A Spatiotemporal Enhanced SMAP Freeze/Thaw Product (1980–2020) over China and Its Preliminary Analyses
Abstract
1. Introduction
2. Materials
2.1. Study Area and In Situ Observations
2.2. Data
2.2.1. Target Datasets for ConvLSTM
2.2.2. Predictor Datasets for ConvLSTM
2.2.3. Auxiliary Datasets
3. Methods
3.1. Convolutional Long Short-Term Memory Model Based on the Decision Level
3.2. Validation Method
3.2.1. Direct Validation
3.2.2. Indirect Validation
4. Results
4.1. The Temporal and Spatial Distribution of CovLSTM_FT
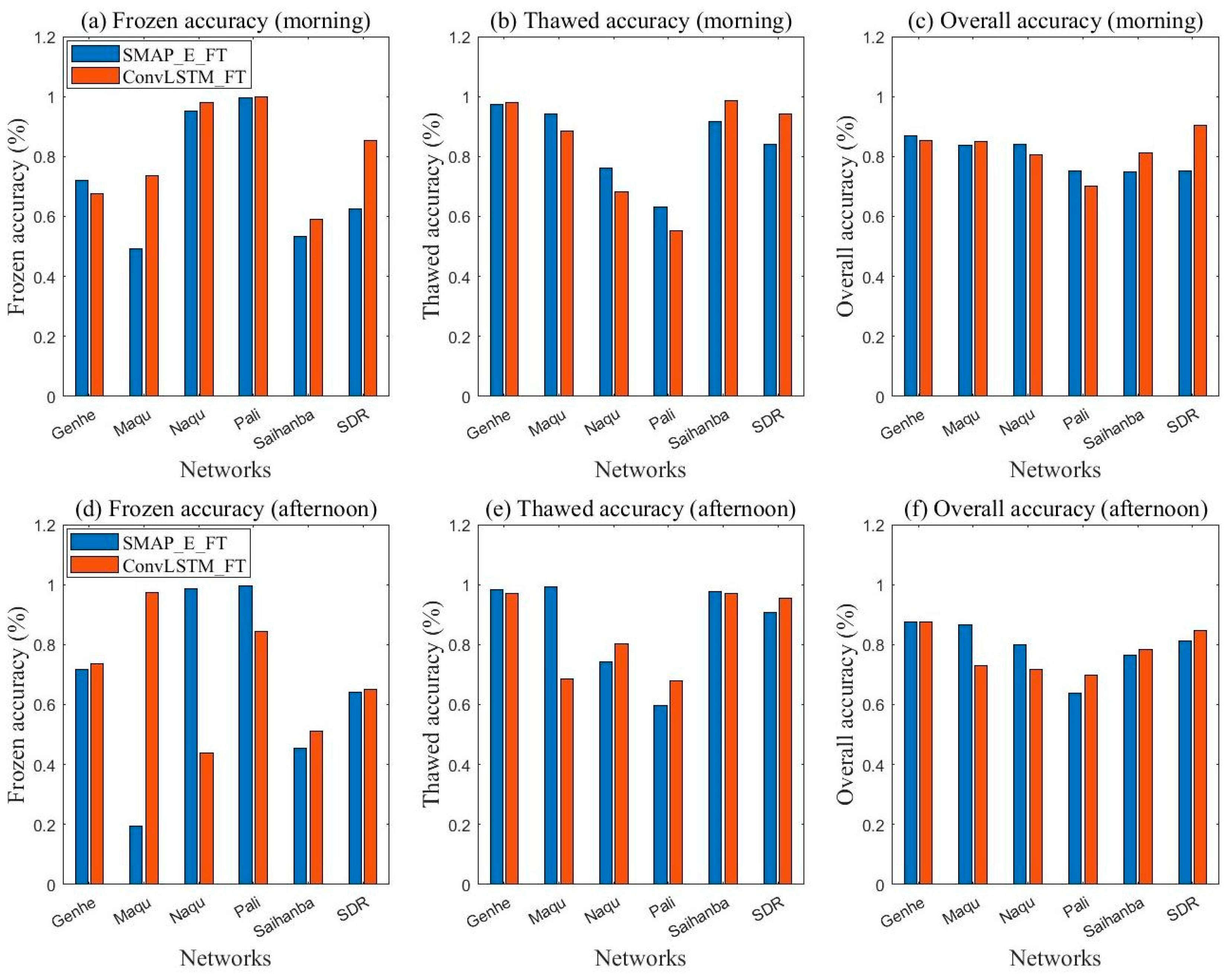
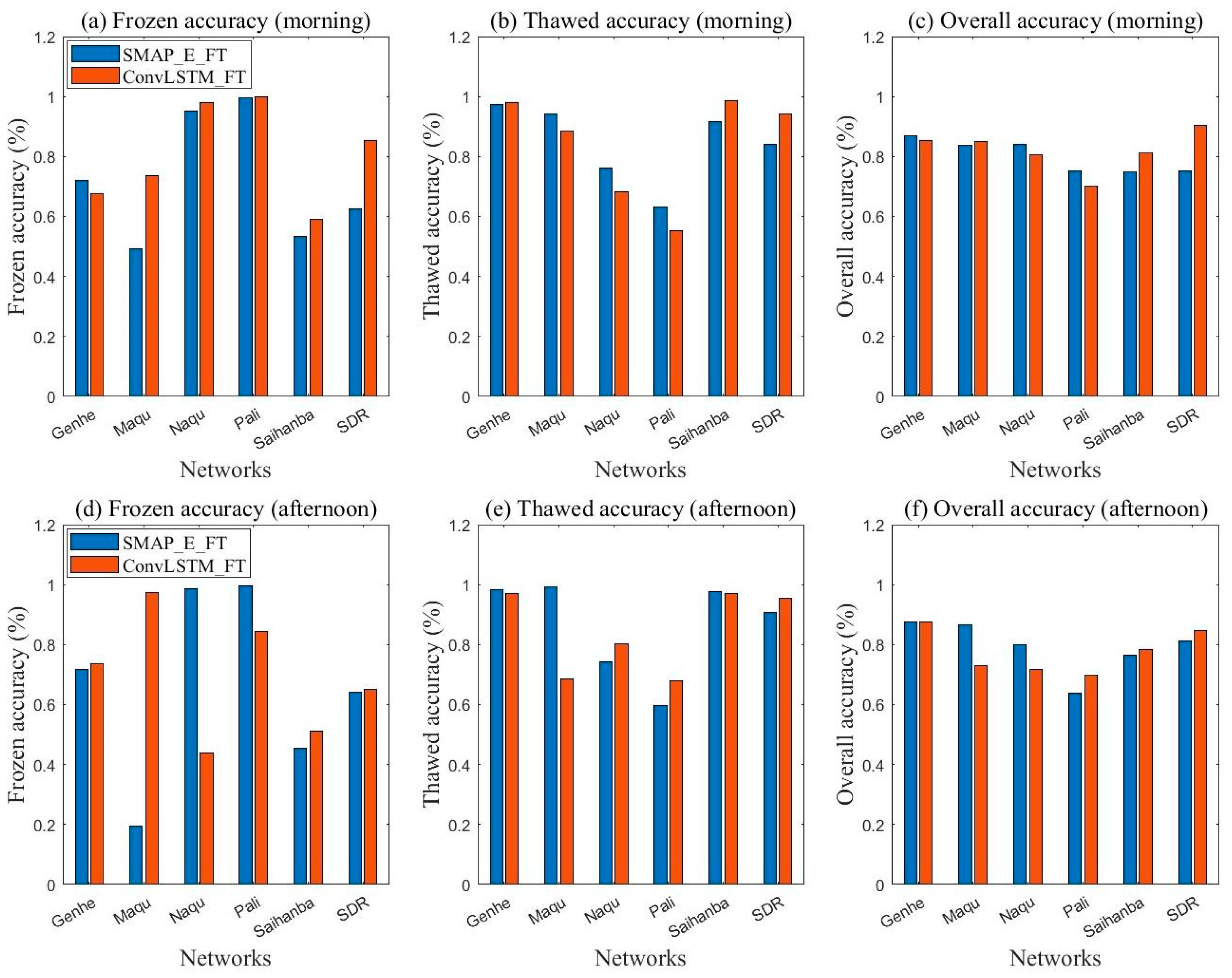
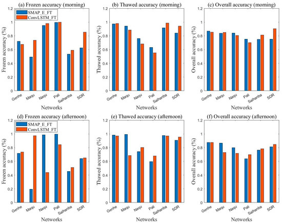
4.2. Direct Validation
4.3. Indirect Validation
5. Discussion
5.1. Analysis of ConvLSTM_FT’s Performances Based on CTC-Derived Result
5.2. Soil Freeze/Thaw Trend in the ConvLSTM_FT over 1980–2020
| Region | SFG | Permafrost | Slope (d/a) | |
|---|---|---|---|---|
| Area Percent | Thermal Stability | Area Percent | ||
| Northwest | 43.04% | / | 56.96% | −0.32 |
| North | 97.00% | / | 2.00% | −0.29 |
| Qinghai–Tibet | 41.60% | / | 47.92% | −0.06 |
| Within Qinghai–Tibet | / | Very stable | 0.36% | −0.31 |
| Stable | 4.01% | −0.22 | ||
| Semi-stable | 16.02% | −0.11 | ||
| Transitional | 17.62% | −0.09 | ||
| Unstable | 9.92% | −0.05 | ||
| 41.60% | / | / | −0.02 | |
6. Conclusions
- (1)
- The ConvLSTM model can capture spatiotemporal information effectively, and the introduction of decision-level fusion can further improve the prediction accuracy of ConvLSTM. Therefore, the decision-level spatiotemporal fusion architecture based on the ConvLSTM model is an effective method worth trying in the research of data fusion, time series extension, and classification accuracy improvement.
