Vertical Nanoscale Vacuum Channel Triodes Based on the Material System of Vacuum Electronics
Abstract
1. Introduction
2. Materials and Methods
2.1. Materials
2.2. Structure
2.3. Fabrication
2.4. Characterization
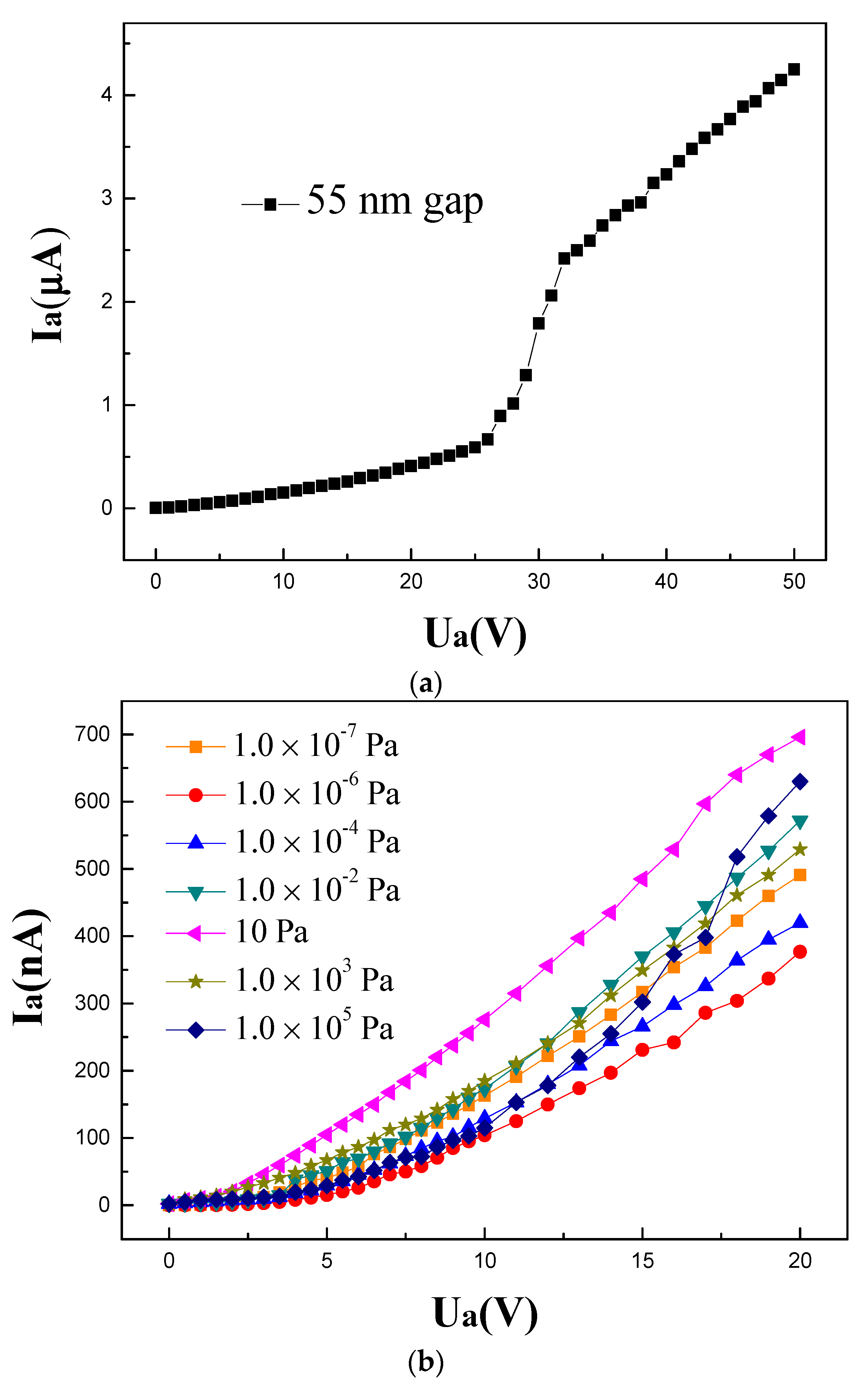
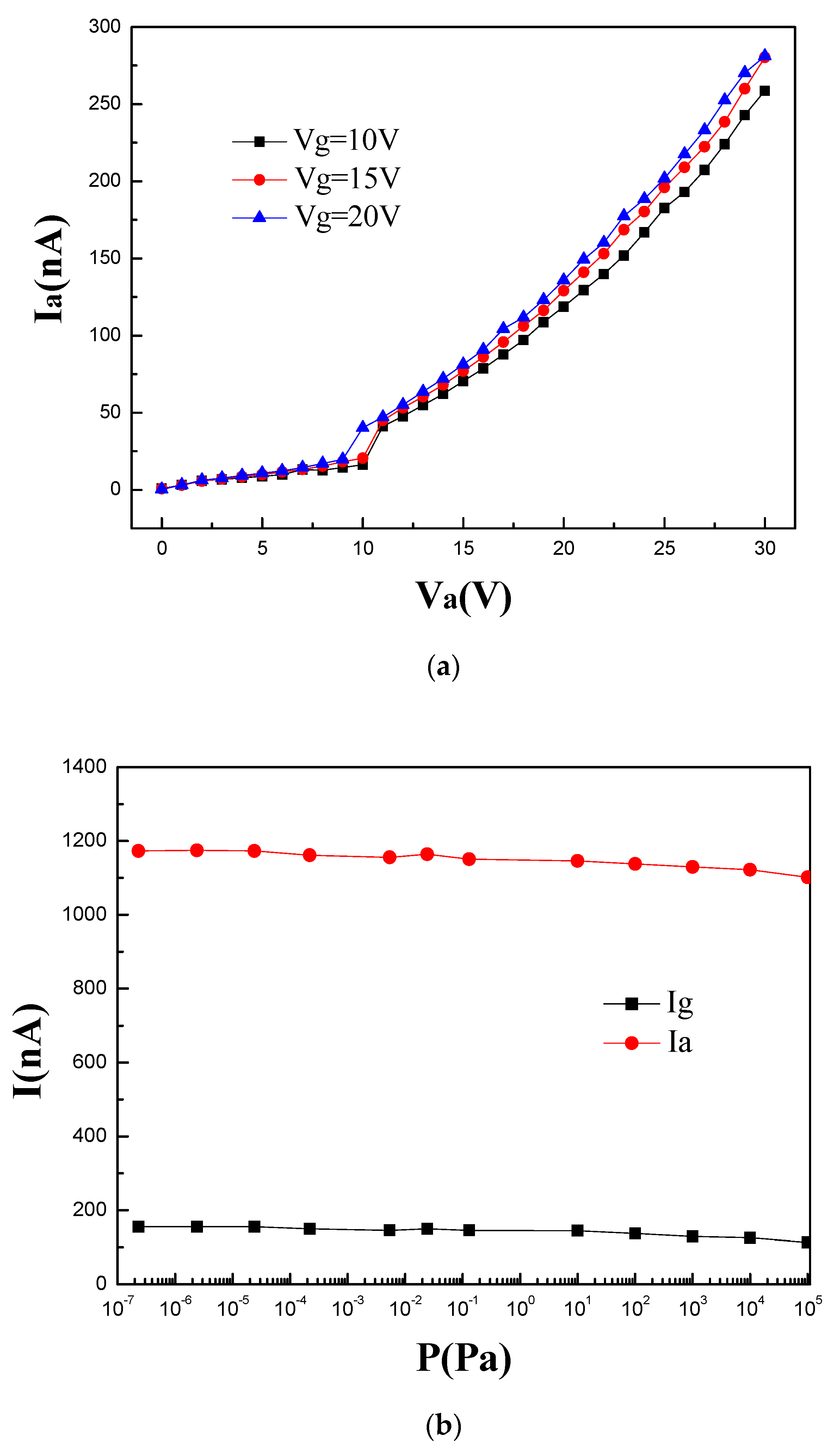
3. Results
4. Conclusions
Author Contributions
Funding
Data Availability Statement
Acknowledgments
Conflicts of Interest
References
- Spindt, C.A. A thin-film field-emission cathode. J. Appl. Phys. 1968, 39, 3504–3505. [Google Scholar] [CrossRef]
- Spindt, C.A.; Brodie, I.; Humphrey, L. Physical properties of thin-film field emission cathodes with molybdenum cones. J. Appl. Phys. 1976, 47, 5248–5263. [Google Scholar] [CrossRef]
- Whaley, D.R.; Duggal, R.; Armstrong, C.M.; Bellew, C.L.; Holland, C.E.; Spindt, C.A. 100 W operation of a cold cathode TWT. Trans. Electron. Devices 2009, 56, 896–905. [Google Scholar] [CrossRef]
- Pirio, G.; Legagneux, P.; Pribat, D.; Teo, K.B.K.; Chhowalla, M.; Amaratunga, G.A.J.; Milne, W.I. Fabrication and electrical characteristics of carbon nanotube field emission microcathodes with an intergrated gate electrode. Nanotechnology 2002, 13, 1. [Google Scholar] [CrossRef]
- Shao, W.; Ding, M.Q.; Chen, C.; Li, X.; Bai, G.; Feng, J.J. Micro-gated-field emission arrays with single carbon nanotubes grown on Mo tips. Appl. Surf. Sci. 2007, 252, 7559–7562. [Google Scholar] [CrossRef]
- Iemmo, L.; Bartolomeo, A.D.; Giubileo, F.; Luongo, G.; Passacantando, M.; Niu, G.; Hatami, F.; Skibitzki, O.; Schroeder, T. Graphene enhanced field emission from InP nanocrystals. Nanotechnology 2017, 28, 495705. [Google Scholar] [CrossRef]
- Schwierz, F. Graphene transistors: Status, prospects and problems. Proc. IEEE 2013, 101, 1567–1584. [Google Scholar] [CrossRef]
- Han, J.W.; Oh, J.S.; Meyyappan, M. Vacuum nanoelectronics: Back to the future?—Gate insulated nanoscale vacuum channel transistor. Appl. Phys. Lett. 2012, 100, 213505. [Google Scholar] [CrossRef]
