22, 2942–2953. [Google Scholar] [CrossRef]
- Hildebrandt, M.G.; Gerke, O.; Baun, C.; Falch, K.; Hansen, J.A.; Farahani, Z.A.; Petersen, H.; Larsen, L.B.; Duvnjak, S.; Buskevica, I.; et al. [18F]Fluorodeoxyglucose (FDG)-Positron Emission Tomography (PET)/Computed Tomography (CT) in Suspected Recurrent Breast Cancer: A Prospective Comparative Study of Dual-Time-Point FDG-PET/CT, Contrast-Enhanced CT, and Bone Scintigraphy. J. Clin. Oncol. 2016, 34, 1889–1897. [Google Scholar] [CrossRef] [PubMed]
- Cook, G.J.; Azad, G.K.; Goh, V. Imaging Bone Metastases in Breast Cancer: Staging and Response Assessment. J. Nucl. Med. 2016, 57 (Suppl. 1), 27S–33S. [Google Scholar] [CrossRef]
- Ghezzi, P.; Magnanini, S.; Rinaldini, M.; Berardi, F.; Di Biagio, G.; Testare, F.; Tavoni, N.; Schittulli, F.; D’Amico, C.; Pedicini, T.; et al. Impact of follow-up testing on survival and health-related quality of life in breast cancer patients. A multicenter randomized controlled trial. The GIVIO Investigators. JAMA 1974, 271, 1587–1592. [Google Scholar] [CrossRef] [PubMed]
- Palli, D.; Russo, A.; Saieva, C.; Ciatto, S.; Del Turco, M.R.; Distante, V.; Pacini, P. Intensive vs clinical follow-up after treatment of primary breast cancer: 10-year update of a randomized trial. National Research Council Project on Breast Cancer Follow-up. JAMA 1999, 281, 1586. [Google Scholar] [CrossRef]
- Moschetti, I.; Cinquini, M.; Lambertini, M.; Levaggi, A.; Liberati, A. Follow-up strategies for women treated for early breast cancer. Cochrane Database Syst. Rev. 2016, 5, CD001768. [Google Scholar] [CrossRef]
- Khatcheressian, J.L.; Hurley, P.; Bantug, E.; Esserman, L.J.; Grunfeld, E.; Halberg, F.; Hantel, A.; Henry, N.L.; Muss, H.B.; Smith, T.J.; et al. Breast cancer follow-up and management after primary treatment: American Society of Clinical Oncology clinical practice guideline update. J. Clin. Oncol. 2013, 31, 961–965. [Google Scholar] [CrossRef]
- Gradishar, W.J.; Anderson, B.O.; Abraham, J.; Aft, R.; Agnese, D.; Allison, K.H.; Blair, S.L.; Burstein, H.J.; Dang, C.; Elias, A.D.; et al. Breast Cancer, Version 3.2020, NCCN Clinical Practice Guidelines in Oncology. J. Natl. Compr. Canc. Netw. 2020, 18, 452–478. [Google Scholar] [CrossRef] [PubMed]
- Cardoso, F.; Kyriakides, S.; Ohno, S.; Penault-Llorca, F.; Poortmans, P.; Rubio, I.T.; Zackrisson, S.; Senkus, E.; ESMO Guidelines Committee. Primary breast cancer: ESMO Clinical Practice Guidelines for diagnosis, treatment and follow-up. Ann. Oncol. 2019, 30, 1194–1220. [Google Scholar] [CrossRef] [PubMed]
- Kalinsky, K.; Diamond, J.; Vahdat, L.; Tolaney, S.; Juric, D.; O’Shaughnessy, J.; Moroose, R.; Mayer, I.; Abramson, V.; Goldenberg, D.; et al. Sacituzumab govitecan in previously treated hormone receptor- positive/HER2-negative metastatic breast cancer: Final results from a phase I/II, single-arm, basket trial. Ann. Oncol. 2020, 31, 1709–1718. [Google Scholar] [CrossRef]