- (2)
- As a temporal expanding product of SMAP_E_FT, ConvLSTM_FT overall outperforms SMAP_E_FT. Direct verification results show that the overall classification accuracy of ConvLSTM_FT has an improvement of 2.44% relative to SMAP_E_FT, especially in frozen seasons (improved by an average of 7.03%). Indirect verification results show that ConvLSTM_FT is more stable than ERA5_FT and Meterology_FT, ranking second in the accuracy of FT soil identification regardless of land cover types, climate types, and terrain complexity.
- (3)
- The analysis result of the classification accuracy of ConvLSTM_FT from 1980 to 2020 shows that the annual frozen days and their changes are reasonable in the northwest, north, and Qinghai–Tibet regions of China. Especially in the Qinghai–Tibet region, with the decrease in permafrost thermal stability, the rate of frozen soil degradation slows down. These results are reasonable and can effectively reflect the impact of climate change on frozen soils in the past 41 years.
Author Contributions
Funding
Data Availability Statement
Conflicts of Interest
References
- Zhang, T.; Armstrong, R.L.; Smith, J. Investigation of the near-surface soil freeze-thaw cycle in the contiguous United States: Algorithm development and validation. J. Geophys. Res. Atmos. 2003, 108, 8860. [Google Scholar] [CrossRef]
- Zhang, T.J.; Barry, R.; Armstrong, R. Application of Satellite Remote Sensing Techniques to Frozen Ground Studies. Polar Geogr. 2004, 28, 24–55. [Google Scholar] [CrossRef]
- Nelson, F.E.; Anisimov, O.A.; Shiklomanov, N.I. Climate change and hazard zonation in the circum-Arctic permafrost regions. Nat. Hazards 2002, 26, 203–225. [Google Scholar] [CrossRef]
- Jin, R.; Zhang, T.; Li, X.; Yang, X.; Ran, Y. Mapping surface soil freeze-thaw cycles in China based on SMMR and SSM/I brightness temperatures from 1978 to 2008. Arct. Antarct. Alp. Res 2015, 47, 213–229. [Google Scholar] [CrossRef]
- Johnston, J.; Maggioni, V.; Houser, P. Comparing global passive microwave freeze/thaw records: Investigating differences between Ka- and L-band products. Remote Sens. Environ. 2020, 247, 111936. [Google Scholar] [CrossRef]
- Wang, J.; Jiang, L.; Cui, H.; Wang, G.; Yang, J.; Liu, X.; Su, X. Evaluation and analysis of SMAP, AMSR2 and MEaSUREs freeze/thaw products in China. Remote Sens. Environ. 2020, 242, 111734. [Google Scholar] [CrossRef]
- Schuur, E.A.G.; McGuire, A.D.; Schädel, C.; Grosse, G.; Harden, J.W.; Hayes, D.J.; Hugelius, G.; Koven, C.D.; Kuhry, P.; Lawrence, D.M.; et al. Climate change and the permafrost carbon feedback. Nature 2015, 520, 171–179. [Google Scholar] [CrossRef] [PubMed]
- Peng, X.; Frauenfeld, O.W.; Cao, B.; Wang, K.; Wang, H.; Su, H.; Huang, Z.; Yue, D.; Zhang, T. Response of changes in seasonal soil freeze/thaw state to climate change from 1950 to 2010 across China. J. Geophys. Res. Earth Surf. 2016, 121, 1984–2000. [Google Scholar] [CrossRef]
- Mu, C.; Zhang, T.; Wu, Q.; Peng, X.; Cao, B.; Zhang, X.; Cao, B.; Cheng, G. Editorial: Organic carbon pools in permafrost regions on the Qinghai-Xizang (Tibetan) Plateau. Cryosphere 2015, 9, 479–486. [Google Scholar] [CrossRef]
- Tarnocai, C.; Canadell, J.G.; Schuur, E.A.G.; Kuhry, P.; Mazhitova, G.; Zimov, S. Soil organic carbon pools in the northern circumpolar permafrost region. Glob. Biogeochem. Cycles 2009, 23, GB2023. [Google Scholar] [CrossRef]
- Philipp, M.; Dietz, A.; Buchelt, S.; Kuenzer, C. Trends in Satellite Earth Observation for Permafrost Related Analyses—A Review. Remote Sens. 2021, 13, 1217. [Google Scholar] [CrossRef]
- Qin, S.; Kou, D.; Mao, C.; Chen, Y.; Chen, L.; Yang, Y. Temperature sensitivity of permafrost carbon release mediated by mineral and microbial properties. Sci. Adv. 2021, 7, eabe3596. [Google Scholar] [CrossRef] [PubMed]
