Highly Responsive Gate-Controlled p-GaN/AlGaN/GaN Ultraviolet Photodetectors with a High-Transmittance Indium Tin Oxide Gate †
Abstract
1. Introduction
2. Experiment and Methods
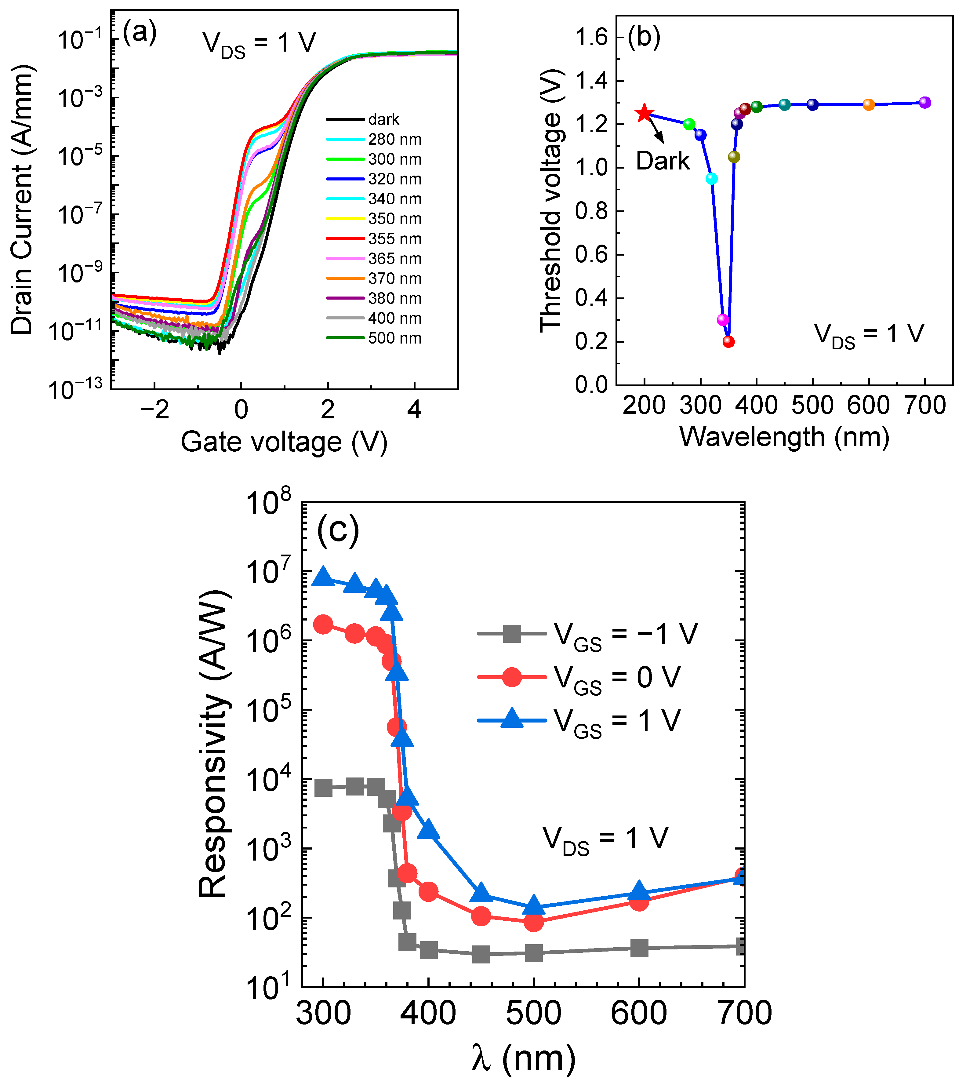
3. Results and Discussion
4. Conclusions
Author Contributions
Funding
Data Availability Statement
Acknowledgments
Conflicts of Interest
References
- Wu, Y.F.; Gritters, J.; Shen, L.; Smith, R.P.; Swenson, B. kV-class GaN-on-Si HEMTs enabling 99% efficiency converter at 800 V and 100 kHz. IEEE Trans. Power Electron. 2013, 29, 2634–2637. [Google Scholar] [CrossRef]
- Roccaforte, F.; Greco, G.; Fiorenza, P.; Iucolano, F. An overview of normally-off GaN-based high electron mobility transistors. Materials 2019, 12, 1599. [Google Scholar] [CrossRef] [PubMed]
- Aggarwal, N.; Gupta, G. Enlightening gallium nitride-based UV photodetectors. J. Mater. Chem. C 2020, 8, 12348–12354. [Google Scholar] [CrossRef]
- Alaie, Z.; Nejad, S.M.; Yousefi, M.H. Recent advances in ultraviolet photodetectors. Mater. Sci. Semicond. Process. 2015, 29, 16–55. [Google Scholar] [CrossRef]
- Baek, S.-H.; Lee, G.-W.; Cho, C.-Y.; Lee, S.-N. Gate-controlled amplifiable ultraviolet AlGaN/GaN high-electron-mobility phototransistor. Sci. Rep. 2021, 11, 7172. [Google Scholar] [CrossRef]
- Armstrong, A.M.; Klein, B.; Allerman, A.A.; Douglas, E.A.; Baca, A.G.; Crawford, M.H.; Pickrell, G.W.; Sanchez, C.A. Visible-blind and solar-blind detection induced by defects in AlGaN high electron mobility transistors. J. Appl. Phys. 2018, 123, 114502. [Google Scholar] [CrossRef]
- Zhang, H.; Liang, F.; Song, K.; Xing, C.; Wang, D.; Yu, H.; Huang, C.; Sun, Y.; Yang, L.; Zhao, X.; et al. Demonstration of AlGaN/GaN-based ultraviolet phototransistor with a record high responsivity over 3.6 × 107 A/W. Appl. Phys. Lett. 2021, 118, 242105. [Google Scholar] [CrossRef]
- Chen, D.; Chen, Y.-C.; Zeng, G.; Li, Y.-C.; Li, X.-X.; Peng, B.-F.; Lu, H.-L. Comprehensive analysis of optoelectronic performance of ultraviolet phototransistors based on AlGaN/GaN heterostructure. Semicond. Sci. Technol. 2022, 37, 105003. [Google Scholar] [CrossRef]
- Narita, T.; Wakejima, A.; Egawa, T. Ultraviolet photodetectors using transparent gate AlGaN/GaN high electron mobility transistor on silicon substrate. Jpn. J. Appl. Phys. 2013, 52, 01AG06. [Google Scholar] [CrossRef]
- Lyu, Q.; Jiang, H.; Lau, K.M. High gain and high ultraviolet/visible rejection ratio photodetectors using p-GaN/AlGaN/GaN heterostructures grown on Si. Appl. Phys. Lett. 2020, 117, 071101. [Google Scholar] [CrossRef]
