An Electrochemical Electrode to Detect Theophylline Based on Copper Oxide Nanoparticles Composited with Graphene Oxide
Abstract
:1. Introduction
2. Experimental Setup
2.1. Reagents and Chemicals
2.2. Instrumentation
2.3. Preparation of the Working Sensor
2.4. Preparation of the Excipients Solution
2.5. Pharmaceutical Sample Preparation
2.6. Urine Sample Preparation
3. Results and Discussion
3.1. The Surface Area of the Electrode
3.2. Characterization of the Modifier
3.3. Electrochemical Behavior of THP
3.4. Effect of the Accumulation Time
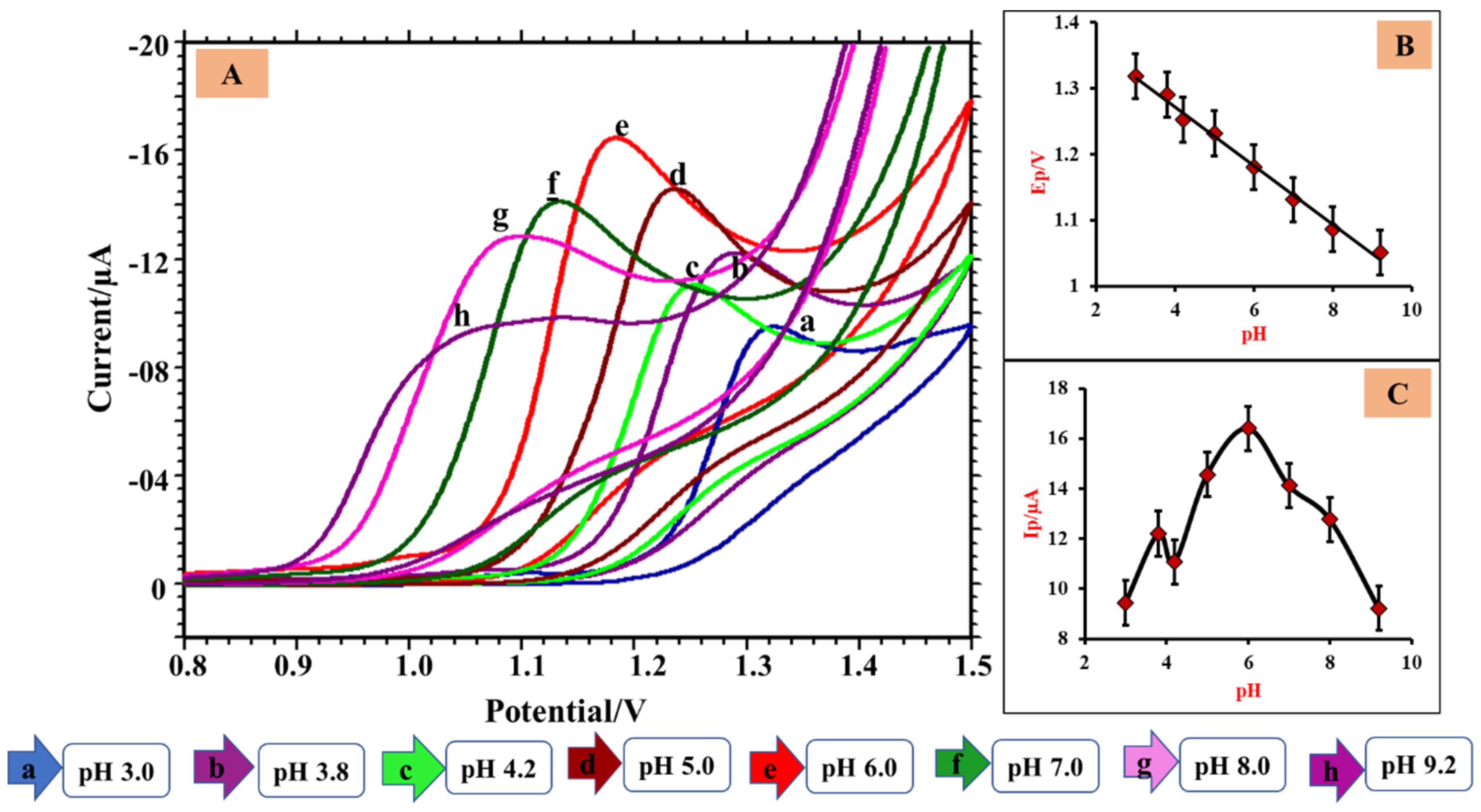
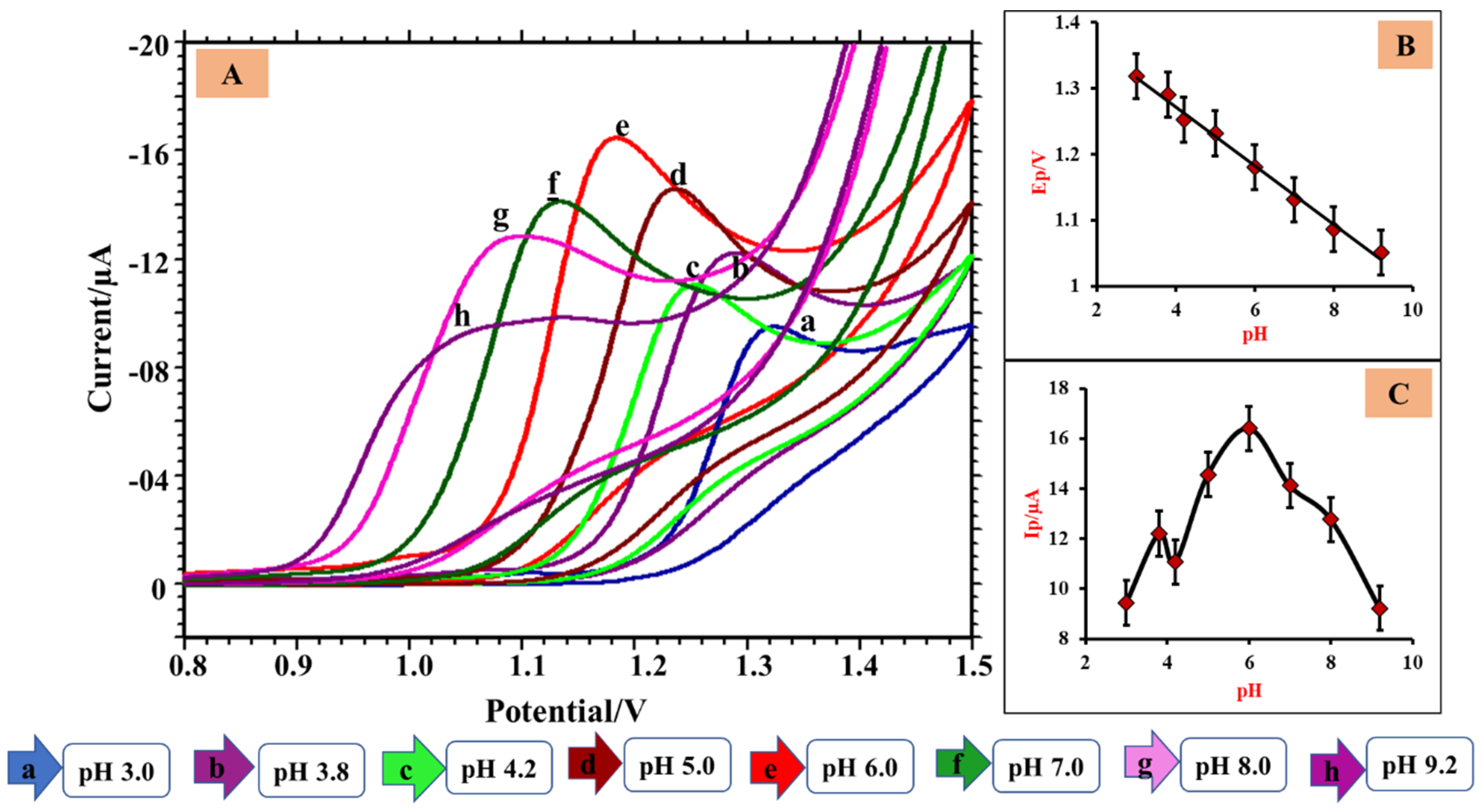
3.5. Variation in the PH
3.6. Influence of the Scan Rate
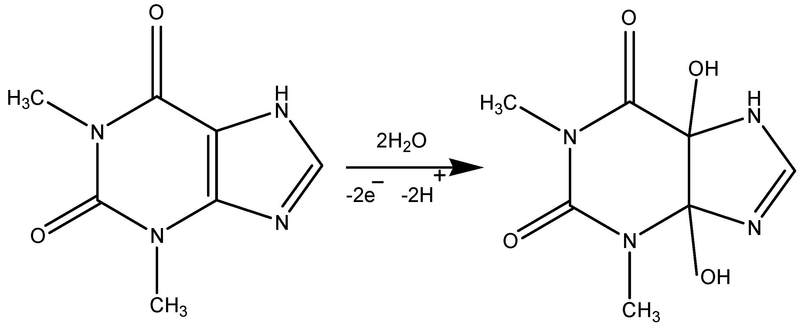
3.7. Plausible Reaction Mechanism of the THP
4. Analytical Applications
4.1. Influence of Concentration Variation
4.2. Impact of the Excipients
4.3. Impact of Metal Ions
4.4. Analysis of the Pharmaceutical Sample
4.5. Analysis of the Urine Sample
4.6. Stability of the Developed Electrode
5. Conclusions
Author Contributions
Funding
Institutional Review Board Statement
Data Availability Statement
Acknowledgments
Conflicts of Interest
References
- Chandrasekaran, V.P.; Parthasarathy, A.; Muruga, B.; Senthamil; Tharanesh. Theophylline toxicity: Successful management of a patient with distributive shock secondary to drug overdose. Am. J. Emerg. Med. 2020, 38, 2491.e1–2491.e2. [Google Scholar] [CrossRef] [PubMed]
- Ma, Y.J.; Jiang, D.Q.; Meng, J.X.; Li, M.X.; Zhao, H.H.; Wang, Y.; Wang, L.Q. Theophylline: A review of population pharmacokinetic analyses. J. Clin. Pharm. Ther. 2016, 41, 594–601. [Google Scholar] [CrossRef] [PubMed] [Green Version]
- Spina, D.; Page, C.P. Xanthines and phosphodiesterase inhibitors, Springer, Pharmacology and Therapeutics of Asthma and COPD. Handb. Exp. Pharmacol. 2016, 237, 63–91. [Google Scholar]
- Shih, T.; Lee, H.; Chen, S.; Kang, C.; Shen, R.; Su, Y. Rapid analysis of traditional Chinese medicine Pinellia ternata by microchip electrophoresis with electrochemical detection. J. Sep. Sci. 2018, 41, 740–746. [Google Scholar] [CrossRef]
- Acosta, L.; Flexer, V. A first assessment on the scale-up possibilities of different electrochemical techniques for lithium isotopic enrichment. Ind. Eng. Chem. Res. 2018, 57, 11399–11413. [Google Scholar] [CrossRef]