- Cao, W.; Cao, Y.; Sheng, Y.; Chou, Y.; Wu, J.; Peng, E. The evolution process and degradation model of permafrost in the Source Area of the Yellow River on the Qinghai-Tibet Plateau since the Little Ice Age. Catena 2024, 236, 107671. [Google Scholar] [CrossRef]
- Deng, H.; Zhang, Z.; Wu, Y. Accelerated permafrost degradation in thermokarst landforms in Qilian Mountains from 2007 to 2020 observed by SBAS-InSAR. Ecol. Indic. 2024, 159, 111724. [Google Scholar] [CrossRef]
- Sun, Z.; Ma, W.; Li, G.; Liu, Y.; Wu, G. Degrading permafrost beneath road embankments of the Qinghai-Tibet Highway from 1995 to 2020. Cold Reg. Sci. Technol. 2024, 219, 104133. [Google Scholar] [CrossRef]
- Ye, C.; Wang, S.; Wu, S.; Zhou, T. Impacts of future permafrost degradation and human modification on terrestrial vertebrates. Biol. Conserv. 2024, 291, 110475. [Google Scholar] [CrossRef]
- Che, L.; Zhang, H.; Wan, L. Spatial distribution of permafrost degradation and its impact on vegetation phenology from 2000 to 2020. Sci. Total Environ. 2023, 877, 162889. [Google Scholar] [CrossRef] [PubMed]
- Tananaev, N.; Lotsari, E. Defrosting northern catchments: Fluvial effects of permafrost degradation. Earth-Sci. Rev. 2022, 228, 103996. [Google Scholar] [CrossRef]
- Xin, L. China Long-Sequence Surface Freeze-Thaw Dataset—Decision Tree Algorithm (1987–2009). A Big Earth Data Platform for Three Poles. 2012. Available online: http://60.245.210.47/en/data/c5f2a6bd-f481-4390-851f-3519d6eb7fdd/ (accessed on 30 June 2023).
- Zuerndorfer, B.; England, A.W. Radiobrightness Decision Criteria for Freeze Thaw Boundaries. IEEE Trans. Geosci. Remote Sens. 1992, 30, 89–102. [Google Scholar] [CrossRef]
- Judge, J.; Galantowicz, J.F.; England, A.W.; Dahl, P. Freeze/thaw classification for prairie soils using SSM/I radiobrightnesses. IEEE Trans. Geosci. Remote Sens. 1997, 35, 827–832. [Google Scholar] [CrossRef]
- Xin, L. Long-Term Surface Soil Freeze-Thaw States Dataset of China Using the Dual-Index Algorithm (1978–2015). A Big Earth Data Platform for Three Poles. 2011. Available online: http://60.245.210.47/en/data/76bce7bb-e1b2-49c4-9537-668a6bac42a2/ (accessed on 30 June 2023).
- Tianjie, Z. 2002–2019 Global AMSR-E/2 Near-Surface Freeze/Thaw State (0.25°). A Big Earth Data Platform for Three Poles. 2018. Available online: http://60.245.210.47/en/data/d1b437cb-10b9-496c-96b4-76e3d185dd47/ (accessed on 30 June 2023).
- Kim, Y.; Kimball, J.S.; McDonald, K.C.; Glassy, J. Developing a Global Data Record of Daily Landscape Freeze/Thaw Status Using Satellite Passive Microwave Remote Sensing. IEEE Trans. Geosci. Remote Sens. 2011, 49, 949–960. [Google Scholar] [CrossRef]
- Kim, S.; Arii, M.; Jackson, T. Modeling L-Band Synthetic Aperture Radar Data Through Dielectric Changes in Soil Moisture and Vegetation Over Shrublands. IEEE J. Sel. Top. Appl. Earth Observ. Remote Sens. 2017, 10, 4753–4762. [Google Scholar] [CrossRef]
- Rautiainen, K.; Lemmetyinen, J.; Schwank, M.; Kontu, A.; Ménard, C.B.; Mätzler, C.; Drusch, M.; Wiesmann, A.; Ikonen, J.; Pulliainen, J. Detection of soil freezing from L-band passive microwave observations. Remote Sens. Environ. 2014, 147, 206–218. [Google Scholar] [CrossRef]
- Derksen, C.; Xu, X.; Dunbar, R.S.; Colliander, A.; Kim, Y.; Kimball, J.S.; Black, T.A.; Euskirchen, E.; Langlois, A.; Loranty, M.M.; et al. Retrieving landscape freeze/thaw state from Soil Moisture Active Passive (SMAP) radar and radiometer measurements. Remote Sens. Environ. 2017, 194, 48–62. [Google Scholar] [CrossRef]
- Rautiainen, K.; Parkkinen, T.; Lemmetyinen, J.; Schwank, M.; Wiesmann, A.; Ikonen, J.; Derksen, C.; Davydov, S.; Davydova, A.; Boike, J.; et al. SMOS prototype algorithm for detecting autumn soil freezing. Remote Sens. Environ. 2016, 180, 346–360. [Google Scholar] [CrossRef]