- Srisonphan, S.; Jung, Y.S.; Kim, H.K. Metal-oxide-semiconductor field-effect transistor with a vacuum channel. Nat. Nanotech. 2012, 7, 504–508. [Google Scholar] [CrossRef]
- Park, I.J.; Jeon, S.G.; Shin, C. A New Slit-Type Vacuum-Channel Transistor. Trans. Electron. Devices 2014, 12, 4186–4191. [Google Scholar] [CrossRef]
- Han, J.W.; Moon, D.I.; Meyyappan, M. Nanoscale Vacuum Channel Transistor. Nano. Lett. 2017, 17, 2146–2151. [Google Scholar] [CrossRef] [PubMed]
- Stoner, B.R.; Glass, J.T. Nothing is like a vacuum. Nat. Nanotech. 2012, 7, 485–487. [Google Scholar] [CrossRef] [PubMed]
- Nirantar, S.; Ahmed, T.; Ren, G.; Gutruf, P.; Xu, C.; Bhaskaran, M.; Walia, S.; Sriram, S. Metal-Air Transistors: Semiconductor-free field-emission air-channel nanoelectronics. Nano. Lett. 2018, 18, 7478–7484. [Google Scholar] [CrossRef] [PubMed]
- Jennings, S.G. The mean free path in air. J. Aerosol. Sci. 1988, 19, 159–166. [Google Scholar] [CrossRef]
- Han, J.W.; Meyyappan, M. The device made of nothing. IEEE Spectr. 2014, 51, 30–35. [Google Scholar] [CrossRef]
- Bartolomeo, A.D.; Giubileo, F.; Iemmo, L.; Romeo, F.; Russo, S.; Unal, S.; Passacantando, M.; Grossi, V.; Cucolo, A.M. Leakage and field emission in side-gate grapheme field effect transistors. Appl. Phys. Lett. 2016, 109, 023510. [Google Scholar] [CrossRef]
- Sapkota, K.R.; Leonard, F.; Talin, A.A.; Gunning, B.P.; Kazanowska, B.A.; Jones, K.S.; Wang, G.T. Ultralow voltage GaN vacuum nanodiodes in air. Nano. Lett. 2021, 21, 1928–1934. [Google Scholar] [CrossRef]
- Chang, W.T.; Hsu, H.J.; Pao, P.H. Vertical field emission air-channel diodes and transistors. Micromachines 2019, 10, 858. [Google Scholar] [CrossRef]
- Feng, J.J.; Li, X.H.; Hu, J.N.; Cai, J. General vacuum electronics. J. Electromagn. Eng. Sc. 2020, 20, 1–8. [Google Scholar] [CrossRef]
