Structure Optimization of Planar Nanoscale Vacuum Channel Transistor
Abstract
:1. Introduction
2. Materials and Methods
2.1. Simulation
2.2. Fabrication of NVCT
2.3. Characterization
3. Results and Discussion
3.1. Optimization of Emitter Morphology
3.2. Device Performance Measurement
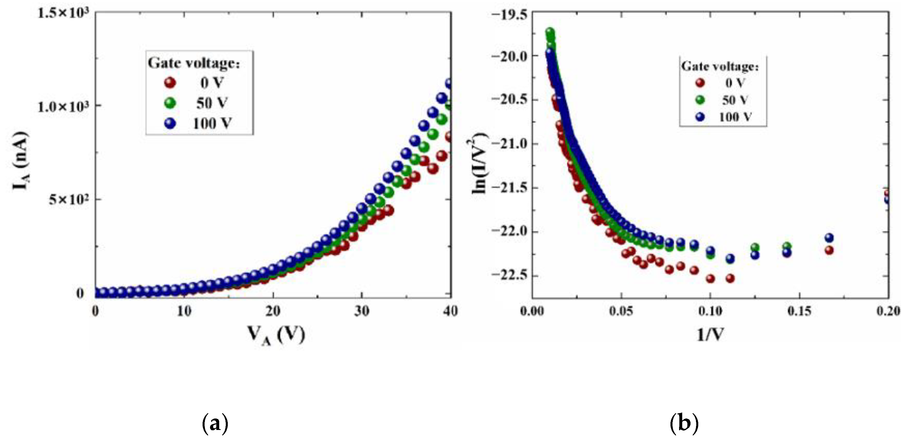
3.3. Optimization of Back-Gate NVCT
3.4. Optimization of Side-Gate NVCT
4. Conclusions
Author Contributions
Funding
Data Availability Statement
Acknowledgments
Conflicts of Interest
References
- Stoner, B.R.; Glass, J.T. Nanoelectronics Nothing is like a vacuum. Nat. Nanotechnol. 2012, 7, 485–487. [Google Scholar] [CrossRef] [PubMed]
- Han, J.W.; Moon, D.I.; Meyyappan, M. Nanoscale Vacuum Channel Transistor. Nano Lett. 2017, 17, 2146–2151. [Google Scholar] [CrossRef] [PubMed]
- Ravariu, C. Vacuum Nano-Triode in Nothing-On-Insulator Configuration Working in Terahertz Domain. IEEE J. Electron Devices Soc. 2018, 6, 1115–1123. [Google Scholar] [CrossRef]
- Wu, G.; Wei, X.; Zhang, Z.; Chen, Q.; Peng, L. A Graphene-Based Vacuum Transistor with a High ON/OFF Current Ratio. Adv. Funct. Mater. 2015, 25, 5972–5978. [Google Scholar] [CrossRef]
- Xu, J.; Hu, H.; Yang, W.; Li, C.; Shi, Y.; Shi, Y.; Wang, Q.; Zhang, X. Nanoscale vacuum channel transistor with in-plane collection structure. Nanotechnology 2019, 31, 065202. [Google Scholar] [CrossRef]
- Han, J.W.; Oh, J.S.; Meyyappan, M. Vacuum nanoelectronics: Back to the future?—Gate insulated nanoscale vacuum channel transistor. Appl. Phys. Lett. 2012, 100, 213505. [Google Scholar] [CrossRef] [Green Version]
- Srisonphan, S.; Jung, Y.S.; Kim, H.K. Metal-oxide-semiconductor field-effect transistor with a vacuum channel. Nat. Nanotechnol. 2012, 7, 504–508. [Google Scholar] [CrossRef] [PubMed]
- DriskillSmith, A.A.G.; Hasko, D.G.; Ahmed, H. Nanoscale field emission structures for ultra-low voltage operation at atmospheric pressure. Appl. Phys. Lett. 1997, 71, 3159–3161. [Google Scholar] [CrossRef]
- Han, J.W.; Seol, M.L.; Moon, D.I.; Hunter, G.; Meyyappan, M. Nanoscale vacuum channel transistors fabricated on silicon carbide wafers. Nat. Electron. 2019, 2, 405–411. [Google Scholar] [CrossRef]
- Liu, M.; Liang, S.; Shi, D.; Yang, S.; Lei, Y.; Li, T.; Wang, Y. An emission stable vertical air channel diode by a low-cost and IC compatible BOE etching process. Nanoscale 2021, 13, 5693–5699. [Google Scholar] [CrossRef]
- Guerrera, S.A.; Akinwande, A.I. He Channel NanoTransistors—Towards “Vacuum-less” Empty State Electronics. In Proceedings of the 2016 29th International Vacuum Nanoelectronics Conference, IEEE, Vancouver, BC, Canada, 11–15 July 2016.