- Hoyos-Arbeláez, J.; Vázquez, M.; Contreras-Calderón, J. Electrochemical methods as a tool for determining the antioxidant capacity of food and beverages: A review. Food Chem. 2017, 221, 1371–1381. [Google Scholar] [CrossRef]
- Bansod, B.; Kumar, T.; Thakur, R.; Rana, S.; Singh, I. A review on various electrochemical techniques for heavy metal ions detection with different sensing platforms. Biosens. Bioelectron. 2017, 94, 443–455. [Google Scholar] [CrossRef] [PubMed]
- Prabhu, K.; Malode, S.; Shetti, N.; Kulkarni, R. Analysis of herbicide and its applications through a sensitive electrochemical technique based on MWCNTs/ZnO/CPE fabricated electrode. Chemosphere 2022, 287, 132086. [Google Scholar] [CrossRef]
- Farghaly, O.; Hameed, R.; Abu-Nawas, A. Analytical application using modern electrochemical techniques. Int. J. Electrochem. Sci. 2014, 9, 3287–3318. [Google Scholar]
- Ahmad Rather, J.; Al Abri, A.; Kannan, P. Electrochemical sensing of parabens in solubilized ionic liquid system at polyaniline decorated gold nanoparticles constructed interface. Microchem. J. 2020, 159, 105379. [Google Scholar] [CrossRef]
- Barathi, P.; Thirumalraj, B.; Chen, S.-M.; Angaiah, S. A simple and flexible enzymatic glucose bioelectrode using chitosan entrapped mesoporous carbon nanocomposite. Microchem. J. 2019, 147, 848–856. [Google Scholar] [CrossRef]
- Shetti, N.P.; Sampangi, L.V.; Hegde, R.N.; Nandibewoor, S.T. Electrochemical oxidation of loop diuretic furosemide at gold electrode and its analytical applications. Int. J. Electrochem. Sci. 2009, 4, 104–121. [Google Scholar]
- Shetti, N.P.; Malode, S.J.; Nayak, D.S.; Reddy, K.R. Novel heterostructured Ru-doped TiO2/CNTs hybrids with enhanced electrochemical sensing performance for Cetirizine. Mater. Res. Express. 2019, 6, 115085. [Google Scholar] [CrossRef]
- Kummari, S.; Kumar, V.S.; Satyanarayana, M.; Gobi, K.V. Direct electrochemical determination of methotrexate using functionalized carbon nanotube paste electrode as bioelectrode for in-vitro analysis of urine and dilute serum samples. Microchem. J. 2019, 148, 626–633. [Google Scholar] [CrossRef]