- Han, J.W.; Seol, M.L.; Meyyappan, M. A nanoscale vacuum field emission gated diode with an umbrella cathode. Nanoscale Adv. 2021, 3, 1725–1729. [Google Scholar] [CrossRef]
- Han, J.W.; Seol, M.L.; Moon, D.I.; Hunter, G.; Meyyappan, M. Nanoscale vacuum channel transistors fabricated on silicon carbide wafers. Nat. Electron. 2019, 2, 405–411. [Google Scholar] [CrossRef]
- Kim, H.K. Vacuum transistors for space travel. Nat. Electron. 2019, 2, 374–375. [Google Scholar] [CrossRef]






Disclaimer/Publisher’s Note: The statements, opinions and data contained in all publications are solely those of the individual author(s) and contributor(s) and not of MDPI and/or the editor(s). MDPI and/or the editor(s) disclaim responsibility for any injury to people or property resulting from any ideas, methods, instructions or products referred to in the content. |
© 2023 by the authors. Licensee MDPI, Basel, Switzerland. This article is an open access article distributed under the terms and conditions of the Creative Commons Attribution (CC BY) license (https://creativecommons.org/licenses/by/4.0/).
Share and Cite
Han, P.; Li, X.; Cai, J.; Feng, J. Vertical Nanoscale Vacuum Channel Triodes Based on the Material System of Vacuum Electronics. Micromachines 2023, 14, 346. https://doi.org/10.3390/mi14020346
Han P, Li X, Cai J, Feng J. Vertical Nanoscale Vacuum Channel Triodes Based on the Material System of Vacuum Electronics. Micromachines. 2023; 14(2):346. https://doi.org/10.3390/mi14020346
Chicago/Turabian StyleHan, Panyang, Xinghui Li, Jun Cai, and Jinjun Feng. 2023. "Vertical Nanoscale Vacuum Channel Triodes Based on the Material System of Vacuum Electronics" Micromachines 14, no. 2: 346. https://doi.org/10.3390/mi14020346
APA StyleHan, P., Li, X., Cai, J., & Feng, J. (2023). Vertical Nanoscale Vacuum Channel Triodes Based on the Material System of Vacuum Electronics. Micromachines, 14(2), 346. https://doi.org/10.3390/mi14020346

