Development and Performance Evaluation of Integrated Hybrid Power Module for Three-Phase Servo Motor Applications
Abstract
1. Introduction
2. Development of Sic/Si Integrated Hybrid Power Module
3. Experiments
3.1. Double Pulse Test
3.2. Inductance Measurements
3.3. Open-Loop Three-Phase Inverter Operation Experiment
4. Methodology
4.1. Power Loss Estimation
4.2. Space Vector Pulse Width Modulation
5. Numerical Modeling
5.1. Electromagnetic Analysis
5.2. Electromagnetic-Circuit Co-Simulation (ECC)
6. Result and Discussion
6.1. Performance Evaluation of the SiC Inverter in the iHPM System
6.1.1. Parasitics Extraction via Electromagnetic Analysis
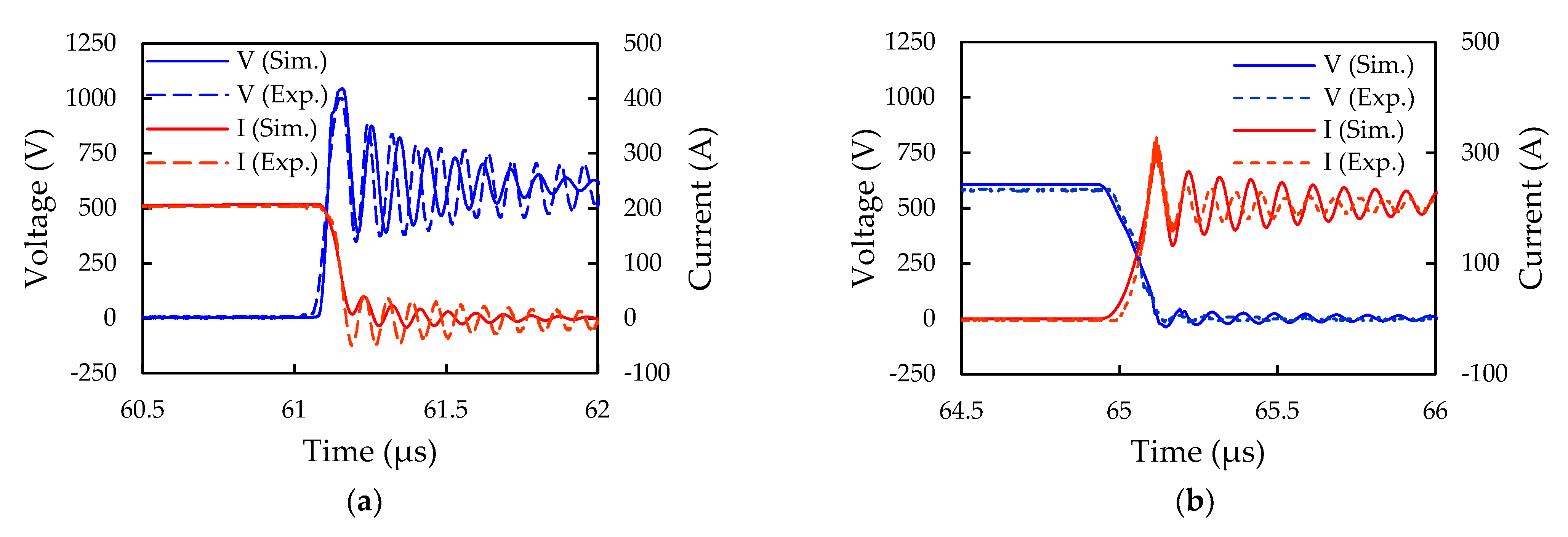
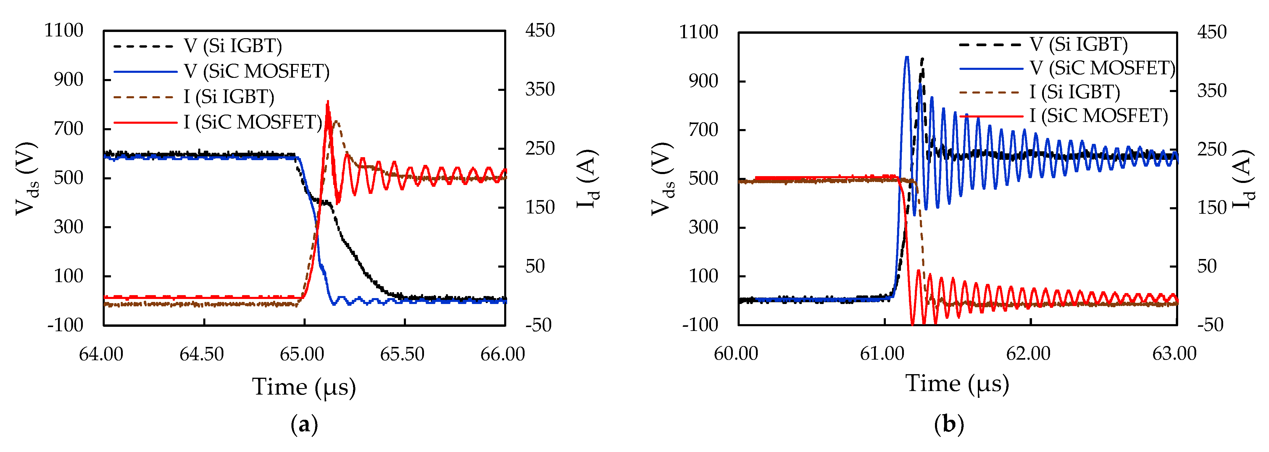
6.1.2. Characterization of DPT Switching Characteristics
6.1.3. Comparison of Modulating Signal and Output Current with SVPWM/SPWM and Delta/Star Load Connections
6.1.4. Open-Loop Inverter Operation and Power Loss Estimation
6.2. Power Loss Prediction of the iHPM System
7. Conclusions
- From the predicted parasitic inductance results of the P-N paths of three phases, it is found that the current Cu trace layout design of the IMS substrate can satisfy the design requirements and is also quite effective in diminishing the parasitic inductances through mutual coupling.
- The simulated parasitic inductances are found to have a good agreement with the measured results, validating the proposed EA model. In addition, the simulated switching characteristics match well with the experimental results, demonstrating the effectiveness of the proposed ECC model.
- The switching transient performance of the SiC MOSFET inverter is remarkably superior to that of the Si IGBT inverter, causing a considerably reduced switching loss, especially in the turn-on process.
- The SVPWM control gives a marginally larger output line current than the SPWM control, thereby resulting in a greater output power under the same conditions.
- The delta load connection is shown to create a peak output line current approximately three times greater than the star load connection.
- The SiC inverter is found to outperform the Si IGBT inverter in both power loss and efficiency.
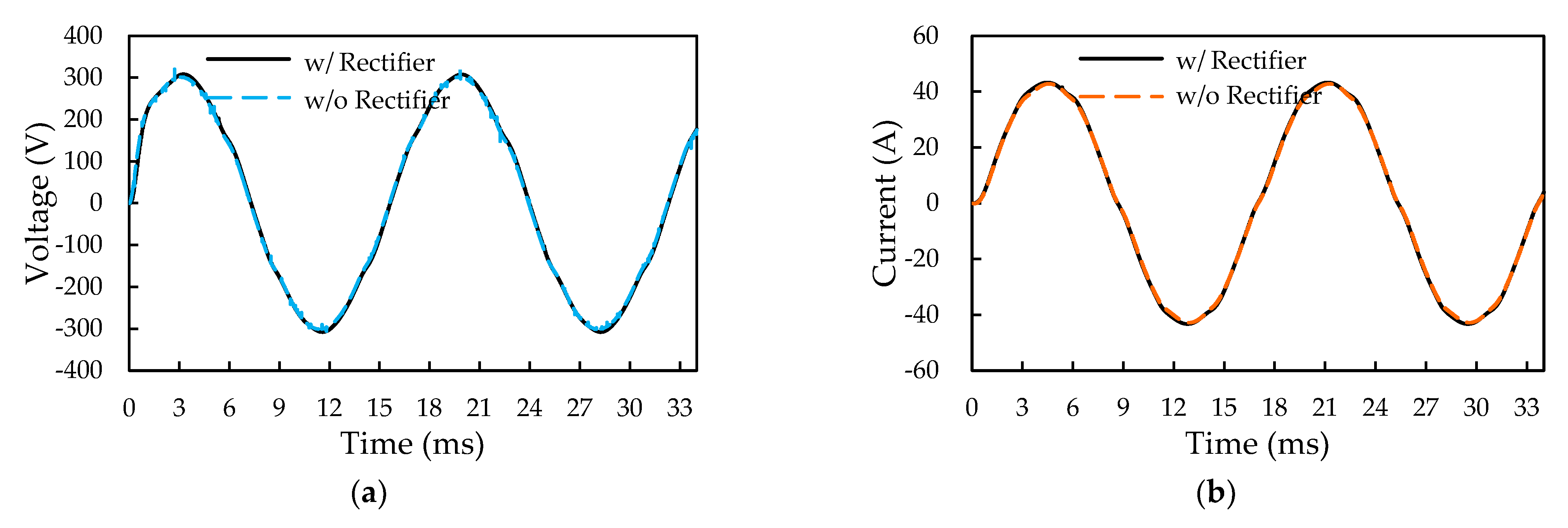
