Reconstructed Wind Fields from Multi-Satellite Observations
Abstract
:1. Introduction
2. BP Winds
3. SAR-Derived Winds
3.1. Wind Direction Retrieval
3.2. Wind Speed Retrieval
4. Reconstruction of Regular Wind Field
5. Results and Discussion
5.1. Buoy Data Set
5.2. Wind Direction Comparisons
5.3. Differences between Buoy and Reconstructed Wind Speeds
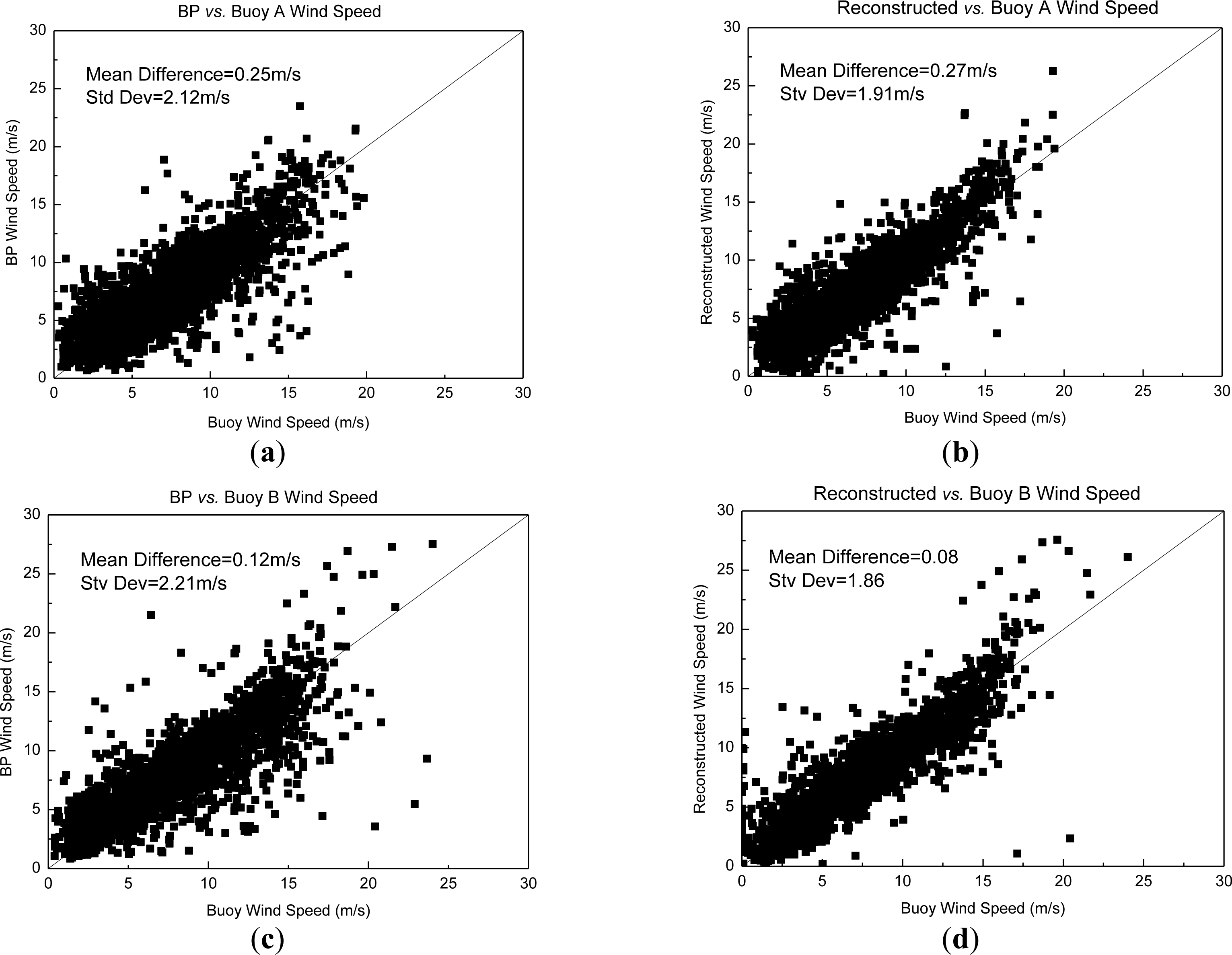
5.4. Comparison between the BP and Reconstructed Wind Fields
6. Conclusion
Acknowledgments
Author Contribution
Conflicts of Interest
References and Notes
- Christiansen, M.B.; Koch, W.; Horstmann, J.; Bay Hasager, C.; Nielsen, M. Wind resource assessment from C-band SAR. Remote Sens Environ 2006, 105, 68–81. [Google Scholar]
- Christiansen, M.B. Wind Energy Applications of Synthetic Aperture Radar; Risø National Laboratory: Roskilde, Denmark, 2006. [Google Scholar]
- Elfouhaily, T. Physical Modeling of Electromagnetic Backscatter from the Ocean Surface; Application to Retrieval of Wind Fields and Wind Stress by Remote Sensing of the Marine Atmospheric Boundary Layer. Ph.D. Thesis, Dépt d’Océanogr Spatiale, l’Inst Français Rec l’Exploitation Mer (IFREMER), Plouzane, France,. 1997. [Google Scholar]
- McCollum, J.R.; Ferraro, R.R. Next generation of NOAA/NESDIS TMI, SSM/I, and AMSR-E microwave land rainfall algorithms. J. Geophys. Res.: Atmos 2003. [Google Scholar] [CrossRef]
- Wentz, F.J.; Spencer, R.W. SSM/I rain retrievals within a unified all-weather ocean algorithm. J Atmos Sci 1998, 55, 1613–1627. [Google Scholar]
- Surussavadee, C.; Staelin, D.H.; Chadarong, V.; McLaughlin, D.; Entekhabi, D. Comparison of NOWRAD, AMSU, AMSR-E, TMI, and SSM/I Surface Precipitation Rate Retrievals over the United States Great Plains. In Proceeding of the 2007 IEEE International Geoscience and Remote Sensing Symposium, Barcelona, Spain, 23–28 July 2007; pp. 3923–3926.
- Zhang, H.-M.; Bates, J.J.; Reynolds, R.W. Assessment of composite global sampling: Sea surface wind speed. Geophys. Res. Lett 2006. [Google Scholar] [CrossRef]
- Zhang, H.; Reynolds, R.; Bates, J. Blended and Gridded High Resolution Global Sea Surface Wind Speed and Climatology from Multiple Satellites: 1987–Present. In Proceeding of American Meteorological Society 006 Annual Meeting, Atlanta, GA, America, 29 January–2 February 2006; p. 2.23.
- Stoffelen, A. Toward the true near-surface wind speed: Error modeling and calibration using triple collocation. J. Geophys. Res.: Ocean 1998, 103, 7755–7766. [Google Scholar]
- Spencer, M.W.; Chialin, W.; Long, D.G. Improved resolution backscatter measurements with the SeaWinds pencil-beam scatterometer. IEEE Trans. Geosci. Remote Sens 2000, 38, 89–104. [Google Scholar]