- Wang, H.; You, H.; Xu, Y.; Sun, X.; Wang, Y.; Pan, D.; Ye, J.; Liu, B.; Chen, D.; Lu, H.; et al. High-responsivity and fast-response ultraviolet phototransistors based on enhanced p-GaN/AlGaN/GaN HEMTs. ACS Photonics 2022, 9, 2040–2045. [Google Scholar] [CrossRef]
- Chen, D.; Zhang, P.; Wang, L.; Huang, W. Demonstration of p-GaN/AlGaN/GaN-based ultraviolet phototransistors with sub-saturated transfer characteristics. Semicond. Sci. Technol. 2023, 38, 055016. [Google Scholar] [CrossRef]
- Chang, S.; Chang, M.; Yang, Y. Enhanced responsivity of GaN metal-semiconductor-metal (MSM) photodetectors on GaN substrate. IEEE Photonics J. 2017, 9, 6801707. [Google Scholar] [CrossRef]
- Butun, B.; Tut, T.; Ulker, E.; Yelboga, T.; Ozbay, E. High-performance visible-blind GaN-based pin photodetectors. Appl. Phys. Lett. 2008, 92, 033507. [Google Scholar] [CrossRef]
- Kuan, T.-M.; Chang, S.-J.; Su, Y.-K.; Ko, C.-H.; Webb, J.B.; Bardwell, J.A.; Liu, Y.; Tang, H.; Lin, W.-J.; Cherng, Y.-T.; et al. High optical-gain AlGaN/GaN 2 dimensional electron gas photodetectors. Jpn. J. Appl. Phys. 2003, 42, 5563. [Google Scholar] [CrossRef]
- Li, L.; Hosomi, D.; Miyachi, Y.; Hamada, T.; Miyoshi, M.; Egawa, T. High-performance ultraviolet photodetectors based on lattice-matched InAlN/AlGaN heterostructure field-effect transistors gated by transparent ITO films. Appl. Phys. Lett. 2017, 111, 102106. [Google Scholar] [CrossRef]
- Zhou, Q.; McIntosh, D.C.; Lu, Z.; Campbell, J.C.; Sampath, A.V.; Shen, H.; Wraback, M. GaN/SiC Avalanche Photodiodes. Appl. Phys. Lett. 2011, 99, 131110. [Google Scholar] [CrossRef]
- Melton, A.G.; Burgett, E.; Xu, T.; Hertel, N.; Ferguson, I.T. Comparison of neutron conversion layers for GaN-based scintillators. Phys. Status Scintill. 2012, 9, 957–959. [Google Scholar] [CrossRef]
- Hou, M.; So, H.; Suria, A.J.; Yalamarthy, A.S.; Senesky, D.G. Suppression of persistent photoconductivity in AlGaN/GaN ultraviolet photodetectors using in situ heating. IEEE Electron Device Lett. 2016, 38, 56–59. [Google Scholar] [CrossRef]
- Iwaya, M.; Miura, S.; Fujii, T.; Kamiyama, S.; Amano, H.; Akasaki, I. High-performance UV detector based on AlGaN/GaN junction heterostructure-field-effect transistor with ap-GaN gate. Phys. Status Solidi C 2009, 6, S972–S975. [Google Scholar] [CrossRef]
- Ishiguro, M.; Ikeda, K.; Mizuno, M.; Iwaya, M.; Takeuchi, T.; Kamiyama, S.; Akasaki, I. Control of the detection wavelength in AlGaN/GaN-based hetero-field-effect-transistor photosensors. Jpn. J. Appl. Phys. 2013, 52, 08JF02. [Google Scholar] [CrossRef]
- Martens, M.; Schlegel, J.; Vogt, P.; Brunner, F.; Lossy, R.; Würfl, J.; Weyers, M.; Kneissl, M. High gain ultraviolet photodetectors based on AlGaN/GaN heterostructures for optical switching. Appl. Phys. Lett. 2011, 98, 211114. [Google Scholar] [CrossRef]