- A certain voltage oscillation is detected in the output DC bus voltage, and the voltage fluctuation is proven to have a marginal influence on the output voltage and current.
- As the switching frequency increase from 15 kHz and 30 kHz, the output power is greatly reduced, primarily because of the increase in switching loss and body diode loss arising from an increased switching frequency and a longer dead time, respectively.
- The duty cycle is an effective means to upgrade the output power loss of the iHPM during an open-loop operation.
- For the three-phase iHPM operated at a switching frequency of 30 kHz, a DC voltage of 404 V, a load current of 28.8 A, and a room temperature condition, the switch switching loss is at its maximum at the chosen switching frequency, followed by the body diode loss and the switch conduction loss. The high switching frequency (30 kHz) and gate resistance (13 Ω) are the main causes of the extensive body diode loss. Moreover, the SiC inverter loss dominates the total power loss of the iHPM.
Author Contributions
Funding
Data Availability Statement
Conflicts of Interest
References
- Strass, A. Power semiconductor and packaging trends in vehicle electrification. In Proceedings of the EVS28 International Electric Vehicle Symposium and Exhibition, Goyang, Republic of Korea, 3–6 May 2015. [Google Scholar]
- Shih, M.K.; Lee, T.K.; Chang, J.G. Warpage modeling and characterization of intelligent power modules (IPMs). J. Mech. 2021, 37, 543–550. [Google Scholar] [CrossRef]
- Ma, C.T.; Gu, Z.H. Review on driving circuits for wide-bandgap semiconductor switching devices for mid- to high-power applications. Micromachines 2021, 12, 65. [Google Scholar] [CrossRef]
- Kibushi, R.; Hatakeyama, T.; Yuki, K.; Ishizuka, M.; Unno, N. Comparison of thermal properties between Si and SiC power MOSFET using electro-thermal analysis. In Proceedings of the International Conference on Electronics Packaging, Yamagata, Japan, 19–22 April 2017. [Google Scholar]
- Li, X.K.; Li, W.J.; Liang, B.; Zhu, G.R.; Xie, M.; Li, X.S. Research on performance comparisons of SiC MOSFET, CoolMOS and Si MOSFET based on H-bridge double-Sided LCC resonant network. In Proceedings of the International Conference on Industrial Informatics-Computing Technology, Intelligent Technology, Industrial Information Integration, Wuhan, China, 3–4 December 2015. [Google Scholar]
