You are currently viewing a new version of our website. To view the old version click .
Micromachines
  • Article
  • Open Access

30 November 2023

Encapsulation of CsPb2Br5 in TiO2 Microcrystals to Enhance Environmental Stability

,
,
,
and
1
Liaoning Key Laboratory of Marine Sensing and Intelligent Detection, Dalian Maritime University, Dalian 116026, China
2
College of Environmental Sciences and Engineering, Dalian Maritime University, Dalian 116026, China
3
Key Laboratory of Coastal Ecology and Environment of State Oceanic Administration, National Marine Environmental Monitoring Center, Dalian 116023, China
4
Key Laboratory of Industrial Ecology and Environmental Engineering, Dalian University of Technology, Dalian 116024, China
This article belongs to the Special Issue Advanced Microfluidic Chips: Optical Sensing and Detection

Abstract

All-inorganic lead halide perovskite has emerged as an attractive semiconducting material due to its unique optoelectronic properties. However, its poor environmental stability restricts its broad application. Here, a simple method for the fabrication of CsPb2Br5/TiO2 is investigated. The introduction of p-aminobenzoic acid, which has two functional groups, is critical for the capping of amorphous TiO2 on CsPb2Br5. After calcination at 300 °C, amorphous TiO2 crystallizes into the anatase phase. The CsPb2Br5/TiO2 NCs show high long-term stability in water and enhanced stability against ultraviolet radiation and heat treatment, owing to the chemical stability of TiO2. More importantly, photo-electrochemical characterizations indicate that the formation of TiO2 shells can increase the charge separation efficiency. Hence, CsPb2Br5/TiO2 exhibits improved photoelectric activity owing to the electrical conductivity of the TiO2 in water. This study provides a new route for the fabrication of optoelectronic devices and photocatalysts based on perovskite NCs in the aqueous phase. Furthermore, the present results demonstrate that CsPb2Br5/TiO2 NCs has considerable potential to be used as a photoelectric material in optical sensing and monitoring.

1. Introduction

Colloidal semiconductor nanocrystals (NCs) possess a unique blend of quantum size effects that effectively amplify their optical properties in comparison to their volumetric counterparts; they have emerged as a promising photoelectric material that is currently under extensive investigation. These NCs typically exhibit a size ranging from 2 to 20 nm, possess a distinctive surface chemistry, and exist in a state of colloidal freedom, enabling their dispersion in diverse solvents and substrates and ultimately facilitating their integration into a wide array of devices. Over the past few years, significant advances have been made in the field of all-inorganic perovskite nanocrystal synthesis, with extensive research being conducted in this domain. As a result, all-inorganic cesium lead halide perovskite NCs, offering narrow emission bands, excellent charge transport properties, high quantum efficiencies, and broad color tunability, have been developed [1,2,3,4]. Therefore, lead halide perovskite NCs have been regarded as the most promising materials for application in photodetectors [5], lasers [6], photovoltaics [7], and LEDs [8].
Although strong progress has been made in the preparation of all-inorganic perovskite nanocrystals, many challenges remain. For example, perovskites show great promise in terms of photoluminescent quantum yields and color tunability; however, the poor chemical stability of the perovskite, including poor water, photo, and thermal stability, severely limits their application. Thus, it is critical to achieve environmental stability for perovskite NCs in practical applications and highly desirable to develop methods that can prepare perovskite NCs with tunable morphologies and enhanced stabilities. In order to improve the stability, perovskite NCs have been embedded in silicone resin [9], polymer [10], or inorganic matrix [11,12,13,14], or coated with strongly binding ligands [15]. Although the chemical stability of perovskite NCs can be enhanced significantly via these methods, the insulating shells (including organics or amorphous inorganic shells) restrict charge transport for further optoelectronic or catalytic applications.
TiO2 is classified as an N-type semiconductor photocatalyst, which has the advantages of high optical stability, low cost, and non-toxicity; hence, it has been widely studied in the field of energy and environment. TiO2 has a wide band gap energy of 3.2 eV, so photons with the appropriate energy (<400 nm) can excite electrons to jump from the valence band to the conducting band, resulting in electrons (e) and holes (h+). Therefore, as an excellent electron collecting and transporting material, TiO2 is an excellent shell material to enhance the stability of perovskites. Zheng’s group has synthesized CsPbBr3 NCs coated with anatase TiO2 via hydrolysis and calcination processes, and the CsPbBr3/TiO2 NCs exhibited improved chemical stability [16]. Meanwhile, a photoelectrochemical study indicated that the formation of CsPbBr3/TiO2 could facilitate the charge transfer of CsPbBr3 NCs. During the formation of CsPbBr3/TiO2, tetrabutyl titanate (TBT) was added into the CsPbBr3 solution directly. However, perovskite NCs are easily degraded in polar environments. Thus, the strong polarity of TBT can affect the stability of perovskite NCs during the coating progress, due to their high sensitivity to the surrounding environment. In addition, this method cannot eliminate the presence of water in the fabrication of TiO2-coated CsPbBr3 NCs. In the field of photocatalysis, Tüysüz et al. fabricated a CsPbBr3/P25 composite for photocatalytic benzyl alcohol oxidation and proved its higher visible catalytic activity than P25 [17]. However, the existence of CsPbBr3 on the surface of P25 is not conducive to the stability of CsPbBr3. Thus, it is essential to develop a novel strategy to enhance the chemical stability of perovskite NCs as well as maintain good charge transport properties.
Due to its unique photoelectric performance, CsPb2Br5 has attracted the attention of researchers. Compared with CsPbBr3 (with a 3D structure), CsPb2Br5 (with a 2D structure) shows excellent optical properties due to its sufficient gain toward whispering gallery mode lasing [18,19]. Furthermore, CsPb2Br5 displays a stronger stability against water compared with CsPbBr3. Nonetheless, its stability against water also limits its broad application. Although different methods have been reported to enhance the stability of perovskite NCs, all of them have focused on improving the stability of CsPbBr3. There is no report on how to improve the environmental stability of CsPb2Br5.
In this study, we report a facile method to fabricate TiO2-coated CsPb2Br5 NCs. The ligands, palmitic acid (PA), and PABA (which have two functional groups including the carboxyl group and amino group) were introduced to the fabrication process. Titanium carboxylate was first formed by the reaction of the carboxyl group in PABA and tetrabutyl titanate (TBT). The introduction of PABA avoids the negative effect of TBT, which has strong polarity. Furthermore, the CsPb2Br5 nanocrystals can be capped by amorphous TiO2 (A-TiO2) via the interaction between the amino group and CsPb2Br5 NCs. After calcination, the A-TiO2 shell is crystallized into the anatase crystal phase. The formation of the protective TiO2 shells can isolate NCs from water, even when immersing the CsPb2Br5/TiO2 nanocrystals in water. Meanwhile, the photostability and thermal stability are also significantly improved. Moreover, the charge transfer and photoelectric activity in real water were also tested.