- Robson, M.E.; Tung, N.; Conte, P.; Im, S.-A.; Senkus, E.; Xu, B.; Masuda, N.; Delaloge, S.; Li, W.; Armstrong, A.; et al. OlympiAD final overall survival and tolerability results: Olaparib versus chemotherapy treatment of physician’s choice in patients with a germline BRCA mutation and HER2-negative metastatic breast cancer. Ann. Oncol. 2019, 30, 558–566. [Google Scholar] [CrossRef] [PubMed]
- Turner, N.C.; Slamon, D.J.; Ro, J.; Bondarenko, I.; Im, S.-A.; Masuda, N.; Colleoni, M.; DeMichele, A.; Loi, S.; Verma, S.; et al. Overall Survival with Palbociclib and Fulvestrant in Advanced Breast Cancer. N. Engl. J. Med. 2018, 379, 1926–1936. [Google Scholar] [CrossRef] [PubMed]
- Swain, S.M.; Kim, S.-B.; Cortés, J.; Ro, J.; Semiglazov, V.; Campone, M.; Ciruelos, E.; Ferrero, J.-M.; Schneeweiss, A.; Knott, A.; et al. Pertuzumab, trastuzumab, and docetaxel for HER2-positive metastatic breast cancer (CLEOPATRA study): Overall survival results from a randomised, double-blind, placebo-controlled, phase 3 study. Lancet Oncol. 2013, 14, 461–471. [Google Scholar] [CrossRef]
- Perez, E.A.; Barrios, C.; Eiermann, W.; Toi, M.; Im, Y.-H.; Conte, P.; Martin, M.; Pienkowski, T.; Pivot, X.; Burris, H.A.; et al. Trastuzumab Emtansine with or Without Pertuzumab Versus Trastuzumab Plus Taxane for Human Epidermal Growth Factor Receptor 2-Positive, Advanced Breast Cancer: Primary Results from the Phase III MARIANNE Study. J. Clin. Oncol. 2017, 35, 141–148. [Google Scholar] [CrossRef]
- O’Carrigan, B.; Wong, M.H.; Willson, M.L.; Stockler, M.R.; Pavlakis, N.; Goodwin, A. Bisphosphonates and other bone agents for breast cancer. Cochrane Database Syst. Rev. 2017, 10, Cd003474. [Google Scholar] [CrossRef]
- Fizazi, K.; Carducci, M.; Smith, M.; Damião, R.; Brown, J.; Karsh, L.; Milecki, P.; Shore, N.; Rader, M.; Wang, H.; et al. Denosumab versus zoledronic acid for treatment of bone metastases in men with castration-resistant prostate cancer: A randomised, double-blind study. Lancet 2011, 377, 813–822. [Google Scholar] [CrossRef]
- Giuliano, A.E.; Edge, S.B.; Hortobagyi, G.N. Eighth Edition of the AJCC Cancer Staging Manual: Breast Cancer. Ann. Surg. Oncol. 2018, 25, 1783–1785. [Google Scholar] [CrossRef]
- Frank, G.A.; Danilova, N.V.; Andreeva, I.I.; Nefedova, N.A. WHO classification of tumors of the breast, 2012. Arkh. Patol. 2013, 75, 53–63. [Google Scholar]
- Wolff, A.C.; Hammond, M.E.H.; Hicks, D.G.; Dowsett, M.; McShane, L.M.; Allison, K.H.; Allred, D.C.; Bartlett, J.M.S.; Bilous, M.; Fitzgibbons, P.; et al. Recommendations for human epidermal growth factor receptor 2 testing in breast cancer: American Society of Clinical Oncology/College of American Pathologists clinical practice guideline update. J. Clin. Oncol. 2013, 31, 3997–4013. [Google Scholar] [CrossRef] [PubMed]
