Research on ELoran Demodulation Algorithm Based on Multiclass Support Vector Machine
Abstract
1. Introduction
2. Background Principles
3. Method Description
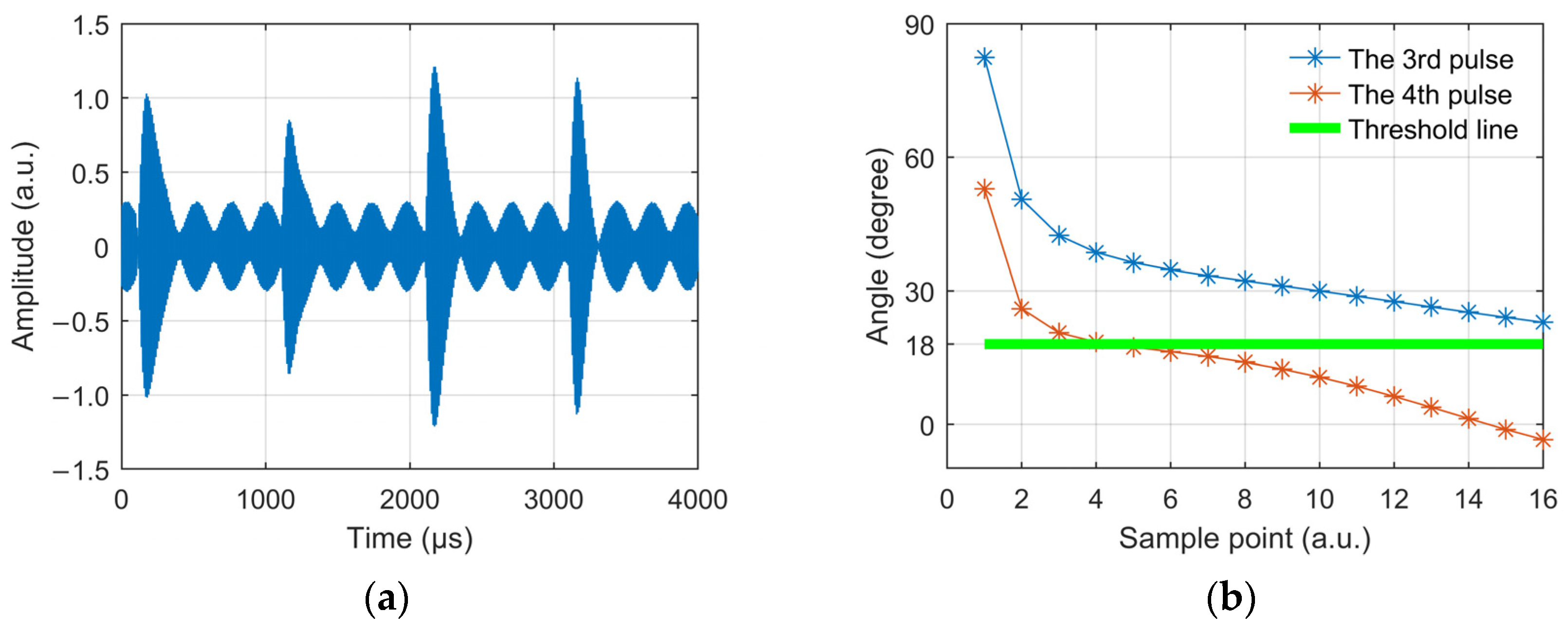
3.1. Envelope Phase Detection
- Phase difference detection. After the phase tracking process stabilizes, the two branches I and Q undergo low-pass filtering, retaining only the sine and cosine components of the sum of modulation phase and phase offset, and the quadrature sampled data is (). Similarly, the reference signal only retains the signal phase offset, while the quadrature sampled data are (), and the phase difference can be calculated using the following formulas:where and represent the phase of the modulated signal and the reference signal at the i-th sampling point, respectively. represents the corresponding phase difference.
- Polarity decision. We set the threshold to ±18° and perform multithreshold processing on the phase difference calculated using Formula (4).
- When , it is classified as “0” modulation;
- When , it is classified as “+” modulation;
- When , it is classified as “−” modulation.
