Evaluation of SMAP, SMOS-IC, FY3B, JAXA, and LPRM Soil Moisture Products over the Qinghai-Tibet Plateau and Its Surrounding Areas
Abstract
:1. Introduction
2. Materials and Methods
2.1. Study Area and In situ Measurements
2.2. Satellite-Based Soil Moisture Products
2.3. Geographical Configuration Data
2.4. Methods
2.4.1. Data Preprocessing
2.4.2. Performance Index
2.4.3. Three-Cornered Hat (TCH) Method
3. Results
3.1. Direct Comparison of Time Series
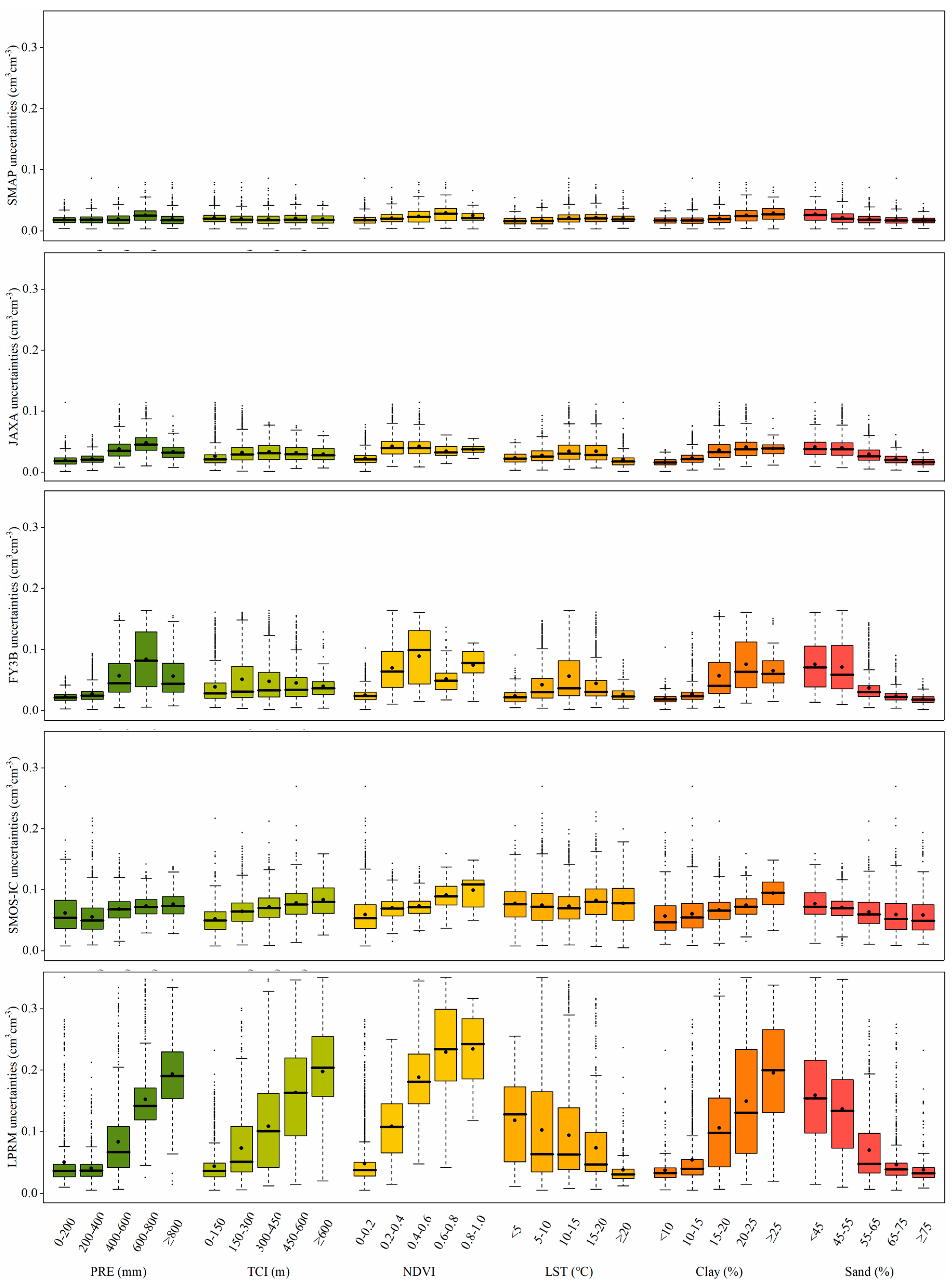
3.2. Indirect Comparisons of the Spatial Distribution
4. Discussions
4.1. Land-Surface Temperature
4.2. Vegetation Optical Depth
4.3. Soil Dielectric Mixing Model
5. Conclusions
Supplementary Materials
Author Contributions
Funding
Acknowledgments
Conflicts of Interest
Appendix A
References
- Western, A.W.; Grayson, R.B.; Blöschl, G. Scaling of Soil Moisture: A Hydrologic Perspective. Annu. Rev. Earth Planet. Sci. 2002, 8, 149–180. [Google Scholar] [CrossRef]
- Massari, C.; Brocca, L.; Moramarco, T.; Tramblay, Y.; Lescot, J.F.D. Potential of soil moisture observations in flood modelling: Estimating initial conditions and correcting rainfall. Adv. Water Resour. 2014, 74, 44–53. [Google Scholar] [CrossRef]
- Hunt, K.M.R.; Turner, A.G. The Effect of Soil Moisture Perturbations on Indian Monsoon Depressions in a Numerical Weather Prediction Model. J. Clim. 2017, 30, 8811–8823. [Google Scholar] [CrossRef]
- Cheng, S.; Guan, X.; Huang, J.; Mingxia, J.I. Analysis of Response of Soil Moisture to Climate Change in Semi-arid Loess Plateau in China Based on GLDAS Data. J. Arid Meteorol. 2013, 27, 4–19. [Google Scholar] [CrossRef]
- Mcnairn, H.; Merzouki, A.; Pacheco, A. Monitoring Soil Moisture to Support Risk Reduction for the Agriculture Sector Using RADARSAT-2. IEEE J. Sel. Top. Appl. Earth Obs. Remote Sens. 2012, 5, 824–834. [Google Scholar] [CrossRef]
- Lu, Z.; Qiang, D.; Islam, T.; Han, D. Error distribution modelling of satellite soil moisture measurements for hydrological applications. Hydrol. Process. 2016, 30, 2223–2236. [Google Scholar] [CrossRef]
- Todisco, F.; Brocca, L.; Termite, L.; Wagner, W. Use of satellite and modeled soil moisture data for predicting event soil loss at plot scale. Hydrol. Earth Syst. Sci. 2015, 19, 3845–3856. [Google Scholar] [CrossRef]
- Vyas, A.D.; Trivedi, A.J.; Calla, O.P.N.; Rana, S.S.; Raju, G. Passive microwave remote sensing of soil moisture. Int. J. Remote Sens. 1985, 6, 1153–1162. [Google Scholar] [CrossRef]
- Jackson, T.J.; Cosh, M.H.; Bindlish, R.; Starks, P.J.; Bosch, D.D.; Seyfried, M.; Goodrich, D.C.; Moran, M.S.; Du, J.Y. Validation of advanced microwave scanning radiometer soil moisture products. IEEE Trans. Geosci. Remote Sens. 2010, 48, 4256–4272. [Google Scholar] [CrossRef]
- Jackson, T.J., III. Measuring surface soil moisture using passive microwave remote sensing. Hydrol. Process. 1993, 7, 139–152. [Google Scholar] [CrossRef]