- Vernekar, P.; Shetti, N.P.; Shanbhag, M.; Malode, S.; Malladi, R.; Reddy, K. Novel layered structured bentonite clay-based electrodes for electrochemical electrode application. Microchem. J. 2020, 159, 105441. [Google Scholar] [CrossRef]
- Malode, S.; Shetti, N.P.; Reddy, K. Highly sensitive electrochemical assay for selective detection of Aminotriazole based on TiO2/poly (CTAB) modified electrode. Environ. Technol. Innov. 2021, 21, 101222. [Google Scholar]
- Prabhu, K.; Malode, S.; Veerapur, R.; Shetti, N. Clay-based carbon electrode for electro-oxidation of nimesulide. Mater. Chem. Phy. 2021, 272, 124992. [Google Scholar] [CrossRef]
- Sawkar, R.; Shanbhag, M.; Tuwar, S.; Shetti, N. Silica gel based electrochemical sensor for tinidazole. Sens. Int. 2022, 3, 100192. [Google Scholar] [CrossRef]
- Geim, A.; Novoselov, K. The rise of graphene. Nat. Mater. 2007, 6, 183–191. [Google Scholar] [CrossRef] [PubMed]
- Allen, M.J.; Tung, V.C.; Kaner, R.B. Honeycomb Carbon: A Review of Graphene. Chem. Rev. 2010, 110, 132–145. [Google Scholar] [CrossRef] [PubMed]
- Heerema, S.J.; Dekker, C. Graphene nanodevices for DNA sequencing. Nat. Nanotechnol. 2016, 11, 127–136. [Google Scholar] [CrossRef] [PubMed] [Green Version]
- Prasai, D.; Tuberquia, J.C.; Harl, R.R.; Jennings, G.K.; Rogers, B.R.; Bolotin, K.I. Graphene: Corrosion-Inhibiting Coating. ACS Nano. 2012, 6, 1102–1108. [Google Scholar] [CrossRef]
- Tao, Y.; Sui, Z.-Y.; Han, B.-H. Advanced porous graphene materials: From in-plane pore generation to energy storage applications. J. Mater. Chem. A 2020, 8, 6125–6143. [Google Scholar] [CrossRef]
- Chung, C.; Kim, Y.-K.; Shin, D.; Ryoo, S.-R.; Hong, B.H.; Min, D.-H. Biomedical applications of graphene and graphene oxide. Acc. Chem. Res. 2013, 46, 2211–2224. [Google Scholar] [CrossRef]
- Gooding, J. Nanostructuring electrodes with carbon nanotubes: A review on electrochemistry and applications for sensing. Electrochim. Acta. 2005, 50, 3049–3060. [Google Scholar] [CrossRef]
- Ruiz-Morales, J.; Canales-Vázquez, J.; Marrero-López, D.; Savvin, S.N.; Núnez, P.; Dos Santos-García, A.J.; Sánchez-Bautista, C.; Peña-Martínez, J. Fabrication of 3D carbon microstructures using glassy carbon microspheres and organic precursors. Carbon 2010, 48, 3964–3967. [Google Scholar] [CrossRef]
