Miniature Switchable Millimeter-Wave BiCMOS Low-Noise Amplifier at 120/140 GHz Using an HBT Switch
Abstract
:1. Introduction
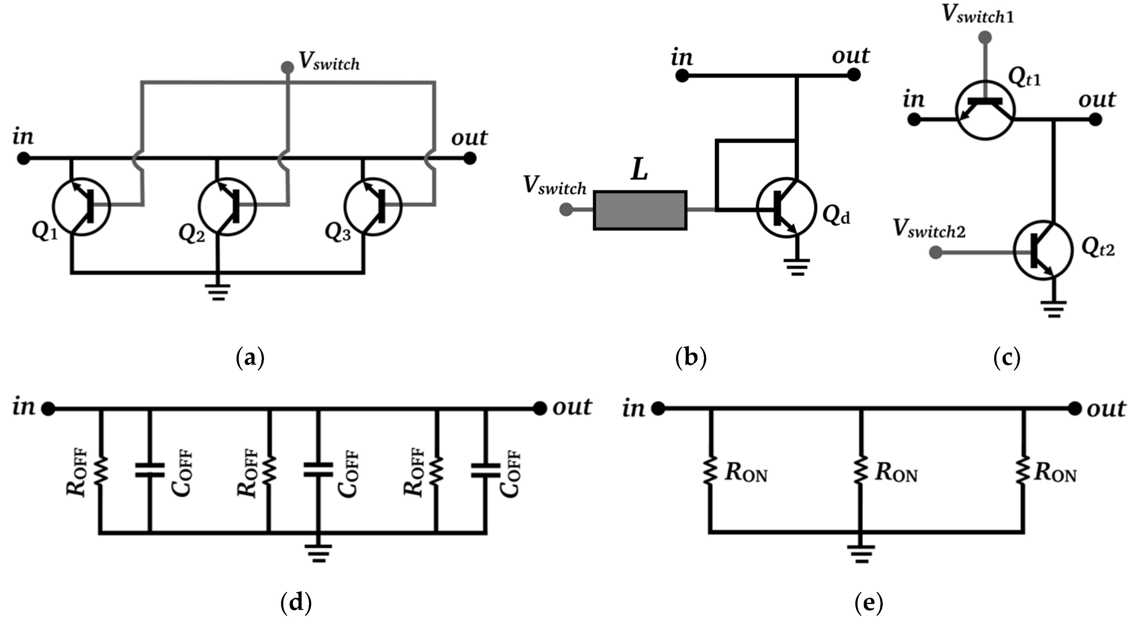
2. Design of the Frequency-Reconfigurable LNA
3. Results and Discussion
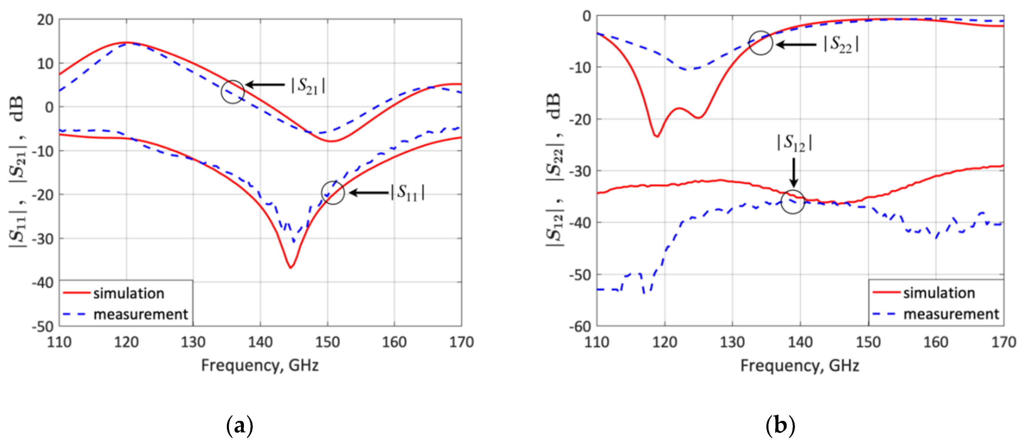
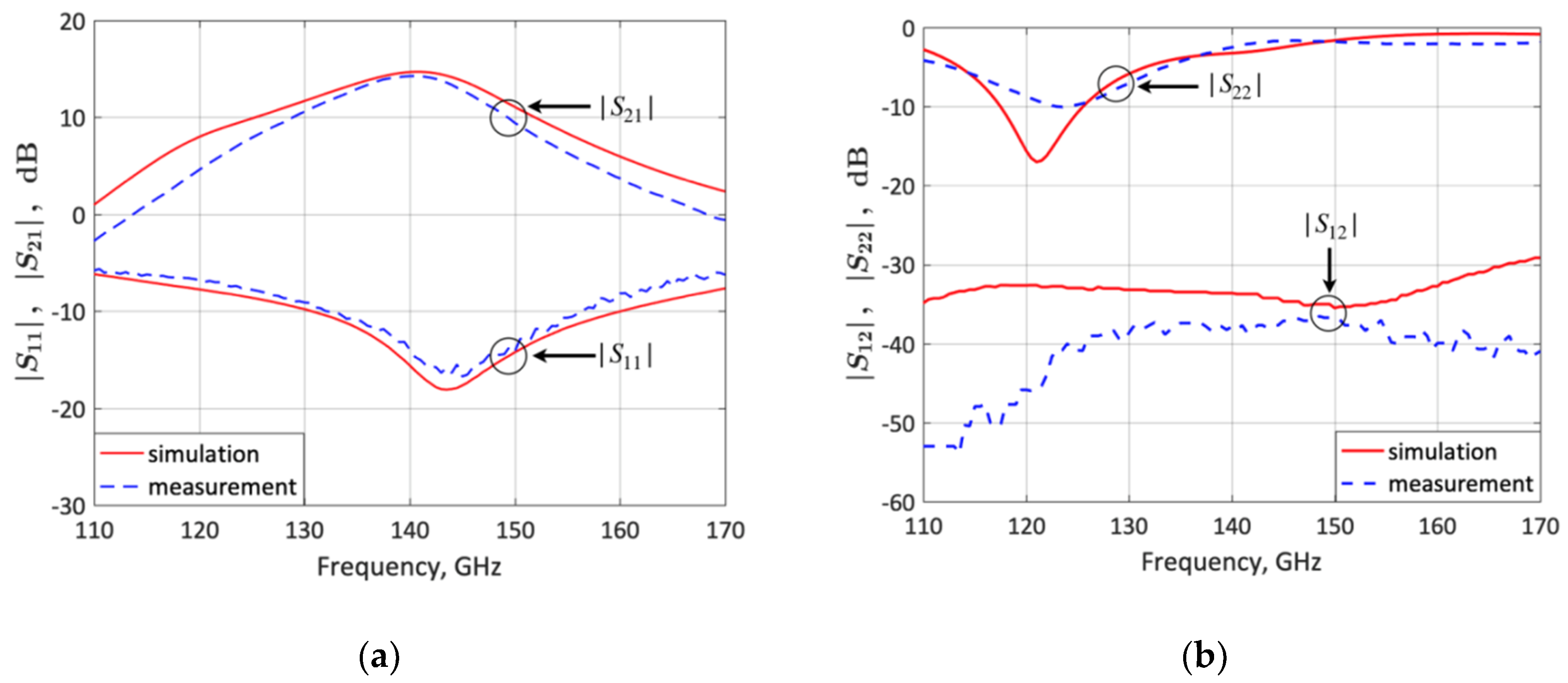
3.1. S-Parameter Simulation and Measurement
3.2. Noise-Figure (F) Simulation and Measurement
3.3. Stability (µ-Factor) Simulation and Measurement
3.4. Simulated 1-dB Gain Compression Point (P1dB)
3.5. Discussion of Results
4. Conclusions
Author Contributions
Funding
Acknowledgments
Conflicts of Interest
References
- Coen, C.T.; Ulusoy, A.Ç.; Song, P.; Ildefonso, A.; Kaynak, M.; Tillack, B.; Cressler, J.D. Design and On-Wafer Characterization of G-Band SiGe HBT Low-Noise Amplifiers. IEEE Trans. Microw. Theory Techn. 2016, 64, 3631–3642. [Google Scholar] [CrossRef]
- Valenta, V.; Schumacher, H.; Tolunay Wipf, S.; Wietstruck, M.; Göritz, A.; Kaynak, M.; Winkler, W. Single-chip Transmit-Receive Module with a Fully Integrated Differential RF-MEMS Antenna Switch and a High-Voltage Generator for F-Band Radars. In Proceedings of the 2015 IEEE Bipolar/BiCMOS Circuits and Technology Meeting (BCTM), Boston, MA, USA, 26–28 October 2015; pp. 40–43. [Google Scholar]
- ITU Radio Regulations. Available online: https://www.itu.int/pub/R-REG-RR (accessed on 17 July 2019).
