A Near Standard Soil Samples Spectra Enhanced Modeling Strategy for Cd Concentration Prediction
Abstract
:1. Introduction
2. Materials and Methods
2.1. Experiment Framework
2.2. Soil Sampling, Production and Chemical Analysis
2.2.1. Field soil Sampling
2.2.2. Near Standard Soil Cd Samples Production
2.2.3. Laboratory Chemical Analysis
2.3. Spectra Measurement and Pretreatment
2.4. Model Construction and Validation
2.4.1. Prior Spectral Bands Extraction
2.4.2. Model Calibration and Validation
3. Results
3.1. Cd Concentration Statistics of Soil Samples
3.2. Spectral Response Characteristics of Soil Samples
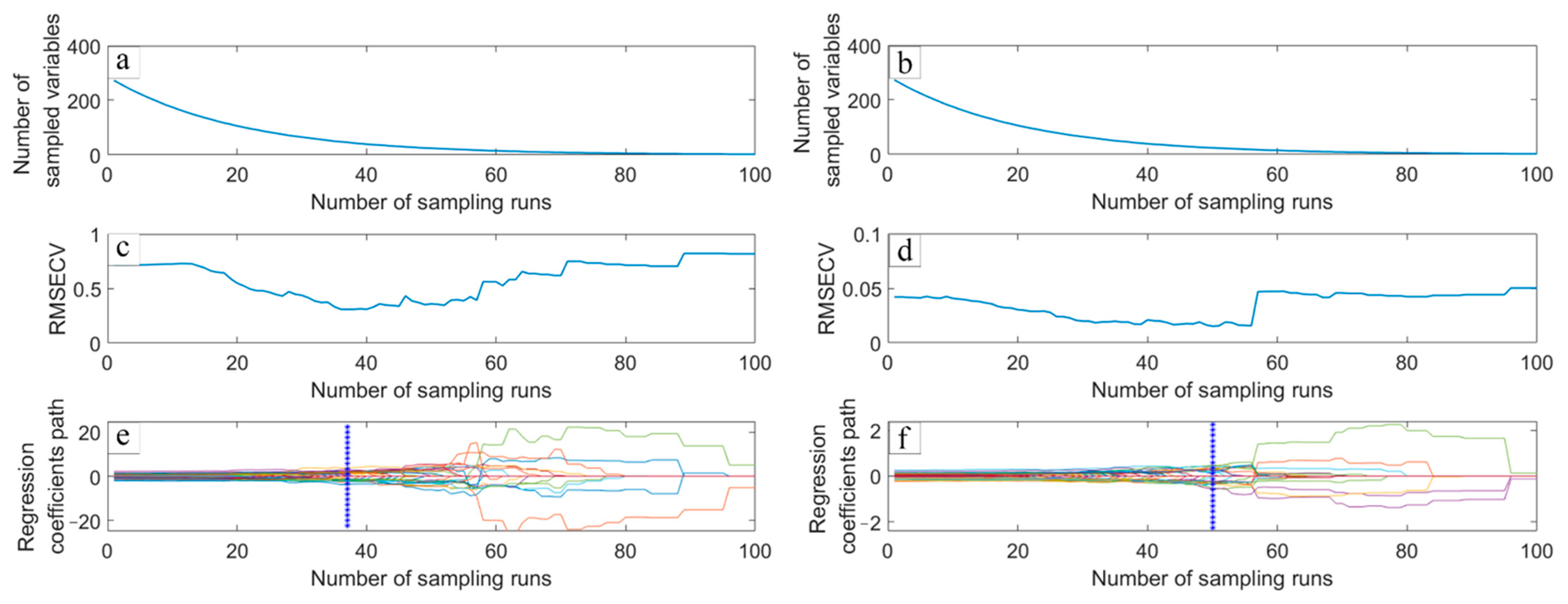
3.3. Prior Spectral Bands Extraction from NSSCd
3.4. Prediction Precision of NSSCd Enhanced Model
4. Discussion
5. Conclusions
- The NSSCd spectra enhanced modeling strategy can effectively predict Cd concentration in different areas.
- NSSCd prior spectral bands are important for the selection of spectral response characteristics from VNIR of natural soil samples.
- The VIP method is more helpful to select the key band for predicting Cd concentration than the CARS method.
