You are currently viewing a new version of our website. To view the old version click .
Remote Sensing
  • Article
  • Open Access

20 January 2025

Progressive Self-Prompting Segment Anything Model for Salient Object Detection in Optical Remote Sensing Images

,
,
and
1
Changchun Institute of Optics, Fine Mechanics and Physics, Chinese Academy of Sciences, Changchun 130033, China
2
University of Chinese Academy of Sciences, Beijing 100049, China
*
Author to whom correspondence should be addressed.
This article belongs to the Section Remote Sensing Image Processing

Abstract

With the continuous advancement of deep neural networks, salient object detection (SOD) in natural images has made significant progress. However, SOD in optical remote sensing images (ORSI-SOD) remains a challenging task due to the diversity of objects and the complexity of backgrounds. The primary challenge lies in generating robust features that can effectively integrate both global semantic information for salient object localization and local spatial details for boundary reconstruction. Most existing ORSI-SOD methods rely on pre-trained CNN- or Transformer-based backbones to extract features from ORSIs, followed by multi-level feature aggregation. Given the significant differences between ORSIs and the natural images used in pre-training, the generalization capability of these backbone networks is often limited, resulting in suboptimal performance. Recently, prompt engineering has been employed to enhance the generalization ability of networks in the Segment Anything Model (SAM), an emerging vision foundation model that has achieved remarkable success across various tasks. Despite its success, directly applying the SAM to ORSI-SOD without prompts from manual interaction remains unsatisfactory. In this paper, we propose a novel progressive self-prompting model based on the SAM, termed PSP-SAM, which generates both internal and external prompts to enhance the network and overcome the limitations of SAM in ORSI-SOD. Specifically, domain-specific prompting modules, consisting of both block-shared and block-specific adapters, are integrated into the network to learn domain-specific visual prompts within the backbone, facilitating its adaptation to ORSI-SOD. Furthermore, we introduce a progressive self-prompting decoder module that performs prompt-guided multi-level feature integration and generates stage-wise mask prompts progressively, enabling the prompt-based mask decoders outside the backbone to predict saliency maps in a coarse-to-fine manner. The entire network is trained end-to-end with parameter-efficient fine-tuning. Extensive experiments on three benchmark ORSI-SOD datasets demonstrate that our proposed network achieves state-of-the-art performance.

1. Introduction

Salient object detection (SOD), which aims to identify the most attractive objects or regions in a scene, has gained increasing attention in recent years. Based on its characteristics, SOD can be applied to a range of vision tasks, such as object segmentation [1], image retrieval [2], visual tracking [3,4], and image quality assessment [5,6]. Owing to the advancement of deep learning techniques, significant progress has been made in SOD for natural scene images (NSI-SOD) [7,8,9,10,11,12,13,14,15,16,17,18,19,20,21,22,23,24,25,26,27,28,29,30,31,32,33,34,35]. In contrast to NSI-SOD, the SOD task in optical remote sensing images (ORSI-SOD) typically involves more challenging scenes, such as tiny objects, irregular geometric structures, and cluttered backgrounds. Due to differences in scene characteristics and acquisition methods between NSIs and ORSIs, directly applying NSI-SOD methods to ORSIs may yield unsatisfactory results. As a result, numerous researchers have focused on advancing ORSI-SOD, leading to many valuable works [36,37,38,39,40,41,42,43,44,45,46,47,48,49,50,51,52,53,54,55,56,57]. Building upon the foundation of NSI-SOD, most existing ORSI-SOD methods utilize Convolutional Neural Networks (e.g., VGG [58], ResNet [59], and Res2Net [60]) or Visual Transformers (e.g., PVT [61] and Swin [62]) as backbone networks and then design specialized feature fusion modules to carry out the prediction of salient objects. Pre-trained backbone networks generate powerful features, which are crucial for the algorithm’s performance.
CNN-based backbones excel at capturing local spatial details but struggle with modeling global representations. To address this issue, existing CNN-based methods typically adopt a local-to-contextual paradigm. For instance, Zhang et al. [38] introduced a global context-aware attention module that adaptively captures long-range semantic context from multi-level convolutional features. The multi-content complementation module in MCCNet [41] integrates three distinct attention mechanisms (i.e., channel, spatial, and reverse attention) to effectively combine local information with global image-level content. In [52], Zhao et al. combine global and local contexts through a heterogeneous semantic cooperative interconnection based on the cross-attention progressive module. In contrast, transformer-based methods are proficient at capturing global long-range dependencies but are less effective at modeling local details. Following the global-to-local paradigm, Li et al. [48] propose a global extraction local exploration network, which employs a transformer backbone to generate features, along with a spatial attention module designed to enhance local interactions. To leverage the strengths of both CNNs and transformers, Wang et al. [44] propose a hybrid encoder that incorporates CNN blocks in the shallow layers for effective local detail modeling and utilizes transformer blocks in the deep layers for long-range context learning. Similarly, in [56], Liu et al. use CNNs as the image encoder and integrate additional transformer blocks to help establish long-range semantic relationships.
Both CNN- and transformer-based backbones are pre-trained on large-scale natural images, which differ significantly from ORSIs. Therefore, the performance of existing methods is influenced by the generalization ability of the backbone networks. Recently, the Segment Anything Model (SAM) [63,64], which is built upon prompt engineering, has achieved notable success in various vision tasks due to its remarkable generalization and zero-shot learning capabilities. Despite its success, when applied to ORSI-SOD, SAM experiences performance degradation in the absence of manual prompts. Figure 1 illustrates the prediction results of SAM without any prompt and with manual point prompts.
Figure 1. Prediction results of original SAM (i.e., zero-shot segmentation), the SAM with manual point prompts, and our method. “” denotes the point generated by manual interaction.
From the results, it is evident that SAM’s accuracy heavily relies on manual prompts. Moreover, the complexity of the scenario increases the need for additional prompts. Otherwise, the model may generate inaccurate predictions. As shown in the first row of Figure 1, a single-point prompt is insufficient to help the model overcome distractions caused by shadows. However, in ORSI-SOD, obtaining prompts through human interaction is not a feasible approach, as it is time-consuming and impractical for large-scale or real-time applications. To address this problem, we propose a novel progressive self-prompting model based on SAM, named PSP-SAM, which generates prompts both inside and outside the backbone network via a self-learning mechanism. In PSP-SAM, visual prompts that supplement domain-specific knowledge are adaptively learned by both block-shared and block-specific adapters within the backbone. Furthermore, stage-wise mask prompts are gradually generated by the progressive self-prompting decoder module outside the backbone to guide the fusion of multi-level features and produce the final saliency map in a coarse-to-fine manner. As shown in Figure 1, benefiting from self-prompting, our PSP-SAM overcomes the limitations of SAM and uniformly highlights salient regions. The entire network is trained end-to-end with parameter-efficient fine-tuning techniques [65,66]. The total number of training parameters in our proposed model is only 773.22 K. To the best of our knowledge, this is the first self-prompting SAM-based method in ORSI-SOD. The contributions of PSP-SAM are summarized as follows:
  • In this paper, we propose a novel progressive self-prompting network to enhance the adaptability of the backbone network for ORSI-SOD. The proposed network effectively mitigates the performance degradation of SAM caused by the absence of manual interaction.
  • Domain-specific prompting modules, which integrate both block-shared and block-specific adapters, are embedded into the backbone to equip the network with visual prompts for effective adaptation to ORSI-SOD.
  • Stage-wise mask prompts are progressively generated by the self-prompting decoder module outside the backbone to facilitate prompt-enhanced feature fusion and produce the final saliency map.
  • The entire network is trained in an end-to-end manner by applying parameter-efficient fine-tuning techniques, which enable rapid convergence and help the network achieve state-of-the-art performance.