2. Experimental Section

2.1. Chemicals

Octadecene (ODE), Cs2CO3, PbBr2, oleylamine (OAm), oleic acid (OA), and PABA were obtained from Aladdin (Shanghai, China). PA was purchased from Tianjin Bodi Chemical Co., Ltd. (Tianjin, China) TBT and ethanol were purchased from Sinopharm Chemical Reagent Co., Ltd. (Shanghai, China). The chemicals were of analytical grade and without further purification.

2.2. Preparation of CsPb2Br5/TiO2 NCs

To fabricate CsPb2Br5/TiO2 NCs, the synthesis process involved several steps. Firstly, the Cs-precursor was fabricated. As a typical procedure, Cs2CO3 (0.08 g) was loaded into a 50 mL 3-neck flask along with octadecene (3 mL) and stearic acid (0.55 g), heated for 0.5 h at 120 °C, and then heated under N2 to 150 °C until all Cs2CO3 was completely dissolved. Then, the product was kept in sample bottles. In order to prevent Cs-stearate from precipitating out of the ODE at room temperature, the solution needed to be preheated to 120 °C before injection. In a separate 3-necked flask, 5 mL ODE and 0.068 g PbBr2 were mixed together. The flask was then heated to 120 °C for 1 h under a nitrogen flow. Following this, 0.5 g palmitic acid and 0.5 mL OAm were injected into the solution. The temperature was then increased to 160 °C. At this point, 0.4 mL of the previously prepared Cs-precursor solution was quickly injected into the PbBr2 solution. To fabricate CsPb2Br5/TiO2 NCs, the TiO2 precursor (which was fabricated by the mixing of ODE (4 mL), TBT (0.5 mL), and PABA (0.05 g)) was injected into the solution as soon as possible after the injection of Cs-precursor. The reaction was maintained for 10 min followed by cooling in an ice bath. Then, the as-prepared crude solution was centrifuged and purified 3 times by n-hexane. The precipitate after centrifugation was dried in a vacuum at 30 °C. Finally, the product was calcined under nitrogen flow at 300 °C for 4 h to obtain the desired CsPb2Br5/TiO2 NCs.

2.3. Material Characterization

The morphologies of the samples were determined by using a Tecnai F20 S-TWIN microscope transmission electron microscope operating at 200 kV (TEM, FEI Company, Hillsboro, OR, USA). The crystal structures of the powders were investigated on a Rigaku D/MAX-2400 diffractometer (Rigaku, Tokyo, Japan) with Cu-Ka radiation, operated at 40 kV and 40 mA (scanning step: 0.02°/s) in the 2θ range of 10–80°. FT-IR spectra of the samples were characterized using the FT-IR method (NICOLET 6700, Thermo SCIENTIFIC, Waltham, MA, USA). The XPS patterns were acquired by an X-ray photoelectron spectrometer (ESCALAB™ 250Xi, Thermo Fisher, Waltham, MA, USA). The PL spectra of the perovskite NCs were obtained using the F-7000 Fluorescence Spectrophotometer (Hitachi, Hitachi City, Japan).