- Dowsett, M.; Nielsen, T.O.; A’Hern, R.; Bartlett, J.; Coombes, R.C.; Cuzick, J.; Ellis, M.; Henry, N.L.; Hugh, J.C.; Lively, T.; et al. Estrogen and Progesterone Receptor Testing in Breast Cancer: American Society of Clinical Oncology/College of American Pathologists Guideline Update. Arch. Pathol. Lab. Med. 2020, 144, 545–563. [Google Scholar] [CrossRef]
- Mille, D.; Roy, T.; Carrère, M.-O.; Ray, I.; Ferdjaoui, N.; Späth, H.-M.; Chauvin, F.; Philip, T. Economic impact of harmonizing medical practices: Compliance with clinical practice guidelines in the follow-up of breast cancer in a French Comprehensive Cancer Center. J. Clin. Oncol. 2000, 18, 1718–1724. [Google Scholar] [CrossRef]
- Grunfeld, E.; Hodgson, D.C.; Del Giudice, M.E.; Moineddin, R. Population-based longitudinal study of follow-up care for breast cancer survivors. J. Oncol. Pract. 2010, 6, 174–181. [Google Scholar] [CrossRef] [PubMed]
- Keating, N.L.; Landrum, M.B.; Guadagnoli, E.; Winer, E.P.; Ayanian, J.Z. Surveillance testing among survivors of early-stage breast cancer. J. Clin. Oncol. 2007, 25, 1074–1081. [Google Scholar] [CrossRef]
- Hans-Joachim, S.; Dorit, L.; Petra, S.; Ingo, B.; Steffen, K.; Alexander, F.P.; Wilhelm, B.M.; Margrit, G.; Ursula, G.-P.; Verena, H.; et al. The reality in the surveillance of breast cancer survivors-results of a patient survey. Breast Cancer 2008, 1, 17–23. [Google Scholar] [CrossRef]
- Lee, J.E.; Park, S.-S.; Han, W.; Kim, S.W.; Shin, H.J.; Choe, K.J.; Oh, S.K.; Youn, Y.-K.; Noh, N.-Y.; Kim, S.-W. The clinical use of staging bone scan in patients with breast carcinoma: Reevaluation by the 2003 American Joint Committee on Cancer staging system. Cancer 2005, 104, 499–503. [Google Scholar] [CrossRef]
- Lee, Y.T. Bone scanning in patients with early breast carcinoma: Should it be a routine staging procedure? Cancer 1981, 47, 486–495. [Google Scholar] [CrossRef]
- Brar, H.S.; Sisley, J.F.; Johnson, R.H. Value of preoperative bone and liver scans and alkaline phosphatase in the evaluation of breast cancer patients. Am. J. Surg. 1993, 165, 221–223. [Google Scholar] [CrossRef]
- Lewin, A.A.; Moy, L.; Baron, P.; Didwania, A.D.; Diflorio-Alexander, R.M.; Hayward, J.H.; Le-Petross, H.T.; Newell, M.S.; Rewari, A.; Scheel, J.R.; et al. ACR Appropriateness Criteria(®) Stage I Breast Cancer: Initial Workup and Surveillance for Local Recurrence and Distant Metastases in Asymptomatic Women. J. Am. Coll. Radiol. 2017, 14, S282–S292. [Google Scholar] [CrossRef] [PubMed][Green Version]
- Buonomo, O.C.; Caredda, E.; Portarena, I.; Vanni, G.; Orlandi, A.; Bagni, C.; Petrella, G.; Palombi, L.; Orsaria, P. New insights into the metastatic behavior after breast cancer surgery, according to well-established clinicopathological variables and molecular subtypes. PLoS ONE 2017, 12, e0184680. [Google Scholar] [CrossRef] [PubMed]