2. Related Work

To better highlight the innovations of this work, we briefly introduce the most relevant works to ours. First, the representative NSI-SOD methods are reviewed. Secondly, we provide a retrospective analysis of the ORSI-SOD methods. Finally, existing SAM-based methods are discussed.
NSI-SOD methods. In early research, NSI-SOD primarily relied on low-level hand-crafted features, such as color, intensity [67], region contrast [68,69,70], or heuristic priors [71,72,73], which were designed based on limited human knowledge on visual attention. Due to the limitations of these designs, it is difficult for hand-crafted-based methods to identify salient objects in complex scenes. Therefore, classical machine learning algorithms, such as conditional random fields, random forest regression and support vector machines, were employed by researchers to design saliency models [74,75,76,77]. With the development of deep learning technologies, deep neural networks have demonstrated their effectiveness in computer vision. More researchers have designed SOD methods based on deep neural networks, greatly improving detection accuracy [7,8,9,10,11,12,13,14,15,16,17,18,19,20,21,22,23,24,25,26,27,28,29,30,31,32,33,34,35]. Limited by fully connected structures, early deep learning-based algorithms [7,8,9] were designed based on image block or super-pixel, resulting in low efficiency and suboptimal performance. The advent of FCN [78] overcame this limitation, making end-to-end networks become the mainstream of current research. To model both global contextual information and local spatial details, various methodologies have been explored, including multi-level feature integration [11,12,17,22,23,35], attention mechanisms [13,14,18,24,27,29], extended pooling operations [16], recurrent networks [15], boundary-aware feature fusion [20,21,25] and so on. In addition, vision transformers have been employed to capture long-range dependencies for more accurate predictions [26,35]. These NSI-SOD methods have made significant progress and have greatly influenced ORSI-SOD. However, due to the inherent disparities between NSIs and ORSIs, directly applying NSI-SOD methods to RSI-SOD remains a non-trivial task. As a result, researchers have started designing specific methods for ORSI-SOD.
ORSI-SOD methods. As an emerging field, ORSI-SOD has attracted increasing attention in recent years. Following NSI-SOD, early ORSI-SOD methods were also designed based on hand-crafted features or priors. For instance, Zhao et al. [79] employed sparse representation to extract high-level global cues and background priors for the integration of saliency maps. In [80], various features such as local contrast, color, and texture were combined using low-rank matrix recovery to generate the final saliency map. Wang et al. [81] proposed a general space–frequency joint saliency detection method that integrated spatial contrast analysis and adaptive spectrum analysis. In [82], a color Markov chain was constructed to generate a bottom-up latent saliency map. Recently, deep neural networks have been incorporated into ORSI-SOD methods. Similar to NSI-SOD, strategies such as multi-level feature fusion, attention mechanisms, and edge-aware feature fusion have been extensively employed in ORSI-SOD. For instance, Li et al. [37] proposed a parallel down-up fusion network that utilized the in-path low- and high-level features and cross-path multi-resolution features to distinguish diversely scaled salient objects. In [38], a dense attention fluid structure was proposed to integrate low-level attention cues into the generation of high-level attention maps at deeper layers, while global-context information was exploited to achieve feature alignment and the mutual reinforcement of saliency patterns. Li et al. [45] designed an adjacent context coordination network to explore the coordination of adjacent features in an encoder–decoder architecture. An edge-aware position attention unit was proposed in [46] to locate and sharpen salient objects. The aforementioned algorithms are all designed based on a CNN backbone, which is good at capturing local information. To enhance the ability of modeling global contextual information, transformer-based backbones have also been employed [44,48,54,56]. Among them, HFANet [44] and HFCNet [56] combined both CNNs and the transformer to learn local details as well as long-range context. Despite the impressive performance achieved by the aforementioned methods, challenges persist in ORSI-SOD due to the significant disparity between the natural images used for pre-training backbone networks and ORSIs. To address this issue, we first introduce SAM [63,64], a vision foundation model based on prompt engineering, which has achieved remarkable success due to its strong generalization ability, into the ORSI-SOD scenario.
SAM-based methods. As an emerging vision foundation model, SAM has demonstrated superior performance on various related tasks [83,84,85,86,87]. Li et al. [83] transferred SAM for polyp segmentation, and bounding boxes extracted from the ground truth masks were used as prompts for SAM. In [84], an augmented Segment Anything Model, which incorporated an additional trainable Convolutional Neural Network encoder branch to enhance the feature extraction capability, was designed for polyp segmentation. Chen et al. [85] designed adapters to adapt SAM to downstream tasks such as camouflaged object detection and shadow detection. Although the adapters are simple, the neck structure and mask decoder module of the original SAM were utilized to generate predictions, resulting in a relatively large model size. In contrast, Xiong et al. [86] utilized only the backbone of SAM as the encoder, while employing the classic U-shaped design for the decoder. Adapters were inserted before each multi-scale block of SAM to adapt it to various downstream tasks. The adapters are block-specific, which increases the learning parameters, and the correlation of features at the same stage cannot be learned. Moreover, the U-shaped designed decoder cannot benefit from prompt engineering. To fully explore SAM’s potential for ORSI-SOD, we propose a novel progressive self-prompting Segment Anything Model (PSP-SAM), where both block-shared and block-specific adapters are designed to efficiently produce domain-specific visual prompts. Additionally, we revise the prompt encoder and mask decoder of the original SAM and construct a progressive self-prompting decoder module to generate saliency predictions from coarse to fine.

3. Proposed Method

In this paper, we propose a novel Progressive Self-Prompting Segment Anything Model (PSP-SAM) that integrates domain-specific information with the general knowledge learned by the large model, thereby enhancing the adaptability of the backbone network for ORSI-SOD. The main framework of the proposed PSP-SAM is illustrated in Figure 2.
Figure 2. Main framework of the proposed Progressive Self-prompting Segment Anything Model (PSP-SAM). Both internal and external prompts are generated in PSP-SAM. The domain-specific prompting module (DSPM), which adapts SAM to the ORSI-SOD field, is embedded after every transformer block to learn visual prompts within the backbone. The pre-processing module (PPM), consisting of multiple CBR 1 × 1 layers, is utilized to reduce the feature channel dimensions. Furthermore, a progressive self-prompting decoder module (PSP-DM) is proposed to conduct prompt-guided multi-level feature fusion and generate stage-wise mask prompts outside the backbone. Through PSP-DM, the final prediction is produced in a coarse-to-fine manner.
We first provide an overview of PSP-SAM in Section 3.1. Then, we introduce the details of the three key components (i.e., the transformer block of the backbone, the domain-specific prompting module, and the progressive self-prompting decoder module) in Section 3.2, Section 3.3, and Section 3.4, respectively. Finally, the supervision strategy for PSP-SAM is presented in Section 3.5.

3.1. Overview

Figure 2 illustrates the overall architecture of PSP-SAM, which primarily consists of the backbone network, the pre-processing module (PPM), the domain-specific prompting module (DSPM), and the self-prompting decoder module (PSP-DM). We utilize the latest version of SAM (i.e., SAM2 [64]) as the backbone for feature extraction. Although SAM is renowned for its zero-shot learning ability, it heavily relies on precise prompt information (e.g., point, box, or mask) from human interaction. Directly applying SAM to ORSI-SOD without manual prompts leads to performance degradation. However, acquiring prompts artificially for ORSI-SOD is impractical. To adapt SAM to ORSI-SOD, the DSPM is inserted after each transformer block of the backbone to learn domain-specific visual prompts.
Given an input image I R 3 × H × W , where H and W denote the height and width, respectively, multi-level powerful features, denoted as { X i R C i × H 2 i + 1 × W 2 i + 1 } i = 1 4 , are side-outputted from the end of each transformer stage. These features are sequentially fed into the PPM, which consists of multiple CBR 1 × 1 blocks (i.e., 1 × 1 convolution followed by the batch norm and RELU operations) to reduce the channel number to 64. Then we can obtain multi-level light-weight features { F i R 64 × H 2 i + 1 × W 2 i + 1 } i = 1 4 , which are then sent to the PSP-DM to conduct prompt-guided integration and generate mask prompts progressively for the prompt-based mask decoder to obtain the final prediction in a coarse-to-fine manner. Both global context and local details from multi-level features are incorporated into the prompts, which guide the network in precisely identifying the salient object and recovering its fine-grained spatial details.

3.2. Transformer Block of Backbone

PSP-SAM utilizes the Hiera [88] backbone pretrained by SAM2 [64], which allows the model to use multi-level features during decoding. The details of the transformer block are provided in the left part of Figure 3.
Figure 3. Details of the transformer block and the proposed DSPM. The parameters of the transformer block are frozen to preserve the general knowledge of the backbone, while the parameters of the DSPM are learned through training to adapt to the ORSI-SOD domain.
Each transformer block is composed of two layer-normalization layers, one Multi-Scale Attention (MSA) [88], and one Multi-Layer Perceptron (MLP). Given an input feature Z ¯ i j 1 , the output of a transformer block can be calculated by
Z ˜ i j 1 = MSA ( LN ( Z ¯ i j 1 ) ) + Z ¯ i j 1 ,
Z i j = MLP ( LN ( Z ˜ i j 1 ) ) + Z ˜ i j 1 ,
where Z i j R H 2 i + 1 × W 2 i + 1 × C i , i { 1 , 2 , 3 , 4 } denotes the i-th stage, j { 1 , , N i } denotes the j-th block, N i is the block number of stage i, Z ˜ i j 1 is an intermediate output, and LN denotes layer normalization. If the stage changes, there will be an additional pooling operation at the MSA to down-sample the feature map to half scale. When i = 1 , j = 1 , Z ¯ 1 0 is the output of the patch embedding layer at the beginning of the backbone, and Z ¯ i + 1 0 = Z ¯ i N i . To fully leverage the general knowledge learned by SAM, we freeze the parameters of each transformer block in the backbone during the training phase, achieving parameter-efficient fine-tuning.