2.4. Environmental Stability Characterization

Water stability: The perovskite NCs were immersed in DI and dispersed evenly by ultrasound. The CsPb2Br5/TiO2 NCs with different soaking times were dried and the PL spectra were measured.
Photostability: The perovskite NCs were subjected to ultraviolet light irradiation. The experiment involved taking powder samples at regular intervals, starting from the 12th hour and continuing until the 24th hour. These samples were later used for PL spectra testing.
Thermal stability: To investigate the influence of temperature on the luminescence properties of perovskite NCs, a series of experiments were conducted. The perovskite NCs were subjected to heating in a controlled environment with temperatures ranging from 30 to 200 °C. To obtain a comprehensive understanding of the temperature-dependent luminescence behavior, the PL spectra of the perovskite NCs were measured at regular intervals of 10 °C. This systematic approach allowed for analysis of how changes in temperature affect the emission characteristics of the perovskite NCs. By examining the PL spectra obtained at different temperatures, valuable insights into the thermal stability and performance of perovskite NCs, in terms of luminescence, can be obtained.

3. Results and Discussion

First, the TiO2 precursor was fabricated from ODE, TBT, and PABA. In terms of hard/soft acid/base theory [20], the -COOH tends to react with Ti4+ to form carboxylate. On the other hand, the -NH2 group in PABA does not participate in the reaction with Ti4+. Therefore, in the presence of carboxylate, the Ti4+ ions can interact with the perovskite through the -NH2 groups when the carboxylate is introduced into the solution of lead halide perovskite precursor at a temperature of 160 °C. This interaction between Ti4+ and the perovskite leads to the formation of a composite material known as A-TiO2. Meanwhile, the excess of PbBr2 is generated by the addition of carboxylate, which may impede the diffusion of PbBr2 in solution. Hence, CsPb2Br5 is formed by the presence of an excess of PbBr2 [21]. As a result, CsPb2Br5/A-TiO2 is synthesized (Scheme 1). After calcination for 4 h at 300 °C under a nitrogen atmosphere, A-TiO2 is transformed into anatase phase. EDAX was performed for the elemental analysis. The results are shown as Figure S1. The signals of Br, Pb, Cs, Ti, and O elements are clearly illustrated, indicating the formation of CsPb2Br5/TiO2. The XRD pattern was obtained to investigate the crystal structures of perovskite and TiO2. As shown in Figure 1a, diffraction peaks are indicated at 2θ 24.03 (202), 27.77 (114), 29.35 (213), 33.34 (310), 35.44 (312), 37.89 (313), 41.11 (314), 47.62 (413), 47.86 (420), and 59.55 (434), respectively. In fact, these peaks are matched well with the typical peaks belonging to the tetragonal phase of CsPb2Br5 according to JCPDS 25-0211. Further, we also found that the peaks shown at 37.80 and 53.89 are matched with (004) and (105) planes and belong to anatase TiO2, according to JCPDS 21-1272. It should be noted that the typical peak ascribed to the (004) plane of anatase TiO2 overlaps with the peak belonging to the (313) plane of the tetragonal phase of CsPb2Br5 [22].
Scheme 1. Schematic diagram illustrating the preparation of CsPb2Br5/A-TiO2.
Figure 1. (a) XRD pattern of CsPb2Br5/TiO2, (b,c) TEM and HR-TEM images of CsPb2Br5/A-TiO2, (d) PL spectra of CsPb2Br5/TiO2 with and without PABA, and (e,f) TEM and HR-TEM images of CsPb2Br5/TiO2.
The low intensity of the anatase TiO2 XRD peaks indicates incomplete crystallization of TiO2 with possible amorphous components [16]. The broad XRD peak is caused by the formation of carbon during the heating process under a nitrogen atmosphere.
The crystal structures of pure TiO2 and CsPb2Br5 have been extensively studied and are presented in Figure S2. These crystal structures provide valuable insights into the properties and behaviors of these materials. The results of the study confirm that TiO2 adopts the anatase crystal structure, while CsPb2Br5 exhibits a tetragonal phase structure. The tetragonal phase structure of CsPb2Br5 is known for its stability and ability to withstand external pressures.
TEM and HR-TEM were utilized in this study to investigate the evolution of CsPb2Br5 and TiO2. Figure 1b shows that the CsPb2Br5 NCs have a core size of around 10 nm and are embedded in a matrix. Furthermore, the HR-TEM image (Figure 1c) of the CsPb2Br5 NCs reveals that the interplanar distance is about 0.30 nm, corresponding to the (213) plane of the crystal. Meanwhile, the shell without lattice fringe can be ascribed to the formation of A-TiO2. In addition, the obtained sample (CsPb2Br5/A-TiO2) still shows strong photoluminescence under ultraviolet radiation. However, if the mixture of TBT and ODE without PABA participates in the reaction, the photoluminescence of the resulting product disappears (Figure 1d). Hence, the introduction of PABA is beneficial to reduce the negative effect of TBT polarity on perovskite NCs. After calcination at 300 °C, the interplanar distance of CsPb2Br5 is still 0.30 nm, indicating that the crystal phase of perovskite does not change (Figure 1f). Thus, we can deduce that the formation of anatase TiO2 has no effect on the crystal phase of the CsPb2Br5. In addition, the lattice fringe of TiO2 (0.35 nm) belonging to the (101) plane of anatase TiO2 is observed in the TEM image (Figure 1e,f).