- Kennecke, H.; Yerushalmi, R.; Woods, R.; Cheang, M.C.U.; Voduc, D.; Speers, C.H.; Nielsen, T.O.; Gelmon, K. Metastatic behavior of breast cancer subtypes. J. Clin. Oncol. 2010, 28, 3271–3277. [Google Scholar] [CrossRef] [PubMed]
- Lin, N.U.; Vanderplas, A.; Hughes, M.E.; Theriault, R.L.; Edge, S.B.; Wong, Y.-N.; Blayney, D.W.; Niland, J.C.; Winer, E.P.; Weeks, J.C. Clinicopathologic features, patterns of recurrence, and survival among women with triple-negative breast cancer in the National Comprehensive Cancer Network. Cancer 2012, 118, 5463–5472. [Google Scholar] [CrossRef]





| Clinicopathological Characteristics | Before PSM | After PSM | |||||||
|---|---|---|---|---|---|---|---|---|---|
| Clinical n = 755 | Intensive n = 304 | P | SMD | Clinical n = 430 | Intensive n = 264 | P | SMD | ||
| Age * (mean (SD)) | 51.66 (10.42) | 51.76 (11.04) | 0.891 | 0.009 | 51.08 (10.32) | 51.48 (11.06) | 0.633 | 0.037 | |
| Year of diagnosis of BM (%) | 2010~2013 | 474 (62.8) | 218 (71.7) | 0.007 | 0.191 | 296 (68.8) | 183 (69.3) | 0.961 | 0.010 |
| 2005~2009 | 281 (37.2) | 86 (28.3) | 134 (31.2) | 81 (30.7) | |||||
| Histology type (%) | Ductal | 661 (87.5) | 258 (84.9) | 0.260 | 0.128 | 376 (87.4) | 235 (89.0) | 0.796 | 0.080 |
| Lobular | 21 (2.8) | 16 (5.3) | 15 (3.5) | 8 (3.0) | |||||
| Mixed | 31 (4.1) | 13 (4.3) | 21 (4.9) | 9 (3.4) | |||||
| Other ** | 42 (5.6) | 17 (5.6) | 18 (4.2) | 12 (4.5) | |||||
| Histology grade (%) | G1 | 129 (17.1) | 28 (9.2) | <0.001 | 0.406 | 47 (10.9) | 27 (10.2) | 0.417 | 0.103 |
| G2 | 374 (49.5) | 117 (38.5) | 203 (47.2) | 113 (42.8) | |||||
| G3 | 252 (33.4) | 159 (52.3) | 180 (41.9) | 124 (47.0) | |||||
| TNM (%) | Stage I | 89 (11.8) | 38 (12.5) | 0.886 | 0.033 | 49 (11.4) | 32 (12.1) | 0.744 | 0.060 |
| Stage II | 314 (41.6) | 129 (42.4) | 171 (39.8) | 111 (42.0) | |||||
| Stage III | 352 (46.6) | 137 (45.1) | 210 (48.8) | 121 (45.8) | |||||
| Molecular subtype (%) | ER+Her2- | 443 (58.7) | 175 (57.6) | 0.139 | 0.153 | 253 (58.8) | 155 (58.7) | 0.922 | 0.054 |
| ER+Her2+ | 74 (9.8) | 30 (9.9) | 50 (11.6) | 29 (11.0) | |||||
| ER-Her2+ | 51 (6.8) | 33 (10.9) | 30 (7.0) | 22 (8.3) | |||||
| ER-Her2- | 187 (24.8) | 66 (21.7) | 97 (22.6) | 58 (22.0) | |||||
| Distant metastatic pattern (%) | BM only | 217 (28.7) | 64 (21.1) | 0.003 | 0.251 | 102(23.7) | 59 (22.3) | 0.780 | 0.081 |
| BM to VM | 183 (24.2) | 67 (22.0) | 102 (23.7) | 65 (24.6) | |||||
| BM with VM | 277 (36.7) | 121 (39.8) | 173 (40.2) | 101 (38.3) | |||||
| VM to BM | 78 (10.3) | 52 (17.1) | 53 (12.3) | 39 (14.8) | |||||
| BMFI (%) | ≤1 year | 82 (10.9) | 21 (6.9) | 0.064 | 0.139 | 39 (9.1) | 21 (8.0) | 0.713 | 0.040 |
| >1 year | 673 (89.1) | 283 (93.1) | 391 (90.9) | 243 (92.0) | |||||