Author Contributions
Funding
Institutional Review Board Statement
Informed Consent Statement
Data Availability Statement
Acknowledgments
Conflicts of Interest
Appendix A
| Samples Set | pH | SOM (g/kg) | Fe (g/kg) | Cd (mg/kg) | Cu (mg/kg) | Pb (mg/kg) | As (mg/kg) | |
|---|---|---|---|---|---|---|---|---|
| NSSCd background soil | 4.17 | 6.78 | 21.03 | 0.38 | 16.50 | 26.10 | 9.77 | |
| Hengyang | Mean | 5.49 | 42.22 | 50.17 | 28.85 | 259.73 | 2584.57 | 684.40 |
| SD | 1.49 | 53.04 | 48.93 | 50.72 | 506.63 | 3647.29 | 1166.93 | |
| CV | 0.27 | 1.26 | 0.98 | 1.76 | 1.95 | 1.41 | 1.71 | |
| Baoding | Mean | 8.17 | 86.42 | 0.35 | 123.31 | 8.85 | ||
| SD | 0.21 | 26.76 | 0.06 | 46.52 | 2.70 | |||
| CV | 0.03 | 0.31 | 0.17 | 0.38 | 0.31 |
| Sampling Area | Number of Sampling | Min | Max | Reference |
|---|---|---|---|---|
| Suburban area | 44 | 0.32 | 0.51 | [34] |
| Suburban area | 93 | 0.22 | 0.64 | [23] |
| Mining area | 40 | 0.17 | 1.74 | [61] |
| Mining area | 70 | 0.17 | 34 | [30] |
| Mining area | 46 | 0.72 | 215.83 | [3,29] |
| River sediments | 117 | 0 | 18 | [32] |
| Freshwater sediments | 169 | 0.011 | 2.49 | [31] |
| River sediments | 150 | 0.022 | 0.08 | [62] |
| Delta area | 61 | 0.22 | 0.54 | [10] |
| Delta area | 122 | 0.081 | 1.441 | [34] |
| Archaeological soil | 11 | 0.07 | 0.11 | [63] |
| Tailings polluted area | 214 | 0.05 | 14.8 | [12] |
| Sample Set | Selected Validation Set | PLSNSS-VIP-VNIR | CARS-PLSNSS-VIP-VNIR | RFNSS-VIP-VNIR | ||||||
|---|---|---|---|---|---|---|---|---|---|---|
| RMSEP | R2p | RPD | RMSEP | R2p | RPD | RMSEP | R2p | RPD | ||
| Hengyang | (1) | 0.555 | 0.71 | 1.95 | 0.610 | 0.65 | 1.77 | 0.661 | 0.59 | 1.63 |
| (2) | 0.618 | 0.40 | 1.36 | 0.622 | 0.40 | 1.35 | 0.411 | 0.45 | 1.42 | |
| Baoding | (1) | 0.029 | 0.68 | 1.90 | 0.025 | 0.76 | 2.19 | 0.034 | 0.42 | 1.42 |
| (2) | 0.050 | 0.53 | 1.58 | 0.053 | 0.48 | 1.50 | 0.059 | 0.36 | 1.35 | |
References
- Cao, S.; Duan, X.; Zhao, X.; Ma, J.; Dong, T.; Huang, N.; Sun, C.; He, B.; Wei, F. Health Risks from the Exposure of Children to As, Se, Pb and Other Heavy Metals near the Largest Coking Plant in China. Sci. Total Environ. 2014, 472, 1001–1009. [Google Scholar] [CrossRef]
- Wu, Z.; Chen, Y.; Han, Y.; Ke, T.; Liu, Y. Identifying the Influencing Factors Controlling the Spatial Variation of Heavy Metals in Suburban Soil Using Spatial Regression Models. Sci. Total Environ. 2020, 717, 137212. [Google Scholar] [CrossRef]
- Zhang, X.; Sun, W.; Cen, Y.; Zhang, L.; Wang, N. Predicting Cadmium Concentration in Soils Using Laboratory and Field Reflectance Spectroscopy. Sci. Total Environ. 2019, 650, 321–334. [Google Scholar] [CrossRef]
- Jiang, X.; Zou, B.; Feng, H.; Tang, J.; Tu, Y.; Zhao, X. Spatial Distribution Mapping of Hg Contamination in Subclass Agricultural Soils Using GIS Enhanced Multiple Linear Regression. J. Geochem. Explor. 2019, 196, 1–7. [Google Scholar] [CrossRef]