- Chai, L.; Zhang, L.; Zhang, Y.; Hao, Z.; Jiang, L.; Zhao, S. Comparison of the classification accuracy of three soil freeze—Thaw discrimination algorithms in China using SSMIS and AMSR-E passive microwave imagery. Int. J. Remote Sens. 2014, 35, 7631–7649. [Google Scholar] [CrossRef]
- Shao, W.; Zhang, T. Assessment of Four Near- Surface Soil Freeze/Thaw Detection Algorithms Based on Calibrated Passive Microwave Remote Sensing Data Over China. Earth Space Sci. 2020, 7, e2019EA000807. [Google Scholar] [CrossRef]
- Chai, L.; Zhu, Z.; Liu, S.; Xu, Z.; Jin, R.; Li, X.; Kang, J.; Che, T.; Zhang, Y.; Zhang, J.; et al. QLB-NET: A Dense Soil Moisture and Freeze/Thaw Monitoring Network in the Qinghai Lake Basin on the Qinghai-Tibetan Plateau. Bull. Am. Meteorol. Soc. 2023, in press. [Google Scholar] [CrossRef]
- Li, H.; Chai, L.; Crow, W.; Dong, J.; Liu, S.; Zhao, S. The reliability of categorical triple collocation for evaluating soil freeze/thaw datasets. Remote Sens. Environ. 2022, 281, 113240. [Google Scholar] [CrossRef]
- Zheng, J.; Zhao, T.; Lü, H.; Zou, D.; Rodriguez-Fernandez, N.; Mialon, A.; Richaume, P.; Xiao, J.; Ma, J.; Fan, L.; et al. Use of a new Tibetan Plateau network for permafrost to characterize satellite-based products errors: An application to soil moisture and freeze/thaw. Remote Sens. Environ. 2024, 300, 113899. [Google Scholar] [CrossRef]
- Zhao, T.; Zhang, L.; Jiang, L.; Zhao, S.; Chai, L.; Jin, R. A new soil freeze/thaw discriminant algorithm using AMSR-E passive microwave imagery. Hydrol. Process 2011, 25, 1704–1716. [Google Scholar] [CrossRef]
- Smith, N.V.; Saatchi, S.S.; Randerson, J.T. Trends in high northern latitude soil freeze and thaw cycles from 1988 to 2002. J. Geophys. Res. Atmos. 2004, 109, D12101. [Google Scholar] [CrossRef]
- Xu, X.; Dunbar, R.S.; Derksen, C.; Colliander, A.; Kim, Y.; Kimball, J.S. SMAP Enhanced L3 Radiometer Global and Polar Grid Daily 9 km EASE-Grid Soil Moisture; Version 5; NASA National Snow and Ice Data Center Distributed Active Archive Center: Boulder, CO, USA, 2020; Volume 2023. [Google Scholar]
- Xu, X.; Dunbar, R.S.; Derksen, C.; Colliander, A.; Kim, Y.; Kimball, J.S. SMAP L3 Radiometer Global and Northern Hemisphere Daily 36 km EASE-Grid Freeze/Thaw State; Version 3; NASA National Snow and Ice Data Center Distributed Active Archive Center: Boulder, CO, USA, 2020; Volume 2023. [Google Scholar]
- Chen, X.; Jeong, S.; Park, C.; Park, H.; Joo, J.; Chang, D.; Yun, J. Different responses of surface freeze and thaw phenology changes to warming among Arctic permafrost types. Remote Sens. Environ. 2022, 272, 112956. [Google Scholar] [CrossRef]
- Lecun, Y.; Bengio, Y. Convolutional Networks for Images, Speech, and Time-Series. In The Handbook of Brain Theory and Neural Networks; MIT Press: Cambridge, MA, USA, 1995. [Google Scholar]
- Hochreiter, S.; Schmidhuber, J. Long short-term memory. Neural Comput. 1997, 9, 1735–1780. [Google Scholar] [CrossRef] [PubMed]
- Shi, X.; Chen, Z.; Wang, H.; Yeung, D.; Wong, W.; Woo, W. Convolutional LSTM Network: A Machine Learning Approach for Precipitation Nowcasting. In Advances in Neural Information Processing Systems 28 (Nips 2015); North Torrey Pines Rd: La Jolla, CA, USA, 2015; Volume 28. [Google Scholar]
- Tan, J.; NourEldeen, N.; Mao, K.; Shi, J.; Li, Z.; Xu, T.; Yuan, Z. Deep Learning Convolutional Neural Network for the Retrieval of Land Surface Temperature from AMSR2 Data in China. Sensors 2019, 19, 2987. [Google Scholar] [CrossRef] [PubMed]
- Dong, J.; Zhu, Y.; Jia, X.; Shao, M.; Han, X.; Qiao, J.; Bai, C.; Tang, X. Nation-scale reference evapotranspiration estimation by using deep learning and classical machine learning models in China. J. Hydrol. 2022, 604, 127207. [Google Scholar] [CrossRef]