3.3. Domain-Specific Prompting Module

Due to the differences between the images used for pretraining and ORSIs, relying solely on general knowledge is insufficient for making precise predictions in ORSIs. To address this issue, we propose a lightweight yet effective domain-specific prompting module (DSPM), which is inserted after each transformer block in the backbone to generate domain-specific visual prompts, thereby adapting SAM to the ORSI-SOD domain. To ensure high efficiency, we design both block-shared and block-specific adapters, where the former is shared within a stage and the latter is specific to each block. The details of DSPM are shown in the right part of Figure 3. Given an input feature Z i j R H 2 i + 1 × W 2 i + 1 × C i , the output of DSPM can be expressed as follows:
D i j = d o w n MLP i ( Z i j ) = W i Z i j + b i ,
where d o w n MLP i is a linear projection layer to reduce the channel number of input features for efficiency, which is shared by all transformer blocks within stage i. W i R C i × 32 and b i R H 2 i + 1 × W 2 i + 1 × 32 are the learning parameters of d o w n MLP i . Then, D i j R H 2 i + 1 × W 2 i + 1 × 32 is fed into a block-specific adapter to learn more domain knowledge of ORSI-SOD from the training samples:
T i j = GELU ( t u n e MLP i j ( D i j ) ) = GELU ( W i j D i j + b i j ) ,
where t u n e MLP i j denotes an unshared linear projection layer that learns block-specific information. W i j R 32 × 32 and b i j R H 2 i + 1 × W 2 i + 1 × 32 are its learning parameters. Then, we can obtain the final output of DSPM by
Z ¯ i j = u p MLP i ( T i j ) + Z i j = W i T i j + b i + Z i j ,
where W i R 32 × C i , b i R H 2 i + 1 × W 2 i + 1 × C i , and u p MLP i recovers the channel number of input to C i so as to add with the original input Z i j R H 2 i + 1 × W 2 i + 1 × C i . Likewise, u p MLP i is shared by all blocks within stage i. u p MLP i ( T i j ) is the learned visual prompt that contains domain-specific information. Then Z ¯ i j is sent to the ( j + 1 ) -th transformer block in stage i. Features at the end of each stage (i.e., Z ¯ i N i ) are side-outputted from the backbone to perform saliency prediction by the PPM and the PSP-DM, and we use { X i } i = 1 4 to denote them.

3.4. Progressive Self-Prompting Decoder Module

Multi-level features from the backbone are utilized to capture both global semantics and local spatial details, with the former aiding in the precise localization of salient objects, while the latter contributes to refining object boundaries. In contrast to existing methods, we propose a novel progressive self-prompting decoder module (PSP-DM), in which prompt-enhanced feature integration is conducted and stage-wise mask prompts are generated progressively for the prompt-based mask decoders to predict saliency maps in a coarse-to-fine manner.
Given { X i } i = 1 4 , we obtain multi-level features { F i } i = 1 4 through the PPM. Initially, we combine F 3 and F 4 by concatenation followed by a CBR 3 × 3 (i.e., 3 × 3 convolution followed by the batch norm and RELU operations). It can be expressed as follows:
F 43 = CBR 3 × 3 ( Concate ( UP 2 × ( F 4 ) , F 3 ) )
where Concate is the concatenation operation and UP denotes bi-linear up-sampling. We then apply a simple 1 × 1 convolution to obtain the initial saliency map, which is used as the initial mask prompt:
P 0 = C o n v 1 × 1 ( F 43 )
Prompt Generator is subsequently utilized to produce dense embedding for the prompt-based mask decoder. The details of the prompt generator are illustrated in Figure 4. To accommodate features at different scales, three prompt generators are designed to generate dense embeddings with varying resolutions.
Figure 4. Details of the prompt generator. CLG 2 × 2 denotes a 2 × 2 convolution followed by layer norm and GELU operations. s is the stride size and i n c h a n o u t c h a n means that channel number is changed from i n c h a n to o u t c h a n .
Given the initial mask prompt P 0 , we feed it into the Prompt Generator 1/16 in Figure 4a. The dense embedding can be calculated by
DE 1 / 16 = C o n v 1 × 1 ( CLG 2 × 2 ( CLG 2 × 2 ( CLG 2 × 2 ( CLG 2 × 2 ( P 0 ) ) ) ) )
Then we take F 43 as the image embedding and feed it along with the dense embedding into the prompt-based mask decoder for prompt-enhanced feature fusion and saliency prediction.
The prompt-based mask decoder is primarily built on the two-way transformer, which is composed of stacked two-way attention blocks.The detailed structure of the prompt-based mask decoder is shown in Figure 5.
Figure 5. Detailed architecture of the Prompt-based mask decoder. Given the image embedding and the dense embedding, it can output both the saliency map and the prompt-enhanced feature.
Given the image embedding IE and the dense embedding DE , the prompt-enhanced feature and the saliency map can be calculated as follows:
hs , src = TwoWayAttention ( TwoWayAttention ( tokens , IE + DE ) )
where tokens represents an output token for the mask, which is initialized randomly by the embedding layer and subsequently optimized during training. TwoWayAttention denotes the two-way attention block [63]. hs and src are the processed embeddings for the token and image, respectively. We take src as the prompt-enhanced feature and denote it as PF . Then, hs and src are sent into a token-to-image attention layer followed by stacked MLPs to learn the mask token hyper _ in for predicting mask. Finally, the saliency prediction is generated by
P = hyper _ in @ ( TCG 2 × 2 ( TCLG 2 × 2 ( src ) ) )
where @ denotes matrix multiplication operation, TCG is the transposed convolution followed by GELU, and TCLG is the transposed convolution followed by layer norm and GELU. The two transposed convolutions achieve quadruple up-sampling of the image embedding.
Specifically, given the input image embedding F 43 and the dense embedding DE 1 / 16 , through the prompt-based mask decoder, we can obtain the prompt-enhanced feature PF 1 / 16 and the saliency map P 1 , which is then resized to the original image size. Next, we combine PF 1 / 16 with the shallower level feature F 2 as in (6) to obtain the image embedding F 432 for the next decoder. The saliency map P 1 is utilized as the mask prompt, which is then encoded by Prompt Generator 1/8 in Figure 4b to produce the corresponding dense embedding:
DE 1 / 8 = C o n v 1 × 1 ( CLG 2 × 2 ( CLG 2 × 2 ( CLG 2 × 2 ( P 1 ) ) ) )
Similarly, given F 432 and DE 1 / 8 , the next prompt-based mask decoder can output the prompt-enhanced feature PF 1 / 8 and saliency map P 2 . PF 1 / 8 is combined with F 1 to obtain the image embedding F 4321 and P 2 is encoded by Prompt Generator 1/4 in Figure 4c:
DE 1 / 4 = C o n v 1 × 1 ( CLG 2 × 2 ( CLG 2 × 2 ( P 2 ) ) )
Feeding F 4321 and DE 1 / 4 into the prompt-based mask decoder, we can obtain the final saliency map S .

3.5. Supervision Strategy

To train the network, we introduce the Binary Cross Entropy loss [89] and the Interaction over Union loss [90] to ensure both pixel-wise smooth gradient and global structure optimization. For the saliency map S and ground truth G , the loss can be calculated by
L ( S , G ) = L b c e ( S , G ) + L i o u ( S , G ) ,
L b c e ( S , G ) = x = 1 H y = 1 W [ G x y log ( S x y ) + ( 1 G x y ) log ( 1 S x y ) ] ,
L i o u ( S , G ) = 1 x = 1 H y = 1 W S x y G x y x = 1 H y = 1 W [ S x y + G x y S x y G x y ] .
where ( x , y ) denotes the spatial position and H and W are the height and width of image. To make the generated mask prompts more accurate, we introduce supervisions to them too. The joint loss function for all predictions is obtained by
L j o i n t = L ( P 0 , G ) + L ( P 1 , G ) + L ( P 2 , G ) + L ( S , G ) ,

4. Experimental Results

4.1. Datasets

In this work, we conduct experiments on three public datasets: ORSSD [36], EORSSD [38], and ORSI [43]. Details of these datasets are listed below.
ORSSD is the first publicly available dataset for ORSI-SOD. It contains 800 images collected from Google Earth and some existing RSI datasets. Among these, 600 images are used for training and the remaining 200 images are used for testing.
EORSSD is an extended version of ORSSD, including 1400 training images and 600 testing images with corresponding pixelwise GTs.Compared to ORSSD, the samples of EORSSD are more complex and challenging.
ORSI is the largest public dataset for ORSI-SOD, containing 2000 training images and 2199 testing images. It is renowned for its large scale and complex scenarios, making it one of the most challenging datasets in the ORSI-SOD field.
In a similar manner to [45], we augment the training set of each dataset by flipping and rotation operations, generating seven additional variants of the original training data (i.e., eight times the size of the original set). Specifically, for ORSSD, EORSSD, and ORSI, the training set is expanded to 4800, 11,200, and 16,000 augmented pairs, respectively.

4.2. Implementation Details

We implement our PSP-SAM by Pytorch on a PC with an Intel Core i9-10940X CPU and a single NVIDIA GTX 3090 GPU. In the training and testing phases, the input images are resized to 352 × 352. The backbone network of PSP-SAM is initialized by pretrained parameters from the Hiera backbone of SAM2 [64]. To ensure high computational efficiency, we use the small version of the model (i.e., sam 2 _ hiera _ s ). The Adam optimizer is utilized to train the network end-to-end with a batch size of 12. The initial learning rate is set to 0.001 and the weight decay is set to 5 × 10 4 . The maximum number of epochs is set to 50. During training, the model is evaluated once every five epochs to identify the optimal model to be saved. The inference time of the proposed method is 0.0214 s (i.e., 47 FPS), which provides the possibility for real-time application.

