Short-Term Ecogeomorphic Evolution of a Fluvial Delta from Hindcasting Intertidal Marsh-Top Elevations (HIME)
Abstract
1. Introduction
- Are multiple stable ecogeomorphological states apparent even amid transient, rapidly changing, young delta sediment accumulation patterns?
- ○
- i.e., does sediment accumulate to specific elevations over interannual and decadal timescales? If so, at what elevations, and over how much spatial area?
- How are short-term morphodynamic changes related in space and time to delta island marsh ecosystem organization and vegetation zonation?
- What is the dependency of local morphodynamic change on prior elevation states?
- ○
- i.e., is a given elevation at a given point in time more likely to gain or lose elevation and area over succeeding years and decades?
- How do local, interannual expansions and contractions, accretion and erosion, of individual delta islands add up over a whole delta system and over several decades to provide a net accumulated sediment volume, topset rise, and area expansion of a young prograding delta?
2. Materials and Methods
2.1. Study Area
2.2. Study Overview
2.3. Hindcasting Intertidal Marsh-Top Elevation (HIME): Method Development
2.3.1. HIME Step 1: Marsh Exposure Probability Models, Pintail Island Test Case
2.3.2. HIME Step 2: Water Level Models, Pintail Island Test Case
2.3.3. HIME Step 3: Hindcasting Marsh-Top Elevation, Pintail Island Test Case
2.3.4. HIME Validation, Pintail Island Test Case
2.4. Hindcasting Intertidal Marsh-Top Elevations (HIME): Full-System Application
2.4.1. HIME Input Data and Procedure for Full WLD
2.4.2. Geographic, Regression, and Statistical Analyses
3. Results
3.1. HIME Method Testing and Validation
3.2. Hindcast WLD Elevation Models and Predictability from Geometric Features
3.3. Spatio-Temporal Patterns of Two Decades of WLD Marsh Change
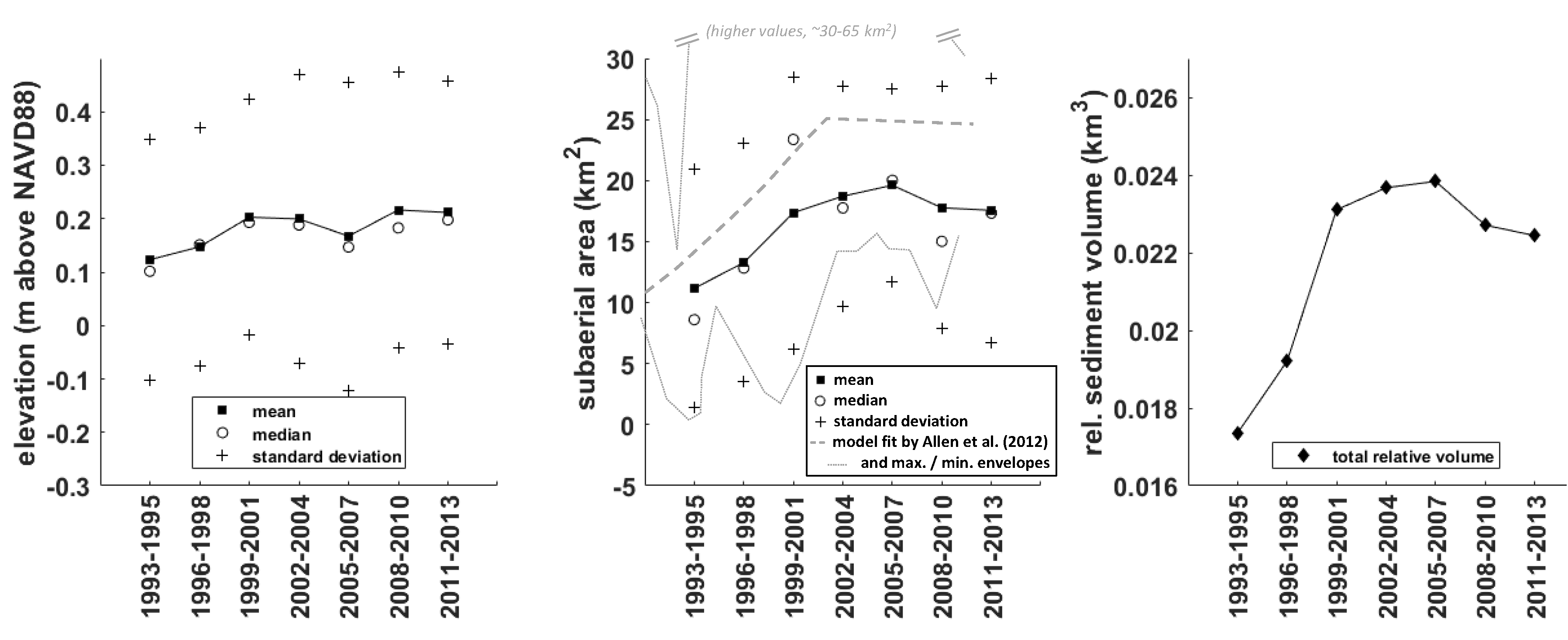
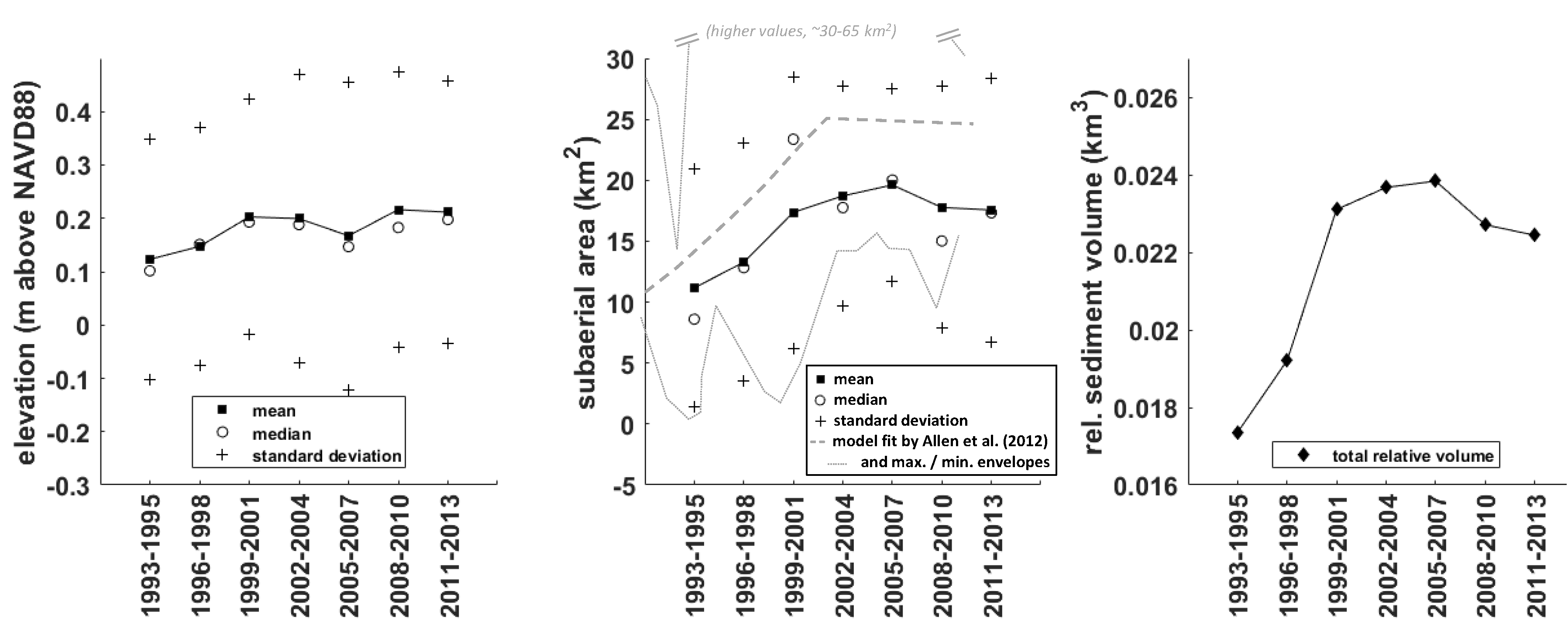
3.4. Overall Patterns of Sediment Deposition and Erosion
4. Discussion
4.1. Accuracy, Uncertainty, and Utility of HIME Method
4.2. Eco-Geomorpohological Insights from Hindcast Delta Topography
4.3. Predictability of Delta Topography from Spatial Position and Geometric Factors
5. Conclusions
Supplementary Materials
Author Contributions
Funding
Acknowledgments
Conflicts of Interest
References
- Moffett, K.B.; Nardin, W.; Silvestri, S.; Wang, C.; Temmerman, S. Multiple Stable States and Catastrophic Shifts in Coastal Wetlands: Progress, Challenges, and Opportunities in Validating Theory Using Remote Sensing and Other Methods. Remote Sens. 2015, 7, 10184–10226. [Google Scholar] [CrossRef]
- Larsen, L.G. Multiscale flow-vegetation-sediment feedbacks in low-gradient landscapes. Geomorphology 2019, 334, 165–193. [Google Scholar] [CrossRef]
- Carle, M.V.; Sasser, C.E. Productivity and Resilience: Long-Term Trends and Storm-Driven Fluctuations in the Plant Community of the Accreting Wax Lake Delta. Estuaries Coasts 2016, 39, 406–422. [Google Scholar] [CrossRef]
- Xing, F.; Syvitski, J.P.M.; Kettner, A.J.; Meselhe, E.A.; Atkinson, J.H.; Khadka, A.K. Morphological responses of the Wax Lake Delta, Louisiana, to Hurricanes Rita. Elem. Sci. Anthr. 2017, 5, 80. [Google Scholar] [CrossRef]
- Bevington, A.E.; Twilley, R.R.; Sasser, C.E.; Holm, G.O. Contribution of river floods, hurricanes, and cold fronts to elevation change in a deltaic floodplain, northern Gulf of Mexico, USA. Estuar. Coast. Shelf Sci. 2017, 191, 188–200. [Google Scholar] [CrossRef]
- Turner, R.E.; Baustian, J.J.; Swenson, E.M.; Spicer, J.S. Wetland Sedimentation from Hurricanes Katrina and Rita. Science 2006, 314, 449–452. [Google Scholar] [CrossRef]
