Molecular Recognition by Silicon Nanowire Field-Effect Transistor and Single-Molecule Force Spectroscopy
Abstract
:1. Introduction
2. Materials and Methods
2.1. Silicon Nanowires
2.2. Microelectrodes
2.3. Chemicals
2.4. Samples Silanization with OTS
2.5. Proteins
2.6. Tip Functionalization with APTES
2.7. Tip Functionalization with PEG-Biotin
2.8. Cantilever Calibration
2.9. AFM Experiments
2.10. Single-Molecule Force Spectroscopy (SMFS) Analysis
3. Results and Discussion
3.1. Fabrication of a SiNW Biosensor
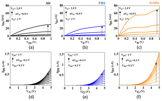
3.2. Electrical Characterization of SiNW
3.3. Single-Molecule Force Spectroscopy on a SiNW
Bell–Evans Model
4. Conclusions
Author Contributions
Funding
Conflicts of Interest
References
- Sheehan, A.D.; Quinn, J.; Daly, S.; Dillon, P.; O’Kennedy, R. The Development of Novel Miniaturized Immuno-sensing Devices: A Review of a Small Technology with a Large Future. Anal. Lett. 2003, 36, 511–537. [Google Scholar] [CrossRef]
- Lee, C.-S.; Kim, S.K.; Kim, M. Ion-Sensitive Field-Effect Transistor for Biological Sensing. Sensors 2009, 9, 7111–7131. [Google Scholar] [CrossRef]
- Aspermair, P.; Ramach, U.; Reiner-Rozman, C.; Fossati, S.; Lechner, B.; Moya, S.E.; Azzaroni, O.; Dostalek, J.; Szunerits, S.; Knoll, W.; et al. Dual Monitoring of Surface Reactions in Real Time by Combined Surface-Plasmon Resonance and Field-Effect Transistor Interrogation. J. Am. Chem. Soc. 2020, 142, 11709–11716. [Google Scholar] [CrossRef]
- Casalini, S.; Dumitru, A.C.; Leonardi, F.; Bortolotti, C.A.; Herruzo, E.T.; Campana, A.; De Oliveira, R.F.; Cramer, T.; Garcia, R.; Biscarini, F. Multiscale Sensing of Antibody–Antigen Interactions by Organic Transistors and Single-Molecule Force Spectroscopy. ACS Nano 2015, 9, 5051–5062. [Google Scholar] [CrossRef]
- Cui, Y.; Wei, Q.; Park, H.; Lieber, C.M. Nanowire Nanosensors for Highly Sensitive and Selective Detection of Biological and Chemical Species. Science 2001, 293, 1289–1292. [Google Scholar] [CrossRef] [PubMed]
- Chen, K.-I.; Li, B.-R.; Chen, Y.-T. Silicon nanowire field-effect transistor-based biosensors for biomedical diagnosis and cellular recording investigation. Nano Today 2011, 6, 131–154. [Google Scholar] [CrossRef]
- Zhang, H.; Kikuchi, N.; Ohshima, N.; Kajisa, T.; Sakata, T.; Izumi, T.; Sone, H. Design and Fabrication of Silicon Nanowire-Based Biosensors with Integration of Critical Factors: Toward Ultrasensitive Specific Detection of Biomolecules. ACS Appl. Mater. Interfaces 2020, 12, 51808–51819. [Google Scholar] [CrossRef] [PubMed]
- Zhang, G.-J.; Ning, Y. Silicon nanowire biosensor and its applications in disease diagnostics: A review. Anal. Chim. Acta 2012, 749, 1–15. [Google Scholar] [CrossRef] [PubMed]
- Campbell, P.M.; Snow, E.S.; McMarr, P.J. Fabrication of nanometer-scale side-gated silicon field effect transistors with an atomic force microscope. Appl. Phys. Lett. 1995, 66, 1388–1390. [Google Scholar] [CrossRef]
- Martinez, J.; Martinez, R.; Garcia, R. Silicon Nanowire Transistors with a Channel Width of 4 nm Fabricated by Atomic Force Microscope Nanolithography. Nano Lett. 2008, 8, 3636–3639. [Google Scholar] [CrossRef]