- Monaldo, F.M.; Thompson, D.R.; Pichel, W.G.; Clemente-Colon, P. A systematic comparison of QuikSCAT and SAR ocean surface wind speeds. IEEE Trans. Geosci. Remote Sens 2004, 42, 283–291. [Google Scholar]
- Pospelov, M.N. Wind direction signal in polarized microwave emission of sea surface under various incidence angles. Gayana (Concepción) 2004, 68, 493–498. [Google Scholar]
- Wentz, F.J. A well calibrated ocean algorithm for special sensor microwave/image. J. Geophys. Res 1997, 102, 8703–8718. [Google Scholar]
- Wentz, F.J. SSM/I Version-7 Calibration Report; RSS Technical Report 011012; Remote Sensing Systems: Santa Rosa, CA, USA, 2013. [Google Scholar]
- Gentemann, C.L.; Meissner, T.; Wentz, F.J. Accuracy of satellite sea surface temperatures at 7 and 11 GHz. IEEE Trans. Geosci. Remote Sens 2010, 48, 1009–1018. [Google Scholar]
- Wentz, F.J.; Ashcroft, P.; Gentemann, C. Post-launch calibration of the TRMM microwave imager. IEEE Trans. Geosci. Remote Sens 2001, 39, 415–422. [Google Scholar]
- Hilburn, K.; Wentz, F. Intercalibrated passive microwave rain products from the Unified Microwave Ocean Retrieval Algorithm (UMORA). J. Appl. Meteorol. Clim 2008, 47, 778–794. [Google Scholar]
- Pospelov, M.N. Surface wind speed retrieval using passive microwave polarimetry: The dependence on atmospheric stability. IEEE Trans. Geosci. Remote Sens 1996, 34, 1166–1171. [Google Scholar]
- Flett, D.G.; Wilson, K.J.; Vachon, P.W.; Hopper, J.F. Wind information for marine weather forecasting from RADARSAT-1 synthetic aperture radar data: Initial results from the “Marine winds from SAR” demonstration project. Can. J. Remote Sens 2002, 28, 490–497. [Google Scholar]
- Horstmann, J.; Koch, W.; Lehner, S.; Tonboe, R. Ocean winds from RADARSAT-1 ScanSAR. Can. J. Remote Sens 2002, 28, 524–533. [Google Scholar]
- Vachon, P.W.; Wolfe, J.; Hawkins, R.K. Comparison of C-band wind retrieval model functions with airborne multipolarization SAR data. Can. J. Remote Sens 2004, 30, 462–469. [Google Scholar]
- Hersbach, H.; Stoffelen, A.; de Haan, S. An improved C-band scatterometer ocean geophysical model function: CMOD5. J. Geophys. Res.: Ocean 2007. [Google Scholar] [CrossRef]
- Horstmann, J.; Schiller, H.; Schulz-Stellenfleth, J.; Lehner, S. Global wind speed retrieval from SAR. IEEE Trans. Geosci. Remote Sens 2003, 41, 2277–2286. [Google Scholar]
- Monaldo, F.; Kerbaol, V.; Clemente-Colón, P.; Furevik, B.; Horstmann, J.; Johannessen, J.; Li, X.; Pichel, W.; Sikora, T.; Thomson, D. The SAR Measurement of Ocean Surface Winds: An Overview. In Proceedings of the Second Workshop Coastal and Marine Applications of SAR, Svalbard, Norway, 8–12 September 2003; pp. 2–12.