- Millimetre Wave Transmission (mWT); Analysis of Spectrum, License Schemes and Network Scenarios in the D-band. Available online: http://www.etsi.org/standards-search (accessed on 17 July 2019).
- Fujimoto, R.; Motoyoshi, M.; Takano, K.; Fujishima, M. A 120 GHz/140 GHz Dual-Channel OOK Receiver Using 65 nm CMOS Technology. IEICE Trans. Fundam. Electron. Commun. Comput. Sci. 2013, E96-A, 486–493. [Google Scholar] [CrossRef]
- Leufker, J.D.; Fritsche, D.; Tretter, G.; Carta, C.; Ellinger, F. Dualband 180 GHz and 205 GHz Medium-Power High-Gain Amplifier on 130 nm BiCMOS. In Proceedings of the 2016 21st International Conference on Microwave, Radar and Wireless Communications (MIKON), Krakow, Poland, 9–11 May 2016. [Google Scholar]
- Kueppers, S.; Cetinkaya, H.; Pohl, N. A Compact 120 GHz SiGe:C based 2 × 8 FMCW MIMO Radar Sensor for Robot Navigation in Low Visibility Environments. In Proceedings of the 14th European Radar Conference (EuRAD), Nuremberg, Germany, 11–13 October 2017; pp. 122–125. [Google Scholar]
- Tolunay Wipf, S.; Göritz, A.; Wietstruck, M.; Wipf, C.; Tillack, B.; Kaynak, M. D–Band RF–MEMS SPDT Switch in a 0.13 μm SiGe BiCMOS Technology. IEEE Microw. Wireless Compon. Lett. 2016, 26, 1002–1004. [Google Scholar] [CrossRef]
- Heinemann, B.; Rücker, H.; Barth, R.; Bärwolf, F.; Drews, J.; Fischer, G.G.; Fox, A.; Fursenko, O.; Grabolla, T.; Herzel, F.; Katzer, J.; et al. SiGe HBT with fT/fmax of 505 GHz/720 GHz. In Proceedings of the 2016 International Elctron Device Meeting (IEDM), San Francisco, CA, USA, 3–7 December 2016; pp. 3.1.1–3.1.4. [Google Scholar]
- Ulusoy, A.Ç.; Song, P.; Khan, W.T.; Kaynak, M.; Tillack, B.; Papapolymerou, J.; Cressler, J.D. A SiGe D-Band Low-Noise Amplifier Utilizing Gain-Boosting Technique. IEEE Microw. Wireless Compon. Lett. 2015, 25, 61–63. [Google Scholar] [CrossRef]
- Hou, D.; Xiong, Y.-Z.; Goh, W.-L.; Hong, W.I.; Madihian, M. A D-Band Cascode Amplifier With 24.3 dB Gain and 7.7 dBm Output Power in 0.13 µm SiGe BiCMOS Technology. IEEE Microw. Wireless Compon. Lett. 2012, 22, 191–193. [Google Scholar] [CrossRef]
- Zhang, B.; Xiong, Y.-Z.; Wang, L.; Hu, S.; Li, L.-W. Gain-enhanced 132–160 GHz low-noise amplifier using 0.13 µm SiGe BiCMOS. Electron. Lett. 2012, 48, 257–259. [Google Scholar] [CrossRef]
- Yishay, R.B.; Shumaker, E.; Elad, D. A 122-150 GHz LNA with 30 dB gain and 6.2 dB noise figure in SiGe BiCMOS technology. In Proceedings of the IEEE 15th Topical Meeting on Silicon Monolithic Integrated Circuits in RF Systems (SiRF), San Diego, CA, USA, 26–28 January 2015; pp. 15–17. [Google Scholar]