- Martínez, R.V.; Martínez, J.; Garcia, R. Silicon nanowire circuits fabricated by AFM oxidation nanolithography. Nanotechnology 2010, 21, 245301. [Google Scholar] [CrossRef] [PubMed]
- Chiesa, M.; Cardenas, P.P.; Otón, F.; Martinez, J.; Mas-Torrent, M.; Garcia, F.; Alonso, J.C.; Rovira, C.; Garcia, R. Detection of the Early Stage of Recombinational DNA Repair by Silicon Nanowire Transistors. Nano Lett. 2012, 12, 1275–1281. [Google Scholar] [CrossRef] [PubMed]
- García, R.; Calleja, M.; Pérez-Murano, F. Local oxidation of silicon surfaces by dynamic force microscopy: Nanofabrication and water bridge formation. Appl. Phys. Lett. 1998, 72, 2295–2297. [Google Scholar] [CrossRef] [Green Version]
- Ryu, Y.K.; Garcia, R. Advanced oxidation scanning probe lithography. Nanotechnology 2017, 28, 142003. [Google Scholar] [CrossRef]
- Liu, S.; Maoz, R.; Sagiv, J. Planned Nanostructures of Colloidal Gold via Self-Assembly on Hierarchically Assembled Organic Bilayer Template Patterns with In-situ Generated Terminal Amino Functionality. Nano Lett. 2004, 4, 845–851. [Google Scholar] [CrossRef]
- Garcia, R.; Tello, M.; And, J.F.M.; Biscarini, F. Size and Shape Controlled Growth of Molecular Nanostructures on Silicon Oxide Templates. Nano Lett. 2004, 4, 1115–1119. [Google Scholar] [CrossRef]
- Ryu, Y.K.; Postigo, P.A.; Garcia, F.; Garcia, R. Fabrication of sub-12 nm thick silicon nanowires by processing scanning probe lithography masks. Appl. Phys. Lett. 2014, 104, 223112. [Google Scholar] [CrossRef] [Green Version]
- Kurra, N.; Reifenberger, R.G.; Kulkarni, G.U. Nanocarbon-Scanning Probe Microscopy Synergy: Fundamental Aspects to Nanoscale Devices. ACS Appl. Mater. Interfaces 2014, 6, 6147–6163. [Google Scholar] [CrossRef]
- Espinosa, F.M.; Ryu, Y.K.; Marinov, K.; Dumcenco, D.; Kis, A.; Garcia, R. Direct fabrication of thin layer MoS2 field-effect nanoscale transistors by oxidation scanning probe lithography. Appl. Phys. Lett. 2015, 106, 103503. [Google Scholar] [CrossRef] [Green Version]
- Tomczyk, M.; Cheng, G.; Lee, H.; Lu, S.; Annadi, A.; Veazey, J.P.; Huang, M.; Irvin, P.; Ryu, S.; Eom, C.-B.; et al. Micrometer-Scale Ballistic Transport of Electron Pairs inLaAlO3/SrTiO3Nanowires. Phys. Rev. Lett. 2016, 117, 096801. [Google Scholar] [CrossRef] [PubMed] [Green Version]
- Liu, X.; Chen, K.; Wells, S.A.; Balla, I.; Zhu, J.; Wood, J.D.; Hersam, M.C. Scanning Probe Nanopatterning and Layer-by-Layer Thinning of Black Phosphorus. Adv. Mater. 2016, 29, 1604121. [Google Scholar] [CrossRef] [PubMed]
- Dago, A.I.; Sangiao, S.; Fernández-Pacheco, R.; De Teresa, J.M.; Garcia, R. Chemical and structural analysis of sub-20 nm graphene patterns generated by scanning probe lithography. Carbon 2018, 129, 281–285. [Google Scholar] [CrossRef] [Green Version]
- Zhao, P.; Wang, R.; Lien, D.; Zhao, Y.; Kim, H.; Cho, J.; Ahn, G.H.; Javey, A. Scanning Probe Lithography Patterning of Monolayer Semiconductors and Application in Quantifying Edge Recombination. Adv. Mater. 2019, 31, e1900136. [Google Scholar] [CrossRef]