- Khosravi, V.; Doulati Ardejani, F.; Yousefi, S.; Aryafar, A. Monitoring Soil Lead and Zinc Contents via Combination of Spectroscopy with Extreme Learning Machine and Other Data Mining Methods. Geoderma 2018, 318, 29–41. [Google Scholar] [CrossRef]
- Achary, M.S.; Satpathy, K.K.; Panigrahi, S.; Mohanty, A.K.; Padhi, R.K.; Biswas, S.; Prabhu, R.K.; Vijayalakshmi, S.; Panigrahy, R.C. Concentration of Heavy Metals in the Food Chain Components of the Nearshore Coastal Waters of Kalpakkam, Southeast Coast of India. Food Control 2017, 72, 232–243. [Google Scholar] [CrossRef]
- Chen, R.; de Sherbinin, A.; Ye, C.; Shi, G. China’s Soil Pollution: Farms on the Frontline. Science 2014, 344, 691. [Google Scholar] [CrossRef] [PubMed]
- Zou, B.; Jiang, X.; Duan, X.; Zhao, X.; Zhang, J.; Tang, J.; Sun, G. An Integrated H-G Scheme Identifying Areas for Soil Remediation and Primary Heavy Metal Contributors: A Risk Perspective. Sci. Rep. 2017, 7, 341. [Google Scholar] [CrossRef]
- Wang, F.; Gao, J.; Zha, Y. Hyperspectral Sensing of Heavy Metals in Soil and Vegetation: Feasibility and Challenges. ISPRS J. Photogramm. Remote Sens. 2018, 136, 73–84. [Google Scholar] [CrossRef]
- Wu, Y.; Chen, J.; Ji, J.; Gong, P.; Liao, Q.; Tian, Q.; Ma, H. A Mechanism Study of Reflectance Spectroscopy for Investigating Heavy Metals in Soils. Soil Sci. Soc. Am. J. 2007, 71, 918–926. [Google Scholar] [CrossRef]
- Jiang, Q.; Liu, M.; Wang, J.; Liu, F. Feasibility of Using Visible and Near-Infrared Reflectance Spectroscopy to Monitor Heavy Metal Contaminants in Urban Lake Sediment. Catena 2018, 162, 72–79. [Google Scholar] [CrossRef]
- Kemper, T.; Sommer, S. Estimate of Heavy Metal Contamination in Soils after a Mining Accident Using Reflectance Spectroscopy. Environ. Sci. Technol. 2002, 36, 2742–2747. [Google Scholar] [CrossRef] [PubMed]
- Tan, K.; Wang, H.; Zhang, Q.; Jia, X. An Improved Estimation Model for Soil Heavy Metal(Loid) Concentration Retrieval in Mining Areas Using Reflectance Spectroscopy. J. Soils Sediments 2018, 18, 2008–2022. [Google Scholar] [CrossRef]
- Tu, Y.L.; Zou, B.; Jiang, X.L.; Tao, C.; Feng, H.H. Hyperspectral Remote Sensing Based Modeling of Cu Content in Mining Soil. Spectrosc. Spectr. Anal. 2018, 38, 575–581. [Google Scholar]
- Yousefi, G.; Homaee, M.; Norouzi, A.A. Estimating Soil Heavy Metals Concentration at Large Scale Using Visible and Near-Infrared Reflectance Spectroscopy. Env. Monit. Assess 2018, 190, 513. [Google Scholar] [CrossRef]
- Tan, K.; Ma, W.; Chen, L.; Wang, H.; Du, Q.; Du, P.; Yan, B.; Liu, R.; Li, H. Estimating the Distribution Trend of Soil Heavy Metals in Mining Area from HyMap Airborne Hyperspectral Imagery Based on Ensemble Learning. J. Hazard. Mater. 2021, 401, 123288. [Google Scholar] [CrossRef] [PubMed]
- Li, H.; Liang, Y.; Xu, Q.; Cao, D. Key Wavelengths Screening Using Competitive Adaptive Reweighted Sampling Method for Multivariate Calibration. Anal. Chim. Acta 2009, 648, 77–84. [Google Scholar] [CrossRef]