- Majority decision and balance error correction. Based on the results of the statistical N sampling points, the modulation is determined as “0”, “+” or “−” by majority decision. In the case of an equal number of occurrences, the error correction can be further decided according to the principle of balanced modulation [31].
3.2. MSVM Algorithm
- Feature vector construction. Based on the pulse groups and modulation features of the eLoran signal, the feature points are collected within an 80 μs range near the maximum peak position P (P − 32.5 μs~P +47.5 μs), including the following 3 types:
- Approximate slope of peak position: The value difference of lag and lead 1 μs sampling points for each pulse’s 16 positive and negative peaks (16 dimensions).
- Peak position value: 16 positive and negative peak position values (16 dimensions).
- Zero-crossing position value: Values of the sampling points 2.5 μs before the 16 peak positions (16 dimensions).
- 2.
- Sample collection: Under the influence of added CWI and white noise, the first pulses of 100 consecutive GRI pulse groups are collected as the “0” modulation feature samples, according to step 1. Then, samples are collected with a 1 μs lag as the “+” modulated samples and with a 1 μs lead as the “−” modulated samples. These samples, together, form the training set, which consists of 300 samples obtained from 100 groups of signals, each group containing 3 pulse groups. In addition, the same position sampling points of the 3rd to 8th pulses of each pulse group, together with the modulation information, form the test set.
- 3.
- Kernel function selection: The selection of kernel function has a significant impact on the classification result. Reference [43] describes the kernel technique in detail. Linear kernel is generally used for linear problems, while nonlinear problems need to be tested according to the actual situation to choose the appropriate kernel function. The experimental results in Section 4.2 show that linear kernel is more suitable for the eLoran demodulation problem in this study.
- 4.
- Training the model: To address the PPM modulation characteristics of the eLoran signal, the multiclassification problem is transformed into three binary classification problems. SVM models are trained separately for each, and then combined to form the MSVM model.
- 5.
- Confidence-based classification: The distance between the sample and the hyperplane of each binary classification model is calculated as the confidence score, or it is transformed into probabilities using functions such as the Sigmoid function, and the data are classified and demodulated based on the principle of high confidence.
3.3. Alternative Algorithms
3.3.1. Random Forest Algorithm
- Data augmentation: The RF algorithm constructs multiple decision trees by introducing randomness. For each tree, k training samples are randomly selected with replacement from the original training dataset. This subset selection method is called Bootstrap sampling [46].
- Feature selection: From all M features, m features are randomly selected, and the optimal one is selected from these m features each time the tree is split. Randomness can be increased by randomly selecting m features. Generally, the heuristic selection of is chosen, which can reduce the complexity of the model and increase the generalization ability of the model [47].
- Decision tree training: Decision tree training is performed by recursively splitting the dataset using the classification and regression tree (CART) algorithm, without pruning, to maximize the purity (Gini index or entropy) of each child node until no further partitioning can be performed [46,47,48]. In this way, an RF model composed of N decision trees can be obtained.
- Ensemble prediction: In the prediction process, the RF algorithm will calculate the prediction result of each decision tree and obtain the final classification result by majority voting. This can reduce the misjudgment of a single decision tree and improve the accuracy of the model.
3.3.2. K-Nearest Neighbors Algorithm
- Distance calculation: The key to the KNN algorithm lies in calculating the distance between unknown samples and known samples. The Euclidean distance (straight-line distance), Manhattan distance, and Chebyshev distance are among the most commonly used metrics methods in the KNN algorithm [56,57]. In practical applications, the most suitable distance metric can be selected based on the characteristics of the data and the requirements of the problem, so as to obtain the best classification or regression performance.
- K value selection: During the training process, a suitable K value needs to be selected, that is, the K known samples closest to the unknown samples considered in the calculation. Too small a K value may result in overfitting, while too large may reduce the accuracy of the classification. In experiments, the appropriate K value can be selected through methods such as cross-validation [54,57,58].
