Anisotropy Characterization of Metallic Lens Structures
Abstract
:1. Introduction
2. Free-Space Anisotropy Characterization
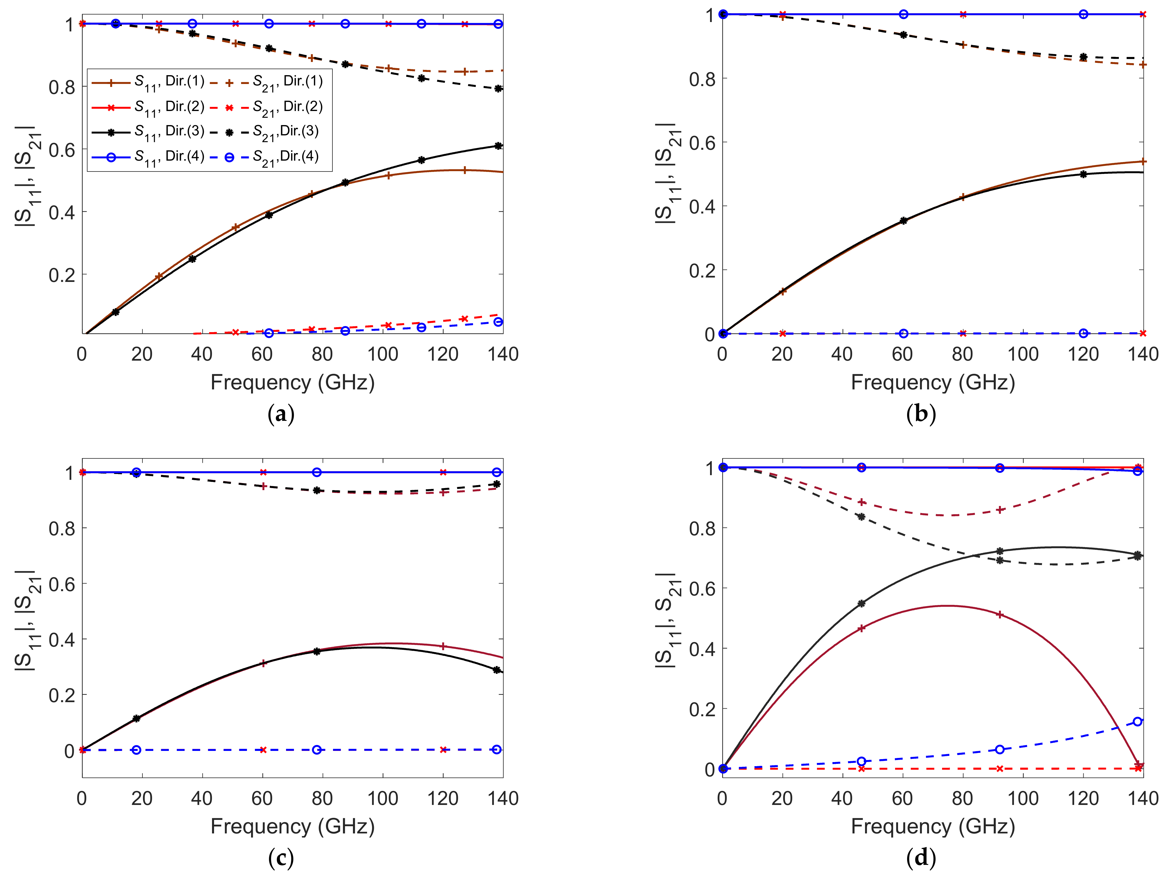
3. Result Comparisons
4. Anisotropy Effects on Lens Design
5. Flat Lens Example
6. Conclusions
Author Contributions
Funding
Institutional Review Board Statement
Informed Consent Statement
Data Availability Statement
Acknowledgments
Conflicts of Interest
References
- Papathanasopoulos, A.; Rahmat-Samii, Y. A novel deployable compact lens antenna based on gradient-index metamaterials. In Proceedings of the 2019 IEEE International Symposium on Antennas and Propagation and USNC-URSI Radio Science Meeting, Atlanta, GA, USA, 7–12 July 2019; pp. 625–626. [Google Scholar]
- Rahmat-Samii, Y.; Mosallaei, H. Electromagnetic band-gap structures: Classification, characterization, and applications. In Proceedings of the 2001 Eleventh International Conference on Antennas and Propagation, Manchester, UK, 17–20 April 2001. [Google Scholar]
- Cao, W.; Zhang, B.; Liu, A.; Yu, T.; Guo, D.; Pan, X. Multi-frequency and dual-mode patch antenna based on electromagnetic band-gap (EBG) structure. IEEE Trans. Antennas Propag. 2012, 60, 6007–6012. [Google Scholar] [CrossRef]
- Smith, D.R.; Kroll, N. Negative refractive index in left-handed materials. Phys. Rev. Lett. 2000, 85, 2933. [Google Scholar] [CrossRef] [PubMed] [Green Version]
- Fan, W.; Yan, B.; Wang, Z.; Wu, L. Three-dimensional all-dielectric metamaterial solid immersion lens for subwavelength imaging at visible frequencies. Sci. Adv. 2016, 2, e1600901. [Google Scholar] [CrossRef] [Green Version]
- Cheng, Q.; Ma, H.F.; Cui, T.J. Broadband planar Luneburg lens based on complementary metamaterials. Appl. Phys. Lett. 2009, 95, 181901. [Google Scholar] [CrossRef]
- Smith, D.R.; Mock, J.J.; Starr, A.; Schurig, D. Gradient index metamaterials. Phys. Rev. E 2005, 71, 036609. [Google Scholar] [CrossRef] [PubMed] [Green Version]
- Alex-Amor, A.; Ghasemifard, F.; Valerio, G.; Ebrahimpouri, M.; Padilla, P.; González, J.M.F.; Teruel, O.Q. Glide-symmetric metallic structures with elliptical holes for lens compression. IEEE Trans. Microw. Theory Tech. 2020, 68, 4236–4248. [Google Scholar] [CrossRef]
- Petek, M.; Zetterstrom, O.; Pucciy, E.; Fonsecaz, N.J.; Quevedo-Teruel, O. Fully-Metallic Rinehart-Luneburg Lens at 60 GHz. In Proceedings of the 2020 14th European Conference on Antennas and Propagation (EuCAP 2020), Copenhagen, Denmark, 15–20 March 2020; pp. 1–5. [Google Scholar]