- Canestrelli, A.; Nardin, W.; Edmonds, D.; Fagherazzi, S.; Slingerland, R. Importance of frictional effects and jet instability on the morphodynamics of river mouth bars and levees. J. Geophys. Res. Oceans 2014, 119, 509–522. [Google Scholar] [CrossRef]
- Edmonds, D.A.; Slingerland, R.L. Mechanics of river mouth bar formation: Implications for the morphodynamics of delta distributary networks. J. Geophys. Res. Earth Surf. 2007, 112. [Google Scholar] [CrossRef]
- Van Heerden, I.L.; Roberts, H.H. Facies Development of Atchafalaya Delta, Louisiana: A Modern Bayhead Delta. AAPG Bull. 1988, 72, 439–453. [Google Scholar] [CrossRef]
- Wellner, R.; Beaubouef, R.; van Wagoner, J.; Roberts, H.; Sun, T. Jet-plume depositional bodies—The primary building blocks of Wax Lake Delta. Trans. Gulf Coast Assoc. Geol. Soc. 2005, 55, 867–909. [Google Scholar]
- Hoyal, D.C.J.D.; Sheets, B.A. Morphodynamic evolution of experimental cohesive deltas. J. Geophys. Res. Earth Surf. 2009, 114. [Google Scholar] [CrossRef]
- Kim, W.; Dai, A.; Muto, T.; Parker, G. Delta progradation driven by an advancing sediment source: Coupled theory and experiment describing the evolution of elongated deltas. Water Resour. Res. 2009, 45. [Google Scholar] [CrossRef]
- Cahoon, D.R.; Reed, D.J. Relationships among Marsh Surface Topography, Hydroperiod, and Soil Accretion in a Deteriorating Louisiana Salt Marsh. J. Coast. Res. 1995, 11, 357–369. [Google Scholar]
- Edmonds, D.A.; Slingerland, R.L. Significant effect of sediment cohesion on delta morphology. Nat. Geosci. 2010, 3, 105–109. [Google Scholar] [CrossRef]
- Stoddart, D.R.; Reed, D.J.; French, J.R. Understanding salt-marsh accretion, Scolt Head Island, Norfolk, England. Estuaries 1989, 12, 228–236. [Google Scholar] [CrossRef]
- Fagherazzi, S.; Edmonds, D.A.; Nardin, W.; Leonardi, N.; Canestrelli, A.; Falcini, F.; Jerolmack, D.J.; Mariotti, G.; Rowland, J.C.; Slingerland, R.L. Dynamics of river mouth deposits. Rev. Geophys. 2015, 53, 642–672. [Google Scholar] [CrossRef]
- Ericson, J.; Vorosmarty, C.; Dingman, S.; Ward, L.; Meybeck, M. Effective sea-level rise and deltas: Causes of change and human dimension implications. Glob. Planet. Chang. 2006, 50, 63–82. [Google Scholar] [CrossRef]
- Olliver, E.A.; Edmonds, D.A.; Shaw, J.B. Influence of Floods, Tides, and Vegetation on Sediment Retention in Wax Lake Delta, Louisiana, USA. J. Geophys. Res. Earth Surf. 2020, 125. [Google Scholar] [CrossRef]
- Christiansen, T.; Wiberg, P.L.; Milligan, T.G. Flow and Sediment Transport on a Tidal Salt Marsh Surface. Estuar. Coast. Shelf Sci. 2000, 50, 315–331. [Google Scholar] [CrossRef]
- Leonard, L.A.; Luther, M.E. Flow Hydrodynamics in Tidal Marsh Canopies. Limnol. Oceanogr. 1995, 40, 1474–1484. [Google Scholar] [CrossRef]
- Mudd, S.M.; Howell, S.M.; Morris, J.T. Impact of dynamic feedbacks between sedimentation, sea-level rise, and biomass production on near-surface marsh stratigraphy and carbon accumulation. Estuar. Coast. Shelf Sci. 2009, 82, 377–389. [Google Scholar] [CrossRef]
- Palinkas, C.M.; Engelhardt, K.A.M.; Cadol, D. Evaluating physical and biological influences on sedimentation in a tidal freshwater marsh with 7Be. Estuar. Coast. Shelf Sci. 2013, 129, 152–161. [Google Scholar] [CrossRef]
- Pasternack, G.B.; Brush, G.S. Seasonal Variations in Sedimentation and Organic Content in Five Plant Associations on a Chesapeake Bay Tidal Freshwater Delta. Estuar. Coast. Shelf Sci. 2001, 53, 93–106. [Google Scholar] [CrossRef]
- Darke, A.K.; Megonigal, J.P. Control of sediment deposition rates in two mid-Atlantic Coast tidal freshwater wetlands. Estuar. Coast. Shelf Sci. 2003, 57, 255–268. [Google Scholar] [CrossRef]