| Site of osseous lesion (%) | Appendicular | 122 (16.2) | 55 (18.1) | 0.204 | 0.123 | 72 (16.7) | 44 (16.7) | 0.653 | 0.072 |
| Axial | 235 (31.1) | 78 (25.7) | 129 (30.0) | 71 (26.9) | |||||
| Mixed | 398 (52.7) | 171 (56.2) | 229 (53.3) | 149 (56.4) | |||||
| Number of osseous lesion (%) | Multiple | 595 (78.8) | 237 (78.0) | 0.825 | 0.021 | 339 (78.8) | 207 (78.4) | 0.970 | 0.010 |
| Solitary | 160 (21.2) | 67 (22.0) | 91 (21.2) | 57 (21.6) | |||||
| Palliative treatment on BM | |||||||||
| Surgery to bone (%) | No | 731 (96.8) | 297 (97.7) | 0.573 | 0.054 | 416 (96.7) | 257 (97.3) | 0.824 | 0.036 |
| Yes | 24 (3.2) | 7 (2.3) | 14 (3.3) | 7 (2.7) | |||||
| Radiotherapy (%) | No | 357 (47.3) | 168 (55.3) | 0.023 | 0.160 | 211 (49.1) | 139 (52.7) | 0.402 | 0.072 |
| Yes | 398 (52.7) | 136 (44.7) | 219 (50.9) | 125 (47.3) | |||||
| Endocrine therapy (%) | No | 333 (44.1) | 128 (42.1) | 0.599 | 0.040 | 186 (43.3) | 109 (41.3) | 0.667 | 0.040 |
| Yes | 422 (55.9) | 176 (57.9) | 244 (56.7) | 155 (58.7) | |||||
| Chemotherapy (%) | No | 119 (15.8) | 36 (11.8) | 0.124 | 0.114 | 56 (13.0) | 34 (12.9) | 1.000 | 0.004 |
| Yes | 636 (84.2) | 268 (88.2) | 374 (87.0) | 230 (87.1) | |||||
| Anti-Her2 therapy (%) | No | 698 (92.5) | 267 (87.8) | 0.023 | 0.155 | 389 (90.5) | 237 (89.8) | 0.868 | 0.023 |
| Yes | 57 (7.5) | 37 (12.2) | 41 (9.5) | 27 (10.2) | |||||
| Bone-Modifying therapy (%) | No | 263 (34.8) | 96 (31.6) | 0.347 | 0.069 | 135 (31.4) | 84 (31.8) | 0.974 | 0.009 |
| Yes | 492 (65.2) | 208 (68.4) | 295 (68.6) | 180 (68.2) | |||||
| Clinicopathological Factor | No. | Events | OS | OSABM | ||||||||||
|---|---|---|---|---|---|---|---|---|---|---|---|---|---|---|
| Univariate | Multivariate | Univariate | Multivariate | |||||||||||
| Crude HR | 95%CI | Crude p Value | Adjusted HR | 95%CI | Adjusted p Value | Crude HR | 95%CI | Crude p Value | Adjusted HR | 95%CI | Adjusted p Value | |||
| Follow-up strategy | ||||||||||||||
| Clinical postoperative BS | 430 | 326 | 0.77 | 0.64,0.93 | 0.006 | 0.77 | 0.64,0.93 | 0.006 | 0.75 | 0.63,0.90 | 0.002 | 0.71 | 0.60,0.86 | <0.001 |
| Intensive postoperative BS | 264 | 175 | ||||||||||||
| Age * (year) | ||||||||||||||
| <=50 | 312 | 210 | 0.98 | 0.82,1.18 | 0.846 | Not selected | 1.26 | 1.06,1.51 | 0.011 | 1.23 | 1.03,1.47 | 0.026 | ||
| >50 | 382 | 291 | ||||||||||||
| Year of diagnosis of BM | ||||||||||||||
| 2005~2009 | 215 | 172 | 0.85 | 0.71,1.02 | 0.084 | 0.85 | 0.74,1.03 | 0.098 | 0.96 | 0.79,1.15 | 0.635 | Not selected | ||
| 2010~2013 | 479 | 329 | ||||||||||||
| Histology type | 0.001 | <0.001 | 0.025 | 0.002 | ||||||||||
| Ductal | 611 | 449 | Ref. | Ref. | Ref. | Ref. | ||||||||
| Lobular | 23 | 18 | 1.21 | 0.76,1.94 | 0.424 | 1.01 | 0.62,1.65 | 0.969 | 0.92 | 0.58,1.48 | 0.738 | 0.87 | 0.53,1.41 | 0.564 |
| Mixed | 30 | 20 | 0.85 | 0.54,1.34 | 0.487 | 0.76 | 0.48,1.21 | 0.254 | 0.94 | 0.60,1.47 | 0.787 | 0.79 | 0.50,1.26 | 0.325 |