3.3.3. Cancellation Residual Detection Algorithm
- Signal cancellation: By means of delayed sampling, the prompt, 1 μs lagging, and 1 μs leading signals of the reference signal correspond to “0”, “+”, and “−” modulation, respectively. The three signals are cancelled with the reference signal. The phase code of the sample signal needs to be confirmed by the capture module at the front end, and consistent with the reference signal by flipping or remaining unchanged.
- Residual power calculation: The root mean square (RMS) of the 3 channels after cancellation is used as the residual power estimation. Theoretically, the residual power of the branch is the smallest when the modulation signal is matched.
- Demodulation verdict: Based on the principle of minimum power, determine which of the signals best matches the sample signal, and select it as the optimal match channel for demodulation corresponding to the modulation.
4. Experimental Results and Performance Analysis
- Effects of MSVM when using different kernel functions.
- Influence of different feature vectors.
- Comparison of demodulation accuracy of various methods in different SNR and CWI environments.
4.1. Experiment Design
- Experiment environment: Matlab R2017, Windows 10 operating system, Intel Core i7 processor, 16 GB memory.
- Input signal: Continuous modulated pulse group signals with a GRI of 60,000 μs. This GRI value was chosen primarily for experimental consistency, and the robustness of the experimental results is independent of the specific GRI value.
- Data modulation: Standard time code frame data.
- Sampling rate: 2 MHz.
- Bandpass filter: 95~105 kHz.
- SNR: −20~10 dB white noise (before bandpass filtering); step size: 1 dB.
- CWI: 0~4 single-frequency interferences, labeled as C1, C2, C3, and C4. The specific frequencies and signal-to-interference ratio (SIR) for each interference are as follows: C1 at 97.2222 kHz with an SIR of −7 dB, C2 at 101.3333 kHz with an SIR of −10 dB, C3 at 103.6666 kHz with an SIR of −9.21 dB, and C4 at 99.1111 kHz with an SIR of −8.24 dB. Since the bandpass filter and de-jamming module of the front-end signal processing can eliminate most of the interference, we set a moderate interference power. Each interference is introduced with a random initial phase to simulate a realistic and variable interference environment. In experiments involving CWIs, they are labeled and combined sequentially; “1 CWI” refers to C1, and “3 CWIs” refers to the combination of C1, C2, and C3. This labeling scheme is applied uniformly throughout our experiments and results descriptions in this paper.
- MSVM kernel functions: Linear kernel, Gaussian kernel, and polynomial kernel.
- Repetitions: 90,000 demodulation samples (500 frames) were used for validation under each distinct interference environment setting, involving 10 independent experiments. Each experiment utilized 50 consecutive frames to ensure randomness and reduce the contingency of experimental results.
- Evaluation index: This study employs the demodulation accuracy ratio (DAR) as the primary evaluation metric to comprehensively assess the demodulation performance of various demodulators across diverse scenarios.
4.2. Kernel Function Performance Evaluation
4.3. Feature Vector Selection
- Using only approximate slope values (16 dimensions).
- Using approximate slope values and zero-crossing positions values (32 dimensions).
- Using approximate slope values, zero-crossing positions values, and peak positions values (48 dimensions).
4.4. Cross-Method Performance Analysis
- No CWI environment
- b.
- Different number of CWI environment
4.5. Overall Evaluation and Discussion
- Experimental results clearly show that linear kernel functions perform excellently in our study. This means that our demodulation problem may be more suitable for the linearly separable case. Linear kernel has the advantages of high computational efficiency and model simplicity, while also exhibiting good noise resistance. However, other kernels (such as polynomial kernel, Gaussian kernel, etc.) may be more efficient in other cases. Therefore, it is crucial to select the appropriate kernel function according to the characteristics of specific problems.
- The research results on feature vector selection indicate that the demodulation accuracy of the eLoran signal can be significantly improved by using a combination of multitypes of features. However, it is also necessary to consider the computational complexity that can be encountered when dealing with high-dimensional data.