- Hong, Y.; Chen, Y.; Yu, L.; Liu, Y.; Liu, Y.; Zhang, Y.; Liu, Y.; Cheng, H. Combining Fractional Order Derivative and Spectral Variable Selection for Organic Matter Estimation of Homogeneous Soil Samples by VIS–NIR Spectroscopy. Remote Sens. 2018, 10, 479. [Google Scholar] [CrossRef] [Green Version]
- Huang, X.; Luo, Y.-P.; Xu, Q.-S.; Liang, Y.-Z. Elastic Net Wavelength Interval Selection Based on Iterative Rank PLS Regression Coefficient Screening. Anal. Methods 2017, 9, 672–679. [Google Scholar] [CrossRef]
- Sun, W.; Zhang, X. Estimating Soil Zinc Concentrations Using Reflectance Spectroscopy. Int. J. Appl. Earth Obs. Geoinf. 2017, 58, 126–133. [Google Scholar] [CrossRef]
- Sun, W.; Zhang, X.; Sun, X.; Sun, Y.; Cen, Y. Predicting Nickel Concentration in Soil Using Reflectance Spectroscopy Associated with Organic Matter and Clay Minerals. Geoderma 2018, 327, 25–35. [Google Scholar] [CrossRef]
- Liu, Y.; Chen, Y. Estimation of Total Iron Content in Floodplain Soils Using VNIR Spectroscopy—A Case Study in the Le’an River Floodplain, China. Int. J. Remote Sens. 2012, 33, 5954–5972. [Google Scholar] [CrossRef]
- Choe, E.; van der Meer, F.; van Ruitenbeek, F.; van der Werff, H.; de Smeth, B.; Kim, K.-W. Mapping of Heavy Metal Pollution in Stream Sediments Using Combined Geochemistry, Field Spectroscopy, and Hyperspectral Remote Sensing: A Case Study of the Rodalquilar Mining Area, SE Spain. Remote Sens. Environ. 2008, 112, 3222–3233. [Google Scholar] [CrossRef]
- Cheng, H.; Shen, R.; Chen, Y.; Wan, Q.; Shi, T.; Wang, J.; Wan, Y.; Hong, Y.; Li, X. Estimating Heavy Metal Concentrations in Suburban Soils with Reflectance Spectroscopy. Geoderma 2019, 336, 59–67. [Google Scholar] [CrossRef]
- Chong, I.-G.; Jun, C.-H. Performance of Some Variable Selection Methods When Multicollinearity Is Present. Chemom. Intell. Lab. Syst. 2005, 78, 103–112. [Google Scholar] [CrossRef]
- Mehmood, T.; Liland, K.H.; Snipen, L.; Sæbø, S. A Review of Variable Selection Methods in Partial Least Squares Regression. Chemom. Intell. Lab. Syst. 2012, 118, 62–69. [Google Scholar] [CrossRef]
- Pallottino, F.; Stazi, S.R.; D’Annibale, A.; Marabottini, R.; Allevato, E.; Antonucci, F.; Costa, C.; Moscatelli, M.C.; Menesatti, P. Rapid Assessment of As and Other Elements in Naturally-Contaminated Calcareous Soil through Hyperspectral VIS-NIR Analysis. Talanta 2018, 190, 167–173. [Google Scholar] [CrossRef]
- Shi, T.; Liu, H.; Wang, J.; Chen, Y.; Fei, T.; Wu, G. Monitoring Arsenic Contamination in Agricultural Soils with Reflectance Spectroscopy of Rice Plants. Environ. Sci. Technol. 2014, 48, 6264–6272. [Google Scholar] [CrossRef] [PubMed]
- Zou, B.; Long, T.Y.; Jiang, X.L.; Tao, C.; Zhou, M.; Xiong, L.W. Estimation of Cd Content in Soil Using Combined Laboratory and Field DS Spectroscopy. Spectrosc. Spectr. Anal. 2019, 39, 3223–3231. [Google Scholar]
- Lü, J.; Jiao, W.-B.; Qiu, H.-Y.; Chen, B.; Huang, X.-X.; Kang, B. Origin and Spatial Distribution of Heavy Metals and Carcinogenic Risk Assessment in Mining Areas at You’xi County Southeast China. Geoderma 2018, 310, 99–106. [Google Scholar] [CrossRef]
