Improved Spring Vegetation Phenology Calculation Method Using a Coupled Model and Anomalous Point Detection
Abstract
1. Introduction
2. Materials and Methods
2.1. Study Area
2.2. Data and Preprocessing
2.2.1. Remote Sensing Data Source and Preprocessing
2.2.2. Other Database and Processing
2.3. CMAPD Method
2.3.1. Step 1: Determining the Best NDVI Time Series
2.3.2. Step 2: Fitting Time-Series Curve of the Vegetation Index Using a Coupled Model
2.3.3. Step 3: Calculating Green-Up Date by Maximum Curvature
2.3.4. Step 4: Detecting the Anomalous Points
2.3.5. Step 5: Replacing Anomalous Points Using the Local Threshold
2.4. Analyses
3. Results
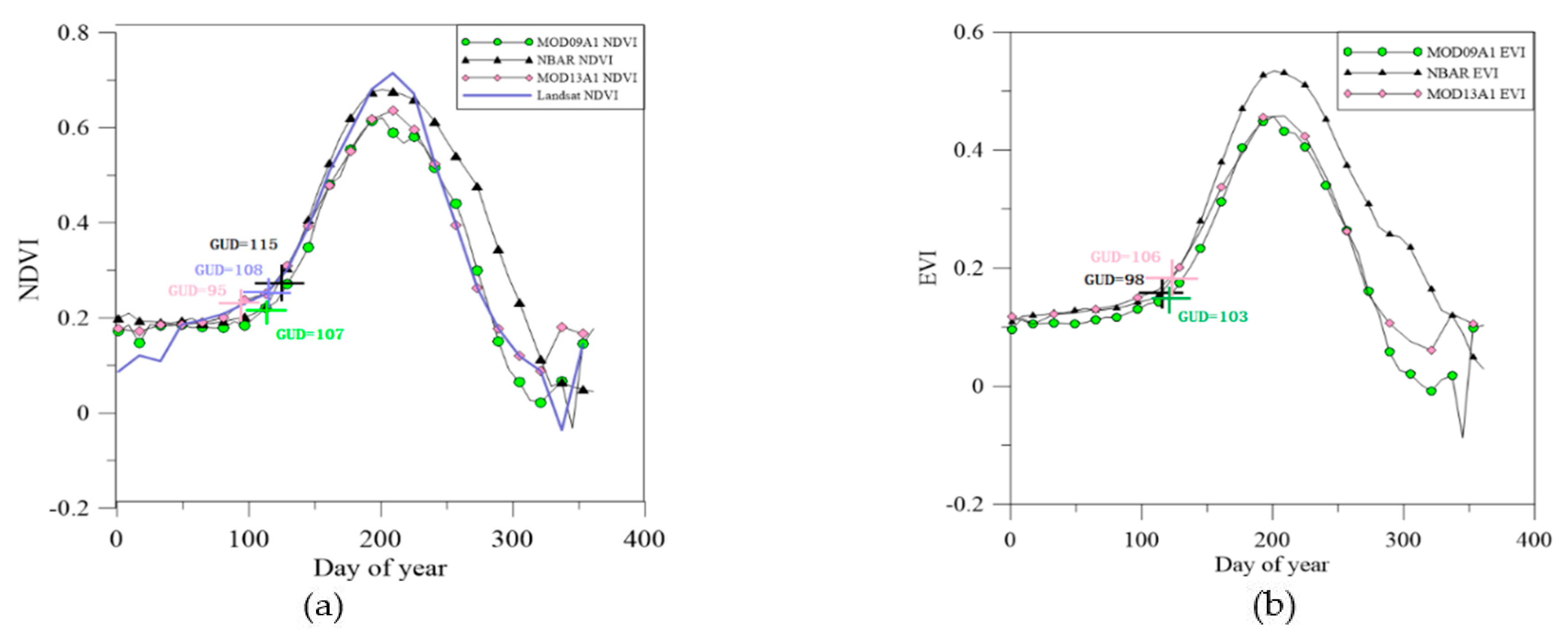
3.1. Comparison of the Results for Whole Study Area
3.2. Comparison of the Results in A Sub Region
3.3. Change in Vegetation Green-Up Date from CMAPD
3.3.1. Temporal Trends of Green-Up Date at the Regional Scale
3.3.2. Vegetation Green-Up Date in Relation to Elevation
4. Discussion
4.1. Determination of the Fitting Function and Its Threshold
4.2. Data selection for Calculating Spring Green-Up Date
4.3. Insufficiencies and Prospects for CMAPD
5. Conclusions
Author Contributions
Acknowledgments
Conflicts of Interest
References
- Li, J.; Yin, H.; Wang, D.; Jiagong, Z.; Lu, Z. Human-snow leopard conflicts in the Sanjiangyuan Region of the Tibetan Plateau. Biol. Conserv. 2013, 166, 118–123. [Google Scholar] [CrossRef]
- Shen, M.; Zhang, G.; Cong, N.; Wang, S.; Kong, W.; Piao, S. Increasing altitudinal gradient of spring vegetation phenology during the last decade on the Qinghai–Tibetan Plateau. Agric. For. Meteorol. 2014, 189, 71–80. [Google Scholar] [CrossRef]
- Wang, S.; Duan, J.; Xu, G.; Wang, Y.; Zhang, Z.; Rui, Y.; Luo, C.; Xu, B.; Zhu, X.; Chang, X.; et al. Effects of warming and grazing on soil N availability, species composition, and ANPP in an alpine meadow. Ecology 2012, 93, 2365–2376. [Google Scholar] [CrossRef] [PubMed]
- Xu, W.; Gu, S.; Zhao, X.; Xiao, J.; Tang, Y.; Fang, J.; Zhang, J.; Jiang, S. High positive correlation between soil temperature and NDVI from 1982 to 2006 in alpine meadow of the Three-River Source Region on the Qinghai-Tibetan Plateau. Int. J. Appl. Earth Obs. Geoinf. 2011, 13, 528–535. [Google Scholar] [CrossRef]
- Lin, X.; Zhang, Z.; Wang, S.; Hu, Y.; Xu, G.; Luo, C.; Chang, X.; Duan, J.; Lin, Q.; Xu, B.; et al. Response of ecosystem respiration to warming and grazing during the growing seasons in the alpine meadow on the Tibetan plateau. Agric. For. Meteorol. 2011, 151, 792–802. [Google Scholar] [CrossRef]
- Chong, J.; Zhang, L. Ecosystem change assessment in the Three-river Headwater Region, China: Patterns, causes, and implications. Ecol. Eng. 2016, 93, 24–36. [Google Scholar]
- Yang, Z.; Cai, Y.; Mitsch, W.J. Ecological and hydrological responses to changing environmental conditions in China’s river basins. Ecol. Eng. 2015, 76, 1–6. [Google Scholar] [CrossRef]