- Rani, E.; Wong, L.S. High-Resolution Scanning Probe Nanolithography of 2D Materials: Novel Nanostructures. Adv. Mater. Technol. 2019, 4, 1900181. [Google Scholar] [CrossRef]
- Lipatov, A.; Li, T.; Vorobeva, N.S.; Sinitskii, A.; Gruverman, A. Nanodomain Engineering for Programmable Ferroelectric Devices. Nano Lett. 2019, 19, 3194–3198. [Google Scholar] [CrossRef]
- Li, H.; Ying, Z.; Lyu, B.; Deng, A.; Wang, L.; Taniguchi, T.; Watanabe, K.; Shi, Z. Electrode-Free Anodic Oxidation Nanolithography of Low-Dimensional Materials. Nano Lett. 2018, 18, 8011–8015. [Google Scholar] [CrossRef]
- Chen, L.; Li, J.; Tang, Y.; Pai, Y.-Y.; Chen, Y.; Pryds, N.; Irvin, P.; Levy, J. Extreme Reconfigurable Nanoelectronics at the CaZrO3/SrTiO3 Interface. Adv. Mater. 2018, 30, 1801794. [Google Scholar] [CrossRef] [Green Version]
- Ryu, Y.; Dago, A.; He, Y.; Espinosa, F.; López-Elvira, E.; Munuera, C.; Garcia, R. Sub-10 nm patterning of few-layer MoS2 and MoSe2 nanolectronic devices by oxidation scanning probe lithography. Appl. Surf. Sci. 2020, 539, 148231. [Google Scholar] [CrossRef]
- Borodin, B.R.; A Benimetskiy, F.; Alekseev, P.A. Study of local anodic oxidation regimes in MoSe2. Nanotechnology 2021, 32, 155304. [Google Scholar] [CrossRef] [PubMed]
- Riener, C.K.; Stroh, C.M.; Ebner, A.; Klampfl, C.; Gall, A.A.; Romanin, C.; Lyubchenko, Y.L.; Hinterdorfer, P.; Gruber, H.J. Simple test system for single molecule recognition force microscopy. Anal. Chim. Acta 2003, 479, 59–75. [Google Scholar] [CrossRef]
- Hutter, J.L.; Bechhoefer, J. Calibration of atomic-force microscope tips. Rev. Sci. Instrum. 1993, 64, 1868–1873. [Google Scholar] [CrossRef] [Green Version]
- Garcia, R. Amplitude Modulation Atomic Force Microscopy; John Wiley & Sons: Hoboken, NJ, USA, 2011. [Google Scholar]
- Garcia, R. Nanomechanical mapping of soft materials with the atomic force microscope: Methods, theory and applications. Chem. Soc. Rev. 2020, 49, 5850–5884. [Google Scholar] [CrossRef] [PubMed]
- Uhlig, M.R.; Amo, C.A.; Garcia, R. Dynamics of breaking intermolecular bonds in high-speed force spectroscopy. Nanoscale 2018, 10, 17112–17116. [Google Scholar] [CrossRef] [PubMed] [Green Version]
- Dumitru, A.C.; Herruzo, E.T.; Rausell, E.; Ceña, V.; Garcia, R. Unbinding forces and energies between a siRNA molecule and a dendrimer measured by force spectroscopy. Nanoscale 2015, 7, 20267–20276. [Google Scholar] [CrossRef] [PubMed] [Green Version]
- Duanis-Assaf, T.; Razvag, Y.; Reches, M. ForSDAT: An automated platform for analyzing force spectroscopy measurements. Anal. Methods 2019, 11, 4709–4718. [Google Scholar] [CrossRef]
- Oesterhelt, F.; Rief, M.; E Gaub, H. Single molecule force spectroscopy by AFM indicates helical structure of poly(ethylene-glycol) in water. New J. Phys. 1999, 1, 6. [Google Scholar] [CrossRef]
- Pfreundschuh, M.; Alsteens, D.; Wieneke, R.; Zhang, C.; Coughlin, S.R.; Tampé, R.; Kobilka, B.K.; Müller, D.J. Identifying and quantifying two ligand-binding sites while imaging native human membrane receptors by AFM. Nat. Commun. 2015, 6, 8857. [Google Scholar] [CrossRef] [Green Version]