- Yang, M.; He, J.; Hu, X.; Yan, C.; Cheng, Z. CuO nanostructures as quartz crystal microbalance sensing layers for detection of trace hydrogen cyanide gas. Environ. Sci. Technol. 2011, 45, 6088–6094. [Google Scholar] [CrossRef]
- Feng, Y.; Zheng, X. Plasma-Enhanced Catalytic CuO Nanowires for CO Oxidation. Nano Lett. 2010, 10, 4762–4766. [Google Scholar] [CrossRef] [PubMed]
- Chaudhary, Y.; Agrawal, A.; Shrivastav, R.; Satsangi, V.; Dass, D. A study on the photoelectrochemical properties of copper oxide thin films. Int. J. Hydrogen Energy 2004, 29, 131–134. [Google Scholar] [CrossRef]
- Wang, G.; Huang, J.; Chen, S.; Gao, Y.; Cao, D. Preparation and super capacitance of CuO nanosheet arrays grown on nickel foam. J. Power Sources 2011, 196, 5756–5760. [Google Scholar] [CrossRef]
- Wang, X.; Xu, X.; Choi, S.U.S. Thermal Conductivity of Nanoparticle—Fluid Mixture. J. Thermophys. Heat Transf. 1999, 13, 474–480. [Google Scholar] [CrossRef]
- Hsieh, C.-T.; Chen, J.-M.; Lin, H.-H.; Shih, H.-C. Field emission from various CuO nanostructures. Appl. Phys. Lett. 2003, 83, 3383–3385. [Google Scholar] [CrossRef]
- Pendashteh, A.; Mousavi, M.F.; Rahmanifar, M.S. Fabrication of anchored copper oxide nanoparticles on graphene oxide nanosheets via an electrostatic coprecipitation and its application as supercapacitor. Electrochim. Acta 2013, 88, 347–357. [Google Scholar] [CrossRef]
- Peng, A.; Yan, H.; Luo, C.; Wang, G.; Ye, X.; Ding, H. Electrochemical determination of theophylline pharmacokinetics under the effect of roxithromycin in rats by the MWNTs/Au/poly-L-lysine modified electrode. Int. J. Electrochem. Sci. 2017, 12, 330–346. [Google Scholar] [CrossRef]
- Yin, H.; Meng, X.; Su, H.; Xu, M.; Ai, S. Electrochemical determination of theophylline in foodstuff, tea, and soft drinks based on urchin-like CdSe microparticles modified glassy carbon electrode. Food Chem. 2012, 134, 1225–1230. [Google Scholar] [CrossRef] [PubMed]
- Aswini, K.; Mohan, A.V.; Biju, V. Molecularly imprinted poly (4-amino-5-hydroxy-2, 7-naphthalene sulfonic acid) modified glassy carbon electrode as an electrochemical theophylline electrode. Mater. Sci. Eng. C 2016, 65, 116–125. [Google Scholar] [CrossRef] [PubMed]