- Through comparing the demodulation and decoding performance of several methods in different environments, the proposed MSVM algorithm stands out in various aspects. It demonstrates significant advantages in classification accuracy and computation efficiency (except CRD). In contrast, the RF algorithm has slightly lower accuracy and unsatisfactory computational efficiency. The traditional EPD algorithm performs poorly in strong interference environments, while the KNN algorithm, despite its simple principle, lacks advantages in all aspects. In addition, although the CRD algorithm is simple to implement, it has poor stability and is rarely seen in practical applications.
5. Conclusions
- Implementation and debugging of the algorithm in receiver.
- Further optimization of the kernel function and feature selection method to improve model performance and stability.
- Conducting more extensive tests on real environments to verify the universality and effectiveness of the MSVM algorithm.
Author Contributions
Funding
Data Availability Statement
Acknowledgments
Conflicts of Interest
References
- Son, P.W.; Park, S.G.; Han, Y.; Seo, K.; Fang, T.H. Demonstration of the Feasibility of the Korean eLoran System as a Resilient PNT in a Testbed. Remote Sens. 2023, 15, 3586. [Google Scholar] [CrossRef]
- Dardanelli, G.; Maltese, A. On the accuracy of cadastral marks: Statistical analyses to assess the congruence among GNSS-based positioning and official maps. Remote Sens. 2022, 14, 4086. [Google Scholar] [CrossRef]
- Liu, K.Q.; Yuan, J.B.; Yan, W.H.; Yang, C.Z.; Guo, W.; Li, S.F.; Hua, Y. A Shrink-Branch-Bound Algorithm for eLoran Pseudorange Positioning Initialization. Remote Sens. 2022, 14, 1781. [Google Scholar] [CrossRef]
- Zhao, X.; Zhan, X.Q.; Liu, X.; Li, S.J. GNSS Vulnerability Analysis and Assessment. J. Aeronaut. Astronaut. Aviat. 2014, 46, 11–19. [Google Scholar] [CrossRef]
- Grant, A.; Williams, P.; Ward, N.; Basker, S. GPS Jamming and the Impact on Maritime Navigation. J. Navig. 2009, 62, 173–187. [Google Scholar] [CrossRef]
- Hussain, A.; Akhtar, F.; Khand, Z.H.; Rajput, A.; Shaukat, Z. Complexity and Limitations of GNSS Signal Reception in Highly Obstructed Environments. Eng. Technol. Appl. Sci. Res. 2021, 11, 6864–6868. [Google Scholar] [CrossRef]
- Dinesh, S. Globle Navigation Satellite System (GNSS) Spoofing: A Review of Growing Risks and Mitigation Steps. Def. ST Tech. Bull. 2013, 6, 42–61. [Google Scholar]
- Van Willigen, D.; Offermans, G.W.A.; Helwig, A.W.S. EUROFIX: Definition and current status. In Proceedings of the IEEE 1998 Position Location and Navigation Symposium, Palm Springs, CA, USA, 20–23 April 1998. [Google Scholar] [CrossRef]
- Wu, H.T. Study on the Independent Time Service and Date Communication over Loran-C. Ph.D. Thesis, University of Chinese Academy of Sciences (National Time Service Center), Xi’an, China, 2002. Available online: https://d.wanfangdata.com.cn/thesis/W010252 (accessed on 13 July 2024).