- Nardin, W.; Edmonds, D.A. Optimum vegetation height and density for inorganic sedimentation in deltaic marshes. Nat. Geosci. 2014, 7, 722–726. [Google Scholar] [CrossRef]
- Moffett, K.B.; Gorelick, S.M. Alternative stable states of tidal marsh vegetation patterns and channel complexity. Ecohydrology 2016, 9, 1639–1662. [Google Scholar] [CrossRef]
- Olliver, E.A.; Edmonds, D.A. Defining the ecogeomorphic succession of land building for freshwater, intertidal wetlands in Wax Lake Delta, Louisiana. Estuar. Coast. Shelf Sci. 2017, 196, 45–57. [Google Scholar] [CrossRef]
- Wagner, W.; Lague, D.; Mohrig, D.; Passalacqua, P.; Shaw, J.; Moffett, K. Elevation change and stability on a prograding delta. Geophys. Res. Lett. 2017. [Google Scholar] [CrossRef]
- Ma, H.; Larsen, L.G.; Wagner, R.W. Ecogeomorphic Feedbacks that Grow Deltas. J. Geophys. Res. Earth Surf. 2018, 123, 3228–3250. [Google Scholar] [CrossRef]
- Bevington, A.E.; Twilley, R.R. Island Edge Morphodynamics along a Chronosequence in a Prograding Deltaic Floodplain Wetland. J. Coast. Res. 2018, 344, 806–817. [Google Scholar] [CrossRef]
- O’Connor, M.T.; Moffett, K.B. Groundwater dynamics and surface water–groundwater interactions in a prograding delta island, Louisiana, USA. J. Hydrol. 2015, 524, 15–29. [Google Scholar] [CrossRef]
- Carle, M.V.; Sasser, C.E.; Roberts, H.H. Accretion and Vegetation Community Change in the Wax Lake Delta Following the Historic 2011 Mississippi River Flood. J. Coast. Res. 2015, 313, 569–587. [Google Scholar] [CrossRef]
- Twilley, R.R.; Day, J.W.; Bevington, A.E.; Castañeda-Moya, E.; Christensen, A.; Holm, G.; Heffner, L.R.; Lane, R.; McCall, A.; Aarons, A.; et al. Ecogeomorphology of coastal deltaic floodplains and estuaries in an active delta: Insights from the Atchafalaya Coastal Basin. Estuar. Coast. Shelf Sci. 2019, 227, 106341. [Google Scholar] [CrossRef]
- Hoitink, A.J.F.; Nittrouer, J.A.; Passalacqua, P.; Shaw, J.B.; Langendoen, E.J.; Huismans, Y.; Maren, D.S. Resilience of River Deltas in the Anthropocene. J. Geophys. Res. Earth Surf. 2020, 125. [Google Scholar] [CrossRef]
- Shen, Z.; Törnqvist, T.E.; Mauz, B.; Chamberlain, E.L.; Nijhuis, A.G.; Sandoval, L. Episodic overbank deposition as a dominant mechanism of floodplain and delta-plain aggradation. Geology 2015, 43, 875–878. [Google Scholar] [CrossRef]
- Esposito, C.R.; Shen, Z.; Törnqvist, T.E.; Marshak, J.; White, C. Efficient retention of mud drives land building on the Mississippi Delta plain. Earth Surf. Dyn. 2017, 5, 387–397. [Google Scholar] [CrossRef]
- Wilson, C.A.; Goodbred, S.L. Construction and Maintenance of the Ganges-Brahmaputra-Meghna Delta: Linking Process, Morphology, and Stratigraphy. Annu. Rev. Mar. Sci. 2015, 7, 67–88. [Google Scholar] [CrossRef]
- Törnqvist, T.E. Middle and late Holocene avulsion history of the River Rhine (Rhine-Meuse delta, Netherlands). Geology 1994, 22, 711–714. [Google Scholar] [CrossRef]
- Stouthamer, E.; Berendsen, H.J.A. Factors Controlling the Holocene Avulsion History of the Rhine-Meuse Delta (The Netherlands). J. Sediment. Res. 2000, 70, 1051–1064. [Google Scholar] [CrossRef]
- Chamberlain, E.L.; Törnqvist, T.E.; Shen, Z.; Mauz, B.; Wallinga, J. Anatomy of Mississippi Delta growth and its implications for coastal restoration. Sci. Adv. 2018, 4, eaar4740. [Google Scholar] [CrossRef]
- Kuenzer, C.; Guo, H.; Huth, J.; Leinenkugel, P.; Li, X.; Dech, S. Flood Mapping and Flood Dynamics of the Mekong Delta: ENVISAT-ASAR-WSM Based Time Series Analyses. Remote Sens. 2013, 5, 687–715. [Google Scholar] [CrossRef]