- Mei, Z.L.; Bai, J.; Cui, T.J. Gradient index metamaterials realized by drilling hole arrays. J. Phys. D Appl. Phys. 2010, 43, 055404. [Google Scholar] [CrossRef]
- Valentine, J.; Li, J.; Zentgraf, T.; Bartal, G.; Zhang, X. An optical cloak made of dielectrics. Nat. Mater. 2009, 8, 568–571. [Google Scholar] [CrossRef] [Green Version]
- Ahmadi-Boroujeni, M. Parallel-plate waveguide integrated filters and lenses realized by metallic posts for terahertz applications. In Proceedings of the 2016 41st International Conference on Infrared, Millimeter, and Terahertz waves (IRMMW-THz), Copenhagen, Denmark, 25–30 September 2016; pp. 1–2. [Google Scholar]
- Quevedo-Teruel, O.; Miao, J.; Mattsson, M.; Algaba-Brazalez, A.; Johansson, M.; Manholm, L. Glide-symmetric fully metallic luneburg lens for 5G communications at K a-band. IEEE Antennas Wirel. Propag. Lett. 2018, 17, 1588–1592. [Google Scholar] [CrossRef]
- Liu, J.; Mendis, R.; Mittleman, D.M. A Maxwell’s fish eye lens for the terahertz region. Appl. Phys. Lett. 2013, 103, 031104. [Google Scholar] [CrossRef] [Green Version]
- Dockrey, J.; Lockyear, M.J.; Berry, S.; Horsley, S.; Sambles, J.R.; Hibbins, A.P. Thin metamaterial Luneburg lens for surface waves. Phys. Rev. B 2013, 87, 125137. [Google Scholar] [CrossRef] [Green Version]
- Sievenpiper, D.; Zhang, L.; Broas, R.F.; Alexopolous, N.G.; Yablonovitch, E. High-impedance electromagnetic surfaces with a forbidden frequency band. IEEE Trans. Microw. Theory Tech. 1999, 47, 2059–2074. [Google Scholar] [CrossRef] [Green Version]
- Fan, F.; Cai, M.; Zhang, J.; Yan, Z.; Wu, J. Wideband Low-Profile Luneburg Lens Based on a Glide-Symmetric Metasurface. IEEE Access 2020, 8, 85698–85705. [Google Scholar] [CrossRef]
- Ebrahimpouri, M.; Quevedo-Teruel, O. Ultrawideband anisotropic glide-symmetric metasurfaces. IEEE Antennas Wirel. Propag. Lett. 2019, 18, 1547–1551. [Google Scholar] [CrossRef]
- Mendis, R.; Mittleman, D.M. Comparison of the lowest-order transverse-electric (TE 1) and transverse-magnetic (TEM) modes of the parallel-plate waveguide for terahertz pulse applications. Opt. Express 2009, 17, 14839–14850. [Google Scholar] [CrossRef]
- Alex-Amor, A.; Ghasemifard, F.; Valerio, G.; Padilla, P.; González, J.M.F.; Teruel, O.Q. Elliptical Glide-Symmetric Holey Metasurfaces for Wideband Anisotropy. In 2020 14th European Conference on Antennas and Propagation (EuCAP), Copenhagen, Denmark, 17–20 March 2020; pp. 1–5. [Google Scholar]
