A Double-Layer Dual-Polarized Huygens Metasurface and Its Meta-Lens Antenna Applications
Abstract
1. Introduction
2. The EM Response of Huygens’ Unit
2.1. The EM Response of the Initial Huygens Unit
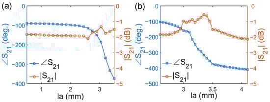
2.2. Optimization of Huygens’ Unit
3. Application of Huygens’ Unit in Meta-Lens
4. Conclusions
Author Contributions
Funding
Data Availability Statement
Acknowledgments
Conflicts of Interest
References
- Yu, N.; Genevet, P.; Kats, M.A.; Aieta, F.; Tetienne, J.-P.; Capasso, F.; Gaburro, Z. Light propagation with phase discontinuities: Generalized laws of reflection and refraction. Science 2011, 334, 333–337. [Google Scholar] [CrossRef] [PubMed]
- Yu, N.; Capasso, F. Flat optics with designer metasurfaces. Nat. Mater. 2014, 13, 139–150. [Google Scholar] [CrossRef] [PubMed]
- Minovich, A.E.; Miroshnichenko, A.E.; Bykov, A.Y.; Murzina, T.V.; Neshev, D.N.; Kivshar, Y.S. Functional and nonlinear optical metasurfaces. Laser Photonics Rev. 2015, 9, 195–213. [Google Scholar] [CrossRef]
- Chen, H.-T.; Taylor, A.J.; Yu, N. A review of metasurfaces: Physics and applications. Rep. Prog. Phys. 2016, 79, 076401. [Google Scholar] [CrossRef]
- Glybovski, S.B.; Tretyakov, S.A.; Belov, P.A.; Kivshar, Y.S.; Simovski, C.R. Metasurfaces: From microwaves to visible. Phys. Rep. 2016, 634, 1–72. [Google Scholar] [CrossRef]
- Hsiao, H.-H.; Chu, C.H.; Tsai, D.P. Fundamentals and Applications of Metasurfaces. Small Methods 2017, 1, 1600064. [Google Scholar] [CrossRef]
- Ding, F.; Pors, A.; Bozhevolnyi, S.I. Gradient metasurfaces: A review of fundamentals and applications. Rep. Prog. Phys. 2018, 81, 026401. [Google Scholar] [CrossRef]
- Ren, X.; Jha, P.K.; Wang, Y.; Zhang, X. Nonconventional metasurfaces: From non-Hermitian coupling, quantum interactions, to skin cloak. Nanophotonics 2018, 7, 1233–1243. [Google Scholar] [CrossRef]
- Cai, T.; Tang, S.; Wang, G.; Xu, H.; Sun, S.; He, Q.; Zhou, L. High-Performance Bifunctional Metasurfaces in Transmission and Reflection Geometries. Adv. Opt. Mater. 2017, 5, 1600506. [Google Scholar] [CrossRef]
- Abdelrahman, A.H.; Elsherbeni, A.Z.; Yang, F. Transmission phase limit of multilayer frequency-selective surfaces for transmitarray designs. IEEE Trans. Antennas Propag. 2014, 62, 690–697. [Google Scholar] [CrossRef]
- Chen, M.L.N.; Jiang, L.J.; Sha, W.E.I. Ultrathin Complementary Metasurface for Orbital Angular Momentum Generation at Microwave Frequencies. IEEE Trans. Antennas Propag. 2017, 65, 396–400. [Google Scholar] [CrossRef]
- Akram, M.R.; Bai, X.; Jin, R.; Vandenbosch, G.A.E.; Premaratne, M.; Zhu, W. Photon Spin Hall Effect-Based Ultra-Thin Transmissive Metasurface for Efficient Generation of OAM Waves. IEEE Trans. Antennas Propag. 2019, 67, 4650–4658. [Google Scholar] [CrossRef]
- Dicandia, F.A.; Genovesi, S. Linear-to-Circular Polarization Transmission Converter Exploiting Meandered Metallic Slots. IEEE Antennas Wirel. Propag. Lett. 2022, 21, 2191–2195. [Google Scholar] [CrossRef]
- Dicandia, F.A.; Genovesi, S. Design of a Transmission-Type Polarization-Insensitive and Angularly Stable Polarization Rotator by Using Characteristic Modes Theory. IEEE Trans. Antennas Propag. 2023, 71, 1602–1612. [Google Scholar] [CrossRef]
- Pfeiffer, C.; Grbic, A. Metamaterial Huygens’ surfaces: Tailoring wave fronts with reflectionless sheets. Phys. Rev. Lett. 2013, 110, 197401. [Google Scholar] [CrossRef]
- Pfeiffer, C.; Emani, N.K.; Shaltout, A.M.; Boltasseva, A.; Shalaev, V.M.; Grbic, A. Efficient light bending with isotropic metamaterial Huygens’ surfaces. Nano Lett. 2014, 14, 2491–2497. [Google Scholar] [CrossRef]