- Siebielec, G.; McCarty, G.W.; Stuczynski, T.I.; Reeves, J.B. Near- and Mid-Infrared Diffuse Reflectance Spectroscopy for Measuring Soil Metal Content. J. Environ. Qual. 2004, 33, 2056–2069. [Google Scholar] [CrossRef] [Green Version]
- Malley, D.F.; Williams, P.C. Use of Near-Infrared Reflectance Spectroscopy in Prediction of Heavy Metals in Freshwater Sediment by Their Association with Organic Matter. Environ. Sci. Technol. 1997, 31, 3461–3467. [Google Scholar] [CrossRef]
- Moros, J.; de Vallejuelo, S.F.-O.; Gredilla, A.; de Diego, A.; Madariaga, J.M.; Garrigues, S.; de la Guardia, M. Use of Reflectance Infrared Spectroscopy for Monitoring the Metal Content of the Estuarine Sediments of the Nerbioi-Ibaizabal River (Metropolitan Bilbao, Bay of Biscay, Basque Country). Environ. Sci. Technol. 2009, 43, 9314–9320. [Google Scholar] [CrossRef]
- Song, Y.; Li, F.; Yang, Z.; Ayoko, G.A.; Frost, R.L.; Ji, J. Diffuse Reflectance Spectroscopy for Monitoring Potentially Toxic Elements in the Agricultural Soils of Changjiang River Delta, China. Appl. Clay Sci. 2012, 64, 75–83. [Google Scholar] [CrossRef]
- Horta, A.; Malone, B.; Stockmann, U.; Minasny, B.; Bishop, T.F.A.; McBratney, A.B.; Pallasser, R.; Pozza, L. Potential of Integrated Field Spectroscopy and Spatial Analysis for Enhanced Assessment of Soil Contamination: A Prospective Review. Geoderma 2015, 241–242, 180–209. [Google Scholar] [CrossRef] [Green Version]
- Ferrer, M.L.; Lawrence, C.; Demirjian, B.G.; Kivelson, D.; Alba-Simionesco, C.; Tarjus, G. Supercooled Liquids and the Glass Transition: Temperature as the Control Variable. J. Chem. Phys. 1998, 109, 8010–8015. [Google Scholar] [CrossRef]
- Pelta, R.; Ben-Dor, E. Assessing the Detection Limit of Petroleum Hydrocarbon in Soils Using Hyperspectral Remote-Sensing. Remote Sens. Environ. 2019, 224, 145–153. [Google Scholar] [CrossRef]
- Zhang, S.; Li, J.; Wang, S.; Huang, Y.; Li, Y.; Chen, Y.; Fei, T. Rapid Identification and Prediction of Cadmium-Lead Cross-Stress of Different Stress Levels in Rice Canopy Based on Visible and Near-Infrared Spectroscopy. Remote Sens. 2020, 12, 469. [Google Scholar] [CrossRef] [Green Version]
- Jiang, X.L.; Zou, B.; Tu, Y.L.; Feng, H.H.; Chen, X. Quantitative Estimation of Cd Concentrations of Type Standard Soil Samples Using Hyperspectral Data. Spectrosc. Spectr. Anal. 2018, 38, 3254–3260. [Google Scholar]
- Zou, B.; Jiang, X.; Feng, H.; Tu, Y.; Tao, C. Multisource Spectral-Integrated Estimation of Cadmium Concentrations in Soil Using a Direct Standardization and Spiking Algorithm. Sci. Total Environ. 2020, 701, 134890. [Google Scholar] [CrossRef]
- Wei, C.; Wang, C.; Yang, L. Characterizing Spatial Distribution and Sources of Heavy Metals in the Soils from Mining-Smelting Activities in Shuikoushan, Hunan Province, China. J. Environ. Sci. 2009, 21, 1230–1236. [Google Scholar] [CrossRef]
- Briki, M.; Ji, H.; Li, C.; Ding, H.; Gao, Y. Characterization, Distribution, and Risk Assessment of Heavy Metals in Agricultural Soil and Products around Mining and Smelting Areas of Hezhang, China. Env. Monit. Assess 2015, 187, 767. [Google Scholar] [CrossRef] [PubMed]