- Wigneron, J.P.; Kerr, Y.; Waldteufel, P.; Saleh, K.; Escorihuela, M.J.; Richaume, P.; Ferrazzoli, P.; de Rosnay, P.; Gurney, R.; Calvet, J.C.; et al. L-band Microwave Emission of the Biosphere (L-MEB) Model: Description and calibration against experimental data sets over crop fields. Remote Sens. Environ. 2007, 107, 639–655. [Google Scholar] [CrossRef]
- Liu, Q.; Du, J.Y.; Shi, J.C.; Jiang, L.M. Analysis of spatial distribution and multi-year trend of the remotely sensed soil moisture on the Tibetan Plateau. Sci. China 2013, 56, 2173–2185. [Google Scholar] [CrossRef]
- Shi, J.C.; Jiang, L.M.; Zhang, L.X. A Parameterized Multi-Frequency-Polarization Surface Emission Model. IEEE Trans. Geosci. Remote Sens. 2005, 43, 2831–2841. [Google Scholar] [CrossRef]
- Fujii, H.; Koike, T.; Imaoka, K. Improvement of the AMSR-E Algorithm for Soil Moisture Estimation by Introducing a Fractional Vegetation Coverage Dataset Derived from MODIS Data. J. Remote Sens. Soc. Jpn. 2009, 29, 282–292. [Google Scholar] [CrossRef]
- Owe, M.; Jeu, R.D.; Holmes, T. Multisensor historical climatology of satellite-derived global land surface moisture. J. Geophys. Res. Earth Surf. 2008, 113, 196–199. [Google Scholar] [CrossRef]
- Fernandez-Moran, R.; Al-Yaari, A.; Mialon, A.; Mahmoodi, A.; Al Bitar, A.; De Lannoy, G.; Rodriguez-Fernandez, N.; Lopez-Baeza, E.; Kerr, Y.; Wigneron, J. SMOS-IC: An alternative SMOS soil moisture and vegetation optical depth product. Remote Sens. 2017, 9, 457. [Google Scholar] [CrossRef]
- Wigneron, J.P.; Jackson, T.J.; O’Neill, P.; De Lannoy, G.; de Rosnay, P.; Walker, J.P.; Ferrazzoli, P.; Mironov, V.; Bircher, S.; Grant, J.P.; et al. Modelling the passive microwave signature from land surfaces: A review of recent results and application to the L-band SMOS & SMAP soil moisture retrieval algorithms. Remote Sens. Environ. 2017, 192, 238–262. [Google Scholar] [CrossRef]
- Wigneron, J.P.; Chanzy, A.; Kerr, Y.; Shi, J.C.; Cano, A.; Rosnay, P.D.; Escorihuela, M.J.; Mironov, V.; Demontoux, F.; Grant, J. Improved parameterization of the soil emission in L-MEB. IEEE Trans. Geosci. Remote Sens. 2011, 49, 1177–1189. [Google Scholar] [CrossRef]
- Penna, D.; Tromp-van Meerveld, H.J.; Gobbi, A.; Borga, M.; Dalla Fontana, G. The influence of soil moisture on thresholds generation processes in an alpine headwater catchment. Hydrol. Earth Syst. Sci. 2011, 7, 689–702. [Google Scholar] [CrossRef]
- Su, Z.; Wen, J.; Dente, L.; Velde, R.V.D.; Wang, L.; Ma, Y.; Yang, K.; Hu, Z. The Tibetan Plateau observatory of plateau scale soil moisture and soil temperature (Tibet-Obs) for quantifying uncertainties in coarse resolution satellite and model products. Hydrol. Earth Syst. Sci. 2011, 15, 2303. [Google Scholar] [CrossRef]
- Dente, L.; Su, Z.; Wen, J. Validation of SMOS soil moisture products over the Maqu and Twente regions. Sensors Basel 2012, 12, 9965–9986. [Google Scholar] [CrossRef]
- Zeng, J.; Li, Z.; Chen, Q.; Bi, H.; Qiu, J.; Zou, P. Evaluation of remotely sensed and reanalysis soil moisture products over the Tibetan Plateau using in-situ observations. Remote Sens. Environ. 2015, 163, 91–110. [Google Scholar] [CrossRef]