- Sobayo, R.; Wu, H.; Ray, R.L.; Qian, L. Integration of Convolutional Neural Network and Thermal Images into Soil Moisture Estimation. In Proceedings of the 2018 1St International Conference on Data Intelligence and Security (ICDIS 2018), South Padre Island, TX, USA, 8–10 April 2018; pp. 207–210. [Google Scholar]
- Pan, B.; Hsu, K.; AghaKouchak, A.; Sorooshian, S. Improving Precipitation Estimation Using Convolutional Neural Network. Water Resour. Res. 2019, 55, 2301–2321. [Google Scholar] [CrossRef]
- Fang, K.; Shen, C. Near-Real-Time Forecast of Satellite-Based Soil Moisture Using Long Short-Term Memory with an Adaptive Data Integration Kernel. J. Hydrometeorol. 2020, 21, 399–413. [Google Scholar] [CrossRef]
- Li, Q.; Zhao, Y.; Yu, F. A Novel Multichannel Long Short-Term Memory Method with Time Series for Soil Temperature Modeling. IEEE Access 2020, 8, 182026–182043. [Google Scholar] [CrossRef]
- Wang, H.; Zhao, X.; Zhang, X.; Wu, D.; Du, X. Long Time Series Land Cover Classification in China from 1982 to 2015 Based on Bi-LSTM Deep Learning. Remote Sens 2019, 11, 1639. [Google Scholar] [CrossRef]
- Chen, Z.; Zhu, Z.; Jiang, H.; Sun, S. Estimating daily reference evapotranspiration based on limited meteorological data using deep learning and classical machine learning methods. J. Hydrol. 2020, 591, 125286. [Google Scholar] [CrossRef]
- Wu, H.; Yang, Q.; Liu, J.; Wang, G. A spatiotemporal deep fusion model for merging satellite and gauge precipitation in China. J. Hydrol. 2020, 584, 124664. [Google Scholar] [CrossRef]
- Munoz-Sabater, J.; Dutra, E.; Agusti-Panareda, A.; Albergel, C.; Arduini, G.; Balsamo, G.; Boussetta, S.; Choulga, M.; Harrigan, S.; Hersbach, H.; et al. ERA5-Land: A state-of-the-art global reanalysis dataset for land applications. Earth Syst. Sci. Data 2021, 13, 4349–4383. [Google Scholar] [CrossRef]
- Xu, X.; Wang, J.; Zhang, L. Physics of Frozen Soil; Science Press: Beijing, China, 2001. [Google Scholar]
- Li, X.; Cheng, G.; Jin, H.; Kang, E.; Che, T.; Jin, R.; Wu, L.; Nan, Z.; Wang, J.; Shen, Y. Cryospheric change in China. Glob. Planet. Change 2008, 62, 210–218. [Google Scholar] [CrossRef]
- Jiang, L.; Wang, J.; Cui, H.; Wang, G.; Zhao, T.; Zhao, S.; Chai, L.; Liu, X.; Yang, J. In situ soil moisture and temperature network in genhe watershed and saihanba area in China. Data Brief. 2020, 31, 105693. [Google Scholar] [CrossRef] [PubMed]
- Yang, K.; Qin, J.; Zhao, L.; Chen, Y.; Tang, W.; Han, M.; Chen, Z.; Lv, N.; Ding, B.; Wu, H.; et al. A Multiscale Soil Moisture and Freeze–Thaw Monitoring Network on the Third Pole. Bull. Am. Meteorol. Soc. 2013, 94, 1907–1916. [Google Scholar] [CrossRef]
- Su, Z.; Wen, J.; Dente, L.; van der Velde, R.; Wang, L.; Ma, Y.; Yang, K.; Hu, Z. The Tibetan Plateau observatory of plateau scale soil moisture and soil temperature (Tibet-Obs) for quantifying uncertainties in coarse resolution satellite and model products. Hydrol. Earth Syst. Sci. 2011, 15, 2303–2316. [Google Scholar] [CrossRef]
- Zhao, T.; Shi, J.; Lv, L.; Xu, H.; Chen, D.; Cui, Q.; Jackson, T.J.; Yan, G.; Jia, L.; Chen, L.; et al. Soil moisture experiment in the Luan River supporting new satellite mission opportunities. Remote Sens. Environ. 2020, 240, 111680. [Google Scholar] [CrossRef]
- Wen, Y.; Liu, B.; Jiang, H.; Li, T.; Zhang, B.; Wu, W. Initial soil moisture prewinter affects the freeze–thaw profile dynamics of a Mollisol in Northeast China. Catena 2024, 234, 107648. [Google Scholar] [CrossRef]
- Agency, X.N. The People’s Republic of China Yearbook; Xinhua Publishing House: Beijing, China, 2021. [Google Scholar]
- Kim, Y.; Kimball, J.S.; Glassy, J.; Du, J. An extended global Earth system data record on daily landscape freeze—Thaw status determined from satellite passive microwave remote sensing. Earth Syst. Sci. Data 2017, 9, 133–147. [Google Scholar] [CrossRef]
- Hersbach, H.; Bell, B.; Berrisford, P.; Hirahara, S.; Horányi, A.; Muñoz-Sabater, J.; Nicolas, J.; Peubey, C.; Radu, R.; Schepers, D.; et al. The ERA5 global reanalysis. Q. J. R. Meteorol. Soc. 2020, 146, 1999–2049. [Google Scholar] [CrossRef]