- Xu, D.; Chen, S.; Viscarra Rossel, R.A.; Biswas, A.; Li, S.; Zhou, Y.; Shi, Z. X-ray Fluorescence and Visible near Infrared Sensor Fusion for Predicting Soil Chromium Content. Geoderma 2019, 352, 61–69. [Google Scholar] [CrossRef]
- Wold, S.; Sjöström, M.; Eriksson, L. PLS-Regression: A Basic Tool of Chemometrics. Chemom. Intell. Lab. Syst. 2001, 58, 109–130. [Google Scholar] [CrossRef]
- Shi, T.; Chen, Y.; Liu, Y.; Wu, G. Visible and Near-Infrared Reflectance Spectroscopy—An Alternative for Monitoring Soil Contamination by Heavy Metals. J. Hazard. Mater. 2014, 265, 166–176. [Google Scholar] [CrossRef]
- Shepherd, K.D.; Walsh, M.G. Development of Reflectance Spectral Libraries for Characterization of Soil Properties. Soil Sci. Soc. Am. J. 2002, 66, 988–998. [Google Scholar] [CrossRef]
- Stoner, E.R.; Baumgardner, M.F. Characteristic Variations in Reflectance of Surface Soils. Soil Sci. Soc. Am. J. 1981, 45, 1161–1165. [Google Scholar] [CrossRef] [Green Version]
- Ben-Dor, E.; Banin, A. Near-Infrared Analysis as a Rapid Method to Simultaneously Evaluate Several Soil Properties. Soil Sci. Soc. Am. J. 1995, 59, 364–372. [Google Scholar] [CrossRef]
- Clark, R.N.; King, T.V.V.; Klejwa, M.; Swayze, G.A.; Vergo, N. High Spectral Resolution Reflectance Spectroscopy of Minerals. J. Geophys. Res. 1990, 95, 12653. [Google Scholar] [CrossRef] [Green Version]
- Viscarra Rossel, R.A.; McGlynn, R.N.; McBratney, A.B. Determining the Composition of Mineral-Organic Mixes Using UV–Vis–NIR Diffuse Reflectance Spectroscopy. Geoderma 2006, 137, 70–82. [Google Scholar] [CrossRef]
- Gu, Y.W.; Li, S.; Gao, W.; Wei, H. Hyperspectral Estimation of the Cadmium Content in Leaves of Brassica Rapa Chinesis Based on the Spectral Parameters. Acta Ecol. Sin. 2015, 35, 4445–4453. [Google Scholar]
- Kooistra, L.; Wehrens, R.; Leuven, R.S.E.W.; Buydens, L.M.C. Possibilities of Visible–near-Infrared Spectroscopy for the Assessment of Soil Contamination in River Floodplains. Anal. Chim. Acta 2001, 446, 97–105. [Google Scholar] [CrossRef]
- Kennard, R.W.; Stone, L.A. Computer Aided Design of Experiments. Technometrics 1969, 11, 137–148. [Google Scholar] [CrossRef]
- Nawar, S.; Mouazen, A.M. Optimal Sample Selection for Measurement of Soil Organic Carbon Using On-Line Vis-NIR Spectroscopy. Comput. Electron. Agric. 2018, 151, 469–477. [Google Scholar] [CrossRef]
- Breiman, L. Random Forests. Mach. Learn. 2001, 45, 5–32. [Google Scholar] [CrossRef] [Green Version]
- Belgiu, M.; Drăguţ, L. Random Forest in Remote Sensing: A Review of Applications and Future Directions. ISPRS J. Photogramm. Remote Sens. 2016, 114, 24–31. [Google Scholar] [CrossRef]
- Tan, K.; Wang, H.; Chen, L.; Du, Q.; Du, P.; Pan, C. Estimation of the Spatial Distribution of Heavy Metal in Agricultural Soils Using Airborne Hyperspectral Imaging and Random Forest. J. Hazard. Mater. 2020, 382, 120987. [Google Scholar] [CrossRef] [PubMed]