- Cui, Y.; Long, D.; Hong, Y.; Zeng, C.; Zhou, J.; Han, Z.; Liu, R.; Wan, W. Validation and reconstruction of FY-3B/MWRI soil moisture using an artificial neural network based on reconstructed MODIS optical products over the Tibetan Plateau. J. Hydrol. 2016, 543, 242–254. [Google Scholar] [CrossRef]
- Chen, Y.; Yang, K.; Qin, J.; Cui, Q.; Lu, H.; Zhu, L.; Han, M.; Tang, W. Evaluation of SMAP, SMOS, and AMSR2 soil moisture retrievals against observations from two networks on the Tibetan Plateau. J. Geophys. Res. Atmos. 2017, 122, 5780–5792. [Google Scholar] [CrossRef]
- Ma, C.; Li, X.; Wei, L.; Wang, W. Multi-Scale Validation of SMAP Soil Moisture Products over Cold and Arid Regions in Northwestern China Using Distributed Ground Observation Data. Remote Sens.-Basel 2017, 9, 327. [Google Scholar] [CrossRef]
- Zheng, D.; Wang, X.; Velde, R.V.D.; Ferrazzoli, P.; Wen, J.; Wang, Z.; Schwank, M.; Colliander, A.; Bindlish, R.; Su, Z. Impact of surface roughness, vegetation opacity and soil permittivity on L-band microwave emission and soil moisture retrieval in the third pole environment. Remote Sens. Environ. 2018, 209, 633–647. [Google Scholar] [CrossRef]
- Kim, S.; Liu, Y.Y.; Johnson, F.M.; Parinussa, R.M.; Sharma, A. A global comparison of alternate AMSR2 soil moisture products: Why do they differ? Remote Sens. Environ. 2015, 161, 43–62. [Google Scholar] [CrossRef]
- Tavella, P.; Premoli, A. Estimating the Instabilities of N Clocks by Measuring Differences of their Readings. Metrologia 1994, 30, 479. [Google Scholar] [CrossRef]
- Ferreira, V.G.; Montecino, H.D.C.; Yakubu, C.I.; Heck, B. Uncertainties of the Gravity Recovery and Climate Experiment time-variable gravity-field solutions based on three-cornered hat method. J. Appl. Remote Sens. 2016, 10, 015015. [Google Scholar] [CrossRef]
- Abbondanza, C.; Altamimi, Z.; Chin, T.M.; Gross, R.S.; Heflin, M.B.; Parker, J.W.; Wu, X. Three-Corner Hat for the assessment of the uncertainty of non-linear residuals of space-geodetic time series in the context of terrestrial reference frame analysis. J. Geodesy 2015, 89, 313–329. [Google Scholar] [CrossRef]
- Awange, J.; Ferreira, V.; Forootan, E.; Khandu; Andam-Akorful, S.A.; Agutu, N.O.; He, X.F. Uncertainties in remotely sensed precipitation data over Africa. Int. J. Climatol. 2016, 36, 303–323. [Google Scholar] [CrossRef]
- Qu, Y.; Zhu, Z.; Chai, L.; Liu, S.; Montzka, C.; Liu, J.; Yang, X.; Lu, Z.; Jin, R.; Li, X. Rebuilding a Microwave Soil Moisture Product Using Random Forest Adopting AMSR-E/AMSR2 Brightness Temperature and SMAP over the Qinghai–Tibet Plateau, China. Remote Sens.-Basel 2019, 11, 683. [Google Scholar] [CrossRef]
- Valty, P.; de Viron, O.; Panet, I.; Van Camp, M.; Legrand, J. Assessing the precision in loading estimates by geodetic techniques in Southern Europe. Geophys. J. Int. 2013, 194, 1441–1454. [Google Scholar] [CrossRef]
- Long, D.; Longuevergne, L.; Scanlon, B.R. Uncertainty in evapotranspiration from land surface modeling, remote sensing, and GRACE satellites. Water Resour. Res. 2014, 50, 1131–1151. [Google Scholar] [CrossRef]