4.3. Evaluation Metrics

We adopt widely recognized evaluation metrics, including the Precision–Recall (PR) Curve, F-measure Curves, S-measure ( S α ), Max F-measure ( F β m a x ), Mean F-measure ( F β m e a n ), Adaptive F-measure ( F β a d p ), Weighted F-measure ( F β w ), Max E-measure ( E ξ m a x ), Mean E-measure ( E ξ m e a n ) and Mean Absolute Error (M), to comprehensively measure the effectiveness of our model. The PR Curve is the combination of precision and recall at various thresholds. The F-measure is the weighted average of precision and recall, and precision is emphasized in this paper. tHE S-measure evaluates the structural similarity at both the region-aware and object-aware levels. tHE E-measure simultaneously takes into account the local pixel-level match information and the global image-level statistics. tHE Mean Absolute Error is the average pixel-wise absolute difference between the binary ground truth and the saliency map.

4.4. Comparison with the State of the Arts

4.4.1. Competing Methods

We compare our PSP-SAM with state-of-the-art methods, including 15 NSI-SOD methods (i.e., PiCANet [14], R3Net [15], PoolNet [16], BASNet [20], EGNet [21], CPD [17], RASNet [24], ENFNet [25], VST [26], SAMNet [27], PA-KRN [28], SUCA [29], DPORT [33], DNTD [34] and ICON [35]) and 17 ORSI-SOD methods (i.e., LVNet [36], DAFNet [38], EMFI [42], MJRB [43], ERPNet [46], CorrNet [40], MCCNet [41], HFANet [44], ACCoNet [45], SeaNet [47], SDNet [49], UG2L [50], TSCNet [57], SFANet [51], RAGRNet [52], HFCNet [56] and GCRNet [53]). All the prediction results are obtained through open-source codes or directly provided by the authors. As some algorithms employ various backbones, we compare with their best results.

4.4.2. Quantitative Comparison

In Table 1, we display the comparison results of our PSP-SAM with other state-of-the-art methods on three datasets. The evaluation is based on six key metrics, including S α , F β m a x , F β m e a n , E ξ m a x , E ξ m e a n , and M.
Table 1. Quantitative comparisons with 15 NSI-SOD and 17 ORSI-SOD methods on three benchmark datasets. The best two results are highlighted in red and green. ↑ means higher value is better, whereas ↓ is the contrary. The subscript denotes the year of publication. For instance, Method 18 means that this method was published in 2018.
From the results, we can see that NSI-SOD methods provide no superiority in all metrics. This is mainly due to the gap between natural images and ORSIs, which have more challenging scenes such as complex backgrounds, low contrast, object scale diversity, irregular topology, and so on. Among the 18 metrics on three datasets in Table 1, our PSP-SAM achieves the 17 best performances and one second-best performance, emerging as the overall best performer.
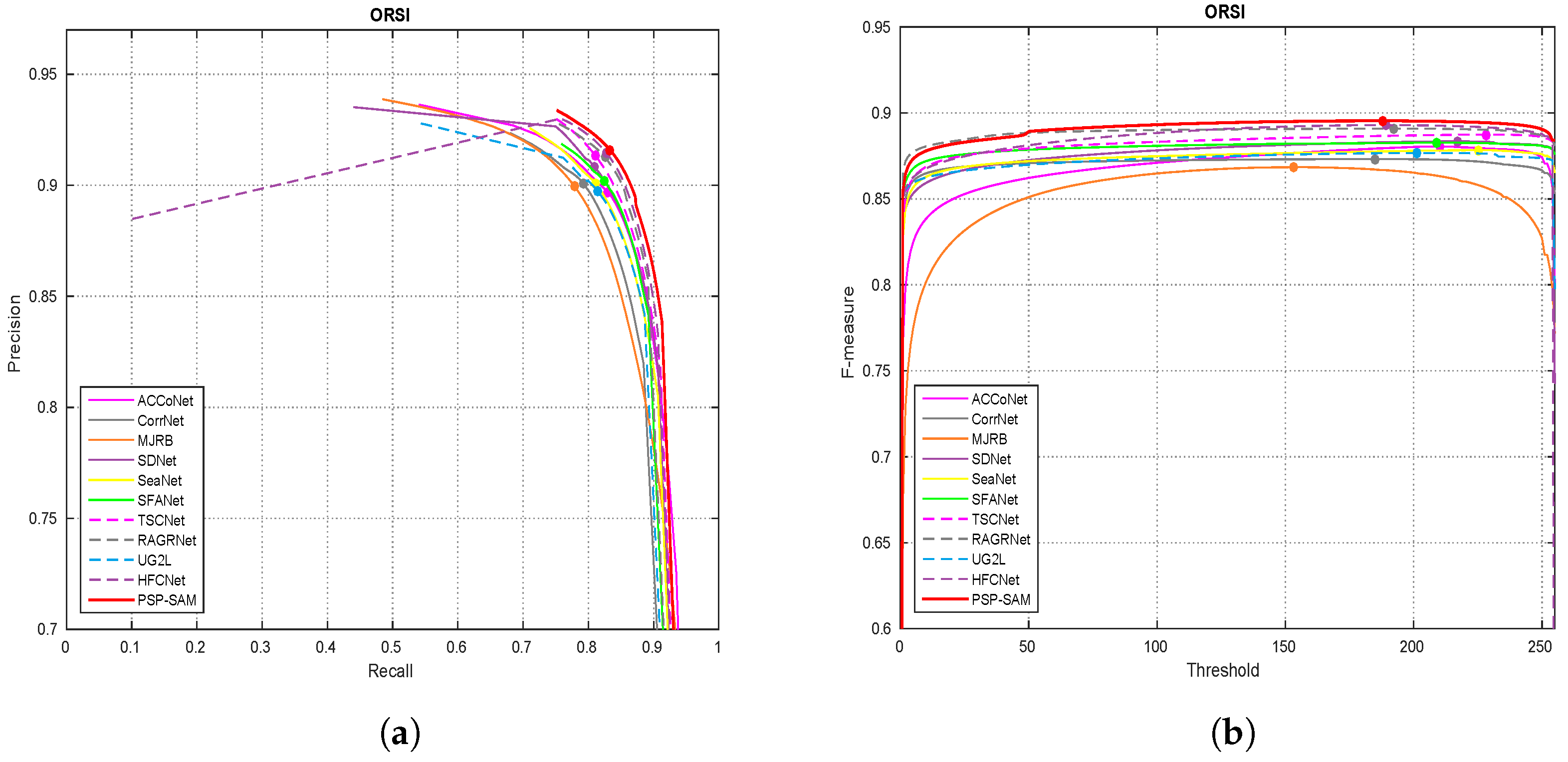
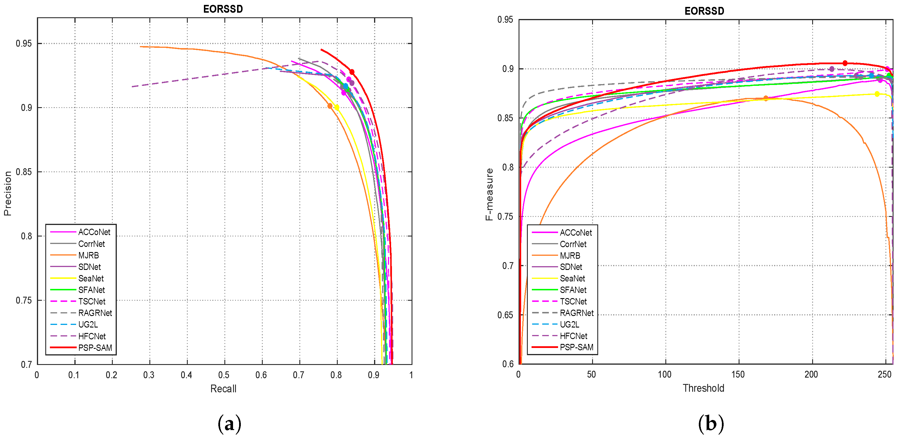
For a comprehensive comparison, we the plot PR curves and F-measure curves of our PSP-SAM and other state-of-the-art methods. In order to make the comparison in figures clearer, only the 10 latest ORSI-SOD methods are selected to be displayed. The results of ORSSD, EORSSD, and ORSI are shown in Figure 6, Figure 7, and Figure 8 respectively. Please zoom in for better clarity. From the results, we can observe that PSP-SAM also consistently outperforms other state-of-the-art methods on the three benchmark datasets, demonstrating the effectiveness of our proposed progressive self-prompting Segment Anything Model.
Figure 6. Comparison of PR curves and F-measure curves of different methods on the ORSSD dataset. (a) PR Curve. (b) F-measure Curve.
Figure 7. Comparison of PR curves and F-measure curves of different methods on the EORSSD dataset. (a) PR Curve. (b) F-measure Curve.
Figure 8. Comparison of PR curves and F-measure curves of different methods on the ORSI dataset. (a) PR Curve. (b) F-measure Curve.