| Other ** | 30 | 14 | 0.32 | 0.18,0.55 | <0.001 | 0.30 | 0.17,0.52 | <0.001 | 0.44 | 0.26,0.74 | 0.002 | 0.36 | 0.21,0.62 | <0.001 |
| Histology grade | 0.411 | 0.659 | ||||||||||||
| G1 | 74 | 61 | Ref. | Ref. | ||||||||||
| G2 | 316 | 225 | 1.04 | 0.78,1.38 | 0.809 | Not selected | 0.92 | 0.70,1.23 | 0.583 | Not selected | ||||
| G3 | 304 | 215 | 1.16 | 0.87,1.54 | 0.317 | 1.00 | 0.76,1.33 | 0.981 | ||||||
| TNM stage | <0.001 | 0.002 | 0.003 | 0.002 | ||||||||||
| Stage I | 81 | 58 | Ref. | Ref. | Ref. | Ref. | ||||||||
| Stage II | 282 | 192 | 1.09 | 0.81,1.46 | 0.584 | 1.09 | 0.81,1.46 | 0.593 | 1.09 | 0.81,1.46 | 0.582 | 1.19 | 0.89,1.60 | 0.247 |
| Stage III | 331 | 251 | 1.56 | 1.17,2.08 | 0.003 | 1.48 | 1.11,1.99 | 0.009 | 1.44 | 1.08,1.92 | 0.012 | 1.56 | 1.16,2.09 | 0.003 |
| Molecular subtype | <0.001 | 0.178 | <0.001 | 0.310 | ||||||||||
| ER+Her2- | 408 | 275 | Ref. | Ref. | Ref. | Ref. | ||||||||
| ER+Her2+ | 79 | 60 | 1.47 | 1.11,1.95 | 0.007 | 1.23 | 0.92,1.64 | 0.156 | 1.23 | 0.93,1.63 | 0.145 | 0.95 | 0.72,1.27 | 0.739 |
| ER-Her2+ | 52 | 42 | 2.53 | 1.82,3.51 | <0.001 | 1.42 | 0.98,2.05 | 0.065 | 1.95 | 1.41,2.71 | <0.001 | 1.27 | 0.89,1.83 | 0.194 |
| ER-Her2- | 155 | 124 | 1.50 | 1.21,1.86 | <0.001 | 1.17 | 0.91,1.49 | 0.218 | 1.63 | 1.31,2.01 | <0.001 | 1.21 | 0.95,1.55 | 0.126 |
| Distant metastatic pattern | <0.001 | <0.001 | <0.001 | <0.001 | ||||||||||
| BM only | 161 | 84 | Ref. | Ref. | Ref. | Ref. | ||||||||
| BM with VM | 274 | 227 | 2.04 | 1.59,2.63 | <0.001 | 2.01 | 1.55,2.62 | <0.001 | 2.36 | 1.83,3.04 | <0.001 | 2.32 | 1.79,3.01 | <0.001 |
| BM to VM | 167 | 110 | 1.34 | 1.01,1.79 | 0.042 | 1.34 | 1.00,1.81 | 0.052 | 1.22 | 0.91,1.62 | 0.181 | 1.27 | 0.95,1.71 | 0.108 |
| VM to BM | 92 | 80 | 1.64 | 1.20,2.23 | 0.002 | 1.89 | 1.37,2.61 | <0.001 | 3.03 | 2.23,4.13 | <0.001 | 3.43 | 2.49,4.73 | <0.001 |
| BMFI (year) | ||||||||||||||
| ≤1 | 60 | 45 | 0.29 | 0.21,0.39 | <0.001 | 0.29 | 0.21,0.41 | <0.001 | 0.75 | 0.55,1.02 | 0.062 | 0.80 | 0.58,1.10 | 0.799 |
| >1 | 634 | 456 | ||||||||||||
| Site of osseous lesion | 0.014 | 0.090 | 0.001 | 0.078 | ||||||||||
| Appendicular | 116 | 75 | Ref. | Ref. | Ref. | Ref. | ||||||||
| Axial | 200 | 135 | 1.26 | 0.95,1.68 | 0.107 | 1.14 | 0.85,1.52 | 0.377 | 1.14 | 0.86,1.51 | 0.370 | 1.09 | 0.82,1.45 | 0.561 |
| Mixed | 378 | 291 | 1.45 | 1.12,1.87 | 0.004 | 1.38 | 1.02,1.85 | 0.035 | 1.52 | 1.18,1.96 | 0.001 | 1.36 | 1.01,1.81 | 0.040 |
| Number of osseous lesion | ||||||||||||||
| Solitary | 148 | 101 | 1.29 | 1.04,1.61 | 0.022 | 0.98 | 0.74,1.30 | 0.908 | 1.37 | 1.10,1.71 | 0.005 | 1.12 | 0.85,1.48 | 0.437 |
| Multiple | 546 | 400 | ||||||||||||
| Surgery to bone | ||||||||||||||
| No | 673 | 487 | 0.60 | 0.35,1.02 | 0.059 | 0.64 | 0.37,1.10 | 0.107 | 0.71 | 0.42,1.21 | 0.213 | Not selected | ||