- Mekassa, B.; Tessema, M.; Chandravanshi, B.S. Simultaneous determination of caffeine and theophylline using square wave voltammetry at poly (L-aspartic acid)/ functionalized multi-walled carbon nanotubes composite modified electrode. Sens. Bio-Sens. Res. 2017, 16, 46–54. [Google Scholar] [CrossRef]
- Ganjali, M.; Dourandish, Z.; Beitollahi, H.; Tajik, S.; Hajiaghababaei, L.; Larijani, B. Highly sensitive determination of theophylline based on graphene quantum dots modified electrode. Int. J. Electrochem. Sci. 2018, 13, 2448–2461. [Google Scholar] [CrossRef]
- Yang, Y.J.; Guo, L.; Zhang, W. The electropolymerization of CTAB on glassy carbon electrode for simultaneous determination of dopamine, uric acid, tryptophan and theophylline. J. Electroanal. Chem. 2016, 768, 102–109. [Google Scholar] [CrossRef]
- Zhuang, X.; Chen, D.; Wang, S.; Liu, H.; Chen, L. Manganese dioxide nanosheet-decorated ionic liquid-functionalized graphene for electrochemical theophylline biosensing. Sens. Actuators B Chem. 2017, 251, 185–191. [Google Scholar] [CrossRef]
- Chen, X.; Guo, Z.; Tang, Y.; Shen, Y.; Miao, P. A highly sensitive gold nanoparticle-based electrochemical aptaelectrode for theophylline detection. Anal. Chim. Acta 2018, 999, 54–59. [Google Scholar] [CrossRef]
- Zhu, Y.; Zhang, Z.; Pang, D. Electrochemical oxidation of theophylline at multi-wall carbon nanotube modified glassy carbon electrodes. J. Electroanal. Chem. 2005, 581, 303–309. [Google Scholar] [CrossRef]
- Wang, Y.; Ding, Y.; Li, L.; Hu, P. Nitrogen-doped carbon nanotubes decorated poly (L-Cysteine) as a novel, ultrasensitive electrochemical electrode for simultaneous determination of theophylline and caffeine. Talanta 2018, 178, 449–457. [Google Scholar] [CrossRef] [PubMed]
- Malode, S.J.; Keerthi, P.K.; Shetti, N.P.; Kulkarni, R. Electroanalysis of Carbendazim using MWCNT/Ca-ZnO Modified Electrode. Electroanalysis 2020, 32, 1590–1599. [Google Scholar] [CrossRef]
- Erady, V.; Mascarenhas, R.J.; Satpati, A.K.; Bhakta, A.K.; Mekhalif, Z.; Delhalle, J. Sensitive voltammetric determination of Morin in Psidium guajava leaf extract at Nickel (II) phthalocyanine modified carbon paste electrode. Surf. Interfaces 2020, 19, 100517. [Google Scholar] [CrossRef]