- Zetterstrom, O.; Valerio, G.; Mesa, F.; Ghasemifard, F.; Norgren, M.; Quevedo-Teruel, O. Dispersion Analysis of Periodically Loaded Transmission Lines with Twist Symmetry Using the Mode-Matching Technique. Appl. Sci. 2020, 10, 5990. [Google Scholar] [CrossRef]
- Papathanasopoulos, A.; Rahmat-Samii, Y. A systematic approach for the design of metallic delay lenses. In Proceedings of the 2019 United States National Committee of URSI National Radio Science Meeting (USNC-URSI NRSM), New Delhi, India, 9–15 March 2019; pp. 1–2. [Google Scholar]
- Minin, I.V.; Minin, O.V. Terahertz artificial dielectric cuboid lens on substrate for super-resolution images. Opt. Quantum Electron. 2017, 49, 326. [Google Scholar] [CrossRef]
- Guo, S. The Eigen Theory of Electromagnetic Waves in Complex Media, Behaviour of Electromagnetic Waves in Different Media and Structures. In Behaviour of Electromagnetic Waves in Different Media and Structures; Akdali, A., Ed.; InTech Open: Rijeka, Croatia, 2011; p. 53. [Google Scholar]
- Park, Y.-J.; Herschlein, A.; Wiesbeck, W. A photonic bandgap (PBG) structure for guiding and suppressing surface waves in millimeter-wave antennas. IEEE Trans. Microw. Theory Tech. 2001, 49, 1854–1859. [Google Scholar] [CrossRef]
- Bantavis, P.; Gonzalez, C.G.; Sauleau, R.; Goussetis, G.; Tubau, S.; Legay, H. Broadband graded index Gutman lens with a wide field of view utilizing artificial dielectrics: A design methodology. Opt. Express 2020, 28, 14648–14661. [Google Scholar] [CrossRef]
- Mackay, T.G.; Lakhtakia, A. Electromagnetic Anisotropy and Bianisotropy: A Field Guide; World Scientific: Singapore, 2019. [Google Scholar]
- Elser, J.; Podolskiy, V.A.; Salakhutdinov, I.; Avrutsky, I. Nonlocal effects in effective-medium response of nanolayered metamaterials. Appl. Phys. Lett. 2007, 90, 191109. [Google Scholar] [CrossRef] [Green Version]
- Sun, L.; Yang, X.; Gao, J. Analysis of nonlocal effective permittivity and permeability in symmetric metal–dielectric multilayer metamaterials. J. Opt. 2016, 18, 065101. [Google Scholar] [CrossRef] [Green Version]
- Moccia, M.; Castaldi, G.; Galdi, V.; Alù, A.; Engheta, N. Dispersion engineering via nonlocal transformation optics. Optica 2016, 3, 179–188. [Google Scholar] [CrossRef]
- Smith, D.R.; Schultz, S.; Markoš, P.; Soukoulis, C. Determination of effective permittivity and permeability of metamaterials from reflection and transmission coefficients. Phys. Rev. B 2002, 65, 195104. [Google Scholar] [CrossRef] [Green Version]