- Johnson, G.W.; Swaszek, P.F.; Hartnett, R.J.; Shalaev, R.; Wiggins, M. An Evaluation of eLoran as a Backup to GPS. In Proceedings of the 2007 IEEE Conference on Technologies for Homeland Security, Woburn, MA, USA, 16–17 May 2007. [Google Scholar] [CrossRef]
- Yan, W.H.; Zhao, K.J.; Li, S.F.; Wang, X.H.; Hua, Y. Precise Loran-C Signal Acquisition Based on Envelope Delay Correlation Method. Sensors 2020, 20, 2329. [Google Scholar] [CrossRef]
- Liu, S.Y.; Zhang, S.G.; Hua, Y. A Cycle Identification Algorithm for enhanced LOng RAnge Navigation Signal Based on Skywave Reconstruction Technology. J. Electron. Inf. 2022, 44, 3592–3601. [Google Scholar] [CrossRef]
- Li, J.Y. Design and Implementation of Loran-C Datalink. Inf. Elect. Eng. 2006, 4, 356–360. [Google Scholar]
- Li, S.F.; Wang, Y.L.; Hua, Y.; Xu, Y.L. Research of Loran-C data demodulation and decoding technology. Chin. J. Sci. Instrum. 2012, 33, 1407–1413. [Google Scholar] [CrossRef]
- Lo, S.C.; Peterson, B.B.; Enge, P.K. Loran Data Modulation: A Primer [AESS Tutorial IV]. IEEE Aerosp. Electron. Syst. Mag. 2007, 22, 31–51. [Google Scholar] [CrossRef]
- Yuan, J.B.; Yan, W.H.; Li, S.F.; Hua, Y. Demodulation Method for Loran-C at Low SNR Based on Envelope Correlation–Phase Detection. Sensors 2020, 20, 4535. [Google Scholar] [CrossRef]
- Lyu, B.Y.; Hua, Y.; Yan, W.H.; Yuan, J.B.; Li, S.F. Data demodulation algorithm of enhanced Loran system. In Proceedings of the International Conference on Electronic Information Technology (EIT 2022), Chengdu, China, 18–20 March 2022. [Google Scholar] [CrossRef]
- Williams, P.; Last, D. Modelling Loran-C envelope-to-cycle differences in mountainous terrain. In Proceedings of the 32nd Annual Meeting, International Loran Association, Boulder, CO, USA, 3–6 November 2023; Available online: https://www.loran.org/proceedings/Meeting2003/Session6/WmsLastILA03ECD.pdf (accessed on 13 July 2024).
- Yan, W.H.; Dong, M.; Li, S.F.; Yang, C.Z.; Yuan, J.B.; Hu, Z.P.; Hua, Y. An eLoran Signal Cycle Identification Method Based on Joint Time–Frequency Domain. Remote Sens. 2022, 14, 250. [Google Scholar] [CrossRef]
- Liu, S.Y.; Zhang, S.G.; Hua, Y. Research on GRI Combination Design of eLORAN System. J. Electron. Inf. 2022, 44, 767–774. [Google Scholar] [CrossRef]
- Safar, J.; Williams, P.; Grant, A.; Vejrazka, F. Analysis, modelling and mitigation of cross-rate interference in eLoran. J. Navig. 2016, 63, 295–319. [Google Scholar] [CrossRef]
- Offermans, G.W.A.; Helwig, A.W.S.; Willigen, D.V. Eurofix system and its developments. J. Navig. 1999, 52, 163–175. [Google Scholar] [CrossRef]
- SAE 9990/1-2018; Transmitted Enhanced Loran (eLoran) Signal Standard for Tri-State Pulse Position Modulation. United States Coast Guard: Washington, DC, USA, 2018. Available online: https://www.antpedia.com/standard/1532228581.html (accessed on 13 July 2024).
- Wu, H.T.; Li, X.H.; Zhang, H.J.; Gao, H.J.; Bian, Y.J. UTC message broadcasting over Loran-C data channel. In Proceedings of the 2002 IEEE International Frequency Control Symposium and PDA Exhibition (Cat. No.02CH37234), New Orleans, LA, USA, 31 May 2002. [Google Scholar] [CrossRef]
- Lo, S.C.; Peterson, B.B.; Enge, P.K.; Swaszek, P. Loran data modulation: Extensions and examples. IEEE Trans. Aerosp. Electron. Syst. 2007, 43, 628–644. [Google Scholar] [CrossRef]
- Helwig, A.; Offermans, G.; Stout, C.; Schue, C. eLoran System Definition and Signal Specification Tutorial; International Loran Association: Washington, DC, USA, 2011; Available online: https://www.sigidwiki.com/images/c/ca/UrsaNav_ILA-40_eLoran_System_Definition_%26_Signal_Specification_Tutorial.pdf (accessed on 13 July 2024).