Selective electron diffraction (SAD) was also performed to investigate the structures of CsPb2Br5 and CsPb2Br5/TiO2 NCs. As shown in Figure S3, the SAD image of CsPb2Br5 revealed clear rings corresponding to the (213) plane. This indicates that the crystal structure of CsPb2Br5 was well-defined. However, the typical plane ascribed to anatase TiO2 was not observed in the SAD image of CsPb2Br5/TiO2 NCs. This result may be caused by the incomplete crystallization of TiO2. This observation is consistent with the XRD pattern, which also shows a lack of distinct peaks corresponding to anatase TiO2. The incomplete crystallization of TiO2 in CsPb2Br5/TiO2 NCs may be attributed to various factors such as the synthesis conditions or the presence of CsPb2Br5, which could inhibit the formation of TiO2 crystals. Further investigations are needed to fully understand the reasons behind the incomplete crystallization of TiO2 in CsPb2Br5/TiO2 NCs. By improving the crystallization of TiO2, the overall performance and properties of CsPb2Br5/TiO2 NCs can potentially be enhanced for various applications in optoelectronics and photocatalysis.
To better understand the formation of TiO2 shells of CsPb2Br5 NCs, Fourier transform infrared (FTIR) spectra of the ligand PABA, CsPb2Br5/A-TiO2, and CsPb2Br5/TiO2 NCs were obtained and shown in Figure 2a. The first FTIR spectrum corresponds to the ligand PABA, where peaks assigned to N-H vibrations can be observed at 3364 and 3459 cm−1 [20]. These peaks indicate the presence of the N-H functional group in PABA. Moving on to the FTIR spectrum of CsPb2Br5/A-TiO2, the strong C-H stretching bands at 2918 and 2846 cm−1 confirm the presence of PA/OAm ligands [23,24]. Additionally, the characteristic peaks assigned to N-H vibrations are still present in CsPb2Br5/A-TiO2, albeit with a decrease in intensity compared to PABA. This reduction in N-H peaks can be attributed to the interaction between NH2 and CsPb2Br5. Notably, the characteristic peak of -COOH is still not observed in this spectrum. Combining observations from the TEM analysis and FTIR spectra, it can be concluded that CsPb2Br5 NCs are indeed coated with A-TiO2. Upon calcination, the FTIR spectrum of CsPb2Br5/TiO2 shows a significant decrease in the characteristic peaks associated with different surface ligands. This decrease is attributed to decomposition of the ligands during the calcination process.
Figure 2. (a) FTIR spectra of PABA, CsPb2Br5/A-TiO2, and CsPb2Br5/TiO2; (be) XPS spectra of Cs3d, Pb4f, Ti2p, and O1s in CsPb2Br5/TiO2. Spectra are calibrated with respect to the C 1s peak (at 285.35 eV).
X-ray photoelectron spectroscopy (XPS) measurements were further carried out to study the constituent compositions and chemical states of CsPb2Br5/TiO2 NCs. The results of the XPS analysis are shown in Figure 2b–e: the signals of Pb, Cs, Ti, and O elements are clearly illustrated. To calibrate the binding energies, the reference C 1s peak at 284.6 eV was used. As shown in Figure 2b, the binding energy peaks at 737.5 and 723.5 eV can be assigned to Cs 3d3/2 and Cs 3d5/2, respectively [25,26]. Figure 2c shows the high-resolution XPS spectrum of the Pb 4f core level. The two spectral peaks with binding energies of 137.9 and 142.8 eV correspond to Pb 4f7/2 and Pb 4f5/2 levels.
The Ti 2p peaks can be fitted into four bands at 457.8, 460.0, 463.2, and 464.2 eV, corresponding to Ti3+ 2p3/2, Ti4+ 2p3/2, Ti3+ 2p1/2, and Ti4+ 2p1/2 [27,28]. Moreover, the high-resolution spectrum of O 1s is also obtained. As shown in Figure 2e, the O 1s main peaks at 529.2 and 530.8 eV are indexed to the Ti-O bonds and Ti-OH groups, which is consistent with the binding energy of O2− in the TiO2 lattices [29].