- Satterthwaite, P.F.; Yalamarthy, A.S.; Scandrette, N.A.; Newaz, A.K.; Senesky, D.G. High responsivity, low dark current ultraviolet photodetectors based on two-dimensional electron gas interdigitated transducers. ACS Photonics 2018, 5, 4277–4282. [Google Scholar] [CrossRef]
- Yoshikawa, A.; Yamamoto, Y.; Murase, T.; Iwaya, M.; Takeuchi, T.; Kamiyama, S.; Akasaki, I. High-photosensitivity AlGaN-based UV heterostructure-field-effect-transistor-type photosensors. Jpn. J. Appl. Phys. 2016, 55, 05FJ04. [Google Scholar] [CrossRef]
- Lyu, Q.; Jiang, H.; Lau, K.M. Monolithic integration of ultraviolet light emitting diodes and photodetectors on a p-GaN/AlGaN/GaN/Si platform. Opt. Express 2021, 29, 8358–8364. [Google Scholar] [CrossRef]
- Pu, Y.; Liang, Y.C. High-gain high-sensitivity AlGaN/GaN ultraviolet photodetector with effective mechanism for photocurrent collection. Appl. Phys. Lett. 2022, 121, 062105. [Google Scholar] [CrossRef]
- Han, Z.; Li, X.; Wang, H.; Liu, Y.; Wang, M.; Yuan, J.; Wang, J.; Yang, W.; You, S.; Zhang, J.; et al. Transparent ITO gate p-GaN/AlGaN/GaN UV photodetector with high responsivity and high PDCR. In Proceedings of the 2023 IEEE Workshop on Wide Bandgap Power Devices and Applications in Asia (WiPDA Asia), Hsinchu, Taiwan, 27–29 August 2023; pp. 1–4. [Google Scholar] [CrossRef]
- Li, J.Z.; Lin, J.Y.; Jiang, H.X.; Salvador, A.; Botchkarev, A.; Morkoc, H. Nature of Mg impurities in GaN. Appl. Phys. Lett. 1996, 69, 1474–1476. [Google Scholar] [CrossRef]
- Kim, H.; Piqué, A.; Horwitz, J.S.; Mattoussi, H.; Murata, H.; Kafafi, Z.H.; Chrisey, D.B. Indium tin oxide thin films for organic light-emitting devices. Appl. Phys. Lett. 1999, 74, 3444–3446. [Google Scholar] [CrossRef]
- Jacobs, B.; Kramer MC JC, M.; Geluk, E.J.; Karouta, F. Optimisation of the Ti/Al/Ni/Au ohmic contact on AlGaN/GaN FET structures. J. Cryst. Growth 2002, 241, 15–18. [Google Scholar] [CrossRef]
- Stockman, A.; Masin, F.; Meneghini, M.; Zanoni, E.; Meneghesso, G.; Bakeroot, B.; Moens, P. Gate conduction mechanisms and lifetime modeling of p-gate AlGaN/GaN high-electron-mobility transistors. IEEE Trans. Electron Devices 2018, 65, 5365–5372. [Google Scholar] [CrossRef]
- Zhang, H.; Huang, C.; Song, K.; Yu, H.; Xing, C.; Wang, D.; Liu, Z.; Sun, H. Compositionally graded III-nitride alloys: Building blocks for efficient ultraviolet optoelectronics and power electronics. Rep. Prog. Phys. 2021, 84, 044401. [Google Scholar] [CrossRef] [PubMed]