- Sooch, S.K.; Gupta, M.; Kumar, R. Implementing Cyclic Redundancy Check as Error Correction Technique in HDLC. In Proceedings of the International Conference on Research in Management & Technovation, Nagpur, India, 5–6 December 2020; Volume 24, pp. 131–136. [Google Scholar] [CrossRef]
- Ahmad, M.; Rahman, S. Design of HDLC Controller with CRC Generation Using VHD. Int. J. Mod. Eng. Res. 2014, 4, 8–12. [Google Scholar]
- Wu, B.; Li, Y.; Zhang, D.L. Based on reed solomon code design of a flash memory controller. Electr. Measur. Technol. 2011, 34, 12–17. [Google Scholar]
- Wang, H.S.; Ma, C.; Jia, H.B. Application of low complexity Reed-Solomon decoder in seismic exploration. Chin. J. Sci. Instrum. 2010, 31, 1632–1637. [Google Scholar]
- Li, S.F. Study on the Methods and Techniques of eLoran Signal Received. Ph.D. Thesis, University of Chinese Academy of Sciences (National Time Service Center), Xi’an, China, 2013. [Google Scholar]
- Huang, C.; Davis, L.; Townshend, J.G. An assessment of support vector machines for land cover classification. Int. J. Remote Sens. 2002, 23, 725–749. [Google Scholar] [CrossRef]
- Liu, T.; Abd-Elrahman, A.; Morton, J.; Wilhelm, V.L. Comparing fully convolutional networks, random forest, support vector machine, and patch-based deep convolutional neural networks for object-based wetland mapping using images from small unmanned aircraft system. GISci. Remote Sens. 2018, 55, 243–264. [Google Scholar] [CrossRef]
- Truong, T.X.; Nhu, V.-H.; Phuong, D.T.N.; Nghi, L.T.; Hung, N.N.; Hoa, P.V.; Bui, D.T. A New Approach Based on Tensor Flow Deep Neural Networks with ADAM Optimizer and GIS for Spatial Prediction of Forest Fire Danger in Tropical Areas. Remote Sens. 2023, 15, 3458. [Google Scholar] [CrossRef]
- Zhou, W.; Song, C.; Liu, C.; Fu, Q.; An, T.; Wang, Y.; Sun, X.; Wen, N.; Tang, H.; Wang, Q. A Prediction Model of Maize Field Yield Based on the Fusion of Multitemporal and Multimodal UAV Data: A Case Study in Northeast China. Remote Sens. 2023, 15, 3483. [Google Scholar] [CrossRef]
- Suthaharan, S. Machine Learning Models and Algorithms for Big Data Classification; Integrated Series in Information Systems; Springer: New York, NY, USA, 2016; Volume 36, pp. 1–12. [Google Scholar] [CrossRef]
- Pontil, M.; Verri, A. Properties of support vector machines. Neural Comput. 1998, 10, 955–974. [Google Scholar] [CrossRef]
- Hearst, M.A.; Dumais, S.T.; Osuna, E.; Platt, J.; Scholkopf, B. Support vector machines. IEEE Intell. Syst. Appl. 1998, 13, 18–28. [Google Scholar] [CrossRef]
- Zhou, Z.H. Machine Learning, 1st ed.; Tsinghua University Press: Beijing, China, 2016; pp. 106–117. [Google Scholar]
- Cristianini, N.; Scholkopf, B. Support Vector Machines and Kernel Methods: The New Generation of Learning Machines. AI Mag. 2002, 23, 31–41. [Google Scholar] [CrossRef]
- Yang, C.C.; Lee, W.J.; Lee, S.J. Learning of kernel functions in support vector machines. In Proceedings of the 2006 IEEE International Joint Conference on Neural Network Proceedings, Vancouver, BC, Canada, 16–21 July 2006. [Google Scholar] [CrossRef]