- Yin, S.; Tseng, J.; Simanjorang, R.; Tu, P. Experimental comparison of high-speed gate driver design for 1.2-kV/120-A Si IGBT and SiC MOSFET modules. IET Power Electron. 2017, 10, 979–986. [Google Scholar] [CrossRef]
- Qi, F.; Fu, L.; Xu, L.; Jing, P.; Zhao, G.; Wang, J. Si and SiC power MOSFET characterization and comparison. In Proceedings of the IEEE Conference and Expo Transportation Electrification Asia-Pacific, Beijing, China, 31 August–3 September 2014. [Google Scholar]
- Biela, J.; Schweizer, M.; Waffler, S.; Kolar, J.W. SiC versus Si—Evaluation of potentials for performance improvement of inverter and DC–DC converter systems by SiC power semiconductors. IEEE Trans. Ind. Electron. 2011, 58, 2872–2882. [Google Scholar] [CrossRef]
- Wang, G.; Wang, F.; Magai, G.; Lei, Y.; Huang, A.; Das, M. Performance comparison of 1200 V 100 A SiC MOSFET and 1200 V 100 A silicon IGBT. In Proceedings of the IEEE Energy Conversion Congress and Exposition, Denver, CO, USA, 15–19 September 2013. [Google Scholar]
- Milllan, J.; Godignon, P.; Perpina, X.; Pérez-Tomás, A.; Rebollo, J. A survey of wide bandgap power semiconductor devices. IEEE Trans. Power Electron. 2014, 29, 2155–2163. [Google Scholar] [CrossRef]
- Merienne, F.; Roudet, J.; Schanen, J.L. Switching disturbance due to source inductance for a power MOSFET: Analysis and solutions. In Proceedings of the 27th Annual IEEE Power Electronics Specialists Conference, Baveno, Italy, 23–27 June 1996. [Google Scholar]
- Raab, O.; Guacci, M.; Griffo, A.; Kriegel, K.; Heller, M.; Wang, J.; Bortis, D.; Schulz, M.; Kolar, J.W. Full-SiC integrated power module based on planar packaging technology for high efficiency power converters in aircraft applications. In Proceedings of the 11th International Conference on Integrated Power Electronics Systems, Berlin, Germany, 24–26 March 2020. [Google Scholar]
- Cheng, H.C.; Liu, Y.C. Dynamic modeling framework for evaluating electromagnetic-electro-thermal behavior of power conversion system during load operation. J. Electron. Packag. 2023, 145, 021005. [Google Scholar] [CrossRef]
- Cheng, H.C.; Shen, Y.H.; Chen, W.H. Parasitic extraction and power loss estimation of power devices. J. Mech. 2020, 37, 134–148. [Google Scholar] [CrossRef]