- Kuenzer, C.; Klein, I.; Ullmann, T.; Georgiou, E.F.; Baumhauer, R.; Dech, S. Remote Sensing of River Delta Inundation: Exploiting the Potential of Coarse Spatial Resolution, Temporally-Dense MODIS Time Series. Remote Sens. 2015, 7, 8516–8542. [Google Scholar] [CrossRef]
- Mason, D.C.; Davenport, I.J.; Robinson, G.J.; Flather, R.A.; McCartney, B.S. Construction of an inter-tidal digital elevation model by the ‘Water-Line’ Method. Geophys. Res. Lett. 1995, 22, 3187–3190. [Google Scholar] [CrossRef]
- Allison, M.A.; Demas, C.R.; Ebersole, B.A.; Kleiss, B.A.; Little, C.D.; Meselhe, E.A.; Powell, N.J.; Pratt, T.C.; Vosburg, B.M. A water and sediment budget for the lower Mississippi–Atchafalaya River in flood years 2008–2010: Implications for sediment discharge to the oceans and coastal restoration in Louisiana. J. Hydrol. 2012, 432, 84–97. [Google Scholar] [CrossRef]
- Rouse, L.J.; Roberts, H.H.; Cunningham, R.H.W. Satellite observation of the subaerial growth of the Atchafalaya Delta, Louisiana. Geology 1978, 6, 405–408. [Google Scholar] [CrossRef]
- Mossa, J. The changing geomorphology of the Atchafalaya River, Louisiana: A historical perspective. Geomorphology 2016, 252, 112–127. [Google Scholar] [CrossRef]
- Roberts, H.H.; Walker, N.; Cunningham, R.; Kemp, G.P.; Majersky, S. Evolution of sedimentary architecture and surface morphology: Atchafalaya and Wax Lake Deltas, Louisiana (1973-1994). Gulf Coast Assoc. Geol. Soc. Trans. 1997, 47, 8. [Google Scholar]
- NCALM. Wax Lake Delta, Louisiana, USA 2009; National Center for Airborne Laser Mapping, Distributed by OpenTopography: La Jolla, CA, USA, 2016. [Google Scholar] [CrossRef]
- NOAA. Tides and Currents Station Page for 8764227, LAWMA, Amerada Pass, Louisiana; National Oceanographic and Atmospheric Administration: Silver Spring, MD, USA, 2013. [Google Scholar]
- Geleynse, N.; Hiatt, M.; Sangireddy, H.; Passalacqua, P. Identifying environmental controls on the shoreline of a natural river delta. J. Geophys. Res. Earth Surf. 2015, 120, 877–893. [Google Scholar] [CrossRef]
- Roberts, H.H.; Coleman, J.M. Holocene evolution of the deltaic plain: A perspective—From Fisk to present. Eng. Geol. 1996, 45, 113–138. [Google Scholar] [CrossRef]
- Kim, W. Geomorphology: Flood-built land. Nat. Geosci. 2012, 5, 521–522. [Google Scholar] [CrossRef]
- Peyronnin, N.; Caffey, R.; Cowan, J.; Justic, D.; Kolker, A.; Laska, S.; McCorquodale, A.; Melancon, E.; Nyman, J.; Twilley, R.; et al. Optimizing Sediment Diversion Operations: Working Group Recommendations for Integrating Complex Ecological and Social Landscape Interactions. Water 2017, 9, 368. [Google Scholar] [CrossRef]
- DeLaune, R.D.; Sasser, C.E.; Evers-Hebert, E.; White, J.R.; Roberts, H.H. Influence of the Wax Lake Delta sediment diversion on aboveground plant productivity and carbon storage in deltaic island and mainland coastal marshes. Estuar. Coast. Shelf Sci. 2016, 177, 83–89. [Google Scholar] [CrossRef]
- Kenney, M.A.; Hobbs, B.F.; Mohrig, D.; Huang, H.; Nittrouer, J.A.; Kim, W.; Parker, G. Cost analysis of water and sediment diversions to optimize land building in the Mississippi River delta. Water Resour. Res. 2013, 49, 3388–3405. [Google Scholar] [CrossRef]
- Cathcart, C.; Shaw, J.B.; Amos, M. Validation of Streaklines as Recorders of Synoptic Flow Direction in a Deltaic Setting. Remote Sens. 2020, 12, 148. [Google Scholar] [CrossRef]
- Wagner, W.; Mohrig, D. Flow and Sediment Flux Asymmetry in a Branching Channel Delta. Water Resour. Res. 2019, 55, 9563–9577. [Google Scholar] [CrossRef]
- Shaw, J.B.; Mohrig, D.; Wagner, R.W. Flow patterns and morphology of a prograding river delta. J. Geophys. Res. Earth Surf. 2016, 121, 372–391. [Google Scholar] [CrossRef]