- Pyo, J.; Hong, S.M.; Kwon, Y.S.; Kim, M.S.; Cho, K.H. Estimation of Heavy Metals Using Deep Neural Network with Visible and Infrared Spectroscopy of Soil. Sci. Total Environ. 2020, 741, 140162. [Google Scholar] [CrossRef]
- Zhou, W.; Yang, H.; Xie, L.; Li, H.; Huang, L.; Zhao, Y.; Yue, T. Hyperspectral Inversion of Soil Heavy Metals in Three-River Source Region Based on Random Forest Model. CATENA 2021, 202, 105222. [Google Scholar] [CrossRef]
- Tao, C.; Wang, Y.; Cui, W.; Zou, B.; Zou, Z.; Tu, Y. A Transferable Spectroscopic Diagnosis Model for Predicting Arsenic Contamination in Soil. Sci. Total Environ. 2019, 669, 964–972. [Google Scholar] [CrossRef]
- Song, L.; Jian, J.; Tan, D.-J.; Xie, H.-B.; Luo, Z.-F.; Gao, B. Estimate of Heavy Metals in Soil and Streams Using Combined Geochemistry and Field Spectroscopy in Wan-Sheng Mining Area, Chongqing, China. Int. J. Appl. Earth Obs. Geoinf. 2015, 34, 1–9. [Google Scholar] [CrossRef]
- Hu, Y.; Qi, S.; Wu, C.; Ke, Y.; Chen, J.; Chen, W.; Gong, X. Preliminary Assessment of Heavy Metal Contamination in Surface Water and Sediments from Honghu Lake, East Central China. Front. Earth Sci. 2012, 6, 39–47. [Google Scholar] [CrossRef]
- Xu, M.X.; Wu, S.H.; Zhou, S.L.; Liao, F.Q.; Cheng, Z. Hyperspectral Reflectance Models for Retrieving Heavy Metal Content:Application in the Archaeological Soil. J. Infrared Millim. Waves 2011, 30, 109–114. [Google Scholar] [CrossRef]








| Sample No. | 1 | 2 | 3 | 4 | 5 | 6 | 7 | 8 | 9 | 10 | 11 | 12 | 13 |
|---|---|---|---|---|---|---|---|---|---|---|---|---|---|
| Expected | 0.50 | 0.60 | 0.80 | 1.00 | 1.10 | 1.20 | 1.30 | 1.40 | 1.50 | 1.60 | 1.70 | 1.80 | 2.00 |
| Measured | 0.47 | 0.63 | 0.80 | 1.00 | 1.46 | 1.58 | 1.65 | 1.90 | 2.0 | 2.10 | 2.31 | 2.31 | 2.67 |
| Sample No. | 14 | 15 | 16 | 17 | 18 | 19 | 20 | 21 | 22 | 23 | 24 | 25 | 26 |
| Expected | 3.00 | 4.00 | 5.00 | 6.00 | 7.00 | 8.00 | 9.00 | 10.00 | 11.00 | 12.00 | 13.00 | 14.00 | 15.00 |
| Measured | 3.86 | 5.08 | 5.76 | 6.70 | 8.74 | 9.65 | 10.46 | 12.28 | 12.98 | 13.96 | 15.05 | 15.34 | 17.21 |
| Sample No. | 27 | 28 | 29 | 30 | 31 | 32 | 33 | 34 | 35 | 36 | 37 | 38 | 39 |
| Expected | 16.00 | 17.00 | 18.00 | 19.00 | 20.00 | 21.00 | 22.00 | 23.00 | 24.00 | 25.00 | 26.00 | 27.00 | 28.00 |
| Measured | 18.03 | 18.49 | 19.46 | 19.50 | 22.73 | 23.83 | 23.90 | 25.15 | 25.80 | 27.87 | 28.88 | 30.25 | 30.43 |
| Sample No. | 40 | 41 | 42 | 43 | 44 | 45 | 46 | 47 | 48 | 49 | 50 | 51 | 52 |
| Expected | 29.00 | 30.00 | 31.00 | 32.00 | 33.00 | 34.00 | 35.00 | 36.00 | 37.00 | 38.00 | 39.00 | 40.00 | 41.00 |
| Measured | 30.94 | 32.36 | 33.22 | 33.50 | 35.25 | 35.46 | 38.21 | 38.24 | 40.36 | 41.30 | 42.40 | 43.58 | 44.58 |
| Sample No. | 53 | 54 | 55 | 56 | 57 | 58 | 59 | 60 | 61 | 62 | 63 | 64 | 65 |
| Expected | 42.00 | 43.00 | 44.00 | 45.00 | 46.00 | 47.00 | 48.00 | 49.00 | 50.00 | 51.00 | 52.00 | 53.00 | 54.00 |
| Measured | 46.13 | 47.71 | 49.43 | 51.46 | 52.64 | 52.95 | 54.36 | 54.69 | 55.89 | 56.09 | 56.64 | 58.69 | 58.95 |
| Samples Set | Min | Max | Mean | SD | CV |