- Kang, S.; Xu, Y.; You, Q.; Flügel, W.A.; Pepin, N.; Yao, T. Review of climate and cryospheric change in the Tibetan Plateau. Environ. Res. Lett. 2010, 5, 15101. [Google Scholar] [CrossRef]
- Liu, X.; Chen, B. Climatic warming in the Tibetan Plateau during recent decades. Int. J. Clim. 2015, 20, 1729–1742. [Google Scholar] [CrossRef]
- Qin, J.; Yang, K.; Liang, S.; Guo, X. The altitudinal dependence of recent rapid warming over the Tibetan Plateau. Clim. Chang. 2009, 97, 321. [Google Scholar] [CrossRef]
- Yang, K.; Ye, B.; Zhou, D.; Wu, B.; Foken, T.; Qin, J.; Zhou, Z. Response of hydrological cycle to recent climate changes in the Tibetan Plateau. Clim. Chang. 2011, 109, 517–534. [Google Scholar] [CrossRef]
- Wang, B.; Bao, Q.; Hoskins, B.; Wu, G.; Liu, Y. Tibetan Plateau warming and precipitation changes in East Asia. Geophys. Res. Lett. 2008, 35, 63–72. [Google Scholar] [CrossRef]
- Ge, Y.; Wang, J.H.; Heuvelink, G.B.M.; Jin, R.; Li, X.; Wang, J.F. Sampling design optimization of a wireless sensor network for monitoring ecohydrological processes in the Babao River basin, China. Int. J. Geogr. Inf. Sci. 2015, 29, 92–110. [Google Scholar] [CrossRef]
- Jin, R.; Li, X.; Yan, B.; Li, X.; Luo, W.; Ma, M.; Guo, J.; Kang, J.; Zhu, Z.; Zhao, S. A Nested Ecohydrological Wireless Sensor Network for Capturing the Surface Heterogeneity in the Midstream Areas of the Heihe River Basin, China. IEEE Geosci. Remote Sens. Lett. 2014, 11, 2015–2019. [Google Scholar] [CrossRef]
- Li, X.; Cheng, G.; Liu, S.; Xiao, Q.; Ma, M.; Jin, R.; Che, T.; Liu, Q.; Wang, W.; Qi, Y.; et al. Heihe Watershed Allied Telemetry Experimental Research (HiWATER): Scientific Objectives and Experimental Design. Bull. Am. Meteorol. Soc. 2013, 94, 1145–1160. [Google Scholar] [CrossRef]
- Liu, S.; Li, X.; Xu, Z.; Che, T.; Xiao, Q.; Ma, M.; Liu, Q.; Jin, R.; Guo, J.; Wang, L. The Heihe Integrated Observatory Network: A basin-scale land surface processes observatory in China. Vadose Zone J. 2018, 17. [Google Scholar] [CrossRef]
- Liu, S.M.; Xu, Z.W.; Wang, W.; Jia, Z.Z.; Zhu, M.J.; Bai, J.; Wang, J.M. A comparison of eddy-covariance and large aperture scintillometer measurements with respect to the energy balance closure problem. Hydrol. Earth Syst. Sci. 2011, 15, 1291–1306. [Google Scholar] [CrossRef]
- Ma, M.; Che, T.; Li, X.; Xiao, Q.; Zhao, K.; Xin, X. A Prototype Network for Remote Sensing Validation in China. Remote Sens. Basel 2015, 7, 5187–5202. [Google Scholar] [CrossRef]
- Yang, K.; Qin, J.; Zhao, L.; Chen, Y.; Tang, W.; Han, M.; Chen, Z.; Lv, N.; Ding, B. A Multi-Scale Soil Moisture and Freeze-Thaw Monitoring Network on the Third Pole. Bull. Am. Meteorol. Soc. 2013, 94, 1907–1916. [Google Scholar] [CrossRef]
- O’Neill, P.E.; Chan, S.; Njoku, E.; Jackson, T.J.; Bindlish, R. Soil Moisture Active Passive (SMAP) Algorithm Theoretical Basis Document: Level 2 & 3 Soil Moisture (Passive) Data Products; Jet Propulsion Laboratory, NASA: Pasadena, CA, USA, 2015.