4.4.3. Qualitative Comparison

For qualitative evaluation, we compare the visual results of PSP-SAM and the other 10 representative state-of-the-art ORSI-SOD methods in Figure 9. These instances include several representative and challenging scenes of ORSIs, such as multiple tiny objects, objects with complex backgrounds, irregular geometry structures, and objects with variety.
Figure 9. Visual comparisons with 10 representative state-of-the-art ORSI-SOD methods. Please zoom in for the best view, especially for the scene of multiple tiny objects.
The first scene showcases multiple tiny objects, which are unique to ORSIs. The existing methods are either unable to locate the salient objects accurately or lack spatial details. Owing to the general knowledge learned by SAM and our proposed self-prompting mechanism, our PSP-SAM can effectively model high-level semantics to locate salient objects accurately as well as capture low-level structural details for sharper object boundaries.
The second scene displays objects with complex background, such as distractions or complex textures. Most of the existing methods are affected by interference from the background and wrongly predict backgrounds as salient regions. In contrast, our method can effectively suppress distractions and uniformly highlight the salient object.
For the third scene, salient objects typically exhibit irregular topology, which results in difficulties in accurate edge detection. Compared to other methods, our PSP-SAM can generate relatively clear and accurate object boundaries.
The last scene shows objects with variety. There are inconsistencies within the salient regions. With the exception of our method, none the existing methods can highlight the whole region. This is mainly due to the small number of training samples for this scene. Our method inherits the powerful generalization ability of SAM so as to detect salient objects more completely.

4.5. Ablation Study

In this section, comprehensive ablation experiments are conducted on three benchmark datasets to validate the effectiveness of the proposed modules (i.e., DSPM and PSP-SM). The results of eight metrics are shown in Table 2. The computation complexity and the number of training parameters (i.e., MACs and Params) of models are displayed in Table 3.
Table 2. Ablation study of our proposed method. ↑ means higher value is better, whereas ↓ is the contrary. The best results are shown in bold.
Table 3. Comparison of computational efficiency. MACs and Params denote the number of multiply–accumulate operations and the number of training parameters, respectively. Higher MACs and Params values mean lower computational efficiency. The MACs and Params values for “+DSPM+PSP-DM-w.o. m i d - s u p e r v i s i o n ” are identical to those of “+DSPM+PSP-DM”.
Specifically, for the baseline, we utilize the image encoder of SAM2 [64] as the backbone network and design an FCN [78]-like feature integration as the decoder to predict salient objects (denoted as “baseline”). To keep the general knowledge learned by the large model, we freeze the parameters of the backbone and only train the parameters of the decoder.
Effectiveness of DSPM. Based on the baseline network, we insert the domain-specific prompting module (DSPM) after each transformer block (denoted as “+DSPM”). DSPM incorporates both block-shared and block-specific adapters to learn domain-specific visual prompts while maintaining high computational efficiency. To further assess the effectiveness of DSPM, we design a method where all adapters are unshared (denoted as “+ a l l _ u n s h a r e ”). Additionally, we evaluate the performance of the block-shared adapter by removing the block-specific adapter (denoted as “+DSPM-w.o. t u n e MLP”).
Compared to “baseline”, “+DSPM” demonstrates significant improvements across all metrics, showing that DSPM effectively alleviates the performance degradation problem of SAM caused by the lack of manual prompts, and the learned domain-specific visual prompts enhance SAM’s adaptability in the ORSI-SOD domain. “+ a l l _ u n s h a r e ” performs better due to additional learning parameters, but the improvement is limited relative to the added parameters. To ensure computational efficiency, “+DSPM” is the preferable choice. Block-shared adapters in DSPM are effective, and removing the block-specific adapter leads to performance degradation, which validates the rationality of DSPM.
Effectiveness of PSP-DM. Next, we enhance the baseline network and “+DSPM” by incorporating the progressive self-prompting decoder module (PSP-DM) to generate saliency maps in a coarse-to-fine manner (denoted as “+PSP-DM” and “+DSPM+PSP-DM”, respectively). In addition, to demonstrate the efficacy of the self-prompting mechanism, we generate a single-level mask prompt based on the integrated feature of the baseline network for the mask decoder to output the prediction (denoted as “ + s i n g l e ”). As mentioned in Section 3.5, to make the self-prompting more accurate, the mask prompts generated intermediately are also supervised by ground truth. We remove these middle supervisions (denoted as “+DSPM+PSP-DM-w.o. m i d - s u p e r v i s i o n ”) to measure their impact.
The results indicate that “+PSP-DM” outperforms “baseline”, and “+DSPM+PSP-DM” further improves performance, demonstrating the effectiveness of the PSP-DM. The results of “ + s i n g l e ” indicate the impact of the self-prompting mechanism. Furthermore, the middle supervisions are shown to be beneficial to the performance of our method. In addition, for a more comprehensive comparison, we present the visual results of the intermediate mask prompts (i.e., P 0 P 2 ) and the final saliency map S in Figure 10. This illustrates that the learned mask prompts are meaningful and our method is capable of generating the final prediction in a coarse-to-fine manner.
Figure 10. Visual comparisons for PSP-DM. The generated multi-level mask prompts and the final saliency map are displayed.

4.6. Comparison with the SAM-Based Method

To further evaluate the effectiveness of our PSP-SAM, we compare it with other SAM-based models. The most related method (i.e., SAM2-UNet [86]) is selected for comparison. Table 4 presents the evaluation results. As shown, our PSP-SAM outperforms SAM2-UNet in both performance and computational efficiency. SAM2-UNet also utilizes the image encoder of SAM as the backbone network and designs a U-shape decoder. However, it neglects the importance of prompt engineering. In contrast, our method leverages self-prompting, enabling it to fully exploit the potential of SAM and produce more accurate predictions.
Table 4. Comparison with other SAM-based methods in terms of both performance and computational efficiency. ↑ means higher value is better, whereas ↓ is the contrary.

5. Discussion

Both the quantitative and qualitative comparisons in Section 4.4 indicate that PSP-SAM outperforms other state-of-the-art methods with favorable results. In PSP-SAM, two key modules, DSPM and PSP-DM, are proposed to generate both internal and external prompts, significantly enhancing the network’s performance. Extensive ablation studies in Section 4.5 further validate the efficacy of these modules. DSPM and PSP-DM introduce only a small number of additional parameters to the baseline network but yield impressive improvements in performance. The comparison with other SAM-based methods in Section 4.6 further demonstrates the effectiveness of PSP-SAM. Although PSP-SAM achieves state-of-the-art performance, it does have limitations in specific scenarios. Figure 11 presents the failure cases, where our method confuses the salient region with the background. Similarly, other state-of-the-art methods also struggle with accurately detecting the salient regions in these cases. This is primarily due to insufficient training data and controversial annotations for these specific scenarios in the datasets.
Figure 11. Failure cases of PSP-SAM and other state-of-the-art models.

6. Conclusions

In this paper, we propose a novel network, called PSP-SAM, for salient object detection in optical remote sensing images (ORSI-SOD). Despite SAM’s success in other vision tasks, it suffers from the performance reduction in ORSI-SOD domain due to the absence of manual prompts. To address this issue, PSP-SAM generates both internal and external prompts to enhance SAM’s adaptability to ORSI-SOD. The domain-specific prompting module (DSPM), consisting of block-shared and block-specific adapters, is inserted after every transformer block to learn domain-specific visual prompts within the backbone network. Furthermore, we propose a progressive self-prompting decoder module (PSP-DM), where prompt-guided multi-level feature fusion is performed, and mask prompts are progressively generated outside the backbone to produce the final saliency map. Through PSP-DM, the model effectively captures long-range global context as well as fine-grained spatial details, allowing it to precisely locate salient objects and generate sharper object boundaries. Extensive experimental results on three benchmark datasets demonstrate the effectiveness and state-of-the-art performance of our method.

Author Contributions

X.Z. designed and implemented the entire model architecture and manuscript writing. Y.W. proofread the manuscript. Y.Y. and D.L. provided suggestions and reviewed the manuscript. All authors have read and agreed to the published version of the manuscript.

Funding

This research received no external funding.

Data Availability Statement

The datasets used in this experiment can be accessed at the following address: ORSSD: https://github.com/rmcong/ORSSD-dataset (accessed on 10 December 2024). EORSSD: https://github.com/rmcong/EORSSD-dataset (accessed on 10 December 2024). ORSI-4199: https://pan.baidu.com/s/1ZWVSzFpRjN4BK-c9hL6knQ, password: fy06 (accessed on 10 December 2024).

Conflicts of Interest

The authors declare no conflicts of interest.