- Yang, F.; Liang, Z.; Wang, Z.J.; Wang, F. Design of a low parasitic inductance SiC power module with double-sided cooling. In Proceedings of the IEEE Applied Power Electronics Conference and Exposition, Tampa, FL, USA, 26–30 March 2017. [Google Scholar]
- Liu, W.; Liu, Y.F.; Wang, L.; Malcolm, D. A 3D stacked step-down intergrated power module. In Proceedings of the 2017 IEEE Applied Power Electronics Conference and Exposition, Tampa, FL, USA, 26–30 March 2017. [Google Scholar]
- Regnat, G.; Jeannin, P.O.; Ewanchuk, J.; Frey, D.; Mollov, S.; Ferrieux, J.P. Optimized power modules for silicon carbide MOSFET. In Proceedings of the 2016 IEEE Energy Conversion Congress and Exposition, Milwaukee, WI, USA, 18–22 September 2016. [Google Scholar]
- Lee, H. Design and Demonstration of SiC 3D Stacked Power Module with Superior Electrical Parasitics and Thermal Performances. Ph.D. Thesis, Georgia Institute of Technology, Atlanta, GA, USA, 19 November 2020. [Google Scholar]
- Chen, C.; Chen, Y.; Li, Y.; Huang, Z.; Liu, T.; Kang, Y. An SiC-based half-bridge module with an improved hybrid packaging method for high power density applications. IEEE Trans. Ind. Electron. 2017, 64, 8980–8991. [Google Scholar] [CrossRef]
- Wei, X.; Xu, H.; Zhan, J.; Zhan, H.; Cao, Y.; Cui, S.; Tang, W. Comparative studies on microstructures, strengths and reliabilities of two types of AlN direct bonding copper substrates. Ceram. Int. 2018, 44, 18935–18941. [Google Scholar] [CrossRef]
- Gurpinar, E.; Chowdhury, S.; Ozpineci, B. Design, analysis, comparison and experimental validation of insulated metal substrates for high power wide-bandgap power modules. J. Electron. Packag. 2020, 142, 041107. [Google Scholar] [CrossRef]
- Hsu, H.C.; Cheng, L.K.; Chi, W.H.; Liao, H.K. Characteristics of power module with new advanced substrate. In Proceedings of the 15th IMPACT Conference, Taipei, Taiwan, 21–23 October 2020. [Google Scholar]
- Jorda, X.; Perpina, X.; Vellvehi, M.; Millan, J.; Ferriz, A. Thermal characterization of insulated metal substrates with a power test chip. In Proceedings of the 21st International Symposium on Power Semiconductor Devices & IC’s, Barcelona, Spain, 14–18 June 2009. [Google Scholar]
- Cheng, H.C.; Lin, S.Y.; Liu, Y.C. Transient electro-thermal coupled modeling of three-phase power MOSFET inverter during load cycles. Materials 2021, 14, 5427. [Google Scholar] [CrossRef]