In order to investigate the influence of TiO2 on the PL characteristics of perovskite NCs, a comprehensive analysis of the PL spectra was conducted before and after the introduction of TiO2. By measuring the PL spectra, we aimed to assess any changes in the intensity, peak position, and overall emission behavior of the perovskite NCs following the addition of TiO2. As shown in Figure 3a, compared with perovskite NCs without TiO2, the PL intensity of solid CsPb2Br5/TiO2 NCs decreases. This decrease in PL intensity can be attributed to the transfer of electrons from the conduction band (CB) of CsPb2Br5 NCs to that of TiO2. This phenomenon supports the potential use of CsPb2Br5/TiO2 NCs in optoelectronic applications [16,30]. Hence, it is reasonable that the CsPb2Br5/TiO2 NCs can be used in optoelectronics. In addition, the problem of the instability of perovskite NCs often restricts their application. Thus, the environmental stability of CsPb2Br5 NCs embedded in TiO2, including water stability, photostability, and thermal stability, were studied. These properties are crucial for the long-term performance and reliability of optoelectronic devices utilizing CsPb2Br5/TiO2 NCs. The findings from these studies can provide valuable insights into the feasibility and suitability of CsPb2Br5/TiO2 NCs for various optoelectronic applications.
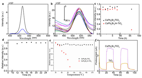
Figure 3. (a) PL spectra of perovskite before (black line) and after (blue line) the addition of TiO2, (b,c) PL intensity and relative PL intensity of CsPb2Br5/A-TiO2 and CsPb2Br5/TiO2 NCs powders after immersion in water, (d,e) photostability and thermal stability of CsPb2Br5/A-TiO2 and CsPb2Br5/TiO2 NCs, and (f) photocurrent response of TiO2 and CsPb2Br5/TiO2.
As shown in Figure 3b,c, the PL intensity of CsPb2Br5/TiO2 NCs and CsPb2Br5/A-TiO2 NCs did not show a significant decrease within 10 h of immersion in water. It is worth noting that the water-resistance stability is much higher than that of CsPb2Br5/A-TiO2. When the soaking time in water was increased to 96 h, the PL intensity of CsPb2Br5/TiO2 NCs was essentially the same as the original PL intensity. This suggests that the water stability of CsPb2Br5/TiO2 NCs is maintained even after prolonged exposure to water. The PL intensity of CsPb2Br5/A-TiO2 NCs decreased to less than 20% that of the original PL intensity. On the other hand, the PL intensity of CsPb2Br5/A-TiO2 NCs decreased to less than 20% of the original PL intensity. This significant decrease in PL intensity indicates that CsPb2Br5/A-TiO2 NCs are not as water-stable as CsPb2Br5/TiO2 NCs. These results highlight the importance of the formation of TiO2 under calcination conditions when improving the water stability of perovskite NCs. The presence of TiO2 in CsPb2Br5/TiO2 NCs helps to enhance their resistance to water degradation. This finding suggests that the incorporation of TiO2 into perovskite NCs represents a promising strategy to improve their water stability. The photostability of CsPb2Br5/TiO2 powder was also monitored.
As shown in Figure 3d, the photostability test result demonstrates that CsPb2Br5/TiO2 NCs can maintain their original PL intensity even under UV light for 24 h. Additionally, another drawback of the application of CsPb2Br5 NCs is their instability at elevated temperatures. Figure 3e indicates that when the treatment temperature was increased from 30 to 200 °C, the PL intensity of CsPb2Br5/TiO2 was essentially consistent with the original PL intensity; that is, the PL intensity does not decrease with increasing temperature. However, the PL intensity of CsPb2Br5/A-TiO2 decreased to about 10% when the temperature was increased to 100 °C. This result further indicates that the TiO2 shell can protect the CsPb2Br5 NCs effectively. The enhanced stability of these nanocrystals in different environmental conditions further strengthens their potential in the field. Future research efforts can focus on optimizing the stability and performance of CsPb2Br5/TiO2 NCs for practical applications in optoelectronics.
Based on the above discussion, the stability of CsPb2Br5 can be enhanced by coating with TiO2. This is due to the electrical conductivity of TiO2, which allows for better charge transport properties. In order to further study the photo-electrochemical characterization, a comparison was made between TiO2 and CsPb2Br5/TiO2 NCs using a 405 LED light (Zhonghe, Gauangzhou, China) in a 0.5 M K2SO4 aqueous solution. In Figure 3f, the transient photocurrent responses are shown, indicating that the cathodic photocurrent of CsPb2Br5/TiO2 NCs is approximately three times larger than that of pure TiO2. This suggests that the introduction of CsPb2Br5 enhances the photoelectronic properties of TiO2. Under UV light radiation, electron–hole pairs are formed in TiO2, allowing for photo-responsive behavior in water. However, after the introduction of CsPb2Br5, additional electrons can be formed under irradiation in CsPb2Br5 and then transported to TiO2. This leads to a significantly higher photocurrent in CsPb2Br5/TiO2 compared to pure TiO2. Overall, the coating of TiO2 on CsPb2Br5 not only enhances the stability of CsPb2Br5 but also improves its photoelectronic properties. This finding highlights the potential of CsPb2Br5/TiO2 NCs in various applications, such as solar cells and photocatalysis.