- Turkmen, E.; Burak, A.; Guner, A.; Kalyoncu, I.; Kaynak, M.; Gurbuz, Y. A SiGe HBT D-Band LNA With Butterworth Response and Noise Reduction Technique. IEEE Microw. Wireless Compon. Lett. 2018, 28, 524–526. [Google Scholar] [CrossRef]
- Ulusoy, A.Ç.; Kaynak, M.; Purtova, T.; Tillack, B.; Schumacher, H. A 60 to 77 GHz Switchable LNA in an RF-MEMS Embedded BiCMOS Technology. IEEE Microw. Wireless Compon. Lett. 2012, 22, 430–432. [Google Scholar] [CrossRef]
- Ulusoy, A.Ç.; Kaynak, M.; Purtova, T.; Tillack, B.; Schumacher, H. 24 to 79 GHz frequency band reconfigurable LNA. Electron. Lett. 2012, 48, 1598–1600. [Google Scholar] [CrossRef]
- Heredia, J.; Ribó, M.; Pradell, L.; Tolunay Wipf, S.; Göritz, A.; Wietstruck, M.; Wipf, C.; Kaynak, M. A 125–143-GHz Frequency-Reconfigurable BiCMOS Compact LNA Using a Single RF-MEMS Switch. IEEE Microw. Wireless Compon. Lett. 2019, 29, 339–341. [Google Scholar] [CrossRef]
- Dafna, Y.; Cohen, E.; Socher, E. A wideband 95–140 GHz high efficiency PA in 28 nm CMOS. In Proceedings of the IEEE 28-th Convention of Electrical and Electronics Engineers in Israel (IEEEI), Eliat, Israel, 3–5 December 2014. [Google Scholar]
- Kim, D.-H.; Kim, D.; Rieh, J.S. A D-Band CMOS Amplifier With a New Dual-Frequency Interstage Matching Technique. IEEE Trans. Microw. Theory Tech. 2017, 65, 1580–1588. [Google Scholar] [CrossRef]
- Parveg, D.; Varonen, M.; Karaca, D.; Vahdati, A.; Kantanen, M.; Halonen, K.A.I. Design of a D-Band CMOS Amplifier Utilizing Coupled Slow-Wave Coplanar Waveguides. IEEE Trans. Microw. Theory Tech. 2018, 66, 1359–1373. [Google Scholar] [CrossRef]
- Schmalz, K.; Borngräber, J.; Mao, Y.; Rücker, H.; Weber, R. A 245 GHz LNA in SiGe Technology. IEEE Microw. Wireless Compon. Lett. 2012, 22, 533–535. [Google Scholar] [CrossRef]
- Tripathi, K.V. Asymmetric Coupled Transmission Lines in an Inhomogeneous Medium. IEEE Trans. Microw. Theory Tech. 1975, 23, 734–739. [Google Scholar] [CrossRef]
- Scanlan, J.O. Theory of Microwave Coupled-Line Networks. Proc. IEEE 1980, 68, 209–231. [Google Scholar] [CrossRef]
- Schmid, R.L.; Ulusoy, A.Ç.; Song, P.; Cressler, J.D. A 94 GHz, 1.4 dB Insertion Loss Single-Pole Double-Throw Switch Using Reverse-Saturated SiGe HBTs. IEEE Microw. Wirel. Compon. Lett. 2014, 24, 56–58. [Google Scholar] [CrossRef]
- Rücker, H.; Heinemann, B.; Fox, A. Half-Terahertz SiGe BiCMOS Technology. In Proceedings of the IEEE 12th Topical Meetings on Silicon Monolithic Integrated Circuits in RF Systems (SiRF), Santa Clara, CA, USA, 16–18 January 2012; pp. 133–136. [Google Scholar]
- Edwards, M.L.; Sinsky, J.H. A new criterion for linear 2-port stability using a single geometrically derived parameter. IEEE Trans. Microw. Theory Tech. 1992, 40, 2303–2311. [Google Scholar] [CrossRef]