- Xiong, Y.; Sun, S.; Jia, H.; Shea, P.; Shen, Z.J. New physical insights on power MOSFET switching losses. IEEE Trans. Power Electron. 2009, 24, 525–531. [Google Scholar] [CrossRef]
- Qi, J.; Yang, X.; Li, X.; Tian, K.; Mao, Z.; Yang, S.; Song, W. Temperature dependence of dynamic performance characterization of 1.2-kV SiC power MOSFETS compared with Si IGBTs for wide temperature applications. IEEE Trans. Power Electron. 2019, 34, 9105–9117. [Google Scholar] [CrossRef]
- Dutta, A. A Low Temperature Co-Fired Ceramic (LTCC) Interposer Based Three-Dimensional Stacked Wire Bondless Power Module. Ph.D. Thesis, University of Arkansas, Fayetteville, AR, USA, August 2017. [Google Scholar]
- Lin, H.N.; Ho, T.H.; Ko, P.N.; Tsai, Y.L.; Hsiao, H.C.; Wu, S.M.; Lin, Y.T.; Lin, L.Y.; Lao, J.S. Switching noise analysis for conducted electromagnetic interference of power electronic module. In Proceedings of the Asia-Pacific International Symposium on Electromagnetic Compatibility, Nusa Dua-Bali, Indonesia, 27–30 September 2021. [Google Scholar]
- Lee, H.; Smet, V.; Tummaa, R. A review of SiC power module packaging technologies: Challenges, advances, and emerging issues. IEEE J. Emerg. Sel. Top. Power Electron. 2020, 8, 239–255. [Google Scholar] [CrossRef]
- Correvon, M.; Nagashima, J.; Apter, R. Power modules with IMS substrates for automotive applications. In Proceedings of the IEEE 55th Vehicular Technology Conference, Birmingham, AL, USA, 6–9 May 2002. [Google Scholar]
- Gurpinar, E.; Chowdhury, S.; Ozpineci, B.; Fan, W. Graphite-embedded high-performance insulated metal substrate for wide-bandgap power modules. IEEE Trans. Power Electron. 2021, 36, 114–128. [Google Scholar] [CrossRef]
- Laloya, E.; Lucía, Ó.; Sarnago, H.; Burdio, J.M. Heat management in power converters: From state of the art to future ultrahigh efficiency systems. IEEE Trans. Power Electron. 2016, 31, 7896–7908. [Google Scholar] [CrossRef]
- IEC 60747-8; International Standard for Semiconductor Devices—Discrete Devices—Part 8: Field-Effect Transistors. IEC: Geneva, Switzerland, 2021.
- IEC 60747-15; International Standard for Semiconductor Devices—Discrete Devices—Part 15: Isolated Power Semiconductor Devices. IEC: Geneva, Switzerland, 2010.