- Shetti, N.P.; Ilager, D.; Malode, S.J.; Monga, D.; Basu, S.; Reddy, K.R. Poly(eriochrome black T) modified electrode for electrosensing of methdilazine. Mater. Sci. Semicond. Process. 2020, 120, 105261. [Google Scholar] [CrossRef]
- Westbroek, P.; Priniotakis, G.; Kiekens, P. Analytical Electrochemistry in Textiles, 1st ed.; CRC Press: Boca Raton, FL, USA, 2005. [Google Scholar]
- Sawkar, R.R.; Patil, V.B.; Shanbhag, M.M.; Shetti, N.P.; Tuwar, S.M.; Aminabhavi, T.M. Detection of ketorolac drug using pencil graphite electrode. Biomed. Eng. Adv. 2021, 2, 100009. [Google Scholar] [CrossRef]
- Laviron, E. General expression of the linear potential sweep voltammogram in the case of diffusionless electrochemical systems. J. Electroanal. Chem. Interfacial Electrochem. 1979, 101, 19–28. [Google Scholar] [CrossRef]
- Raj, M.A.; John, S.A. Graphene layer modified glassy carbon electrode for the determination of norepinephrine and theophylline in pharmaceutical formulations. Anal. Methods 2014, 6, 2181–2188. [Google Scholar] [CrossRef]
- Patil, V.B.; Sawkar, R.R.; Ilager, D.; Shetti, N.P.; Tuwar, S.W.; Aminabhavi, T.M. Glucose-based electrode for the trace level detection of acetaminophen in pharmaceutical and biological samples. Electrochem. Sci. Adv. 2021, e202100117. [Google Scholar] [CrossRef]









| Sl. No. | Electrodes | Linearity Range | Detection Limit | Reference |
|---|---|---|---|---|
| 1 | MWNTs/Au/poly-L-lysine/SPE | 10–200 μM | 2.0 × 10−6 M | [34] |
| 2 | CdSe/GCE | 1.0–700 µM | 4.0 × 10−7 M | [35] |
| 3 | poly(H-A)/GCE | 0.4–17 μM | 3.2 × 10−7 M | [36] |
| 4 | P(L-Asp)/f-MWCNTs/GCE | 0.1–50 μM | 2.0 × 10−7 M | [37] |
| 5 | GQDs/SPE | 1.0–700.0 μM | 2.0 × 10−7 M | [38] |
| 6 | Poly(CTAB)/GCE | 0.5–1000 μM | 1.1 × 10−7 M | [39] |
| 7 | MnO2 nanosheets/IL-graphene/GCE | 1–220 μM | 1.0 × 10−7 M | [40] |
| 8 | AuNPs/aptaelectrode | 0.1–80 μM | 7.0 × 10−8 M | [41] |
| 9 | MWCNTs/GCE | 0.3–10 μM | 5.0 × 10−8 M | [42] |
| 10 | PLCY/N-CNT/GCE | 0.10–70.0 μM | 3.8 × 10−8 M | [43] |
| 11 | CuO-GO/CPE | 0.1–3.5 µM | 8.33 × 10−9 M | Present method |