- Jiang, C.; Zhang, L. Climate change and its impact on the eco-environment of the Three-Rivers Headwater Region on the Tibetan Plateau, China. Int. J. Environ. Res. Public Health 2015, 12, 12057–12081. [Google Scholar] [CrossRef]
- Shao, Q.; Liu, J.; Huang, L.; Fan, J.; Xu, X.; Wang, J. Integrated assessment on the effectiveness of ecological conservation in Sanjiangyuan National Nature Reserve. Geogr. Res. 2013, 32, 1645–1656. [Google Scholar]
- Tan, K.; Ciais, P.; Piao, S.; Wu, X.; Tang, Y.; Vuichard, N.; Liang, S.; Fang, J. Application of the ORCHIDEE global vegetation model to evaluate biomass and soil carbon stocks of Qinghai-Tibetan grasslands. Glob. Biogeochem. Cycles 2010, 24. [Google Scholar] [CrossRef]
- Klein, J.A.; Harte, J.; Zhao, X.-Q. Experimental warming causes large and rapid species loss, dampened by simulated grazing, on the Tibetan Plateau. Ecol. Lett. 2004, 7, 1170–1179. [Google Scholar] [CrossRef]
- Wang, T.; Peng, S.; Lin, X.; Chang, J. Declining snow cover may affect spring phenological trend on the Tibetan Plateau. Proc. Natl. Acad. Sci. USA 2013, 110, E2854–E2855. [Google Scholar] [CrossRef] [PubMed]
- Yao, T.; Thompson, L.; Yang, W.; Yu, W.; Gao, Y.; Guo, X.; Yang, X.; Duan, K.; Zhao, H.; Xu, B.; et al. Different glacier status with atmospheric circulations in Tibetan Plateau and surroundings. Nat. Clim. Chang. 2012, 2, 663–667. [Google Scholar] [CrossRef]
- Partanen, J.; Koski, V.; Hänninen, H. Effects of photoperiod and temperature on the timing of bud burst in Norway spruce (Picea abies). Tree Physiol. 1998, 18, 811–816. [Google Scholar] [CrossRef] [PubMed]
- Piao, S.; Fang, J.; Zhou, L.; Ciais, P.; Zhu, B. Variations in satellite-derived phenology in China’s temperate vegetation. Glob. Chang. Biol. 2006, 12, 672–685. [Google Scholar] [CrossRef]
- Zhang, X.; Friedl, M.A.; Schaaf, C.B.; Strahler, A.H.; Hodges, J.C.; Gao, F.; Reed, B.C.; Huete, A. Monitoring vegetation phenology using MODIS. Remote Sens. Environ. 2003, 84, 471–475. [Google Scholar] [CrossRef]
- Fan, D.; Zhu, W.; Pan, Y.; Jiang, N.; Zheng, Z. Identifying an optimal method for estimating greenup date of Kobresia pygmaea alpine meadow in Qinghai-Tibetan Plateau. J. Remote Sens. 2014, 18, 1117–1127. [Google Scholar]
- White, M.A.; Thornton, P.E.; Running, S.W. A continental phenology model for monitoring vegetation responses to interannual climatic variability. Glob. Biogeochem. Cycles 1997, 11, 217–234. [Google Scholar] [CrossRef]
- Fang, Y. Managing the three-rivers headwater region, China: From Ecol. Eng. to social engineering. Ambio 2013, 42, 566–576. [Google Scholar] [CrossRef] [PubMed]