- Chen, X.; Grzegorczyk, T.M.; Wu, B.-I.; Pacheco, J., Jr.; Kong, J.A. Robust method to retrieve the constitutive effective parameters of metamaterials. Phys. Rev. E 2004, 70, 016608. [Google Scholar] [CrossRef] [Green Version]
- Aladadi, Y.T.; Alkanhal, M.A. Extraction of metamaterial constitutive parameters based on data-driven discontinuity detection. Opt. Mater. Express 2019, 9, 3765–3780. [Google Scholar] [CrossRef]
- Chen, X.; Wu, B.-I.; Kong, J.A.; Grzegorczyk, T.M. Retrieval of the effective constitutive parameters of bianisotropic metamaterials. Phys. Rev. E 2005, 71, 046610. [Google Scholar] [CrossRef] [PubMed]
- Lu, H.; Liu, Z.; Liu, J.; Wu, G.; Liu, Y.; Lv, X. Fully Metallic Anisotropic Lens Crossover-in-Antenna Based on Parallel Plate Waveguide Loaded with Uniform Posts. IEEE Trans. Antennas Propag. 2020, 68, 5061–5070. [Google Scholar] [CrossRef]
- Hong, W.; Jiang, H.; Yu, Z.C.; Zhou, J.; Chen, P.; Yu, Z.; Hui, Z.; Yang, B.; Pang, X.; Mei, J.; et al. Multibeam antenna technologies for 5G wireless communications. IEEE Trans. Antennas Propag. 2017, 65, 6231–6249. [Google Scholar] [CrossRef]
- Dahlberg, O.; Valerio, G.; Quevedo-Teruel, O. Fully Metallic Flat Lens Based on Locally Twist-Symmetric Array of Complementary Split-Ring Resonators. Symmetry 2019, 11, 581. [Google Scholar] [CrossRef] [Green Version]
- Wang, Q.; Zhang, X.; Xu, Y.; Gu, J.; Tian, Z.; Yue, W.; Zhang, S.; Han, J.; Zhang, W. A broadband metasurface-based terahertz flat-lens array. Adv. Opt. Mater. 2015, 3, 779–785. [Google Scholar] [CrossRef]













Publisher’s Note: MDPI stays neutral with regard to jurisdictional claims in published maps and institutional affiliations. |
© 2021 by the authors. Licensee MDPI, Basel, Switzerland. This article is an open access article distributed under the terms and conditions of the Creative Commons Attribution (CC BY) license (https://creativecommons.org/licenses/by/4.0/).
Share and Cite
Aladadi, Y.T.; Alkanhal, M.A.S. Anisotropy Characterization of Metallic Lens Structures. Micromachines 2021, 12, 1114. https://doi.org/10.3390/mi12091114
Aladadi YT, Alkanhal MAS. Anisotropy Characterization of Metallic Lens Structures. Micromachines. 2021; 12(9):1114. https://doi.org/10.3390/mi12091114
Chicago/Turabian StyleAladadi, Yosef T., and Majeed A. S. Alkanhal. 2021. "Anisotropy Characterization of Metallic Lens Structures" Micromachines 12, no. 9: 1114. https://doi.org/10.3390/mi12091114
APA StyleAladadi, Y. T., & Alkanhal, M. A. S. (2021). Anisotropy Characterization of Metallic Lens Structures. Micromachines, 12(9), 1114. https://doi.org/10.3390/mi12091114