- Shaw, J.B.; Mohrig, D. The importance of erosion in distributary channel network growth, Wax Lake Delta, Louisiana, USA. Geology 2014, 42, 31–34. [Google Scholar] [CrossRef]
- Shaw, J.B.; Mohrig, D.; Whitman, S.K. The morphology and evolution of channels on the Wax Lake Delta, Louisiana, USA. J. Geophys. Res. Earth Surf. 2013, 118, 1562–1584. [Google Scholar] [CrossRef]
- Ke, W.; Shaw, J.B.; Mahon, R.C.; Cathcart, C.A. Distributary Channel Networks as Moving Boundaries: Causes and Morphodynamic Effects. J. Geophys. Res. Earth Surf. 2019, 124, 1878–1898. [Google Scholar] [CrossRef]
- Shaw, J.B.; Estep, J.D.; Whaling, A.R.; Sanks, K.M.; Edmonds, D.A. Measuring subaqueous progradation of the Wax Lake Delta with a model of flow direction divergence. Earth Surf. Dyn. 2018, 6, 1155–1168. [Google Scholar] [CrossRef]
- Tejedor, A.; Longjas, A.; Zaliapin, I.; Foufoula-Georgiou, E. Delta channel networks: 1. A graph-theoretic approach for studying connectivity and steady state transport on deltaic surfaces. Water Resour. Res. 2015, 51, 3998–4018. [Google Scholar] [CrossRef]
- Roberts, H.H.; DeLaune, R.D.; White, J.R.; Li, C.; Sasser, C.E.; Braud, D.; Weeks, E.; Khalil, S. Floods and Cold Front Passages: Impacts on Coastal Marshes in a River Diversion Setting (Wax Lake Delta Area, Louisiana). J. Coast. Res. 2015, 315, 1057–1068. [Google Scholar] [CrossRef]
- Li, C.; Roberts, H.; Stone, G.W.; Weeks, E.; Luo, Y. Wind surge and saltwater intrusion in Atchafalaya Bay during onshore winds prior to cold front passage. Hydrobiologia 2011, 658, 27–39. [Google Scholar] [CrossRef]
- Gao, W.; Shao, D.; Wang, Z.B.; Nardin, W.; Rajput, P.; Yang, W.; Sun, T.; Cui, B. Long-Term Cumulative Effects of Intra-Annual Variability of Unsteady River Discharge on the Progradation of Delta Lobes: A Modeling Perspective. J. Geophys. Res. Earth Surf. 2019, 124, 960–973. [Google Scholar] [CrossRef]
- Hiatt, M.; Castañeda-Moya, E.; Twilley, R.; Hodges, B.R.; Passalacqua, P. Channel-Island Connectivity Affects Water Exposure Time Distributions in a Coastal River Delta. Water Resour. Res. 2018, 54, 2212–2232. [Google Scholar] [CrossRef]
- Wright, K.; Hiatt, M.; Passalacqua, P. Hydrological Connectivity in Vegetated River Deltas: The Importance of Patchiness Below a Threshold. Geophys. Res. Lett. 2018, 45, 10416–10427. [Google Scholar] [CrossRef]
- Hiatt, M.; Passalacqua, P. What Controls the Transition from Confined to Unconfined Flow? Analysis of Hydraulics in a Coastal River Delta. J. Hydraul. Eng. 2017, 143, 03117003. [Google Scholar] [CrossRef]
- Hiatt, M.; Passalacqua, P. Hydrological connectivity in river deltas: The first-order importance of channel-island exchange. Water Resour. Res. 2015, 51, 2264–2282. [Google Scholar] [CrossRef]
- Sendrowski, A.; Passalacqua, P. Process connectivity in a naturally prograding river delta: Process connectivity in deltas. Water Resour. Res. 2017, 53, 1841–1863. [Google Scholar] [CrossRef]
- Sendrowski, A.; Sadid, K.; Meselhe, E.; Wagner, W.; Mohrig, D.; Passalacqua, P. Transfer Entropy as a Tool for Hydrodynamic Model Validation. Entropy 2018, 20, 58. [Google Scholar] [CrossRef]
- Shields, M.R.; Bianchi, T.S.; Kolker, A.S.; Kenney, W.F.; Mohrig, D.; Osborne, T.Z.; Curtis, J.H. Factors Controlling Storage, Sources, and Diagenetic State of Organic Carbon in a Prograding Subaerial Delta: Wax Lake Delta, Louisiana. J. Geophys. Res. Biogeosciences 2019, 124, 1115–1131. [Google Scholar] [CrossRef]
- Shields, M.R.; Bianchi, T.S.; Mohrig, D.; Hutchings, J.A.; Kenney, W.F.; Kolker, A.S.; Curtis, J.H. Carbon storage in the Mississippi River delta enhanced by environmental engineering. Nat. Geosci. 2017, 10, 846–851. [Google Scholar] [CrossRef]