- Koch, W. Directional analysis of SAR images aiming at wind direction. IEEE Trans. Geosci. Remote Sens 2004, 42, 702–710. [Google Scholar]
- Fetterer, F.; Gineris, D.; Wackerman, C.C. Validating a scatterometer wind algorithm for ERS-1 SAR. IEEE Trans. Geosci. Remote Sens 1998, 36, 479–492. [Google Scholar]
- Gerling, T.W. Structure of the surface wind field from the Seasat SAR. J. Geophys. Res.: Ocean 1986, 91, 2308–2320. [Google Scholar]
- Lehner, S.; Horstmann, J.; Koch, W.; Rosenthal, W. Mesoscale wind measurements using recalibrated ERS SAR images. J. Geophys. Res.: Ocean 1998, 103, 7847–7856. [Google Scholar]
- Du, Y.; Vachon, P.W.; Wolfe, J. Wind direction estimation from SAR images of the ocean using wavelet analysis. Can. J. Remote Sens 2002, 28, 498–509. [Google Scholar]
- Stoffelen, A.; Anderson, D. Scatterometer data interpretation: Estimation and validation of the transfer function CMOD4. J. Geophys. Res.: Ocean 1997, 102, 5767–5780. [Google Scholar]
- Quilfen, Y.; Chapron, B.; Elfouhaily, T.; Katsaros, K.; Tournadre, J. Observation of tropical cyclones by high-resolution scatterometry. J. Geophys. Res.: Ocean 1998, 103, 7767–7786. [Google Scholar]
- Herbach, H. CMOD5: A C-band Geophysical Model Function for Equivalent Neural Wind; Technical Memorandum No. 554; European Centre for Medium-Range Weather Forecasts: Reading, UK, 2008. [Google Scholar]
- Herbach, H. Comparison of C-band scatterometer CMOD5.N equivalent neural winds with ECMWF. J. Atmos. Oceanic. Technol 2010. [Google Scholar] [CrossRef]
- Horstmann, J.; Koch, W. Measurement of ocean surface winds using synthetic aperture radars. IEEE J. Oceanic Eng 2005, 30, 508–515. [Google Scholar]
- Monaldo, F.M.; Thompson, D.R.; Beal, R.C.; Pichel, W.G.; Clemente-Colon, P. Comparison of SAR-derived wind speed with model predictions and ocean buoy measurements. IEEE Trans. Geosci. Remote Sens 2001, 39, 2587–2600. [Google Scholar]
- Horstmann, J.; Koch, W.; Lehner, S.; Tonboe, R. Wind retrieval over the ocean using synthetic aperture radar with C-band HH polarization. IEEE Trans. Geosci. Remote Sens 2000, 38, 2122–2131. [Google Scholar]
- Vachon, P.W.; Dobson, F.W. Wind retrieval from RADARSAT SAR images: Selection of a suitable C-band HH polarization wind retrieval model. Can. J. Remote Sens 2000, 26, 306–313. [Google Scholar]
- Johnsen, H.; Engen, G.; Guitton, G. Sea-surface polarization ratio from Envisat ASAR AP data. IEEE Trans. Geosci. Remote Sens 2008, 46, 3637–3646. [Google Scholar]