References

  1. Zhao, K.; Han, Q.; Zhang, C.; Xu, J.; Cheng, M. Deep hough transform for semantic line detection. IEEE Trans. Pattern Anal. Mach. Intell. 2021, 44, 4793–4806. [Google Scholar] [CrossRef] [PubMed]
  2. Yang, X.; Qian, X.; Xue, Y. Scalable mobile image retrieval by exploring contextual saliency. IEEE Trans. Image Process. 2015, 24, 1709–1721. [Google Scholar] [CrossRef] [PubMed]
  3. Mahadevan, V.; Vasconcelos, N. Biologically inspired object tracking using center-surround saliency mechanisms. IEEE Trans. Pattern Anal. Mach. Intell. 2013, 35, 541–554. [Google Scholar] [CrossRef] [PubMed]
  4. Borji, A.; Frintrop, S.; Sihite, D.N.; Itti, L. Adaptive object tracking by learning background context. In Proceedings of the 2012 IEEE Computer Society Conference on Computer Vision and Pattern Recognition Workshops, Providence, RI, USA, 16–21 June 2012; pp. 23–30. [Google Scholar]
  5. Gu, K.; Wang, S.; Yang, H.; Lin, W.; Zhai, G.; Yang, X.; Zhang, W. Saliency-guided quality assessment of screen content images. IEEE Trans. Multimed. 2016, 18, 1098–1110. [Google Scholar] [CrossRef]
  6. Yang, S.; Jiang, Q.; Lin, W.; Wang, Y. Sgdnet: An end-to-end saliency-guided deep neural network for no-reference image quality assessment. In Proceedings of the 27th ACM International Conference on Multimedia, Nice, France, 21–25 October 2019; pp. 1383–1391. [Google Scholar]
  7. Li, G.; Yu, Y. Visual saliency based on multiscale deep features. In Proceedings of the IEEE Conference on Computer Vision and Pattern Recognition (CVPR), Boston, MA, USA, 7–12 June 2015; pp. 5455–5463. [Google Scholar]
  8. Wang, L.; Lu, H.; Ruan, X.; Yang, M.H. Deep networks for saliency detection via local estimation and global search. In Proceedings of the IEEE Conference on Computer Vision and Pattern Recognition (CVPR), Boston, MA, USA, 7–12 June 2015; pp. 3183–3192. [Google Scholar]
  9. Zhao, R.; Ouyang, W.; Li, H.; Wang, X. Saliency detection by multi-context deep learning. In Proceedings of the IEEE Conference on Computer Vision and Pattern Recognition (CVPR), Boston, MA, USA, 7–12 June 2015; pp. 1265–1274. [Google Scholar]
  10. Liu, N.; Han, J. Dhsnet: Deep hierarchical saliency network for salient object detection. In Proceedings of the IEEE Conference on Computer Vision and Pattern Recognition (CVPR), Las Vegas, NV, USA, 27–30 June 2016; pp. 678–686. [Google Scholar]
  11. Hou, Q.; Cheng, M.M.; Hu, X.; Borji, A.; Tu, Z.; Torr, P.H. Deeply supervised salient object detection with short connections. In Proceedings of the IEEE Conference on Computer Vision and Pattern Recognition (CVPR), Honolulu, HI, USA, 21–26 July 2017; pp. 3203–3212. [Google Scholar]
  12. Zhang, P.; Wang, D.; Lu, H.; Ruan, X. Amulet: Aggregating Multi-level Convolutional Features for Salient Object Detection. In Proceedings of the IEEE International Conference on Computer Vision (ICCV), Venice, Italy, 22–29 October 2017; pp. 202–211. [Google Scholar]
  13. Zhang, X.; Wang, T.; Qi, J.; Lu, H.; Wang, G. Progressive attention guided recurrent network for salient object detection. In Proceedings of the IEEE Conference on Computer Vision and Pattern Recognition (CVPR), Salt Lake City, UT, USA, 18–23 June 2018; pp. 714–722. [Google Scholar]
  14. Liu, N.; Han, J.; Yang, M.H. Picanet: Learning pixel-wise contextual attention for saliency detection. In Proceedings of the IEEE Conference on Computer Vision and Pattern Recognition (CVPR), Salt Lake City, UT, USA, 18–23 June 2018; pp. 3089–3098. [Google Scholar]
  15. Deng, Z.; Hu, X.; Zhu, L.; Xu, X.; Qin, J.; Han, G.; Heng, P.-A. R3net: Recurrent residual refinement network for saliency detection. In Proceedings of the 27th International Joint Conference on Artificial Intelligence, Stockholm, Sweden, 13–19 July 2018; pp. 684–690. [Google Scholar]
  16. Liu, J.J.; Hou, Q.; Cheng, M.M.; Feng, J.; Jiang, J. A simple pooling-based design for real-time salient object detection. In Proceedings of the IEEE/CVF Conference on Computer Vision and Pattern Recognition, Long Beach, CA, USA, 15–20 June 2019; pp. 3917–3926. [Google Scholar]
  17. Wu, Z.; Su, L.; Huang, Q. Cascaded partial decoder for fast and accurate salient object detection. In Proceedings of the IEEE Conference on Computer Vision and Pattern Recognition (CVPR), Long Beach, CA, USA, 15–20 June 2019; pp. 3907–3916. [Google Scholar]
  18. Wang, W.; Zhao, S.; Shen, J.; Hoi, S.C.; Borji, A. Salient object detection with pyramid attention and salient edges. In Proceedings of the IEEE/CVF Conference on Computer Vision and Pattern Recognition (CVPR), Long Beach, CA, USA, 15–20 June 2019; pp. 1448–1457. [Google Scholar]
  19. Wang, W.; Shen, J.; Cheng, M.-M.; Shao, L. An iterative and cooperative top-down and bottom-up inference network for salient object detection. In Proceedings of the IEEE/CVF Conference on Computer Vision and Pattern Recognition (CVPR), Long Beach, CA, USA, 15–20 June 2019; pp. 5968–5977. [Google Scholar]
  20. Qin, X.; Zhang, Z.; Huang, C.; Gao, C.; Dehghan, M.; Jagersand, M. Basnet: Boundary-aware salient object detection. In Proceedings of the IEEE Conference on Computer Vision and Pattern Recognition (CVPR), Long Beach, CA, USA, 15–20 June 2019; pp. 7479–7489. [Google Scholar]
  21. Zhao, J.; Liu, J.; Fan, D.; Cao, Y.; Yang, J.; Cheng, M. Egnet:edge guidance network for salient object detection. In Proceedings of the IEEE Conference on Computer Vision and Pattern Recognition (CVPR), Seoul, Republic of Korea, 27 October–2 November 2019; pp. 8779–8788. [Google Scholar]
  22. Wei, J.; Wang, S.; Huang, Q. F3net: Fusion, feedback and focus for salient object detection. In Proceedings of the AAAI Conference on Artificial Intelligence, New York, NY, USA, 7–12 February 2020; Volume 34, pp. 12321–12328. [Google Scholar]
  23. Pang, Y.; Zhao, X.; Zhang, L.; Lu, H. Multi-scale interactive network for salient object detection. In Proceedings of the IEEE Conference on Computer Vision and Pattern Recognition (CVPR), Seattle, WA, USA, 13–19 June 2020; pp. 9413–9422. [Google Scholar]
  24. Chen, S.; Tan, X.; Wang, B.; Lu, H.; Hu, X.; Fu, Y. Reverse attention-based residual network for salient object detection. IEEE Trans. Image Process. 2020, 29, 3763–3776. [Google Scholar] [CrossRef]
  25. Tu, Z.; Ma, Y.; Li, C.; Tang, J.; Luo, B. Edge-guided non-local fully convolutional network for salient object detection. IEEE Trans. Circuits Syst. Video Technol. 2021, 31, 582–593. [Google Scholar] [CrossRef]
  26. Liu, N.; Zhang, N.; Wan, K.; Shao, L.; Han, J. Visual saliency transformer. In Proceedings of the IEEE/CVF International Conference on Computer Vision (ICCV), Montreal, QC, Canada, 10–17 October 2021; pp. 4702–4712. [Google Scholar]
  27. Liu, Y.; Zhang, X.Y.; Bian, J.W.; Zhang, L.; Cheng, M.M. SAMNet: Stereoscopically attentive multi-scale network for lightweight salient object detection. IEEE Trans. Image Process. 2021, 30, 3804–3814. [Google Scholar] [CrossRef]
  28. Xu, B.; Liang, H.; Liang, R.; Chen, P. Locate globally, segment locally: A progressive architecture with knowledge review network for salient object detection. Proc. Aaai Conf. Artif. Intell. 2021, 35, 3004–3012. [Google Scholar] [CrossRef]
  29. Li, J.; Pan, Z.; Liu, Q.; Wang, Z. Stacked U-shape network with channel-wise attention for salient object detection. IEEE Trans. Multimed. 2021, 23, 1397–1409. [Google Scholar] [CrossRef]