- Pescini, L.; Tilke, A.; Blick, R.H.; Lorenz, H.; Kotthaus, J.P.; Eberhardt, W.; Kern, D. Nanoscale lateral field-emission triode operating at atmospheric pressure. Adv. Mater. 2001, 13, 1780–1783. [Google Scholar] [CrossRef]
- Han, J.W.; Moon, D.I.; Oh, J.S.; Choi, Y.K.; Meyyappan, M. Vacuum gate dielectric gate-all-around nanowire for hot carrier injection and bias temperature instability free transistor. Appl. Phys. Lett. 2014, 104, 253506. [Google Scholar] [CrossRef] [Green Version]
- Kim, J.; Kim, J.; Oh, H.; Meyyappan, M.; Han, J.W.; Lee, J.S. Design guidelines for nanoscale vacuum field emission transistors. J. Vac. Sci. Technol. B 2016, 34, 6. [Google Scholar] [CrossRef]
- Liu, M.; Fu, W.; Yang, Y.; Li, T.; Wang, Y. Excellent field emission properties of VO2(A) nanogap emitters in air. Appl. Phys. Lett. 2018, 112, 093104. [Google Scholar] [CrossRef]
- Wang, X.; Xue, T.; Shen, Z.; Long, M.; Wu, S. Analysis of the electron emission characteristics and working mechanism of a planar bottom gate vacuum field emission triode with a nanoscale channel. Nanoscale 2021, 13, 14363–14370. [Google Scholar] [CrossRef]
- Nirantar, S.; Ahmed, T.; Ren, G.; Gutruf, P.; Xu, C.; Bhaskaran, M.; Walia, S.; Sriram, S. Metal-Air Transistors: Semiconductor-Free Field-Emission Air-Channel Nanoelectronics. Nano Lett. 2018, 18, 7478–7484. [Google Scholar] [CrossRef]
- Huu Duy, N.; Kang, J.S.; Li, M.; Hu, Y. High-performance field emission based on nanostructured tin selenide for nanoscale vacuum transistors. Nanoscale 2019, 11, 3129–3137. [Google Scholar] [CrossRef]
- Srisonphan, S. Field Effect-Controlled Space-Charge Limited Emission Triode with Nanogap Channels. IEEE Electron Device Lett. 2021, 42, 1540–1543. [Google Scholar] [CrossRef]
- Xu, J.; Wang, Q.L.; Tao, Z.; Zhai, Y.S.; Chen, G.D.A.; Qi, Z.Y.; Zhang, X.B. High-Quality and Stable Electron Emission Device with Sub-30-nm Aligned Nanogap Arrays. IEEE Trans. Electron Devices 2017, 64, 2364–2368. [Google Scholar] [CrossRef]
- Han, J.W.; Oh, J.S.; Meyyappan, M. Cofabrication of Vacuum Field Emission Transistor (VFET) and MOSFET. IEEE Trans. Nanotechnol. 2014, 13, 464–468. [Google Scholar] [CrossRef]
- Han, J.-W.; Seol, M.-L.; Kim, J.; Meyyappan, M. Nanoscale Complementary Vacuum Field Emission Transistor. ACS Appl. Nano Mater. 2020, 3, 11481–11488. [Google Scholar] [CrossRef]
- Wang, X.; Zheng, C.F.; Xue, T.; Shen, Z.H.; Long, M.G.; Wu, S.L. Nanoscale Vacuum Field Emission Triode with a Double Gate Structure. IEEE Electron Device Lett. 2022, 43, 292–295. [Google Scholar] [CrossRef]
- Lenzlinger, M.; Snow, E.H. Fowler-Nordheim tunneling into thermally grown SiO2. J. Appl. Phys. 1969, 40, 278. [Google Scholar] [CrossRef]
- Ellis, R.K. Fowler-Nordheim Emission from Nonplanar Surfaces. Electron Device Lett. 1982, 3, 330–332. [Google Scholar] [CrossRef]
- Spindt, C.A.; Holland, C.E.; Rosengreen, A.; Brodie, I. Field-Emitter Arrays for Vacuum Microelectronics. IEEE Trans. Electron Devices 1991, 38, 2355–2363. [Google Scholar] [CrossRef] [Green Version]
- Xu, J.; Wang, Q.; Tao, Z.; Qi, Z.; Zhai, Y.; Wu, S.; Zhang, X.; Lei, W. Field emission of wet transferred suspended graphene fabricated on interdigitated electrodes. ACS Appl. Mater. Interfaces 2016, 8, 3295–3300. [Google Scholar] [CrossRef]










Disclaimer/Publisher’s Note: The statements, opinions and data contained in all publications are solely those of the individual author(s) and contributor(s) and not of MDPI and/or the editor(s). MDPI and/or the editor(s) disclaim responsibility for any injury to people or property resulting from any ideas, methods, instructions or products referred to in the content. |
© 2023 by the authors. Licensee MDPI, Basel, Switzerland. This article is an open access article distributed under the terms and conditions of the Creative Commons Attribution (CC BY) license (https://creativecommons.org/licenses/by/4.0/).
Share and Cite
Xu, J.; Lin, C.; Li, Y.; Zhao, X.; Shi, Y.; Zhang, X. Structure Optimization of Planar Nanoscale Vacuum Channel Transistor. Micromachines 2023, 14, 488. https://doi.org/10.3390/mi14020488
Xu J, Lin C, Li Y, Zhao X, Shi Y, Zhang X. Structure Optimization of Planar Nanoscale Vacuum Channel Transistor. Micromachines. 2023; 14(2):488. https://doi.org/10.3390/mi14020488
Chicago/Turabian StyleXu, Ji, Congyuan Lin, Yu Li, Xueliang Zhao, Yongjiao Shi, and Xiaobing Zhang. 2023. "Structure Optimization of Planar Nanoscale Vacuum Channel Transistor" Micromachines 14, no. 2: 488. https://doi.org/10.3390/mi14020488
APA StyleXu, J., Lin, C., Li, Y., Zhao, X., Shi, Y., & Zhang, X. (2023). Structure Optimization of Planar Nanoscale Vacuum Channel Transistor. Micromachines, 14(2), 488. https://doi.org/10.3390/mi14020488