- Hao, W.; Deng, M.; Chen, S.; Chen, L. High-efficiency generation of airy beams with Huygens’ metasurface. Phys. Rev. Appl. 2019, 11, 054012. [Google Scholar] [CrossRef]
- Londoño, M.; Sayanskiy, A.; Araque-Quijano, J.L.; Glybovski, S.B.; Baena, J.D. Broadband Huygens’ metasurface based on hybrid resonances. Phys. Rev. Appl. 2018, 10, 034026. [Google Scholar] [CrossRef]
- Jia, S.L.; Wan, X.; Bao, D.; Zhao, Y.J.; Cui, T.J. Independent controls of orthogonally polarized transmitted waves using a Huygens metasurface. Laser Photonics Rev. 2015, 9, 545–553. [Google Scholar] [CrossRef]
- Wang, Z.; Ding, X.; Zhang, K.; Ratni, B.; Burokur, S.N.; Gu, X.; Wu, Q. Huygens metasurface holograms with the modulation of focal energy distribution. Adv. Opt. Mater. 2018, 6, 1800121. [Google Scholar] [CrossRef]
- Chen, K.; Feng, Y.; Monticone, F.; Zhao, J.; Zhu, B.; Jiang, T.; Zhang, L.; Kim, Y.; Ding, X.; Zhang, S.; et al. A reconfigurable active Huygens’ metalens. Adv. Mater. 2017, 29, 1606422. [Google Scholar] [CrossRef]
- Wang, Z.; Liu, J.; Ding, X.; Zhao, W.; Zhang, K.; Li, H.; Ratni, B.; Burokur, S.N.; Wu, Q. Three-dimensional microwave holography based on broadband Huygens’ metasurface. Phys. Rev. Appl. 2020, 13, 014033. [Google Scholar] [CrossRef]
- Chong, K.E.; Wang, L.; Staude, I.; James, A.R.; Dominguez, J.; Liu, S.; Subramania, G.S.; Decker, M.; Neshev, D.N.; Brener, I.; et al. Efficient polarization-insensitive complex wavefront control using Huygens’ metasurfaces based on dielectric resonant meta-atoms. ACS Photonics 2016, 3, 514–519. [Google Scholar] [CrossRef]
- Wang, Z.B.; Wang, Z.B.; Feng, Y.J.; Chen, Z.N. An ultrathin microwave Huygens’ metasurface lens. In Proceedings of the 2015 IEEE 4th Asia-Pacific Conference on Antennas and Propagation (APCAP), Bali, Indonesia, 30 June–3 July 2015; pp. 227–228. [Google Scholar]
- Chen, M.; Epstein, A.; Eleftheriades, G.V. Design and experimental verification of a passive Huygens’ metasurface lens for gain enhancement of frequency-scanning slotted-waveguide antennas. IEEE Trans. Antennas Propag. 2019, 67, 4678–4692. [Google Scholar] [CrossRef]
- Xue, C.; Lou, Q.; Chen, Z.N. Broadband double-layered Huygens’ metasurface lens antenna for 5G millimeter-wave systems. IEEE Trans. Antennas Propag. 2020, 68, 1468–1476. [Google Scholar] [CrossRef]
- Reis, J.R.; Vala, M.; Caldeirinha, R.F.S. Review Paper on Transmitarray Antennas. IEEE Access 2019, 7, 94171–94188. [Google Scholar] [CrossRef]
- Abdelrahman, A.H.; Nayeri, P.; Elsherbeni, A.Z.; Yang, F. Band-width improvement methods of transmitarray antennas. IEEE Trans. Antennas Propag. 2015, 63, 2946–2954. [Google Scholar] [CrossRef]
- Hsu, C.-Y.; Hwang, L.-T.; Horng, T.-S.; Wang, S.-M.; Chang, F.-S.; Dorny, C.N. Transmitarray design with enhanced aperture efficiency using small frequency selective surface cells and discrete jones matrix analysis. IEEE Trans. Antennas Propag. 2018, 66, 3983–3994. [Google Scholar] [CrossRef]
- Reis, J.R.; Copner, N.; Hammoudeh, A.; Al-Daher, Z.M.-E.; Caldeirinha, R.F.S.; Fernandes, T.R.; Gomes, R. FSS-inspired transmitarray for two-dimensional antenna beamsteering. IEEE Trans. Antennas Propag. 2016, 64, 2197–2206. [Google Scholar] [CrossRef]
- Xue, C.; Sun, J.; Niu, L.; Lou, Q. Ultrathin dual-polarized Huygens’ metasurface: Design and application. Annalen Physik 2020, 532, 2000151. [Google Scholar] [CrossRef]