  30. Zhang, M.; Liu, T.; Piao, Y.; Yao, S.; Lu, H. Auto-msfnet: Search multi-scale fusion network for salient object detection. In Proceedings of the 29th ACM International Conference on Multimedia, Chengdu, China, 20–24 October 2021; pp. 667–676. [Google Scholar]
  31. Zhang, Q.; Duanmu, M.; Luo, Y.; Liu, Y.; Han, J. Engaging part-whole hierarchies and contrast cues for salient object detection. IEEE Trans. Circuits Syst. Video Technol. 2022, 32, 3644–3658. [Google Scholar] [CrossRef]
  32. Mei, H.; Liu, Y.; Wei, Z.; Zhou, D.; Wei, X.; Zhang, Q.; Yang, X. Exploring dense context for salient object detection. IEEE Trans. Circuits Syst. Video Technol. 2022, 32, 1378–1389. [Google Scholar] [CrossRef]
  33. Liu, Y.; Zhang, D.; Liu, N.; Xu, S.; Han, J. Disentangled capsule routing for fast part-object relational saliency. IEEE Trans. Image Process. 2022, 31, 6719–6732. [Google Scholar] [CrossRef] [PubMed]
  34. Fang, C.; Tian, H.; Zhang, D.; Zhang, Q.; Han, J.; Han, J. Densely nested top-down flows for salient object detection. Sci. China Inf. Sci. 2022, 65, 182103. [Google Scholar] [CrossRef]
  35. Zhuge, M.; Fan, D.; Liu, N.; Zhang, D.; Xu, D.; Shao, L. Salient object detection via integrity learning. IEEE Trans. Pattern Anal. Mach. Intell. 2023, 45, 3738–3752. [Google Scholar] [CrossRef]
  36. Li, C.; Cong, R.; Hou, J.; Zhang, S.; Qian, Y.; Kwong, S. Nested network with two-stream pyramid for salient object detection in optical remote sensing images. IEEE Trans. Geosci. Remote Sens. 2019, 57, 9156–9166. [Google Scholar] [CrossRef]
  37. Li, C.; Cong, R.; Guo, C.; Li, H.; Zhang, C.; Zheng, F.; Zhao, Y. A parallel down-up fusion network for salient object detection in optical remote sensing images. Neurocomputing 2020, 415, 411–420. [Google Scholar] [CrossRef]
  38. Zhang, Q.; Cong, R.; Li, C.; Cheng, M.; Fang, Y.; Cao, X.; Zhao, Y.; Kwong, S. Dense attention fluid network for salient object detection in optical remote sensing images. IEEE Trans. Image Process. 2021, 30, 1305–1317. [Google Scholar] [CrossRef]
  39. Huang, Z.; Chen, H.; Liu, B.; Wang, Z. Semantic-guided attention refinement network for salient object detection in optical remote sensing images. Remote Sens. 2021, 13, 2163. [Google Scholar] [CrossRef]
  40. Li, G.; Li, Z.; Bai, Z.; Lin, W.; Ling, H. Lightweight salient object detection in optical remote sensing images via feature correlation. IEEE Trans. Geosci. Remote Sens. 2022, 60, 5617712. [Google Scholar] [CrossRef]
  41. Li, G.; Liu, Z.; Lin, W.; Ling, H. Multi-content complementation network for salient object detection in optical remote sensing images. IEEE Trans. Geosci. Remote Sens. 2022, 60, 5614513. [Google Scholar] [CrossRef]
  42. Zhou, X.; Shen, K.; Liu, Z.; Gong, C.; Zhang, J.; Yan, C. Edge-aware multiscale feature integration network for salient object detection in optical remote sensing images. IEEE Trans. Geosci. Remote Sens. 2022, 60, 5605315. [Google Scholar] [CrossRef]
  43. Tu, Z.; Wang, C.; Li, C.; Fan, M.; Zhao, H.; Luo, B. Orsi salient object detection via multiscale joint region and boundary model. IEEE Trans. Geosci. Remote Sens. 2022, 60, 5607913. [Google Scholar] [CrossRef]
  44. Wang, Q.; Liu, Y.; Xiong, Z.; Yuan, Y. Hybrid feature aligned network for salient object detection in optical remote sensing imagery. IEEE Trans. Geosci. Remote Sens. 2022, 60, 5624915. [Google Scholar] [CrossRef]
  45. Li, G.; Liu, Z.; Zeng, D.; Lin, W.; Ling, H. Adjacent context coordination network for salient object detection in optical remote sensing images. IEEE Trans. Cybern. 2023, 53, 526–538. [Google Scholar] [CrossRef] [PubMed]
  46. Zhou, X.; Shen, K.; Weng, L.; Cong, R.; Zheng, B.; Zhang, J.; Yan, C. Edge-guided recurrent positioning network for salient object detection in optical remote sensing images. IEEE Trans. Cybern. 2023, 53, 539–552. [Google Scholar] [CrossRef]
  47. Li, G.; Liu, Z.; Zhang, X.; Lin, W. Lightweight salient object detection in optical remote-sensing images via semantic matching and edge alignment. IEEE Trans. Geosci. Remote Sens. 2023, 61, 5601111. [Google Scholar] [CrossRef]
  48. Li, G.; Bai, Z.; Liu, Z.; Zhang, X.; Ling, H. Salient object detection in optical remote sensing images driven by transformer. IEEE Trans. Image Process. 2023, 32, 5257–5269. [Google Scholar] [CrossRef]
  49. Liu, Y.; Xiong, Z.; Yuan, Y.; Wang, Q. Transcending pixels: Boosting saliency detection via scene understanding from aerial imagery. IEEE Trans. Geosci. Remote Sens. 2023, 61, 5616416. [Google Scholar] [CrossRef]
  50. Liu, Y.; Yuan, Y.; Wang, Q. Uncertainty-aware graph reasoning with global collaborative learning for remote sensing salient object detection. IEEE Geosci. Remote Sens. Letters. 2023, 20, 6008105. [Google Scholar] [CrossRef]
  51. Quan, Y.; Xu, H.; Wang, R.; Guan, Q.; Zheng, J. Orsi salient object detection via progressive semantic flow and uncertainty-aware refinement. IEEE Trans. Geosci. Remote Sens. 2024, 62, 5608013. [Google Scholar] [CrossRef]
  52. Zhao, J.; Jia, Y.; Ma, L.; Yu, L. Recurrent adaptive graph reasoning network with region and boundary interaction for salient object detection in optical remote sensing images. IEEE Trans. Geosci. Remote Sens. 2024, 62, 5630720. [Google Scholar] [CrossRef]
  53. Li, J.; Li, C.; Zheng, X.; Liu, X.; Tang, C. Global context relation-guided feature aggregation network for salient object detection in optical remote sensing images. Remote Sens. 2024, 16, 2978. [Google Scholar] [CrossRef]
  54. Huo, L.; Hou, J.; Feng, J.; Wang, W.; Liu, J. Global and Multiscale Aggregate Network for Saliency Object Detectionin Optical Remote Sensing Images. Remote Sens. 2024, 16, 624. [Google Scholar] [CrossRef]
  55. Sun, Y.; Yang, J.; Luo, L. United domain cognition network for salient object detection in optical remote sensing images. IEEE Trans. Geosci. Remote Sens. 2024, 62, 5650114. [Google Scholar] [CrossRef]
  56. Liu, Y.; Xu, M.; Xiao, T.; Tang, H.; Hu, Y.; Nie, L. Heterogeneous feature collaboration network for salient object detection in optical remote sensing images. IEEE Trans. Geosci. Remote Sens. 2024, 62, 5635114. [Google Scholar] [CrossRef]
  57. Li, G.; Bai, Z.; Liu, Z. Texture-semantic collaboration network for orsi salient object detection. IEEE Trans. Circuits Syst. II Express Briefs 2024, 71, 2464–2468. [Google Scholar] [CrossRef]
  58. Simonyan, K.; Zisserman, A. Very deep convolutional networks for large-scale image recognition. In Proceedings of the International Conference on Learning Representations, San Diego, CA, USA, 7–9 May 2015; pp. 1–14. [Google Scholar]
  59. He, K.; Zhang, X.; Ren, S.; Sun, J. Deep residual learning for image recognition. In Proceedings of the IEEE Conference on Computer Vision and Pattern Recognition (CVPR), Las Vegas, NV, USA, 27–30 June 2016; pp. 770–778. [Google Scholar]
  60. Gao, S.H.; Cheng, M.M.; Zhao, K.; Zhang, X.Y.; Yang, M.H.; Torr, P. Res2Net: A New Multi-Scale Backbone Architecture. IEEE Trans. Pattern Anal. Mach. Intell. 2021, 43, 652–662. [Google Scholar] [CrossRef]
  61. Wang, W.; Xie, E.; Li, X.; Fan, D.P.; Song, K.; Liang, D.; Lu, T.; Luo, P.; Shao, L. PVT v2: Improved baselines with Pyramid Vision Transformer. Comput. Vis. Media. 2022, 8, 415–424. [Google Scholar] [CrossRef]