- Ban, Y.; Li, S. China: Open access to Earth land-cover map. Nature 2015, 514, 434. [Google Scholar] [CrossRef]
- Danielson, J.J.; Jeffrey, J. Delineation of drainage basins from 1 km African digital elevation data. In Proceedings of the Pecora Thirteen, Human Interactions with the Environment-Perspectives from Space, Sioux Falls, SD, USA, 20–22 August 1996. [Google Scholar]
- Ying, X.U.; Gao, X.; Shen, Y.; Chonghai, X.U.; Shi, Y.; Giorgi, F. A Daily Temperature Dataset over China and Its Application in Validating a RCM Simulation. Adv. Atmos. Sci. 2009, 26, 763–772. [Google Scholar] [CrossRef]
- Bindlish, R.; Cosh, M.H.; Jackson, T.J.; Koike, T.; Fujii, H.; Chan, S.K.; Asanuma, J.; Berg, A.; Bosch, D.D.; Caldwell, T. GCOM-W AMSR2 Soil Moisture Product Validation Using Core Validation Sites. IEEE J. Sel. Top. Appl. Earth Obs. Remote Sens. 2018, 11, 209–219. [Google Scholar] [CrossRef]
- Jackson, T.J.; Bindlish, R.; Cosh, M.H.; Zhao, T.; Starks, P.J.; Bosch, D.D.; Seyfried, M.; Moran, M.S.; Goodrich, D.C.; Kerr, Y.H.; et al. Validation of Soil Moisture and Ocean Salinity (SMOS) Soil Moisture Over Watershed Networks in the U.S. IEEE Trans. Geosci. Remote Sens. 2012, 50, 1530–1543. [Google Scholar] [CrossRef]
- Lu, Z.; Chai, L.; Zhang, T.; Cui, H.; Wang, J.; Li, W. Validation of SMOS soil moisture production in the Heihe River Basin of China. In Proceedings of the IEEE International Geoscience & Remote Sensing Symposium, Beijing, China, 10–15 July 2016. [Google Scholar] [CrossRef]
- Lu, Z.; Chai, L.; Liu, S.; Cui, H.; Zhang, Y.; Jiang, L.; Jin, R.; Xu, Z. Estimating Time Series Soil Moisture by Applying Recurrent Nonlinear Autoregressive Neural Networks to Passive Microwave Data over the Heihe River Basin, China. Remote Sens.-Basel 2017, 9, 574. [Google Scholar] [CrossRef]
- Rüdiger, C.; Calvet, J.C.; Gruhier, C.; Holmes, T.R.H.; Jeu, R.A.M.D.; Wagner, W. An intercomparison of ERS-Scat and AMSR-E soil moisture observations with model simulations over France. J. Hydrometeorol. 2009, 10, 431–447. [Google Scholar] [CrossRef]
- Al-Yaari, A.; Wigneron, J.P.; Ducharne, A.; Kerr, Y.; Rosnay, P.D.; Jeu, R.D.; Govind, A.; Bitar, A.A.; Albergel, C.; Muñoz-Sabater, J. Global-scale evaluation of two satellite-based passive microwave soil moisture datasets (SMOS and AMSR-E) with respect to Land Data Assimilation System estimates. Remote Sens. Environ. 2014, 149, 181–195. [Google Scholar] [CrossRef]
- Entekhabi, D.; Reichle, R.H.; Koster, R.D.; Crow, W.T. Performance metrics for soil moisture retrievals and application requirements. J. Hydrometeorol. 2010, 11, 832–840. [Google Scholar] [CrossRef]
- Premoli, A.; Tavella, P. Revisited three-cornered hat method for estimating frequency standard instability. IEEE Trans. Instrum. Meas. 1993, 42, 7–13. [Google Scholar] [CrossRef]
- Yilmaz, M.T.; Crow, W.T. Evaluation of assumptions in soil moisture triple collocation analysis. J. Hydrometeorol. 2014, 15, 1293–1302. [Google Scholar] [CrossRef]
- Chin, T.M.; Gross, R.S.; Dickey, J.O. Multi-reference evaluation of uncertainty in Earth orientation parameter measurements. J. Geodesy 2005, 79, 24–32. [Google Scholar] [CrossRef]
- Escorihuela, M.J.; Chanzy, A.; Wigneron, J.P.; Kerr, Y.H. Effective soil moisture sampling depth of L-band radiometry: A case study. Remote Sens. Environ. 2010, 114, 995–1001. [Google Scholar] [CrossRef]
- Koster, R.D.; Guo, Z.C.; Dirmeyer, P.A.; Yang, R.Q.; Mitchell, K.; Puma, M.J. On the nature of soil moisture in land surface models. J. Clim. 2009, 22, 4322. [Google Scholar] [CrossRef]