| Yes | 21 | 14 | ||||||||||||
| Palliative radiotherapy | ||||||||||||||
| No | 350 | 242 | 1.10 | 0.92,1.31 | 0.289 | Not selected | 1.08 | 0.91,1.29 | 0.388 | Not selected | ||||
| Yes | 344 | 259 | ||||||||||||
| Palliative endocrine therapy | ||||||||||||||
| No | 295 | 218 | 0.61 | 0.51,0.73 | <0.001 | 0.62 | 0.50,0.78 | <0.001 | 0.62 | 0.52,0.75 | <0.001 | 0.68 | 0.55,0.85 | 0.001 |
| Yes | 399 | 283 | ||||||||||||
| Palliative chemotherapy | ||||||||||||||
| No | 90 | 62 | 0.64 | 0.72,1.22 | 0.635 | Not selected | 0.94 | 0.72,1.23 | 0.668 | Not selected | ||||
| Yes | 604 | 439 | ||||||||||||
| Palliative anti-Her2 therapy | ||||||||||||||
| No | 626 | 452 | 1.14 | 0.85,1.54 | 0.375 | Not selected | 0.85 | 0.63,1.14 | 0.273 | Not selected | ||||
| Yes | 68 | 49 | ||||||||||||
| Bone-Modifying therapy | ||||||||||||||
| No | 219 | 141 | 1.04 | 0.86,1.26 | 0.697 | Not selected | 0.99 | 0.81,1.20 | 0.901 | Not selected | ||||
| Yes | 475 | 360 | ||||||||||||
Publisher’s Note: MDPI stays neutral with regard to jurisdictional claims in published maps and institutional affiliations. |
© 2022 by the authors. Licensee MDPI, Basel, Switzerland. This article is an open access article distributed under the terms and conditions of the Creative Commons Attribution (CC BY) license (https://creativecommons.org/licenses/by/4.0/).
Share and Cite
Yang, L.; Du, W.; Hu, T.; Liu, M.; Cai, L.; Liu, Q.; Yu, Z.; Liu, G.; Wang, S. Survival in Breast Cancer Patients with Bone Metastasis: A Multicenter Real-World Study on the Prognostic Impact of Intensive Postoperative Bone Scan after Initial Diagnosis of Breast Cancer (CSBrS-023). Cancers 2022, 14, 5835. https://doi.org/10.3390/cancers14235835
Yang L, Du W, Hu T, Liu M, Cai L, Liu Q, Yu Z, Liu G, Wang S. Survival in Breast Cancer Patients with Bone Metastasis: A Multicenter Real-World Study on the Prognostic Impact of Intensive Postoperative Bone Scan after Initial Diagnosis of Breast Cancer (CSBrS-023). Cancers. 2022; 14(23):5835. https://doi.org/10.3390/cancers14235835
Chicago/Turabian StyleYang, Liu, Wei Du, Taobo Hu, Miao Liu, Li Cai, Qiang Liu, Zhigang Yu, Guangyu Liu, and Shu Wang. 2022. "Survival in Breast Cancer Patients with Bone Metastasis: A Multicenter Real-World Study on the Prognostic Impact of Intensive Postoperative Bone Scan after Initial Diagnosis of Breast Cancer (CSBrS-023)" Cancers 14, no. 23: 5835. https://doi.org/10.3390/cancers14235835
APA StyleYang, L., Du, W., Hu, T., Liu, M., Cai, L., Liu, Q., Yu, Z., Liu, G., & Wang, S. (2022). Survival in Breast Cancer Patients with Bone Metastasis: A Multicenter Real-World Study on the Prognostic Impact of Intensive Postoperative Bone Scan after Initial Diagnosis of Breast Cancer (CSBrS-023). Cancers, 14(23), 5835. https://doi.org/10.3390/cancers14235835