- Tharwat, A. Parameter investigation of support vector machine classifier with kernel functions. Knowl. Inf. Syst. 2019, 61, 1269–1302. [Google Scholar] [CrossRef]
- Liu, Z.; Xu, H. Kernel parameter selection for support vector machine classification. J. Algorithms Comput. Technol. 2014, 8, 163–177. [Google Scholar] [CrossRef]
- Thomasberger, A.; Nielsen, M.M.; Flindt, M.R.; Pawar, S.; Svane, N. Comparative Assessment of Five Machine Learning Algorithms for Supervised Object-Based Classification of Submerged Seagrass Beds Using High-Resolution UAS Imagery. Remote Sens. 2023, 15, 3600. [Google Scholar] [CrossRef]
- Speiser, J.L.; Miller, M.E.; Tooze, J.; Ip, E. A Comparison of Random Forest Variable Selection Methods for Classification Prediction Modeling. Expert Syst. Appl. 2019, 134, 93–101. [Google Scholar] [CrossRef]
- Rigatti, S.J. Random forest. J. Insur. Med. 2017, 47, 31–39. [Google Scholar] [CrossRef]
- Breiman, L. Random Forests. Mach. Learn. 2001, 45, 5–32. [Google Scholar] [CrossRef]
- Pal, M. Random forest classifier for remote sensing classification. Int. J. Remote Sens. 2005, 26, 217–222. [Google Scholar] [CrossRef]
- Belgiu, M.; Drăguţ, L. Random forest in remote sensing: A review of applications and future directions. ISPRS J. Photogramm. Remote Sens. 2016, 114, 24–31. [Google Scholar] [CrossRef]
- Gislason, P.O.; Benediktsson, J.A.; Sveinsson, J.R. Random Forests for land cover classification. Pattern Recognit. Lett. 2006, 27, 294–300. [Google Scholar] [CrossRef]
- Rodriguez-Galiano, V.F.; Ghimire, B.; Rogan, J.; Olmo, M.C.; Rigol-Sanchez, J.P. An assessment of the effectiveness of a random forest classifier for land-cover classification. ISPRS J. Photogramm. Remote Sens. 2012, 67, 93–104. [Google Scholar] [CrossRef]
- Chikh, M.A.; Saidi, M.; Settouti, N. Diagnosis of diabetes diseases using an artificial immune recognition system2 (AIRS2) with fuzzy k-nearest neighbor. J. Med. Syst. 2012, 36, 2721–2729. [Google Scholar] [CrossRef]
- Akbulut, Y.; Sengur, A.; Guo, Y.; Smarandache, F. NS-k-NN: Neutrosophic Set-Based k-Nearest Neighbors Classifier. Symmetry 2017, 9, 179. [Google Scholar] [CrossRef]
- Zhang, S.C.; Li, X.L.; Zong, M.; Zhu, X.F.; Cheng, D.B. Learning k for kNN Classification. ACM Trans. Intell. Syst. Technol. 2017, 8, 1–19. [Google Scholar] [CrossRef]
- He, Q.P.; Wang, J. Fault detection using the k-nearest neighbor rule for semiconductor manufacturing processes. IEEE Trans. Semicond. Manuf. 2007, 20, 345–354. [Google Scholar] [CrossRef]
- Hu, L.Y.; Huang, M.W.; Ke, S.W.; Tsai, C.F. The distance function effect on k-nearest neighbor classification for medical datasets. SpringerPlus 2016, 5, 1304. [Google Scholar] [CrossRef] [PubMed]
- Shahabi, H.; Shirzadi, A.; Ghaderi, K.; Omidvar, E.; Al-Ansari, N.; Clague, J.J.; Geertsema, M.; Khosravi, K.; Amini, A.; Bahrami, S.; et al. Flood Detection and Susceptibility Mapping Using Sentinel-1 Remote Sensing Data and a Machine Learning Approach: Hybrid Intelligence of Bagging Ensemble Based on K-Nearest Neighbor Classifier. Remote Sens. 2020, 12, 266. [Google Scholar] [CrossRef]