- Cao, Q.; Miao, Y.; Shen, J.; Yu, W.; Yuan, F.; Cheng, S.; Huang, S.; Wang, H.; Yang, W.; Liu, F. Improving in-season estimation of rice yield potential and responsiveness to topdressing nitrogen application with Crop Circle active crop canopy sensor. Precis. Agric. 2016, 17, 136–154. [Google Scholar] [CrossRef]
- Yu, H.; Luedeling, E.; Xu, J. Winter and spring warming result in delayed spring phenology on the Tibetan Plateau. Proc. Natl. Acad. Sci. USA 2010, 107, 22151–22156. [Google Scholar] [CrossRef] [PubMed]
- White, M.A.; de Beurs, K.M.; Didan, K.; Inouye, D.W.; Richardson, A.D.; Jensen, O.P.; O’KEEFE, J.; Zhang, G.; Nemani, R.R.; van Leeuwen, W.J.; et al. Intercomparison, interpretation, and assessment of spring phenology in North America estimated from Remote Sensing for 1982–2006. Glob. Chang. Biol. 2009, 15, 2335–2359. [Google Scholar] [CrossRef]
- Ren, Q.; He, C.; Huang, Q.; Zhou, Y. Urbanization Impacts on Vegetation Phenology in China. Remote Sens. 2018, 10, 1905. [Google Scholar] [CrossRef]
- Xia, C.; Li, J.; Liu, Q. Monitoring vegetation phenology in China using time-series MODIS LAI data. In Proceedings of the 2012 IEEE International Geoscience and Remote Sensing Symposium, Munich, Germany, 22–27 July 2012; pp. 48–51. [Google Scholar]
- Tian, L.; Wang, J.; Zhou, H.; Xiao, Z. MODIS NBAR time series modeling with two statistical methods and application to leaf area index recursive estimation. IEEE J. Sel. Top. Appl. Earth Obs. Remote Sens. 2015, 8, 1404–1412. [Google Scholar] [CrossRef]
- McGregor, G.R. Climate variability and change in the Sanjiangyuan region. In Landscape and Ecosystem Diversity, Dynamics and Management in the Yellow River Source Zone; Springer: Berlin, Germany, 2016; pp. 35–57. [Google Scholar]
- Cai, D.; Guan, Y.; Guo, S.; Zhang, C.; Fraedrich, K. Mapping plant functional types over broad mountainous regions: A hierarchical soft time-space classification applied to the Tibetan Plateau. Remote Sens. 2014, 6, 3511–3532. [Google Scholar] [CrossRef]
- Huang, S.; Miao, Y.; Yuan, F.; Gnyp, M.; Yao, Y.; Cao, Q.; Wang, H.; Lenz-Wiedemann, V.; Bareth, G. Potential of RapidEye and WorldView-2 satellite data for improving rice nitrogen status monitoring at different growth stages. Remote Sens. 2017, 9, 227. [Google Scholar] [CrossRef]
- Brandsma, T.; Können, G. Application of nearest-neighbor resampling for homogenizing temperature records on a daily to sub-daily level. Int. J. Climatol. J. R. Meteorol. Soc. 2006, 26, 75–89. [Google Scholar] [CrossRef]
- Zomer, R.; Ustin, S.; Ives, J. Using satellite Remote Sensing for DEM extraction in complex mountainous terrain: Landscape analysis of the Makalu Barun National Park of eastern Nepal. Int. J. Remote Sens. 2002, 23, 125–143. [Google Scholar] [CrossRef]
- Liu, S.; Liu, Q.; Gao, M.; Liu, Q. A study on effects of spectral response function and band width on land surface temperature inversion. Remote Sens. Inf. 2007, 5, 3–6. [Google Scholar]