- Xiong, Y.; Xue, C.; Guo, Q.; Li, T.; Gao, X. A shared-aperture transmissive/reflective bi-functional metasurface for both transmitarray and reflectarray. AEU-Int. J. Electron. Commun. 2023, 164, 154631. [Google Scholar] [CrossRef]
- Xue, C.; Sun, J.; Gao, X.; Chen, F.; Pang, Z.; Lou, Q.; Chen, Z.N.; Ultrathin, A. Low-Profile and High-Efficiency Metalens Antenna Based on Chain Huygens’ Metasurface. IEEE Trans. Antennas Propag. 2022, 70, 11442–11453. [Google Scholar] [CrossRef]
- An, W.; Xu, S.; Yang, F.; Li, M. A Double-Layer Transmitarray Antenna Using Malta Crosses With Vias. IEEE Trans. Antennas Propag. 2016, 64, 1120–1125. [Google Scholar] [CrossRef]












| l0 (mm) | la (mm) | lc (mm) | w1 (mm) | Transmission Amplitude (dB) | Phase Shift (Degree) |
|---|---|---|---|---|---|
| 1.6 | 1.1 | 0.5 | 1.15 | −1.66 | −86 |
| 3 | 1.52 | 1.52 | 1.32 | −1.68 | −96 |
| 3.6 | 1.82 | 1.7 | 1.3 | −1.56 | −106 |
| 4 | 1.92 | 1.76 | 1.25 | −0.99 | −127 |
| 4.2 | 2 | 1.8 | 1.3 | −0.75 | −138 |
| 4.25 | 2.05 | 1.82 | 1.2 | −0.88 | −140 |
| 4.35 | 2.1 | 1.85 | 1.2 | −0.83 | −150 |
| 4.46 | 2.12 | 1.85 | 1.2 | −1.2 | −163 |
| 4.45 | 2.19 | 1.89 | 1.2 | −0.7 | −176 |
| 4.45 | 2.25 | 1.89 | 1.2 | −0.53 | −193 |
| 4.45 | 2.3 | 1.89 | 1.2 | −1 | −208 |
| 4.55 | 2.33 | 1.97 | 1.2 | −1.1 | −228 |
| 4.6 | 2.35 | 1.95 | 1.24 | −1.35 | −248 |
| 4.6 | 2.4 | 2 | 1.2 | −1.14 | −256 |
| 4.6 | 2.45 | 2 | 1.2 | −1.6 | −271 |
| 4.6 | 2.5 | 2.05 | 1.15 | −1.2 | −282 |
| 4.6 | 2.6 | 2.1 | 1.1 | −1.08 | −305 |
| 4.6 | 2.68 | 2.15 | 1.08 | −1.05 | −319 |
| 4.6 | 2.78 | 2.18 | 1.03 | −1.18 | −332 |
| 4.6 | 2.87 | 2.25 | 1 | −1.19 | −347 |
| 4.6 | 3.5 | 2 | 0.2 | −1.63 | −371 |
| 4.6 | 4.1 | 2.08 | 0.2 | −1.6 | −399 |
| 4.6 | 4.12 | 2.12 | 0.2 | −1.72 | −403 |
| Ref | Layer Number and Style | Frequency (GHz) | F/D Ratio | Max. Gain (dBi) | Bandwidth (%) | Aperture Efficiency (%) |
|---|---|---|---|---|---|---|
| [28] | 4-FSS | 13.5 | 0.95 | 30.22 | 9.8 * | 50.0 |
| [29] | 4-FSS | 11.7 | 0.81 | 33.8 | 12.6 * | 51.2 |
| [34] | 2-FSS with vias | 20.0 | 1.24 | 33.0 | 5.9 * | 40.0 |
| [31] | 2-Huygens | 28.0 | 0.95 | 31.6 | 14.1 ** | 50.0 |
| This work | 2-Huygens | 28.0 | 0.95 | 31.5 | 12.86 ** | 42.7 |
Disclaimer/Publisher’s Note: The statements, opinions and data contained in all publications are solely those of the individual author(s) and contributor(s) and not of MDPI and/or the editor(s). MDPI and/or the editor(s) disclaim responsibility for any injury to people or property resulting from any ideas, methods, instructions or products referred to in the content. |
© 2023 by the authors. Licensee MDPI, Basel, Switzerland. This article is an open access article distributed under the terms and conditions of the Creative Commons Attribution (CC BY) license (https://creativecommons.org/licenses/by/4.0/).
Share and Cite
Cao, S.; Zhou, J.; Li, R.; Xue, C. A Double-Layer Dual-Polarized Huygens Metasurface and Its Meta-Lens Antenna Applications. Micromachines 2023, 14, 1139. https://doi.org/10.3390/mi14061139
Cao S, Zhou J, Li R, Xue C. A Double-Layer Dual-Polarized Huygens Metasurface and Its Meta-Lens Antenna Applications. Micromachines. 2023; 14(6):1139. https://doi.org/10.3390/mi14061139
Chicago/Turabian StyleCao, Shuo, Jianhe Zhou, Ruxue Li, and Chunhua Xue. 2023. "A Double-Layer Dual-Polarized Huygens Metasurface and Its Meta-Lens Antenna Applications" Micromachines 14, no. 6: 1139. https://doi.org/10.3390/mi14061139
APA StyleCao, S., Zhou, J., Li, R., & Xue, C. (2023). A Double-Layer Dual-Polarized Huygens Metasurface and Its Meta-Lens Antenna Applications. Micromachines, 14(6), 1139. https://doi.org/10.3390/mi14061139