  62. Liu, Z.; Lin, Y.; Cao, Y.; Hu, H.; Wei, Y.; Zhang, Z.; Lin, S.; Guo, B. Swin transformer: Hierarchical vision transformer using shifted windows. In Proceedings of the International Conference on Computer Vision, Montreal, QC, Canada, 10–17 October 2021; pp. 9992–10002. [Google Scholar]
  63. Kirillov, A.; Mintun, E.; Ravi, N.; Mao, H.; Rolland, C.; Gustafson, L.; Xiao, T.; Whitehead, S.; Berg, A.C.; Lo, W.Y.; et al. Segment anything. In Proceedings of the International Conference on Computer Vision, Paris, France, 1–6 October 2023; pp. 3992–4003. [Google Scholar]
  64. Ravi, N.; Gabeur, V.; Hu, Y.T.; Hu, R.; Ryali, C.; Ma, T.; Khedr, H.; Rädle, R.; Rolland, C.; Gustafson, L.; et al. SAM 2: Segment Anything in Images and Videos. arXiv 2024, arXiv:2408.00714. [Google Scholar]
  65. Houlsby, N.; Giurgiu, A.; Jastrzebski, S.; Morrone, B.; De Laroussilhe, Q.; Gesmundo, A.; Attariyan, M.; Gelly, S. Parameter-Efficient Transfer Learning for NLP. In Proceedings of the 36th International Conference on Machine Learning, Long Beach, CA, USA, 9–15 June 2019; pp. 2790–2799. [Google Scholar]
  66. Jia, M.; Tang, L.; Chen, B.C.; Cardie, C.; Belongie, S.; Hariharan, B.; Lim, S.-N. Visual prompt tuning. In Proceedings of the European Conference on Computer Vision, Tel-Aviv, Israel, 23–27 October 2022; pp. 709–727. [Google Scholar]
  67. Itti, L.; Koch, C.; Niebur, E. A model of saliency-based visual attention for rapid scene analysis. IEEE Trans. Pattern Anal. Mach. Intell. 1998, 20, 1254–1259. [Google Scholar] [CrossRef]
  68. Achanta, R.; Hemami, S.; Estrada, F.; Susstrunk, S. Frequency-tuned salient region detection. In Proceedings of the 2009 IEEE Conference on Computer Vision and Pattern Recognition (CVPR), Miami, FL, USA, 20–25 June 2009; pp. 1597–1604. [Google Scholar]
  69. Cheng, M.M.; Mitra, N.J.; Huang, X.; Torr, P.H.; Hu, S.M. Global contrast based salient region detection. IEEE Trans. Pattern Anal. Mach. Intell. 2014, 37, 569–582. [Google Scholar] [CrossRef] [PubMed]
  70. Perazzi, F.; Krahenbuhl, P.; Pritch, Y.; Hornung, A. Saliency filters: Contrast based filtering for salient region detection. In Proceedings of the IEEE Conference on Computer Vision and Pattern Recognition (CVPR), Providence, RI, USA, 16–21 June 2012; pp. 733–740. [Google Scholar]
  71. Yang, C.; Zhang, L.; Lu, H.; Ruan, X.; Yang, M.H. Saliency detection via graph-based manifold ranking. In Proceedings of the IEEE Conference on Computer Vision and Pattern Recognition (CVPR), Portland, OR, USA, 23–28 June 2013; pp. 3166–3173. [Google Scholar]
  72. Chen, S.; Zheng, L.; Hu, X.; Zhou, P. Discriminative saliency propagation with sink points. Pattern Recognit. 2016, 60, 2–12. [Google Scholar] [CrossRef]
  73. Qin, Y.; Lu, H.; Xu, Y.; Wang, H. Saliency detection via Cellular Automata. In Proceedings of the IEEE Conference on Computer Vision and Pattern Recognition (CVPR), Boston, MA, USA, 7–12 June 2015; pp. 110–119. [Google Scholar]
  74. Liu, T.; Yuan, Z.; Sun, J.; Wang, J.; Zheng, N.N.; Tang, X.; Shum, H.-Y. Learning to detect a salient object. IEEE Trans. Pattern Anal. Mach. Intell. 2011, 33, 353–367. [Google Scholar] [PubMed]
  75. Jiang, H.; Wang, J.; Yuan, Z.; Wu, Y.; Zheng, N.N.; Li, S. Salient Object Detection: A Discriminative Regional Feature Integration Approach. In Proceedings of the IEEE Conference on Computer Vision and Pattern Recognition (CVPR), Portland, OR, USA, 23–28 June 2013; pp. 2083–2090. [Google Scholar]
  76. Tong, N.; Lu, H.; Ruan, X.; Yang, M.H. Salient object detection via bootstrap learning. In Proceedings of the IEEE Conference on Computer Vision and Pattern Recognition (CVPR), Boston, MA, USA, 7–12 June 2015; pp. 1884–1892. [Google Scholar]
  77. Lu, H.; Zhang, X.; Tong, N.; Ruan, X.; Yang, M.H. Co-Bootstrapping Saliency. IEEE Trans. Image Process. 2017, 26, 414–425. [Google Scholar] [CrossRef]
  78. Long, J.; Shelhamer, E.; Darrell, T. Fully convolutional networks for semantic segmentation. In Proceedings of the IEEE Conference on Computer Vision and Pattern Recognition (CVPR), Boston, MA, USA, 7–12 June 2015; pp. 3431–3440. [Google Scholar]
  79. Zhao, D.; Wang, J.; Shi, J.; Jiang, Z.G. Sparsity-guided saliency detection for remote sensing images. J. Appl. Remote Sens. 2015, 33, 10163214. [Google Scholar] [CrossRef]
  80. Zhang, L.; Liu, Y.; Zhang, J. Saliency detection based on self-adaptive multiple feature fusion for remote sensing images. Int. J. Remote Sens. 2019, 40, 8270–8297. [Google Scholar] [CrossRef]
  81. Wang, Y.; Chen, H.; Zhang, Y.; Li, G.; Gao, T. Joint Space–Frequency for Saliency Detection in Optical Remote Sensing Images. IEEE Geosci. Remote Sens. Lett. 2022, 19, 6517105. [Google Scholar] [CrossRef]
  82. Liu, Z.; Zhao, D.; Shi, Z.; Jiang, Z. Unsupervised Saliency Model with Color Markov Chain for Oil Tank Detection. Remote Sens. 2019, 11, 1089. [Google Scholar] [CrossRef]
  83. Li, Y.; Hu, M.; Yang, X. Polyp-sam: Transfer sam for polyp segmentation. In Proceedings of the Medical Imaging 2024: Computer-Aided Diagnosis, San Diego, CA, USA, 3 April 2024; pp. 759–765. [Google Scholar]
  84. Li, H.; Zhang, D.; Yao, J.; Han, L.; Li, Z.; Han, J. ASPS: Augmented Segment Anything Model for Polyp Segmentation. In Proceedings of the Medical Image Computing and Computer Assisted Intervention (MICCAI), Marrakesh, Morocco, 6–10 October 2024; pp. 118–128. [Google Scholar]
  85. Chen, T.; Zhu, L.; Deng, C.; Cao, R.; Wang, Y.; Zhang, S.; Li, Z. SAM-Adapter: Adapting Segment Anything in Underperformed Scenes. In Proceedings of the IEEE/CVF International Conference on Computer Vision (ICCV) Workshops, Paris, France, 2–6 October 2023; pp. 3367–3375. [Google Scholar]
  86. Xiong, X.; Wu, Z.; Tan, S.; Li, W.; Tang, F.; Chen, Y.; Li, S.; Ma, J.; Li, G. SAM2-UNet: Segment Anything 2 Makes Strong Encoder for Natural and Medical Image Segmentation. arXiv 2024, arXiv:2408.08870. [Google Scholar]
  87. Huang, D.; Xiong, X.; Ma, J.; Li, J.; Jie, Z.; Ma, L.; Li, G. AlignSAM: Aligning Segment Anything Model to Open Context via Reinforcement Learning. In Proceedings of the IEEE/CVF Conference on Computer Vision and Pattern Recognition (CVPR), Seattle, WA, USA, 17–21 June 2024; pp. 3205–3215. [Google Scholar]
  88. Ryali, C.; Hu, Y.T.; Bolya, D.; Wei, C.; Fan, H.; Huang, P.Y.; Aggarwal, V.; Chowdhury, A.; Poursaeed, O.; Hoffman, J.; et al. Hiera: A hierarchical vision transformer without the bells-and-whistles. In Proceedings of the 40th International Conference on Machine Learning (ICML), Honolulu, HI, USA, 23–29 July 2023; pp. 29441–29454. [Google Scholar]
  89. Boer, P.-T.D.; Kroese, D.P.; Mannor, S.; Rubinstein, R.Y. A tutorial on the cross-entropy method. Ann. Oper. Res. 2005, 134, 19–67. [Google Scholar] [CrossRef]
  90. Yu, J.; Jiang, Y.; Wang, Z.; Cao, Z.; Huang, T. Unitbox: An advanced object detection network. In Proceedings of the 24th ACM International Conference on Multimedia, Amsterdam, The Netherlands, 15–19 October 2016; pp. 516–520. [Google Scholar]
Disclaimer/Publisher’s Note: The statements, opinions and data contained in all publications are solely those of the individual author(s) and contributor(s) and not of MDPI and/or the editor(s). MDPI and/or the editor(s) disclaim responsibility for any injury to people or property resulting from any ideas, methods, instructions or products referred to in the content.

Article Metrics

Citations

Article Access Statistics

Multiple requests from the same IP address are counted as one view.