4. Conclusions

In this work, we aimed to investigate the impact of TiO2 on the environmental stability of CsPb2Br5. The experimental findings reveal a significant enhancement in the stability of CsPb2Br5 against various environmental factors, including water, heating, and photo radiation. This improvement in stability can be attributed to the incorporation of TiO2. Furthermore, encapsulating CsPb2Br5 NCs into anatase TiO2 (which has excellent electrical conductivity) enables the photoinduced charge in perovskite to transfer efficiently. Compared to pure TiO2, CsPb2Br5/TiO2 shows higher photoelectric activity in water testing. These results have important implications for the development of optoelectronic devices and visible light photocatalysts. The incorporation of TiO2 not only enhances the stability of CsPb2Br5 but also improves its photoelectric performance. This work provides valuable insights and guidelines for the preparation of advanced optoelectronic materials.
Future research into these new nanocrystals (NCs) should be directed towards exploring their vast potential in optoelectronic applications. Specifically, researchers should concentrate on harnessing the unique properties of these NCs to develop advanced technologies such as lasers, light-emitting diodes (LEDs), photovoltaics, optical sensing systems, and photon detection devices.

Supplementary Materials

The following supporting information can be downloaded at https://www.mdpi.com/article/10.3390/mi14122186/s1. Figure S1: EDS pattern of the CsPb2Br5/TiO2. Figure S2: XRD patterns of a) CsPb2Br5 and b) TiO2. Figure S3: SAD images of the (a) CsPb2Br5/A-TiO2 and (b) CsPb2Br5/ TiO2.

Author Contributions

Y.W. (Yuezhu Wang): investigation, formal analysis, data curation, writing—original draft, funding acquisition. X.X.: investigation, methodology, formal analysis, data curation, writing—original draft, writing—review & editing, project administration, funding acquisition. W.Y.: investigation, data curation. Y.W. (Yawen Wei): data curation. J.W.: formal analysis, data curation, writing—original draft. All authors have read and agreed to the published version of the manuscript.

Funding

The study was supported by the Open Foundation of the Key Laboratory of Industrial Ecology and Environmental Engineering MOE (KLIEEE-21-09), the Doctoral Research Project of the National Marine Environmental Monitoring Center (2022-Z-307), the Fellowship of China Postdoctoral Science Foundation (2021M700653), Xinghai Project of Dalian Maritime University (XHGC-04-21019), Doctoral research Project of Liaoning Natural Science Foundation (2022BS098), National Natural Science Foundation of China (52171343), Dalian key field innovation team (2021RT05).

Data Availability Statement

Data are contained within the article.

Conflicts of Interest

The authors declare no conflict of interest.