- Hou, A.Y.; Kakar, R.K.; Neeck, S.; Azarbarzin, A.A.; Kummerow, C.D.; Kojima, M.; Oki, R.; Nakamura, K.; Iguchi, T. The Global Precipitation Measurement Mission. Bull. Am. Meteorol. Soc. 2014, 95, 701. [Google Scholar] [CrossRef]
- Xu, R.; Tian, F.; Yang, L.; Hu, H.; Lu, H.; Hou, A. Ground validation of GPM IMERG and TRMM 3B42V7 rainfall products over southern Tibetan Plateau based on a high-density rain gauge network. J. Geophys. Res. Atmos. 2017, 122, 910–924. [Google Scholar] [CrossRef]
- Ma, Y.; Tang, G.; Long, D.; Yong, B.; Zhong, L.; Wan, W.; Hong, Y. Similarity and Error Intercomparison of the GPM and Its Predecessor-TRMM Multisatellite Precipitation Analysis Using the Best Available Hourly Gauge Network over the Tibetan Plateau. Remote Sens. 2016, 8, 569. [Google Scholar] [CrossRef]
- Yang, J.; Huang, X. The 30 m annual land cover dataset and its dynamics in China from 1990 to 2019. Earth Syst. Sci. Data 2021, 13, 3907–3925. [Google Scholar] [CrossRef]
- Kottek, M.; Grieser, J.; Beck, C.; Rudolf, B.; Rubel, F. World map of the Koppen-Geiger climate classification updated. Meteorol. Z. 2006, 15, 259–263. [Google Scholar] [CrossRef]
- Ran, Y.; Li, X.; Cheng, G.; Nan, Z.; Che, J.; Sheng, Y.; Wu, Q.; Jin, H.; Luo, D.; Tang, Z.; et al. Mapping the permafrost stability on the Tibetan Plateau for 2005–2015. Sci. China Earth Sci. 2021, 64, 62–79. [Google Scholar] [CrossRef]
- Moishin, M.; Deo, R.C.; Prasad, R.; Raj, N.; Abdulla, S. Designing Deep-Based Learning Flood Forecast Model with ConvLSTM Hybrid Algorithm. IEEE Access 2021, 9, 50982–50993. [Google Scholar] [CrossRef]
- McColl, K.A.; Roy, A.; Derksen, C.; Konings, A.G.; Alemohammed, S.H.; Entekhabi, D. Triple collocation for binary and categorical variables: Application to validating landscape freeze/thaw retrievals. Remote Sens. Environ. 2016, 176, 31–42. [Google Scholar] [CrossRef]
- Scott, K.A. Assessment of Categorical Triple Collocation for Sea Ice/Open Water Observations: Application to the Gulf of Saint Lawrence. IEEE Trans. Geosci. Remote Sens. 2019, 57, 9659–9673. [Google Scholar] [CrossRef]
- Entekhabi, D.; Njoku, E.G.; O’Neill, P.E.; Kellogg, K.H.; Crow, W.T.; Edelstein, W.N.; Entin, J.K.; Goodman, S.D.; Jackson, T.J.; Johnson, J.; et al. The Soil Moisture Active Passive (SMAP) Mission. Proc. IEEE 2010, 98, 704–716. [Google Scholar] [CrossRef]
- Chen, X.; Liu, L.; Bartsch, A. Detecting soil freeze/thaw onsets in Alaska using SMAP and ASCAT data. Remote Sens. Environ. 2019, 220, 59–70. [Google Scholar] [CrossRef]
- Roy, A.; Royer, A.; Derksen, C.; Brucker, L.; Langlois, A.; Mialon, A.; Kerr, Y.H. Evaluation of Spaceborne L-Band Radiometer Measurements for Terrestrial Freeze/Thaw Retrievals in Canada. IEEE J. Sel. Top. Appl. Earth Obs. Remote Sens. 2015, 8, 4442–4459. [Google Scholar] [CrossRef]
- Kim, Y.; Kimball, J.S.; Xu, X.; Dunbar, R.S.; Colliander, A.; Derksen, C. Global Assessment of the SMAP Freeze/Thaw Data Record and Regional Applications for Detecting Spring Onset and Frost Events. Remote Sens. 2019, 11, 1317. [Google Scholar] [CrossRef]
- Roy, A.; Toose, P.; Williamson, M.; Rowlandson, T.; Derksen, C.; Royer, A.; Berg, A.A.; Lemmetyinen, J.; Arnold, L. Response of L-Band brightness temperatures to freeze/thaw and snow dynamics in a prairie environment from ground-based radiometer measurements. Remote Sens. Environ. 2017, 191, 67–80. [Google Scholar] [CrossRef]
- Dunbar, S. SMAP—Algorithm Theoretical Basis Document (ATBD)—Level 3 Radiometer Freeze/Thaw Data Products; Jet Propulsion Laboratory, California Institute of Technology: Pasadena, CA, USA, 2020; Available online: https://nsidc.org/sites/default/files/l3_ft_p_atbd_revisionc_vf.pdf (accessed on 22 July 2022).