- Ahmed, A.; Shaikh, A.M.; Shaikh, M.F.; Shaikh, S.A.; Soomro, J.B. Experimental study of various parameters during speed control of three-phase induction motor using GPIC and LabVIEW. Ann. Emerg. Technol. Comput. 2021, 5, 51–62. [Google Scholar] [CrossRef]
- Yan, H.; Xu, Y.; Zou, J.; Fang, Y.; Cai, F. A novel open-circuit fault diagnosis method for voltage source inverters with a single current sensor. IEEE Trans. Power Electron. 2018, 33, 8775–8789. [Google Scholar] [CrossRef]
- Wang, Z.; Shi, X.; Tolbert, L.M.; Wang, F.; Liang, Z.; Costinett, D.; Blalock, B.J. A high temperature silicon carbide MOSFET power module with integrated silicon-on-insulator-based gate drive. IEEE Trans. Power Electron. 2015, 30, 1432–1445. [Google Scholar] [CrossRef]
- Wang, H. Investigation of Power Semiconductor Devices for High Frequency High Density Power Converters. Ph.D. Thesis, Virginia Polytechnic Institute and State University, Blacksburg, VA, USA, 11 April 2007. [Google Scholar]
- Gaballah, M.M. Design and implementation of space vector PWM inverter based on a low cost microcontroller. Arab. J. Sci. Eng. 2013, 38, 3059–3070. [Google Scholar] [CrossRef]
- Komrska, T.; Glasberger, T. Pulse width modulation of three phase inverters based on linear programming. Trans. Electr. Eng. 2019, 8, 44–48. [Google Scholar] [CrossRef]
- Praharsena, B.; Jauhari, M.; Purwanto, E.; Jati, M.P.; Aditya, A.W.; Prasetyo, A.A. Switching algorithm for SVPWM inverter in induction motor drive system on electric vehicle applications. Elinvo 2021, 6, 149–156. [Google Scholar] [CrossRef]























| Size_X (mm) | Size_Y (mm) | Thickness (mm) | |
|---|---|---|---|
| MOSFET | 7.26 | 4.36 | 0.18 |
| Rectifier | 9 | 9 | 0.3 |
| IGBT | 8.8 | 8.8 | 0.14 |
| Diode | 6.26 | 6.26 | 0.35 |
| Top Cu | - | - | 0.3 |
| TIM | 119.1 | 59.1 | 0.12 |
| Baseplate | 119.1 | 59.1 | 3 |
| Housing | 122 | 62 | - |
| Path | P-O1 (U) | O1-N (U) | P-O2 (V) | O2-N (V) | P-O3 (W) | O3-N (W) |
|---|---|---|---|---|---|---|
| L (nH) | 34.62 | 31.49 | 41.15 | 36.63 | 47.00 | 39.42 |
| Path | P-O1 (U) | O1-N (U) | P-O2 (V) | O2-N (V) | P-O3 (W) | O3-N (W) |
|---|---|---|---|---|---|---|
| dv (V) | 16.60 | 25.00 | 20.80 | 25.00 | 28.10 | 22.90 |
| di/dt (A/ns) | 1.67 | 1.79 | 1.61 | 1.65 | 1.51 | 1.63 |
| Lm (nH) | 39.60 | 34.63 | 44.22 | 41.29 | 50.23 | 41.66 |
| tr (ns) | Eon (μJ) | tf (ns) | Eoff (μJ) | |
|---|---|---|---|---|
| Simulation | 140 | 2960 | 30 | 8003 |
| Experiment | 138 | 2836 | 25 | 8266 |
| Difference | 1.4% | 4.2% | 16.7% | 3.3% |
| Eon (μJ) | Eoff (μJ) | |
|---|---|---|
| SiC MOSFET inverter | 2836 | 8266 |
| Si IGBT inverter | 15,872 | 14,473 |
| Conduction | Switching | Body Diode | Sum | Total Loss of SiC Inverter | |
|---|---|---|---|---|---|
| S1 | 5.33 | 7.70 | 10.47 | 23.50 | 141.51 |