- Mouche, A.A.; Hauser, D.; Daloze, J.F.; Guerin, C. Dual-polarization measurements at C-band over the ocean: Results from airborne radar observations and comparison with ENVISAT ASAR data. IEEE Trans. Geosci. Remote Sens 2005, 43, 753–769. [Google Scholar]
- Thompson, D.R.; Elfouhaily, T.M.; Chapron, B. Polarization Ratio for Microwave Backscattering from the Ocean Surface at Low to Moderate Incidence Angles. In Proceedings of the 1998 IEEE International Geoscience and Remote Sensing Symposium, Seattle, WA, USA, 6–10 July 1998.
- Unal, C.M.H.; Snoeij, P.; Swart, P.J.F. The polarization-dependent relation between radar backscatter from the ocean surface and surface wind vector at frequencies between 1 and 18 GHz. IEEE Trans. Geosci. Remote Sens 1991, 29, 621–626. [Google Scholar]
- Zhang, B.; Perrie, W.; He, Y. Wind speed retrieval from RADARSAT-2 quad-polarization images using a new polarization ratio model. J. Geophys. Res.: Ocean 2011. [Google Scholar] [CrossRef]
- Fairall, C.W.; Bradley, E.F.; Rogers, D.P.; Edson, J.B.; Young, G.S. Bulk parameterization of air-sea fluxes for tropical ocean-global atmosphere coupled-ocean atmosphere response experiment. J. Geophys. Res.: Ocean 1996, 101, 3747–3764. [Google Scholar]






| Beam Mode | Product | Pixel Spacing (Rng × Az) (m) | Resolution (Rng × Az) (m) | Scene Size (Rng × Az) (km) | Incidence Angle (deg) | Polarizations Options |
|---|---|---|---|---|---|---|
| ScanSAR Narrow | SCN | 25 × 25 | 50 × 60 | 300 × 300 | 20 to 46 | HH(122) VV(68) HH + HV(26) VV + VH(10) |
| ScanSAR Wide | SCW | 50 × 50 | 130 × 100 | 500 × 500 | 20 to 49 |
© 2014 by the authors; licensee MDPI, Basel, Switzerland This article is an open access article distributed under the terms and conditions of the Creative Commons Attribution license (http://creativecommons.org/licenses/by/3.0/).
Share and Cite
Tang, R.; Liu, D.; Han, G.; Ma, Z.; De Young, B. Reconstructed Wind Fields from Multi-Satellite Observations. Remote Sens. 2014, 6, 2898-2911. https://doi.org/10.3390/rs6042898
Tang R, Liu D, Han G, Ma Z, De Young B. Reconstructed Wind Fields from Multi-Satellite Observations. Remote Sensing. 2014; 6(4):2898-2911. https://doi.org/10.3390/rs6042898
Chicago/Turabian StyleTang, Ruohan, Deyou Liu, Guoqi Han, Zhimin Ma, and Brad De Young. 2014. "Reconstructed Wind Fields from Multi-Satellite Observations" Remote Sensing 6, no. 4: 2898-2911. https://doi.org/10.3390/rs6042898
APA StyleTang, R., Liu, D., Han, G., Ma, Z., & De Young, B. (2014). Reconstructed Wind Fields from Multi-Satellite Observations. Remote Sensing, 6(4), 2898-2911. https://doi.org/10.3390/rs6042898