- Liu, C.L.; Lee, C.H.; Lin, P.M. A fall detection system using k-nearest neighbor classifier. Expert Syst. Appl. 2010, 37, 7174–7181. [Google Scholar] [CrossRef]
- Zhang, S.C. KNN-CF Approach: Incorporating Certainty Factor to kNN Classification. IEEE Intell. Inform. Bull. 2010, 11, 24–33. [Google Scholar]
- Keller, J.M.; Gray, M.R.; Givens, J.A. A fuzzy k-nearest neighbor algorithm. IEEE Trans. Syst. Man Cybern. 1985, 15, 580–585. [Google Scholar] [CrossRef]














| Kernel Function | No CWI | 1 CWI | 2 CWIs | 3 CWIs | 4 CWIs |
|---|---|---|---|---|---|
| Linear | 0 | 0 | 0 | 0 | 0 |
| Gaussian | −0.71 | −1.00 | −1.57 | −1.88 | −1.63 |
| 2-order polynomial | −0.74 | −0.87 | −1.70 | −2.52 | −2.52 |
| 3-order polynomial | −2.73 | −3.05 | −4.57 | −4.85 | −5.73 |
| Method | Feature Selection Scheme | No CWI | 1 CWI | 2 CWIs | 3 CWIs | 4 CWIs |
|---|---|---|---|---|---|---|
| MSVM | Scheme 1 | 0 | 0 | 0 | 0 | 0 |
| Scheme 2 | 2.34 | 2.48 | 2.56 | 2.58 | 2.71 | |
| Scheme 3 | 4.03 | 5.01 | 4.99 | 4.60 | 4.64 | |
| RF | Scheme 1 | 0 | 0 | 0 | 0 | 0 |
| Scheme 2 | 2.92 | 3.18 | 3.20 | 3.23 | 3.45 | |
| Scheme 3 | 4.11 | 5.76 | 6.26 | 4.88 | 4.69 | |
| KNN | Scheme 1 | 0 | 0 | 0 | 0 | 0 |
| Scheme 2 | 2.32 | 2.49 | 2.58 | 2.61 | 2.89 | |
| Scheme 3 | 3.66 | 5.23 | 5.98 | 4.72 | 4.93 |
| Method | No CWI | 1 CWI | 2 CWIs | 3 CWIs | 4 CWIs |
|---|---|---|---|---|---|
| EPD | 0 | 0 | 0 | 0 | 0 |
| MSVM | 7.84 | 15.16 | 12.87 | 11.70 | 12.18 |
| RF | 6.79 | 13.14 | 10.66 | 9.87 | 9.84 |
| KNN | 6.48 | 12.35 | 11.08 | 10 | 10.04 |
| CRD | 2.63 | 7.39 | 4.45 | 3.65 | 2.94 |
Disclaimer/Publisher’s Note: The statements, opinions and data contained in all publications are solely those of the individual author(s) and contributor(s) and not of MDPI and/or the editor(s). MDPI and/or the editor(s) disclaim responsibility for any injury to people or property resulting from any ideas, methods, instructions or products referred to in the content. |
© 2024 by the authors. Licensee MDPI, Basel, Switzerland. This article is an open access article distributed under the terms and conditions of the Creative Commons Attribution (CC BY) license (https://creativecommons.org/licenses/by/4.0/).
Share and Cite
Liu, S.; Yan, B.; Guo, W.; Hua, Y.; Zhang, S.; Lu, J.; Xu, L.; Yang, D. Research on ELoran Demodulation Algorithm Based on Multiclass Support Vector Machine. Remote Sens. 2024, 16, 3349. https://doi.org/10.3390/rs16173349
Liu S, Yan B, Guo W, Hua Y, Zhang S, Lu J, Xu L, Yang D. Research on ELoran Demodulation Algorithm Based on Multiclass Support Vector Machine. Remote Sensing. 2024; 16(17):3349. https://doi.org/10.3390/rs16173349
Chicago/Turabian StyleLiu, Shiyao, Baorong Yan, Wei Guo, Yu Hua, Shougang Zhang, Jun Lu, Lu Xu, and Dong Yang. 2024. "Research on ELoran Demodulation Algorithm Based on Multiclass Support Vector Machine" Remote Sensing 16, no. 17: 3349. https://doi.org/10.3390/rs16173349
APA StyleLiu, S., Yan, B., Guo, W., Hua, Y., Zhang, S., Lu, J., Xu, L., & Yang, D. (2024). Research on ELoran Demodulation Algorithm Based on Multiclass Support Vector Machine. Remote Sensing, 16(17), 3349. https://doi.org/10.3390/rs16173349