References

  1. Protesescu, L.; Yakunin, S.; Bodnarchuk, M.I.; Krieg, F.; Caputo, R.; Hendon, C.H.; Yang, R.X.; Walsh, A.; Kovalenko, M.V. Nanocrystals of cesium lead halide perovskites (CsPbX3, X = Cl, Br, and I): Novel optoelectronic materials showing bright emission with wide color gamut. Nano Lett. 2015, 15, 3692–3696. [Google Scholar] [CrossRef]
  2. Yang, T.; Zheng, Y.; Du, Z.; Liu, W.; Yang, Z.; Gao, F.; Wang, L.; Chou, K.-C.; Hou, X.; Yang, W. Superior photodetectors based on all-inorganic perovskite CsPbI3 nanorods with ultrafast response and high stability. ACS Nano 2018, 12, 1611–1617. [Google Scholar] [CrossRef]
  3. Jianhai, L.; Leimeng, X.; Tao, W.; Jizhong, S.; Jiawei, C.; Jie, X.; Yuhui, D.; Bo, C.; Qingsong, S.; Boning, H.; et al. 50-fold EQE improvement up to 6.27% of solution-processed all-inorganic perovskite CsPbBr3 QLEDs via surface ligand density control. Adv. Mater. 2017, 29, 1603885. [Google Scholar]
  4. Du, K.; He, L.; Song, S.; Feng, J.; Li, Y.; Zhang, M.; Li, H.; Li, C.; Zhang, H. In situ embedding synthesis of highly stable CsPbBr3/CsPb2Br5@PbBr(OH) nano/microspheres through water assisted srategy. Adv. Funct. Mater. 2021, 31, 2103275. [Google Scholar] [CrossRef]
  5. Zhou, L.; Yu, K.; Yang, F.; Zheng, J.; Zuo, Y.; Li, C.; Cheng, B.; Wang, Q. All-inorganic perovskite quantum dot/mesoporous TiO2 composite-based photodetectors with enhanced performance. Dalton Trans. 2017, 46, 1766–1769. [Google Scholar] [CrossRef] [PubMed]
  6. Tang, X.; Hu, Z.; Chen, W.; Xing, X.; Zang, Z.; Hu, W.; Qiu, J.; Du, J.; Leng, Y.; Jiang, X.; et al. Room temperature single-photon emission and lasing for all-inorganic colloidal perovskite quantum dots. Nano Energy 2016, 28, 462–468. [Google Scholar] [CrossRef]
  7. Zhou, S.; Tang, R.; Yin, L. Slow-photon-effect-induced photoelectrical-conversion efficiency enhancement for carbon-quantum-dot-sensitized inorganic CsPbBr3 inverse opal perovskite solar cells. Adv. Mater. 2017, 29, 1703682. [Google Scholar] [CrossRef] [PubMed]
  8. Wang, Z.; Yuan, F.; Li, X.; Li, Y.; Zhong, H.; Fan, L.; Yang, S. 53% efficient red emissive carbon quantum dots for high color rendering and stable warm white-light-emitting diodes. Adv. Mater. 2017, 29, 1702910. [Google Scholar]
  9. Huang, H.; Chen, B.; Wang, Z.; Hung, T.F.; Susha, A.S.; Zhong, H.; Rogach, A.L. Water resistant CsPbX3 nanocrystals coated with polyhedral oligomeric silsesquioxane and their use as solid state luminophores in all-perovskite white light-emitting devices. Chem. Sci. 2016, 7, 5699–5703. [Google Scholar] [CrossRef]
  10. Meyns, M.; Perálvarez, M.; Heuer-Jungemann, A.; Hertog, W.; Ibáñez, M.; Nafria, R.; Genç, A.; Arbiol, J.; Kovalenko, M.V.; Carreras, J.; et al. Polymer-enhanced stability of inorganic perovskite nanocrystals and their application in color conversion LEDs. ACS Appl. Mater. Interfaces 2016, 8, 19579–19586. [Google Scholar] [CrossRef]
  11. Chen, D.; Fang, G.; Chen, X. Silica-coated Mn-doped CsPb(Cl/Br)3 inorganic perovskite quantum dots: Exciton-to-Mn energy transfer and blue-excitable solid-state lighting. ACS Appl. Mater. Interfaces 2017, 9, 40477–40487. [Google Scholar] [CrossRef] [PubMed]
  12. Zhang, Z.; Li, D.; Chu, Y.; Chang, L.; Xu, J. Space-confined growth of Cs2CuBr4 perovskite nanodots in mesoporous CeO2 for photocatalytic CO2 reduction: Structure regulation and built-in electric Field construction. J. Phys. Chem. Lett. 2023, 14, 5249–5259. [Google Scholar] [CrossRef] [PubMed]
  13. Zhang, Z.; Li, D.; Dong, Z.; Jiang, Y.; Li, X.; Chu, Y.; Xu, J. Lead-free Cs2AgBiBr6 nanocrystals confined in MCM-48 mesoporous molecular sieve for efficient photocatalytic CO2 reduction. Sol. RRL 2023, 7, 2300038. [Google Scholar] [CrossRef]
  14. Zhang, Z.; Li, D.; Hu, H.; Chu, Y.; Xu, J. In situ growth of lead-free Cs2CuBr4 perovskite quantum dots in KIT6 mesoporous molecular sieve for CO2 adsorption, activation, and reduction. Inorg. Chem. 2023, 62, 9240–9248. [Google Scholar] [CrossRef] [PubMed]
  15. Wu, L.; Zhong, Q.; Yang, D.; Chen, M.; Hu, H.; Pan, Q.; Liu, H.; Cao, M.; Xu, Y.; Sun, B.; et al. Improving the stability and size tunability of cesium lead halide perovskite nanocrystals using trioctylphosphine oxide as the capping ligand. Langmuir 2017, 33, 12689–12696. [Google Scholar] [CrossRef]