- Shields, M.R.; Bianchi, T.S.; Gélinas, Y.; Allison, M.A.; Twilley, R.R. Enhanced terrestrial carbon preservation promoted by reactive iron in deltaic sediments. Geophys. Res. Lett. 2016, 43, 1149–1157. [Google Scholar] [CrossRef]
- Henry, K.M.; Twilley, R.R. Nutrient Biogeochemistry During the Early Stages of Delta Development in the Mississippi River Deltaic Plain. Ecosystems 2014, 17, 327–343. [Google Scholar] [CrossRef]
- Upreti, K.; Maiti, K.; Rivera-Monroy, V.H. Microbial mediated sedimentary phosphorus mobilization in emerging and eroding wetlands of coastal Louisiana. Sci. Total Environ. 2019, 651, 122–133. [Google Scholar] [CrossRef] [PubMed]
- Shaheen, S.M.; Frohne, T.; White, J.R.; DeLaune, R.D.; Rinklebe, J. Redox-induced mobilization of copper, selenium, and zinc in deltaic soils originating from Mississippi (U.S.A.) and Nile (Egypt) River Deltas: A better understanding of biogeochemical processes for safe environmental management. J. Environ. Manag. 2017, 186, 131–140. [Google Scholar] [CrossRef]
- Shaheen, S.M.; Rinklebe, J.; Frohne, T.; White, J.R.; DeLaune, R.D. Redox effects on release kinetics of arsenic, cadmium, cobalt, and vanadium in Wax Lake Deltaic freshwater marsh soils. Chemosphere 2016, 150, 740–748. [Google Scholar] [CrossRef]
- DeLaune, R.D.; Rinklebe, J.; Roberts, H.H.; White, J.R. Trace Metal Concentrations in Marsh Profiles Under the Influence of an Emerging Delta (Atchafalaya River and Wax Lake Delta) Overlying a Several Thousand Year Old (Former) Mississippi River Delta Lobe. Soil Sediment Contam. Int. J. 2016, 25, 552–562. [Google Scholar] [CrossRef]
- McKee, M.; White, J.R.; Putnam-Duhon, L.A. Simulated storm surge effects on freshwater coastal wetland soil porewater salinity and extractable ammonium levels: Implications for marsh recovery after storm surge. Estuar. Coast. Shelf Sci. 2016, 181, 338–344. [Google Scholar] [CrossRef]
- Holm, G.O.; Sasser, C.E. Differential Salinity Response between Two Mississippi River Subdeltas: Implications for Changes in Plant Composition. Estuaries 2001, 24, 78. [Google Scholar] [CrossRef]
- Carle, M.V.; Wang, L.; Sasser, C.E. Mapping freshwater marsh species distributions using WorldView-2 high-resolution multispectral satellite imagery. Int. J. Remote Sens. 2014, 35, 4698–4716. [Google Scholar] [CrossRef]
- Jensen, D.; Cavanaugh, K.C.; Simard, M.; Okin, G.S.; Castañeda-Moya, E.; McCall, A.; Twilley, R.R. Integrating Imaging Spectrometer and Synthetic Aperture Radar Data for Estimating Wetland Vegetation Aboveground Biomass in Coastal Louisiana. Remote Sens. 2019, 11, 2533. [Google Scholar] [CrossRef]
- Thompson, D.R.; Cawse-Nicholson, K.; Erickson, Z.; Fichot, C.G.; Frankenberg, C.; Gao, B.-C.; Gierach, M.M.; Green, R.O.; Jensen, D.; Natraj, V.; et al. A unified approach to estimate land and water reflectances with uncertainties for coastal imaging spectroscopy. Remote Sens. Environ. 2019, 231, 111198. [Google Scholar] [CrossRef]
- Ayoub, F.; Jones, C.E.; Lamb, M.P.; Holt, B.; Shaw, J.B.; Mohrig, D.; Wagner, W. Inferring surface currents within submerged, vegetated deltaic islands and wetlands from multi-pass airborne SAR. Remote Sens. Environ. 2018, 212, 148–160. [Google Scholar] [CrossRef]
- Shaw, J.B.; Ayoub, F.; Jones, C.E.; Lamb, M.P.; Holt, B.; Wagner, R.W.; Coffey, T.S.; Chadwick, J.A.; Mohrig, D. Airborne radar imaging of subaqueous channel evolution in Wax Lake Delta, Louisiana, USA. Geophys. Res. Lett. 2016, 43, 5035–5042. [Google Scholar] [CrossRef]
- NASA National Aeronautics and Space Administration Landsat Program: Landsat Path 23, Rows 39 and 40, 1993–2013. Available online: http://earthexplorer.usgs.gov (accessed on 23 September 2014).