- Bakeroot, B.; Stockman, A.; Posthuma, N.; Stoffels, S.; Decoutere, S. Analytical Model for the Threshold Voltage of p-AlGaN High-Electron-Mobility Transistors. IEEE Trans. Electron Devices 2017, 65, 79–86. [Google Scholar] [CrossRef]






| Structure | λ (nm) | VGS/VDS (V) | R (A/W) | Idark (A/mm) |
|---|---|---|---|---|
| Metal/Al0.45Ga0.55N/Al0.3Ga0.7N [6] | 280 | −2/5 | 6.2 × 104 | 8.0 × 10−5 |
| Metal/Al0.3Ga0.7N/GaN [7] | 365 | −8.2/8 | 1.0 × 106 | 2.0 × 10−9 |
| ITO/Al0.26Ga0.74N/GaN [9] | 360 | −3.1/6 | 2.0 × 105 | 3.0 × 10−9 |
| p-GaN/Al0.2Ga0.8N/GaN [10] | 365 | 0/5 | 2.0 × 104 | 1.0 × 10−9 |
| p-GaN/Al0.2Ga0.8N/GaN [11] | 345 | 0/5 | 6.8 × 104 | 4.84 × 10−10 |
| Au/Ni/p-GaN/Al0.2Ga0.8N/GaN [8] | 310 | 0.68/5 | 6.1 × 103 | 5.2 × 10−10 |
| This work | 355 | 0.6/1 | 3.5 × 104 | 3 × 10−9 |
| This work | 300 | 0/1 | 2.0 × 106 | 3 × 10−9 |
Disclaimer/Publisher’s Note: The statements, opinions and data contained in all publications are solely those of the individual author(s) and contributor(s) and not of MDPI and/or the editor(s). MDPI and/or the editor(s) disclaim responsibility for any injury to people or property resulting from any ideas, methods, instructions or products referred to in the content. |
© 2024 by the authors. Licensee MDPI, Basel, Switzerland. This article is an open access article distributed under the terms and conditions of the Creative Commons Attribution (CC BY) license (https://creativecommons.org/licenses/by/4.0/).
Share and Cite
Han, Z.; Li, X.; Wang, H.; Liu, Y.; Yang, W.; Lv, Z.; Wang, M.; You, S.; Zhang, J.; Hao, Y. Highly Responsive Gate-Controlled p-GaN/AlGaN/GaN Ultraviolet Photodetectors with a High-Transmittance Indium Tin Oxide Gate. Micromachines 2024, 15, 156. https://doi.org/10.3390/mi15010156
Han Z, Li X, Wang H, Liu Y, Yang W, Lv Z, Wang M, You S, Zhang J, Hao Y. Highly Responsive Gate-Controlled p-GaN/AlGaN/GaN Ultraviolet Photodetectors with a High-Transmittance Indium Tin Oxide Gate. Micromachines. 2024; 15(1):156. https://doi.org/10.3390/mi15010156
Chicago/Turabian StyleHan, Zhanfei, Xiangdong Li, Hongyue Wang, Yuebo Liu, Weitao Yang, Zesheng Lv, Meng Wang, Shuzhen You, Jincheng Zhang, and Yue Hao. 2024. "Highly Responsive Gate-Controlled p-GaN/AlGaN/GaN Ultraviolet Photodetectors with a High-Transmittance Indium Tin Oxide Gate" Micromachines 15, no. 1: 156. https://doi.org/10.3390/mi15010156
APA StyleHan, Z., Li, X., Wang, H., Liu, Y., Yang, W., Lv, Z., Wang, M., You, S., Zhang, J., & Hao, Y. (2024). Highly Responsive Gate-Controlled p-GaN/AlGaN/GaN Ultraviolet Photodetectors with a High-Transmittance Indium Tin Oxide Gate. Micromachines, 15(1), 156. https://doi.org/10.3390/mi15010156