  16. Li, Z.-J.; Hofman, E.; Li, J.; Davis, A.H.; Tung, C.-H.; Wu, L.-Z.; Zheng, W. Photoelectrochemically active and environmentally stable CsPbBr3/TiO2 core/shell nanocrystals. Adv. Funct. Mater. 2018, 28, 1704288. [Google Scholar] [CrossRef]
  17. Stefan, S.; Maurice, V.G.; Harun, T. A CsPbBr3/TiO2 composite for visible-light driven photocatalytic benzyl alcohol oxidation. ChemSusChem 2018, 11, 2057–2061. [Google Scholar]
  18. Tang, X.; Hu, Z.; Yuan, W.; Hu, W.; Shao, H.; Han, D.; Zheng, J.; Hao, J.; Zang, Z.; Du, J.; et al. Perovskite CsPb2Br5 microplate laser with enhanced stability and tunable properties. Adv. Opt. Mater. 2017, 5, 1600788. [Google Scholar] [CrossRef]
  19. Wang, R.; Li, Z.; Li, S.; Wang, P.; Xiu, J.; Wei, G.; Liu, H.; Jiang, N.; Liu, Y.; Zhong, M. All-inorganic perovskite CsPb2Br5 nanosheets for photodetector application based on rapid growth in aqueous phase. ACS Appl. Mater. Interfaces 2020, 12, 41919–41931. [Google Scholar] [CrossRef]
  20. Rahal, R.; Daniele, S.; Hubert-Pfalzgraf, L.G.; Guyot-Ferréol, V.; Tranchant, J.-F. Synthesis of para-amino benzoic acid–TiO2 hybrid nanostructures of controlled functionality by an aqueous one-step process. Eur. J. Inorg. Chem. 2008, 2008, 980–987. [Google Scholar] [CrossRef]
  21. Dursun, I.; De Bastiani, M.; Turedi, B.; Alamer, B.; Shkurenko, A.; Yin, J.; El-Zohry, A.M.; Gereige, I.; AlSaggaf, A.; Mohammed, O.F.; et al. CsPb2Br5 single crystals: Synthesis and characterization. ChemSusChem 2017, 10, 3746–3749. [Google Scholar] [CrossRef] [PubMed]
  22. Li, Z.; Cong, S.; Xu, Y.i. Brookite vs anatase TiO2 in the photocatalytic activity for organic degradation in water. ACS Catal. 2014, 4, 3273–3280. [Google Scholar] [CrossRef]
  23. Xu, Y.; Zhang, Q.; Lv, L.; Han, W.; Wu, G.; Yang, D.; Dong, A. Synthesis of ultrasmall CsPbBr3 nanoclusters and their transformation to highly deep-blue-emitting nanoribbons at room temperature. Nanoscale 2017, 9, 17248–17253. [Google Scholar] [CrossRef] [PubMed]
  24. Xuan, T.; Yang, X.; Lou, S.; Huang, J.; Liu, Y.; Yu, J.; Li, H.; Wong, K.-L.; Wang, C.; Wang, J. Highly stable CsPbBr3 quantum dots coated with alkyl phosphate for white light-emitting diodes. Nanoscale 2017, 9, 15286–15290. [Google Scholar] [CrossRef] [PubMed]
  25. Li, X.; Wu, Y.; Zhang, S.; Cai, B.; Gu, Y.; Song, J.; Zeng, H. CsPbX3 quantum dots for lighting and displays: Room-temperature synthesis, photoluminescence superiorities, underlying origins and white light-emitting diodes. Adv. Funct. Mater. 2016, 26, 2435–2445. [Google Scholar] [CrossRef]
  26. Li, Y.; Lv, Y.; Guo, Z.; Dong, L.; Zheng, J.; Chai, C.; Chen, N.; Lu, Y.; Chen, C. One-step preparation of long-term stable and flexible CsPbBr3 perovskite quantum dots/ethylene vinyl acetate copolymer composite films for white light-emitting diodes. ACS Appl. Mater. Interfaces 2018, 10, 15888–15894. [Google Scholar] [CrossRef]
  27. Wu, T.; Xing, Z.; Mou, S.; Li, C.; Qiao, Y.; Liu, Q.; Zhu, X.; Luo, Y.; Shi, X.; Zhang, Y.; et al. Greatly improving electrochemical N2 reduction over TiO2 nanoparticle by Fe doping. Angew. Chem. Int. Edit 2019, 58, 18449–18453. [Google Scholar] [CrossRef]
  28. Zhang, P.; Sun, Y.; Lu, M.; Zhu, J.; Li, M.; Shan, Y.; Shen, J.; Song, C. High-loading nickel phosphide catalysts supported on SiO2-TiO2 for hydrodeoxygenation of guaiacol. Energy Fuels 2019, 33, 7696–7704. [Google Scholar] [CrossRef]
  29. Tian, B.; Li, C.; Zhang, J. One-step preparation, characterization and visible-light photocatalytic activity of Cr-doped TiO2 with anatase and rutile bicrystalline phases. Chem. Eng. J. 2012, 191, 402–409. [Google Scholar] [CrossRef]
  30. Liu, F.; Zhang, Y.; Ding, C.; Toyoda, T.; Ogomi, Y.; Ripolles, T.S.; Hayase, S.; Minemoto, T.; Yoshino, K.; Dai, S.; et al. Ultrafast electron injection from photoexcited perovskite CsPbI3 QDs into TiO2 nanoparticles with injection efficiency near 99%. J. Phys. Chem. Lett. 2018, 9, 294–297. [Google Scholar] [CrossRef]
Disclaimer/Publisher’s Note: The statements, opinions and data contained in all publications are solely those of the individual author(s) and contributor(s) and not of MDPI and/or the editor(s). MDPI and/or the editor(s) disclaim responsibility for any injury to people or property resulting from any ideas, methods, instructions or products referred to in the content.

Article Metrics

Citations

Article Access Statistics

Multiple requests from the same IP address are counted as one view.