| Metal Ions | Potential Observed (V) | Potential Difference (V) | Signal Change (%) |
|---|---|---|---|
| (NH4)2SO4 | 1.128 | 0.006 | 0.53 |
| CuSO4 | 1.130 | 0.008 | 0.71 |
| Cu(CH3COO)2 | 1.125 | 0.003 | 0.26 |
| KNO3 | 1.119 | −0.003 | −0.26 |
| NH4Cl | 1.127 | 0.005 | 0.44 |
| BaCl2 | 1.129 | 0.007 | 0.62 |
| KCl | 1.120 | −0.002 | −0.17 |
| NaCl | 1.128 | 0.006 | 0.53 |
| THP | Observations |
|---|---|
| Labeled claim (mg) | 300 |
| Obtained amount(mg) a | 294 |
| RSD% | 2.21 |
| Added (mg) a | 1.0 |
| Obtained (mg) | 0.98 |
| Recovery% | 98 |
| Urine Samples | Added (10−6 M) | Obtained (10−6 M) | Recovery (%) |
|---|---|---|---|
| 1 | 2.0 | 1.90 | 95.00 |
| 2 | 1.8 | 1.77 | 98.75 |
| 3 | 1.6 | 1.56 | 97.50 |
Publisher’s Note: MDPI stays neutral with regard to jurisdictional claims in published maps and institutional affiliations. |
© 2022 by the authors. Licensee MDPI, Basel, Switzerland. This article is an open access article distributed under the terms and conditions of the Creative Commons Attribution (CC BY) license (https://creativecommons.org/licenses/by/4.0/).
Share and Cite
Patil, V.B.; Malode, S.J.; Mangasuli, S.N.; Tuwar, S.M.; Mondal, K.; Shetti, N.P. An Electrochemical Electrode to Detect Theophylline Based on Copper Oxide Nanoparticles Composited with Graphene Oxide. Micromachines 2022, 13, 1166. https://doi.org/10.3390/mi13081166
Patil VB, Malode SJ, Mangasuli SN, Tuwar SM, Mondal K, Shetti NP. An Electrochemical Electrode to Detect Theophylline Based on Copper Oxide Nanoparticles Composited with Graphene Oxide. Micromachines. 2022; 13(8):1166. https://doi.org/10.3390/mi13081166
Chicago/Turabian StylePatil, Vinoda B., Shweta J. Malode, Sumitra N. Mangasuli, Suresh M. Tuwar, Kunal Mondal, and Nagaraj P. Shetti. 2022. "An Electrochemical Electrode to Detect Theophylline Based on Copper Oxide Nanoparticles Composited with Graphene Oxide" Micromachines 13, no. 8: 1166. https://doi.org/10.3390/mi13081166
APA StylePatil, V. B., Malode, S. J., Mangasuli, S. N., Tuwar, S. M., Mondal, K., & Shetti, N. P. (2022). An Electrochemical Electrode to Detect Theophylline Based on Copper Oxide Nanoparticles Composited with Graphene Oxide. Micromachines, 13(8), 1166. https://doi.org/10.3390/mi13081166