- Oliver, M.A.; Webster, R. Kriging: A method of interpolation for geographical information systems. Int. J. Geogr. Inf. Syst. 1990, 4, 313–332. [Google Scholar] [CrossRef]
- Shen, M.; Tang, Y.; Chen, J.; Yang, W. Specification of thermal growing season in temperate China from 1960 to 2009. Clim. Chang. 2012, 114, 783–798. [Google Scholar] [CrossRef]
- Zhu, W.; Tian, H.; Xu, X.; Pan, Y.; Chen, G.; Lin, W. Extension of the growing season due to delayed autumn over mid and high latitudes in North America during 1982–2006. Glob. Ecol. Biogeogr. 2012, 21, 260–271. [Google Scholar] [CrossRef]
- Chen, X.; Wang, D.; Chen, J.; Wang, C.; Shen, M. The mixed pixel effect in land surface phenology: A simulation study. Remote Sens. Environ. 2018, 211, 338–344. [Google Scholar] [CrossRef]
- Lee, B.-J.; Baskes, M. Second nearest-neighbor modified embedded-atom-method potential. Phys. Rev. B 2000, 62, 8564. [Google Scholar] [CrossRef]
- Wang, C.; Cao, R.; Chen, J.; Rao, Y.; Tang, Y. Temperature sensitivity of spring vegetation phenology correlates to within-spring warming speed over the Northern Hemisphere. Ecol. Indic. 2015, 50, 62–68. [Google Scholar] [CrossRef]
- Liu, Q.; Fu, Y.H.; Zeng, Z.; Huang, M.; Li, X.; Piao, S. Temperature, precipitation, and insolation effects on autumn vegetation phenology in temperate China. Glob. Chang. Biol. 2016, 22, 644–655. [Google Scholar] [CrossRef] [PubMed]
- Clinton, N.; Yu, L.; Fu, H.; He, C.; Gong, P. Global-scale associations of vegetation phenology with rainfall and temperature at a high spatio-temporal resolution. Remote Sens. 2014, 6, 7320–7338. [Google Scholar] [CrossRef]
- Hassan, Q.K.; Bourque, C.P.; Meng, F.-R.; Richards, W. Spatial mapping of growing degree days: An application of MODIS-based surface temperatures and enhanced vegetation index. J. Appl. Remote Sens. 2007, 1, 013511. [Google Scholar] [CrossRef]
- Hassan, Q.K.; Rahman, K.M. Applicability of Remote Sensing-based surface temperature regimes in determining deciduous phenology over boreal forest. J. Plant Ecol. 2012, 6, 84–91. [Google Scholar] [CrossRef]
- Wang, J.Y. A critique of the heat unit approach to plant response studies. Ecology 1960, 41, 785–790. [Google Scholar] [CrossRef]
- Yang, X.; Tian, Z.; Chen, B. Thermal growing season trends in east China, with emphasis on urbanization effects. Int. J. Climatol. 2013, 33, 2402–2412. [Google Scholar] [CrossRef]
- Chen, X.; Pan, W. Relationships among phenological growing season, time-integrated normalized difference vegetation index and climate forcing in the temperate region of eastern China. Int. J. Climatol. A J. R. Meteorol. Soc. 2002, 22, 1781–1792. [Google Scholar] [CrossRef]
- Yue, S.; Pilon, P.; Cavadias, G. Power of the Mann–Kendall and Spearman’s rho tests for detecting monotonic trends in hydrological series. J. Hydrol. 2002, 259, 254–271. [Google Scholar] [CrossRef]