- Rosen, T.; Xu, Y.J. Recent decadal growth of the Atchafalaya River Delta complex: Effects of variable riverine sediment input and vegetation succession. Geomorphology 2013, 194, 108–120. [Google Scholar] [CrossRef]
- Allen, Y.C.; Couvillion, B.R.; Barras, J.A. Using Multitemporal Remote Sensing Imagery and Inundation Measures to Improve Land Change Estimates in Coastal Wetlands. Estuaries Coasts 2012, 35, 190–200. [Google Scholar] [CrossRef]
- Mason, D.C.; Scott, T.R.; Dance, S.L. Remote sensing of intertidal morphological change in Morecambe Bay, U.K., between 1991 and 2007. Estuar. Coast. Shelf Sci. 2010, 87, 487–496. [Google Scholar] [CrossRef]
- Ryu, J.-H.; Kim, C.-H.; Lee, Y.-K.; Won, J.-S.; Chun, S.-S.; Lee, S. Detecting the intertidal morphologic change using satellite data. Estuar. Coast. Shelf Sci. 2008, 78, 623–632. [Google Scholar] [CrossRef]
- USGS. USGS 073815925 Crewboat Channel at Wax Lake Outlet near Calumet, LA. Available online: https://waterdata.usgs.gov/nwis/inventory/?site_no=073815925&agency_cd=USGS (accessed on 13 January 2014).
- Otsu, N. A Threshold Selection Method from Gray-Level Histograms. IEEE Trans. Syst. Man Cybern. 1979, 9, 62–66. [Google Scholar] [CrossRef]
- Geleynse, N.; Voller, V.R.; Paola, C.; Ganti, V. Characterization of river delta shorelines. Geophys. Res. Lett. 2012, 39. [Google Scholar] [CrossRef]
- Strogatz, S.H. Nonlinear Dynamics and Chaos: With Applications to Physics, Biology, Chemistry, and Engineering; Avalon Publishing: Glastonbury, UK, 2014; ISBN 978-0-8133-4911-4. [Google Scholar]
- Defina, A.; Carniello, L.; Fagherazzi, S.; D’Alpaos, L. Self-organization of shallow basins in tidal flats and salt marshes. J. Geophys. Res. Earth Surf. 2007, 112, F03001. [Google Scholar] [CrossRef]
- Marani, M.; D’Alpaos, A.; Lanzoni, S.; Carniello, L.; Rinaldo, A. The importance of being coupled: Stable states and catastrophic shifts in tidal biomorphodynamics. J. Geophys. Res. Earth Surf. 2010, 115, F04004. [Google Scholar] [CrossRef]
- Da Lio, C.; D’Alpaos, A.; Marani, M. The secret gardener: Vegetation and the emergence of biogeomorphic patterns in tidal environments. Philos. Trans. R. Soc. Lond. A 2013, 371, 20120367. [Google Scholar] [CrossRef] [PubMed]
- D’Alpaos, A.; Da Lio, C.; Marani, M. Biogeomorphology of tidal landforms: Physical and biological processes shaping the tidal landscape. Ecohydrology 2012, 5, 550–562. [Google Scholar] [CrossRef]
- Marani, M.; Da Lio, C.; D’Alpaos, A. Vegetation engineers marsh morphology through multiple competing stable states. Proc. Natl. Acad. Sci. USA 2013, 110, 3259–3263. [Google Scholar] [CrossRef]
- Lorenzo-Trueba, J.; Voller, V.R.; Paola, C.; Twilley, R.R.; Bevington, A.E. Exploring the role of organic matter accumulation on delta evolution. J. Geophys. Res. Earth Surf. 2012, 117, F00A02. [Google Scholar] [CrossRef]
- Morris, J.T.; Sundareshwar, P.V.; Nietch, C.T.; Kjerfve, B.; Cahoon, D.R. Responses of coastal wetlands to rising sea level. Ecology 2002, 83, 2869–2877. [Google Scholar] [CrossRef]
- Wang, C.; Temmerman, S. Does biogeomorphic feedback lead to abrupt shifts between alternative landscape states: An empirical study on intertidal flats and marshes. J. Geophys. Res. Earth Surf. 2013, 118, 229–240. [Google Scholar] [CrossRef]
- Törnqvist, T.E.; Paola, C.; Parker, G.; Liu, K.; Mohrig, D.; Holbrook, J.M.; Twilley, R.R. Comment on “Wetland Sedimentation from Hurricanes Katrina and Rita”. Science 2007, 316, 201. [Google Scholar] [CrossRef]
- Keogh, M.E.; Kolker, A.S.; Snedden, G.A.; Renfro, A.A. Hydrodynamic controls on sediment retention in an emerging diversion-fed delta. Geomorphology 2019, 332, 100–111. [Google Scholar] [CrossRef]
- Chamberlain, E.L.; Mehta, J.M.; Reimann, T.; Wallinga, J. A geoarchaeological perspective on the challenges and trajectories of Mississippi Delta communities. Geomorphology 2020, 107132. [Google Scholar] [CrossRef]
- Roberts, H.H.; Coleman, J.M.; Bentley, S.J.; Walker, N. An embryonic major delta lobe: A new generation of delta studies in the Atchafalaya-Wax Lake delta system. Gulf Coast Assoc. Geol. Soc. Trans. 2003, 53, 690–703. [Google Scholar]