| S2 | 5.45 | 6.20 | 11.57 | 23.22 | |
| S3 | 6.20 | 7.34 | 10.37 | 23.91 | |
| S4 | 6.08 | 6.70 | 10.62 | 23.40 | |
| S5 | 6.82 | 6.73 | 10.66 | 24.21 | |
| S6 | 5.83 | 6.55 | 10.87 | 23.25 | |
| Average | 5.95 | 6.87 | 10.76 | 23.58 |
| Si IGBT PM | SiC MOSFET Inverter | |
|---|---|---|
| Vdc (V) | 404.67 | 404.07 |
| Idc (A) | 31.09 | 30.3 |
| Input power | 12,580.79 | 12,241.3 |
| VL(rms) (V) | 220.71 | 221.15 |
| IL(rms) (A) | 30.13 | 30.49 |
| Output power (W) | 11,517.79 | 11,680.17 |
| Total system loss (W) | 1063 | 561.1 |
| System efficiency | 91.55% | 95.42% |
| Switch/ Diode | Inverter Switch Loss | Rectifier Diode Loss | Total Loss | |||
|---|---|---|---|---|---|---|
| Conduction | Switching | Body Diode | Sum | |||
| S1/D1 | 7.30 | 18.43 | 11.23 | 36.96 | 14.12 | 305.99 |
| S2/D2 | 6.94 | 16.29 | 12.41 | 35.64 | 14.12 | |
| S3/D3 | 8.05 | 16.40 | 11.48 | 35.93 | 14.12 | |
| S4/D4 | 7.74 | 15.99 | 14.51 | 38.24 | 14.12 | |
| S5/D5 | 8.98 | 18.26 | 13.21 | 40.45 | 14.12 | |
| S6/D6 | 7.56 | 15.42 | 11.08 | 34.06 | 14.12 | |
| Avg. | 7.76 | 16.80 | 12.32 | 36.88 | 14.12 | |
Disclaimer/Publisher’s Note: The statements, opinions and data contained in all publications are solely those of the individual author(s) and contributor(s) and not of MDPI and/or the editor(s). MDPI and/or the editor(s) disclaim responsibility for any injury to people or property resulting from any ideas, methods, instructions or products referred to in the content. |
© 2023 by the authors. Licensee MDPI, Basel, Switzerland. This article is an open access article distributed under the terms and conditions of the Creative Commons Attribution (CC BY) license (https://creativecommons.org/licenses/by/4.0/).
Share and Cite
Cheng, H.-C.; Liu, Y.-C.; Lin, H.-H.; Chiou, S.-C.; Tzeng, C.-M.; Chang, T.-C. Development and Performance Evaluation of Integrated Hybrid Power Module for Three-Phase Servo Motor Applications. Micromachines 2023, 14, 1356. https://doi.org/10.3390/mi14071356
Cheng H-C, Liu Y-C, Lin H-H, Chiou S-C, Tzeng C-M, Chang T-C. Development and Performance Evaluation of Integrated Hybrid Power Module for Three-Phase Servo Motor Applications. Micromachines. 2023; 14(7):1356. https://doi.org/10.3390/mi14071356
Chicago/Turabian StyleCheng, Hsien-Chie, Yan-Cheng Liu, Hsin-Han Lin, Shian-Chiau Chiou, Chih-Ming Tzeng, and Tao-Chih Chang. 2023. "Development and Performance Evaluation of Integrated Hybrid Power Module for Three-Phase Servo Motor Applications" Micromachines 14, no. 7: 1356. https://doi.org/10.3390/mi14071356
APA StyleCheng, H.-C., Liu, Y.-C., Lin, H.-H., Chiou, S.-C., Tzeng, C.-M., & Chang, T.-C. (2023). Development and Performance Evaluation of Integrated Hybrid Power Module for Three-Phase Servo Motor Applications. Micromachines, 14(7), 1356. https://doi.org/10.3390/mi14071356