- Naseem, I.; Togneri, R.; Bennamoun, M. Linear regression for face recognition. IEEE Transact. Pattern Anal. Mach. Intell. 2010, 32, 2106–2112. [Google Scholar] [CrossRef] [PubMed]
- Li, H.; Liu, G.; Fu, B. Response of vegetation to climate change and human activity based on NDVI in the Three-River Headwaters region. Shengtai Xuebao/Acta Ecol. Sin. 2011, 31, 5495–5504. [Google Scholar]
- Piao, S.; Cui, M.; Chen, A.; Wang, X.; Ciais, P.; Jie, L.; Tang, Y. Altitude and temperature dependence of change in the spring vegetation green-up date from 1982 to 2006 in the Qinghai-Xizang Plateau. Agric. For. Meteorol. 2011, 151, 1599–1608. [Google Scholar] [CrossRef]
- Cayan, D.R.; Kammerdiener, S.A.; Dettinger, M.D.; Caprio, J.M.; Peterson, D.H. Changes in the onset of spring in the western United States. Bull. Am. Meteorol. Soc. 2001, 82, 399–416. [Google Scholar] [CrossRef]
- Zhang, Q.; Cheng, Y.-B.; Lyapustin, A.I.; Wang, Y.; Zhang, X.; Suyker, A.; Verma, S.; Shuai, Y.; Middleton, E.M. Estimation of crop gross primary production (GPP): II. Do scaled MODIS vegetation indices improve performance? Agric. For. Meteorol. 2015, 200, 1–8. [Google Scholar] [CrossRef]










| Vegetation Type | GDD (Unit: °C) | Standard Deviation |
|---|---|---|
| Grass | 8.17 | 1.38 |
| Cropland | 8.56 | 2.45 |
| Forest | 9.29 | 1.65 |
| Threshold of NDVI | RMSE | ||
|---|---|---|---|
| Logistic Function | Polynomial Function | Coupled Model | |
| 0.10 | 0.276 | 0.280 | 0.277 |
| 0.14 | 0.235 | 0.364 | 0.456 |
| 0.18 | 0.260 | 0.381 | 0.321 |
| 0.20 | 0.195 | 0.316 | 0.173 |
| 0.24 | 0.243 | 0.314 | 0.198 |
| 0.28 | 0.314 | 0.245 | 0.287 |
| 0.30 | 0.345 | 0.348 | 0.257 |
| 0.34 | 0.310 | 0.262 | 0.269 |
© 2019 by the authors. Licensee MDPI, Basel, Switzerland. This article is an open access article distributed under the terms and conditions of the Creative Commons Attribution (CC BY) license (http://creativecommons.org/licenses/by/4.0/).
Share and Cite
Luo, Q.; Song, J.; Yang, L.; Wang, J. Improved Spring Vegetation Phenology Calculation Method Using a Coupled Model and Anomalous Point Detection. Remote Sens. 2019, 11, 1432. https://doi.org/10.3390/rs11121432
Luo Q, Song J, Yang L, Wang J. Improved Spring Vegetation Phenology Calculation Method Using a Coupled Model and Anomalous Point Detection. Remote Sensing. 2019; 11(12):1432. https://doi.org/10.3390/rs11121432
Chicago/Turabian StyleLuo, Qian, Jinling Song, Lei Yang, and Jindi Wang. 2019. "Improved Spring Vegetation Phenology Calculation Method Using a Coupled Model and Anomalous Point Detection" Remote Sensing 11, no. 12: 1432. https://doi.org/10.3390/rs11121432
APA StyleLuo, Q., Song, J., Yang, L., & Wang, J. (2019). Improved Spring Vegetation Phenology Calculation Method Using a Coupled Model and Anomalous Point Detection. Remote Sensing, 11(12), 1432. https://doi.org/10.3390/rs11121432