- Martínez, R.V.; Martínez, J.; Chiesa, M.; Garcia, R.; Coronado, E.; Pinilla-Cienfuegos, E.; Tatay, S. Large-scale Nanopatterning of Single Proteins used as Carriers of Magnetic Nanoparticles. Adv. Mater. 2010, 22, 588–591. [Google Scholar] [CrossRef] [Green Version]
- De Paris, R.; Strunz, T.; Oroszlan, K.; Güntherodt, H.-J.; Hegner, M. Force Spectroscopy and Dynamics of the Biotin-Avidin Bond Studied by Scanning Force Microscopy. Single Molecules 2000, 1, 285–290. [Google Scholar] [CrossRef]
- Bizzarri, A.R.; Cannistraro, S. Dynamic Force Spectroscopy and Biomolecular Recognition; Taylor and Francis: Abingdon, UK, 2012. [Google Scholar]
- Bell, G.I. Models for the Specific Adhesion of Cells to Cells. Science 1978, 200, 618–627. [Google Scholar] [CrossRef]
- Evans, E.; Ritchie, K. Dynamic strength of molecular adhesion bonds. Biophys. J. 1997, 72, 1541–1555. [Google Scholar] [CrossRef] [Green Version]
- Alsteens, D.; Newton, R.; Schubert, R.; Martinez-Martin, D.; Delguste, M.; Roska, B.; Muller, D.J. Nanomechanical mapping of first binding steps of a virus to animal cells. Nat. Nanotechnol. 2016, 12, 177–183. [Google Scholar] [CrossRef]
- Fuhrmann, A.; Ros, R. Single-molecule force spectroscopy: A method for quantitative analysis of ligand–receptor interactions. Nanomedicine 2010, 5, 657–666. [Google Scholar] [CrossRef] [PubMed] [Green Version]
- Pfreundschuh, M.; Harder, D.; Ucurum, Z.; Fotiadis, D.; Müller, D.J. Detecting Ligand-Binding Events and Free Energy Landscape while Imaging Membrane Receptors at Subnanometer Resolution. Nano Lett. 2017, 17, 3261–3269. [Google Scholar] [CrossRef] [PubMed]
- Amo, C.A.; García, R.G. Fundamental High-Speed Limits in Single-Molecule, Single-Cell, and Nanoscale Force Spectroscopies. ACS Nano 2016, 10, 7117–7124. [Google Scholar] [CrossRef] [PubMed] [Green Version]






Publisher’s Note: MDPI stays neutral with regard to jurisdictional claims in published maps and institutional affiliations. |
© 2022 by the authors. Licensee MDPI, Basel, Switzerland. This article is an open access article distributed under the terms and conditions of the Creative Commons Attribution (CC BY) license (https://creativecommons.org/licenses/by/4.0/).
Share and Cite
Espinosa, F.M.; Uhlig, M.R.; Garcia, R. Molecular Recognition by Silicon Nanowire Field-Effect Transistor and Single-Molecule Force Spectroscopy. Micromachines 2022, 13, 97. https://doi.org/10.3390/mi13010097
Espinosa FM, Uhlig MR, Garcia R. Molecular Recognition by Silicon Nanowire Field-Effect Transistor and Single-Molecule Force Spectroscopy. Micromachines. 2022; 13(1):97. https://doi.org/10.3390/mi13010097
Chicago/Turabian StyleEspinosa, Francisco M., Manuel R. Uhlig, and Ricardo Garcia. 2022. "Molecular Recognition by Silicon Nanowire Field-Effect Transistor and Single-Molecule Force Spectroscopy" Micromachines 13, no. 1: 97. https://doi.org/10.3390/mi13010097
APA StyleEspinosa, F. M., Uhlig, M. R., & Garcia, R. (2022). Molecular Recognition by Silicon Nanowire Field-Effect Transistor and Single-Molecule Force Spectroscopy. Micromachines, 13(1), 97. https://doi.org/10.3390/mi13010097