- Cui, H.; Jiang, L.; Du, J.; Zhao, S.; Wang, G.; Lu, Z.; Wang, J. Evaluation and analysis of AMSR-2, SMOS, and SMAP soil moisture products in the Genhe area of China. J. Geophys. Res. Atmos. 2017, 122, 8650–8666. [Google Scholar] [CrossRef]
- Chakravorty, A.; Chahar, B.R.; Sharma, O.P.; Dhanya, C.T. A regional scale performance evaluation of SMOS and ESA-CCI soil moisture products over India with simulated soil moisture from MERRA-Land. Remote Sens. Environ. 2016, 186, 514–527. [Google Scholar] [CrossRef]
- Leroux, D.J.; Kerr, Y.H.; Richaume, P.; Fieuzal, R. Spatial distribution and possible sources of SMOS errors at the global scale. Remote Sens. Environ. 2013, 133, 240–250. [Google Scholar] [CrossRef]
- Mo, T.; Choudhury, B.J.; Schmugge, T.J.; Wang, J.R.; Jackson, T.J. A model for microwave emission from vegetation-covered fields. J. Geophys. Res. Ocean. 1982, 87, 11229–11237. [Google Scholar] [CrossRef]
- Bindlish, R.; Jackson, T.; Cosh, M.; Koike, T.; Fuiji, X.; Jeu, R.D.; Chan, S.; Asanuma, J.; Berg, A.; Bosch, D. AMSR2 soil moisture product validation. In Proceedings of the IEEE International Geoscience & Remote Sensing Symposium, Fort Worth, TX, USA, 23–28 July 2017. [Google Scholar] [CrossRef]
- Parinussa, R.M.; Wang, G.; Holmes, T.R.H.; Liu, Y.Y.; Dolman, A.J.; Jeu, R.A.M.D.; Jiang, T.; Zhang, P.; Shi, J. Global surface soil moisture from the Microwave Radiation Imager onboard the Fengyun-3B satellite. Int. J. Remote Sens. 2014, 35, 7007–7029. [Google Scholar] [CrossRef]
- Holmes, T.R.H.; Jeu, R.A.M.D.; Owe, M.; Dolman, A.J. Land surface temperature from Ka band (37 GHz) passive microwave observations. J. Geophys. Res. 2009, 114. [Google Scholar] [CrossRef]
- Wang, J.R.; Schmugge, T.J. An Empirical Model for the Complex Dielectric Permittivity of Soils as a Function of Water Content. IEEE Trans. Geosci. Remote Sens. 1980, GE-18, 288–295. [Google Scholar] [CrossRef]
- Dobson, M.C.; Ulaby, F.T.; Hallikainen, M.T.; El-Rayes, M.A. Microwave Dielectric Behavior of Wet Soil-Part II: Dielectric Mixing Models. IEEE Trans. Geosci. Remote Sens. 1985, GE-23, 35–46. [Google Scholar] [CrossRef]
- Mironov, V.L.; Kosolapova, L.G.; Fomin, S. Physically and mineralogically based spectroscopic dielectric model for moist soils. IEEE Trans. Geosci. Remote Sens. 2009, 47, 2059–2070. [Google Scholar] [CrossRef]
- Laymon, C.A.; Crosson, W.L.; Jackson, T.J.; Manu, A.; Tsegaye, T.D. Ground-Based Passive Microwave Remote Sensing Observations of Soil Moisture at S-Band and L-Band with Insight into Measurement Accuracy. IEEE Trans. Geosci. Remote Sens. 2001, 39, 1844–1858. [Google Scholar] [CrossRef]
- GÁlvez, J.F. Errors in soil moisture content estimates induced by uncertainties in the effective soil dielectric constant. Int. J. Remote Sens. 2008, 29, 3317–3323. [Google Scholar] [CrossRef]
- Peng, G.; Shi, J.; Qiang, L.; Du, J. A New Algorithm for Soil Moisture Retrieval with L-Band Radiometer. IEEE J. Sel. Top. Appl. Earth Obs. Remote Sens. 2013, 6, 1147–1155. [Google Scholar] [CrossRef]
- Mialon, A.; Richaume, P.; Leroux, D.; Bircher, S.; Al Bitar, A.; Pellarin, T.; Wigneron, J.; Kerr, Y.H. Comparison of Dobson and Mironov dielectric models in the SMOS soil moisture retrieval algorithm. IEEE Trans. Geosci. Remote 2015, 53, 3084–3094. [Google Scholar] [CrossRef]













| Networks | Heihe | Naqu | Pali | Maqu | Ngari |
|---|---|---|---|---|---|