|---|---|---|---|---|---|
| Hengyang (n = 57) | 0.72 | 215.83 | 25.07 | 45.55 | 1.82 |
| Baoding (n = 42) | 0.27 | 0.50 | 0.35 | 0.05 | 0.15 |
| NSSCd (n = 65) | 0.47 | 58.95 | 25.91 | 18.31 | 0.71 |
| Sample Set | The Ratio of the Validation Set | Model | LVs | RMSEP | R2p | RPD | Model | LVs | RMSEP | R2p | RPD |
|---|---|---|---|---|---|---|---|---|---|---|---|
| Hengyang | 1/5 (n = 11) | PLSNSS-VIP-VNIR | 3 | 0.555 | 0.71 | 1.95 | CARS-PLSNSS-VIP-VNIR | 3 | 0.610 | 0.65 | 1.77 |
| 1/4 (n = 14) * | 3 | 0.646 | 0.60 | 1.65 | 3 * | 0.656 * | 0.59 * | 1.62 | |||
| 1/3 (n = 19) | 3 | 0.565 | 0.67 | 1.78 | 4 | 0.545 | 0.69 | 1.84 | |||
| 1/2 (n = 28) | 3 | 0.618 | 0.57 | 1.55 | 3 | 0.651 | 0.52 | 1.47 | |||
| 1/5 (n = 11) | PLSVNIR | 3 | 0.626 | 0.63 | 1.72 | CARS-PLSVNIR | 3 | 0.790 | 0.41 | 1.37 | |
| 1/4 (n = 14) | 3 | 0.703 | 0.53 | 1.51 | 3 | 0.609 | 0.65 | 1.75 | |||
| 1/3 (n = 19) | 3 | 0.651 | 0.56 | 1.55 | 3 | 0.668 | 0.53 | 1.50 | |||
| 1/2 (n = 28) | 3 | 0.632 | 0.55 | 1.51 | 6 | 0.661 | 0.50 | 1.45 | |||
| Baoding | 1/5 (n = 8) | PLSNSS-VIP-VNIR | 5 | 0.029 | 0.68 | 1.90 | CARS-PLSNSS-VIP-VNIR | 4 | 0.025 | 0.76 | 2.19 |
| 1/4 (n = 10) | 5 | 0.028 | 0.65 | 1.79 | 5 | 0.036 | 0.42 | 1.39 | |||
| 1/3 (n = 14) | 3 | 0.037 | 0.38 | 1.33 | 5 | 0.049 | 0.32 | 1.27 | |||
| 1/2 (n = 21) * | 5 | 0.030 | 0.59 | 1.60 | 6 * | 0.031 * | 0.54 * | 1.51 * | |||
| 1/5 (n = 8) | PLSVNIR | 5 | 0.033 | 0.59 | 1.66 | CARS-PLSVNIR | 3 | 0.035 | 0.54 | 1.57 | |
| 1/4 (n = 10) | 3 | 0.030 | 0.60 | 1.68 | 5 | 0.041 | 0.25 | 1.23 | |||
| 1/3 (n = 14) | 4 | 0.040 | 0.30 | 1.25 | 3 | 0.051 | 0.26 | 1.21 | |||
| 1/2 (n = 21) | 3 | 0.032 | 0.53 | 1.50 | 4 | 0.030 | 0.59 | 1.60 |
Publisher’s Note: MDPI stays neutral with regard to jurisdictional claims in published maps and institutional affiliations. |
© 2021 by the authors. Licensee MDPI, Basel, Switzerland. This article is an open access article distributed under the terms and conditions of the Creative Commons Attribution (CC BY) license (https://creativecommons.org/licenses/by/4.0/).
Share and Cite
Tu, Y.; Zou, B.; Feng, H.; Zhou, M.; Yang, Z.; Xiong, Y. A Near Standard Soil Samples Spectra Enhanced Modeling Strategy for Cd Concentration Prediction. Remote Sens. 2021, 13, 2657. https://doi.org/10.3390/rs13142657
Tu Y, Zou B, Feng H, Zhou M, Yang Z, Xiong Y. A Near Standard Soil Samples Spectra Enhanced Modeling Strategy for Cd Concentration Prediction. Remote Sensing. 2021; 13(14):2657. https://doi.org/10.3390/rs13142657
Chicago/Turabian StyleTu, Yulong, Bin Zou, Huihui Feng, Mo Zhou, Zhihui Yang, and Ying Xiong. 2021. "A Near Standard Soil Samples Spectra Enhanced Modeling Strategy for Cd Concentration Prediction" Remote Sensing 13, no. 14: 2657. https://doi.org/10.3390/rs13142657
APA StyleTu, Y., Zou, B., Feng, H., Zhou, M., Yang, Z., & Xiong, Y. (2021). A Near Standard Soil Samples Spectra Enhanced Modeling Strategy for Cd Concentration Prediction. Remote Sensing, 13(14), 2657. https://doi.org/10.3390/rs13142657