- Xu, S.; Liu, D.; Li, T.; Fu, Q.; Liu, D.; Hou, R.; Meng, F.; Li, M.; Li, Q. Spatiotemporal evolution of the maximum freezing depth of seasonally frozen ground and permafrost continuity in historical and future periods in Heilongjiang Province, China. Atmos. Res. 2022, 274, 106195. [Google Scholar] [CrossRef]
- Guo, D.; Wang, H. CMIP5 permafrost degradation projection: A comparison among different regions. J. Geophys. Res. 2016, 121, 4499–4517. [Google Scholar] [CrossRef]
- Wu, J.; Sheng, Y.; Wu, Q.; Wen, Z. Processes and modes of permafrost degradation on the Qinghai-Tibet Plateau. Sci. China Ser. D Earth Sci. 2010, 53, 150–158. [Google Scholar] [CrossRef]
- Yu, F.; Qi, J.; Yao, X.; Liu, Y. Degradation process of permafrost underneath embankments along Qinghai-Tibet Highway: An engineering view. Cold Reg. Sci. Technol. 2013, 85, 150–156. [Google Scholar] [CrossRef]
- Jin, H.; Zhao, L.; Wang, S.; Jin, R. Thermal regimes and degradation modes of permafrost along the Qinghai-Tibet Highway. Sci. China Ser. D Earth Sci. 2006, 49, 1170–1183. [Google Scholar] [CrossRef]
- Ran, Y.; Li, X.; Cheng, G.; Zhang, T.; Wu, Q.; Jin, H.; Jin, R. Distribution of Permafrost in China: An Overview of Existing Permafrost Maps. Permafr. Periglac. Process. 2012, 23, 322–333. [Google Scholar] [CrossRef]












| Networks | Genhe | Maqu | Naqu | Pali | Saihanba | SDR |
|---|---|---|---|---|---|---|
| Selected/Total nodes | 18/23 | 19/26 | 33/71 | 13/25 | 11/29 | 27/34 |
| Depth | 5 cm | 5 cm | 0–5 cm | 5 cm | 5 cm | 3 cm |
| Interval | 30 min | 15 min | 30 min | 30 min | 30 min | 10–15 min |
| Begin coverage | April 2018 | April 2018 | September 2018 | |||
| End coverage | December 2020 | December 2019 | December 2020 | |||
Disclaimer/Publisher’s Note: The statements, opinions and data contained in all publications are solely those of the individual author(s) and contributor(s) and not of MDPI and/or the editor(s). MDPI and/or the editor(s) disclaim responsibility for any injury to people or property resulting from any ideas, methods, instructions or products referred to in the content. |
© 2024 by the authors. Licensee MDPI, Basel, Switzerland. This article is an open access article distributed under the terms and conditions of the Creative Commons Attribution (CC BY) license (https://creativecommons.org/licenses/by/4.0/).
Share and Cite
Cui, H.; Chai, L.; Li, H.; Zhao, S.; Li, X.; Liu, S. A Spatiotemporal Enhanced SMAP Freeze/Thaw Product (1980–2020) over China and Its Preliminary Analyses. Remote Sens. 2024, 16, 950. https://doi.org/10.3390/rs16060950
Cui H, Chai L, Li H, Zhao S, Li X, Liu S. A Spatiotemporal Enhanced SMAP Freeze/Thaw Product (1980–2020) over China and Its Preliminary Analyses. Remote Sensing. 2024; 16(6):950. https://doi.org/10.3390/rs16060950
Chicago/Turabian StyleCui, Hongjing, Linna Chai, Heng Li, Shaojie Zhao, Xiaoyan Li, and Shaomin Liu. 2024. "A Spatiotemporal Enhanced SMAP Freeze/Thaw Product (1980–2020) over China and Its Preliminary Analyses" Remote Sensing 16, no. 6: 950. https://doi.org/10.3390/rs16060950
APA StyleCui, H., Chai, L., Li, H., Zhao, S., Li, X., & Liu, S. (2024). A Spatiotemporal Enhanced SMAP Freeze/Thaw Product (1980–2020) over China and Its Preliminary Analyses. Remote Sensing, 16(6), 950. https://doi.org/10.3390/rs16060950