| Location over the QTP | Northeast | Central | South | East | West |
| Selected/Total Nodes | 8/40 | 16/56 | 8/25 | 7/20 | 12/18 |
| Measured Depth | 4 cm | 0–5 cm | 5 cm | 5 cm | 5 cm |
| Measured Interval | 5 min | 30 min | 30 min | 15 min | 15 min |
| Time Coverage | 07/2013–12/2015 | 07/2012–09/2016 | 07/2013–12/2015 | 06/2015–09/2016 | 07/2012–09/2016 |
| Average Elevation* | 3423 m | 4866 m | 4742 m | 3711 m | 4869 m |
| Average NDVI* | 0.28 | 0.29 | 0.21 | 0.45 | 0.09 |
| Land cover* | Grassland | Grassland | Grassland | Grassland, Wetland | Bare land, Grassland |
| Soil Texture (clay)* | 18% | 16% | 15% | 21% | 11% |
| Soil Texture (sand)* | 54% | 63% | 64% | 45% | 75% |
| Topography* | Mountainous | Flat | Flat | Hilly | Flat |
| SM Datasets | SMAP | SMOS-IC | FY3B | JAXA | LPRM |
|---|---|---|---|---|---|
| Incidence angle (°) | 40 | 0–55 | 45 | 55 | 55 |
| Frequency (GHz) | 1.41 | 1.4 | 10.7, 18.7 | 10.7, 36.5 | 10.7, 36.5 |
| Spatial Resolution | 36 km | 25 km | 25 km | 0.25° | 0.25° |
| Temporal Coverage | 2015–present | 2010–present | 2011–present | 2012–present | 2012–present |
| Ascending | 18:00 | 6:00 | 13:40 | 13:30 | 13:30 |
| Descending | 6:00 | 18:00 | 1:40 | 1:30 | 1:30 |
| In situ Networks | Product | SMOS-IC Ascending; SMAP, AMSR2, and FY3B Descending (morning orbits) | SMOS-IC Descending; SMAP, AMSR2, and FY3B Ascending (afternoon orbits) | ||||||
| R | RMSE | Bias | N | R | RMSE | Bias | N | ||
| Heihe Network | SMAP | 0.779 | 0.105 | −0.104 | 91 | 0.643 | 0.113 | −0.110 | 78 |
| SMOS-IC | 0.302 | 0.143 | −0.115 | 172 | 0.177 | 0.115 | −0.041 | 157 | |
| FY3B | −0.042 | 0.119 | −0.013 | 106 | 0.330 | 0.152 | −0.120 | 262 | |
| JAXA | 0.357 | 0.284 | −0.277 | 404 | 0.389 | 0.279 | −0.275 | 387 | |
| LPRM | 0.305 | 0.249 | 0.199 | 371 | 0.168 | 0.167 | 0.106 | 381 | |
| Naqu Network | SMAP | 0.816 | 0.066 | −0.019 | 142 | 0.835 | 0.078 | −0.002 | 140 |
| SMOS-IC | 0.472 | 0.141 | −0.049 | 222 | 0.428 | 0.182 | −0.130 | 191 | |
| FY3B | 0.750 | 0.116 | 0.072 | 78 | 0.755 | 0.109 | 0.026 | 456 | |
| JAXA | 0.718 | 0.168 | −0.087 | 686 | 0.808 | 0.146 | −0.061 | 677 | |
| LPRM | 0.768 | 0.113 | 0.090 | 632 | 0.798 | 0.064 | 0.041 | 669 | |
| Pali Network | SMAP | 0.615 | 0.057 | −0.045 | 143 | 0.672 | 0.046 | −0.034 | 95 |
| SMOS-IC | 0.524 | 0.090 | −0.026 | 87 | 0.604 | 0.073 | −0.060 | 110 | |
| FY3B | - | - | - | 0 | 0.292 | 0.055 | −0.040 | 137 | |
| JAXA | 0.527 | 0.087 | −0.080 | 234 | 0.541 | 0.087 | −0.081 | 235 | |
| LPRM | 0.538 | 0.220 | 0.212 | 200 | 0.339 | 0.169 | 0.161 | 235 | |
| Maqu Network | SMAP | 0.814 | 0.076 | −0.066 | 123 | 0.721 | 0.088 | −0.072 | 108 |
| SMOS-IC | 0.638 | 0.112 | −0.074 | 334 | 0.485 | 0.083 | −0.008 | 339 | |
| FY3B | 0.529 | 0.137 | −0.026 | 187 | 0.486 | 0.136 | −0.072 | 509 | |
| JAXA | 0.420 | 0.292 | −0.282 | 747 | 0.540 | 0.228 | −0.214 | 744 | |
| LPRM | 0.419 | 0.099 | 0.042 | 734 | 0.031 | 0.120 | 0.001 | 743 | |
| Ngari Network | SMAP | 0.335 | 0.054 | −0.047 | 109 | 0.567 | 0.045 | −0.041 | 131 |
| SMOS-IC | 0.097 | 0.120 | 0.003 | 267 | 0.116 | 0.092 | −0.022 | 263 | |
| FY3B | - | - | - | 0 | 0.175 | 0.040 | −0.029 | 380 | |
| JAXA | 0.398 | 0.060 | −0.055 | 619 | 0.364 | 0.062 | −0.056 | 608 | |
| LPRM | 0.418 | 0.124 | 0.111 | 321 | −0.208 | 0.117 | 0.111 | 597 | |
| Components | L3 SMAP | SMOS-IC | L3 JAXA | L3 LPRM | FY3B |
|---|---|---|---|---|---|
| Radiative Transfer Model | τ-ω model | τ-ω model | τ-ω model | τ-ω model | τ-ω model |