| Technology (µm) | Frequency (GHz) | G (dB) | P1dB (dBm) | F (dB) | PDC (mW) | ACHIP / ACORE (mm2) | FoM | |
|---|---|---|---|---|---|---|---|---|
| [1] † | 0.13 | 158 | 24.1 | −25.9 | 8.2 | 28 | 0.342/0.18†† | 12.31/23.38 |
| [10] | 0.13 | 140 | 23.3 | −33** | 5.5 | 12 | 0.393/0.231†† | 8.92/15.17 |
| [11] | 0.13 | 130 | 24.3 | −17.3 | 6.8 | 84 | 0.301/0.192†† | 52.35/82.07 |
| [12] | 0.13 | 145 | 21 | 8.5 | 14.5 | 0.36/0.270†† | ||
| [13] | 0.09 | 140 | 30 | 6.2 | 45 | 0.525/0.115 | ||
| [14] | 0.13 | 144.5 | 32.6 | −37.6 | 5.1++ | 28 | 1/0.6 | 5.05/8.42 |
| [15] | 0.25 | 60 | 20* | −18** | 7* | 40 | 0.788/0.317†† | 12.53/31.2 |
| [15] | 0.25 | 77 | 22* | −18** | 8* | 40 | 0.788/0.317†† | 15.01/37.31 |
| [16] | 0.25 | 24 | 25 | −27** | 4.3** | 40 | 0.770/0.476†† | 12.11/19.6 |
| [16] | 0.25 | 74 | 18 | −18** | 8.5** | 40 | 0.770/0.476†† | 5.34/8.63 |
| [17] | 0.13 | 125 | 18.2 | −17.3** | 7 | 36.8 | 0.257/0.107 | 32.42/78.17 |
| [17] | 0.13 | 143 | 16.1 | −15.9** | 7.7 | 36.8 | 0.257/0.107 | 22.65/54.6 |
| This | 0.13 | 120 | 14.2 | −12.4** | 8.2 | 37.5 | 0.197/0.091 | 37.34/80.99 |
| This | 0.13 | 140 | 14.2 | −13.6** | 8.2 | 52.5 | 0.197/0.091 | 20.12/43.63 |
© 2019 by the authors. Licensee MDPI, Basel, Switzerland. This article is an open access article distributed under the terms and conditions of the Creative Commons Attribution (CC BY) license (http://creativecommons.org/licenses/by/4.0/).
Share and Cite
Heredia, J.; Ribó, M.; Pradell, L.; Wipf, S.T.; Göritz, A.; Wietstruck, M.; Wipf, C.; Kaynak, M. Miniature Switchable Millimeter-Wave BiCMOS Low-Noise Amplifier at 120/140 GHz Using an HBT Switch. Micromachines 2019, 10, 632. https://doi.org/10.3390/mi10100632
Heredia J, Ribó M, Pradell L, Wipf ST, Göritz A, Wietstruck M, Wipf C, Kaynak M. Miniature Switchable Millimeter-Wave BiCMOS Low-Noise Amplifier at 120/140 GHz Using an HBT Switch. Micromachines. 2019; 10(10):632. https://doi.org/10.3390/mi10100632
Chicago/Turabian StyleHeredia, Julio, Miquel Ribó, Lluís Pradell, Selin Tolunay Wipf, Alexander Göritz, Matthias Wietstruck, Christian Wipf, and Mehmet Kaynak. 2019. "Miniature Switchable Millimeter-Wave BiCMOS Low-Noise Amplifier at 120/140 GHz Using an HBT Switch" Micromachines 10, no. 10: 632. https://doi.org/10.3390/mi10100632
APA StyleHeredia, J., Ribó, M., Pradell, L., Wipf, S. T., Göritz, A., Wietstruck, M., Wipf, C., & Kaynak, M. (2019). Miniature Switchable Millimeter-Wave BiCMOS Low-Noise Amplifier at 120/140 GHz Using an HBT Switch. Micromachines, 10(10), 632. https://doi.org/10.3390/mi10100632