- Cahoon, D.R.; White, D.A.; Lynch, J.C. Sediment infilling and wetland formation dynamics in an active crevasse splay of the Mississippi River delta. Geomorphology 2011, 131, 57–68. [Google Scholar] [CrossRef]
- Majersky, S.; Roberts, H.H.; Cunningham, R.; Kemp, G.P.; John, C.J. Facies development in the Wax Lake Outlet delta: Present and future trends. Basin Res. Inst. Bull. 1997, 7, 50. [Google Scholar]










| Timeframe | Intercept | Dist. to Delta Apex (aj) | Dist. to Island Apex (bj) | Dist. to Channel Edge (cj) | Dist. to Island Midline (dj) | adj. R2 | RMSE |
|---|---|---|---|---|---|---|---|
| 1993–1995 | 0.6701 | −0.1007 | −0.0205 | −0.0108 | 0.0231 | 0.7343 | 0.1159 |
| 1996–1998 | 0.6833 | −0.0967 | −0.0175 | −0.0141 | 0.0213 | 0.7275 | 0.1169 |
| 1999–2001 | 0.7383 | −0.0962 | −0.0180 | 0.0053 | 0.0115 | 0.6841 | 0.1240 |
| 2002–2004 | 0.8833 | −0.1185 | −0.0247 | −0.0273 | 0.0232 | 0.7328 | 0.1398 |
| 2005–2007 | 0.8927 | −0.1184 | −0.0303 | −0.0201 | 0.0069 | 0.7380 | 0.1479 |
| 2008–2010 | 0.8093 | −0.1093 | −0.0206 | −0.0236 | 0.0664 | 0.6260 | 0.1580 |
| 2011–2013 | 0.7834 | −0.1062 | −0.0179 | 0.0066 | 0.0495 | 0.7014 | 0.1343 |
| median | 0.7834 | −0.1062 | −0.0205 | −0.0141 | 0.0231 | 0.7275 | 0.1343 |
| Reference | Evidence Source | Observ. Year (s) | Lowest Platform | Low Platform | Middle Platform | High Platform |
|---|---|---|---|---|---|---|
| Apparent Stable Elevations (Eco-geomorphic Attractors) | ||||||
| Smith et al. (2020) (this study) | HIME Landsat exposure probability; 3-year elevation histogram modes (Figure 6b) | 1999–2010 | 0.1 | 0.4 | 0.9 | |
| HIME elevation frequencies (Figure 8) | 1999–2013 | <0.5 | >0.7 | |||
| HIME most abundant final elevations (sed. volf−i vs elevf, Figure 10a) | 1993–2013 | 0.2 | 0.7 | |||
| HIME dz/dt ~ 0 (Figure 10c,d) | 1993–2013 | −0.3 | 0.4 | 0.9 | ||
| Olliver and Edmonds (2017) [27] | Intra-delta LIDAR analysis | 2012 | −0.12 | 0.25 | ||
| Wagner et al. (2017) [28] | Intra-delta and intra-annual LIDAR analysis | 2009, 2013 | 0.18 | 0.56 | ||
| O’Connor and Moffett (2015) [31] | field observation and sediment characteristics | 2013 | <0.45 | ≥0.45 | ||
| Ma, et al. (2018) [29] | Transfer entropy analysis and LIDAR change | 2009, 2013 | low | mid | high | |
| Twilley et al. (2019) [33] | <−0.04, below mean water | 0.04–0.30, intertidal | >0.30, supratidal | |||
| Apparent Focal Zones of Sedimentation (i.e., Elevation Change) or Biomass | ||||||
| Smith et al. (2020) (this study) | HIME net sediment volume change (sed. volf vs. elevf − sed. voli vs. elevi, Figure 10a) | 1993–2013 | Low loss: −0.3–0.05 | Low gain: 0.1–0.4 | High loss: 0.4–0.5 | High gain: 0.5–0.9 |
| Bevington and Twilley (2018) [30] | Soil organic matter (OM) content vs. elevation | 2010 | <0.0 * | 0.18–0.5 * | ||
| Carle et al. (2015) [32] | Marsh vegetation zones | 2010 | ~0.0–0.2 a | ~0.1–0.4 b | ~0.4–0.7 c | ~0.5–0.8 d |
© 2020 by the authors. Licensee MDPI, Basel, Switzerland. This article is an open access article distributed under the terms and conditions of the Creative Commons Attribution (CC BY) license (http://creativecommons.org/licenses/by/4.0/).
Share and Cite
Smith, B.C.; Moffett, K.B.; Mohrig, D. Short-Term Ecogeomorphic Evolution of a Fluvial Delta from Hindcasting Intertidal Marsh-Top Elevations (HIME). Remote Sens. 2020, 12, 1517. https://doi.org/10.3390/rs12091517
Smith BC, Moffett KB, Mohrig D. Short-Term Ecogeomorphic Evolution of a Fluvial Delta from Hindcasting Intertidal Marsh-Top Elevations (HIME). Remote Sensing. 2020; 12(9):1517. https://doi.org/10.3390/rs12091517
Chicago/Turabian StyleSmith, Brittany C., Kevan B. Moffett, and David Mohrig. 2020. "Short-Term Ecogeomorphic Evolution of a Fluvial Delta from Hindcasting Intertidal Marsh-Top Elevations (HIME)" Remote Sensing 12, no. 9: 1517. https://doi.org/10.3390/rs12091517
APA StyleSmith, B. C., Moffett, K. B., & Mohrig, D. (2020). Short-Term Ecogeomorphic Evolution of a Fluvial Delta from Hindcasting Intertidal Marsh-Top Elevations (HIME). Remote Sensing, 12(9), 1517. https://doi.org/10.3390/rs12091517