| Soil temperature (Ts) | Ts= f(T0, T∞),T0, T∞ form layer 1 and 2 of GEOS-5 | Ts= f(T0, T∞), T0, T∞ from layer 1 and 3 of ECMWF, respectively | Ts=293 K | Ts =0.688 TB36.5 GHz_V+101.126 | Ts≈Tv |
| Vegetation temperature (Tv) | Tv=Ts, at 6:00 a.m. | Skin (Level 1, top 0–7 cm soil layer) temperature from ECMWF | Tv=Ts=293 K | Tv= Ts | Tv =1.11×TB36.5 GHz_V -15.2 |
| Optical depth (τ) | τ=τNAD×f(θ, p); τNAD=b*VWC; b=f(IGBP), b=0 to 0.13; VWC=f(NDVI, IGBP), f is a nonlinear relationship | The τ is also retrieved in the SMOS-IC algorithm | τ=b*VWC; b is constants; VWC is retrieved using lookup table; fc=f(NDVI), f is a nonlinear relationship | τ=f (MPDI, k, θ, ω); MDPI=(TBV-TBH)/(TBV+TBH), k is the absolute value of the soil dielectric constant | τ=b×VWC/cosθ VWC=5.0×NDVI2 (NDVI>0.5) VWC=2.5×NDVI2 (NDVI≤0.5) b is determined by experiments and model simulation |
| Albedo (ω) | ω=f(IGBP), ω=0 to 0.12 | ω=f(IGBP), ω=0.06 to 0.12 | ω=0.06 to 0.063 | ω=0.06 | ω≈0 |
| Soil roughness model | QHN model; NV=NH=2; Q=0; H=f(IGBP), H=0.16 to 0.83; | QHN model; NH=NV=-1 for low vegetation, NH=1 and NV=-1 for forest; Q=0; H=f(IGBP), mean H=0.02–0.30 | Constants Q and H; Q= 0.189 to 0.344; H=0.680 to 0.873 | Constants Q and H; Q=0.2; H=0.2 | Qp model; Qv(f)=a(f)+b(f)×Qh(f) f is frequency, a and b are obtained from the AIEM simulated dataset |
| Soil dielectric mixing model | Mironov, 2009 | Mironov, 2009 | Dobson, 1985 | Wang and Schmugge, 1980 | -- |
| Model | Wang and Schmugge | Dobson | Mironov |
|---|---|---|---|
| Main inputs | Volumetric soil moisture, frequency, soil temperature, percentage of sand and clay, soil bulk density | Volumetric soil moisture, frequency, soil temperature, percentage of sand and clay, soil bulk density | Volumetric soil moisture, frequency, soil temperature, percentage of clay |
| Development time | 1980 | 1985 | 2009 |
| Type | Empirical | Semi-empirical | Physical |
| Consider bound soil water (BSW) | Yes | No | Yes |
© 2019 by the authors. Licensee MDPI, Basel, Switzerland. This article is an open access article distributed under the terms and conditions of the Creative Commons Attribution (CC BY) license (http://creativecommons.org/licenses/by/4.0/).
Share and Cite
Liu, J.; Chai, L.; Lu, Z.; Liu, S.; Qu, Y.; Geng, D.; Song, Y.; Guan, Y.; Guo, Z.; Wang, J.; et al. Evaluation of SMAP, SMOS-IC, FY3B, JAXA, and LPRM Soil Moisture Products over the Qinghai-Tibet Plateau and Its Surrounding Areas. Remote Sens. 2019, 11, 792. https://doi.org/10.3390/rs11070792
Liu J, Chai L, Lu Z, Liu S, Qu Y, Geng D, Song Y, Guan Y, Guo Z, Wang J, et al. Evaluation of SMAP, SMOS-IC, FY3B, JAXA, and LPRM Soil Moisture Products over the Qinghai-Tibet Plateau and Its Surrounding Areas. Remote Sensing. 2019; 11(7):792. https://doi.org/10.3390/rs11070792
Chicago/Turabian StyleLiu, Jin, Linna Chai, Zheng Lu, Shaomin Liu, Yuquan Qu, Deyuan Geng, Yongze Song, Yabing Guan, Zhixia Guo, Jian Wang, and et al. 2019. "Evaluation of SMAP, SMOS-IC, FY3B, JAXA, and LPRM Soil Moisture Products over the Qinghai-Tibet Plateau and Its Surrounding Areas" Remote Sensing 11, no. 7: 792. https://doi.org/10.3390/rs11070792
APA StyleLiu, J., Chai, L., Lu, Z., Liu, S., Qu, Y., Geng, D., Song, Y., Guan, Y., Guo, Z., Wang, J., & Zhu, Z. (2019). Evaluation of SMAP, SMOS-IC, FY3B, JAXA, and LPRM Soil Moisture Products over the Qinghai-Tibet Plateau and Its Surrounding Areas. Remote Sensing, 11(7), 792. https://doi.org/10.3390/rs11070792

