The Global Spatiotemporal Distribution of the Mid-Tropospheric CO2 Concentration and Analysis of the Controlling Factors
Abstract
1. Introduction
2. Materials and Methods
2.1. Data-Sets
2.1.1. AIRS L3 CO2 Product
2.1.2. Aircraft and Ground-Based Observation Data
2.1.3. Global Fossil CO2 Emission Product
2.1.4. Wind Field Product
2.2. Methodology
3. Results
3.1. Aircraft Observation Validation of the AIRS CO2 Product
3.2. Spatial Distributions of the Mid-Tropospheric CO2 Concentration of the World
3.3. Temporal Distributions of the Mid-Tropospheric CO2 Concentration of the World
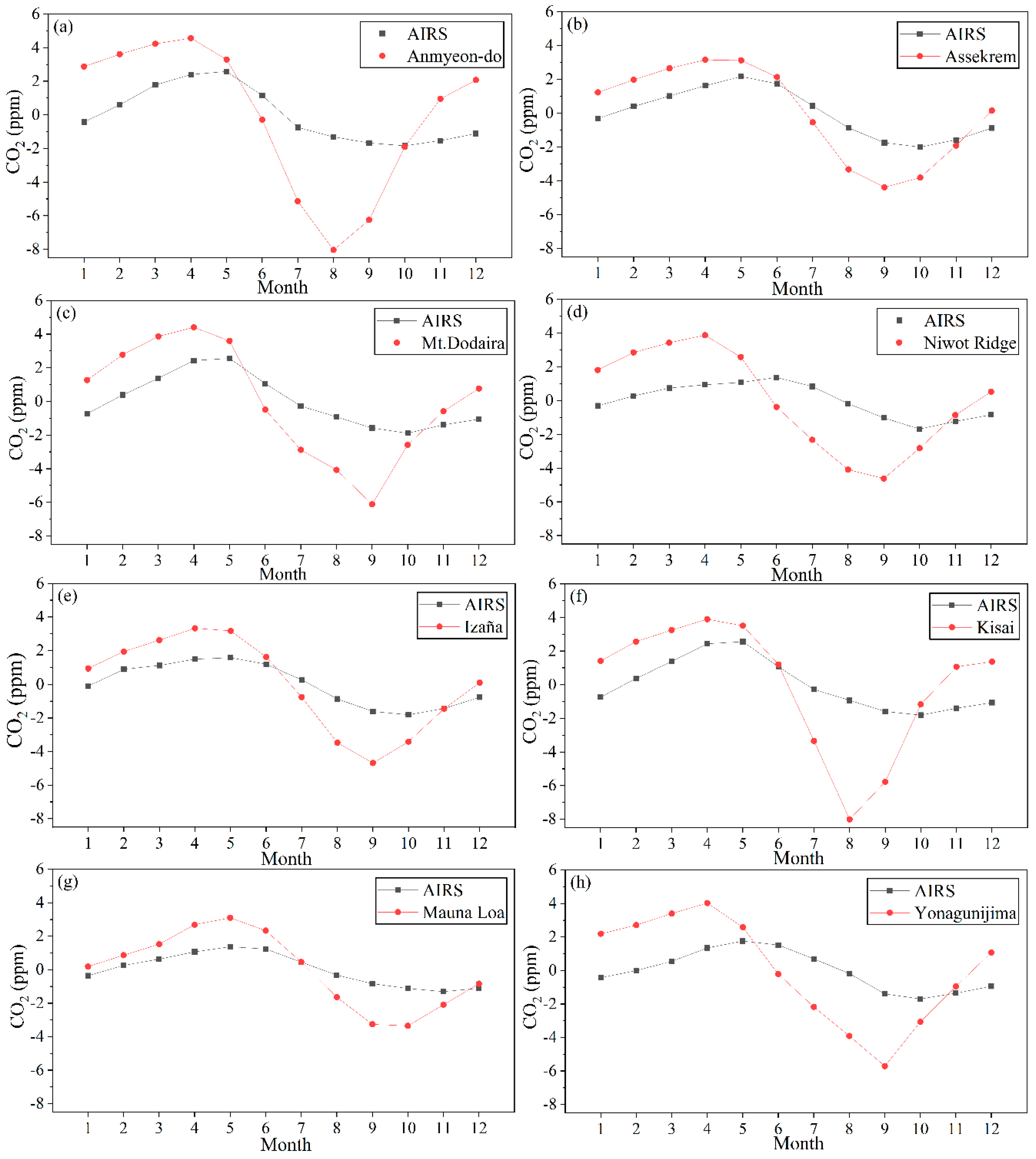
3.4. Comparison of Seasonal Cycles of CO2 Concentration Derived from AIRS Data with that Derived from Observations
4. Discussion
4.1. Effects of Atmospheric Circulations and Carbon Emissions on the Yearly Spatial Distributions of Mid-Tropospheric CO2 Concentrations
4.2. Analysis of Influencing Factors of Spatial Difference in CO2 Growth Rate
5. Conclusions
Author Contributions
Funding
Acknowledgments
Conflicts of Interest
References
- Dlugokencky, E.; Pieter, T. Trends in Atmospheric Carbon Dioxide. Available online: http://www.esrlnoaa.gov/gmd/ccgg/trends (accessed on 18 May 2018).
- Houweling, S.; Breon, F.M.; Aben, I.; Rödenbeck, C.; Gloor, M.; Heimann, M.; Ciais, P. Inverse modeling of CO2 sources and sinks using satellite data: A synthetic inter-comparison of measurement techniques and their performance as a function of space and time. Atmos. Chem. Phys. 2004, 4, 523–538. [Google Scholar] [CrossRef]
- Komhyr, W.D.; Gammon, R.H.; Harris, T.B.; Waterman, L.S.; Conway, T.J.; Taylor, W.R.; Thoning, K.W. Global atmospheric CO2 distribution and variations from 1968–1982 NOAA/GMCC CO2 flask sample data. J. Geophys. Res. 1985, 90, 5567–5596. [Google Scholar] [CrossRef]
- Bai, W.; Zhang, X.; Zhang, P. Temporal and spatial distribution of tropospheric CO2 over china based on satellite observations. Chin. Sci. Bull. 2010, 55, 3612–3618. [Google Scholar] [CrossRef]
- Buchwitz, M.; de Beek, R.; Noël, S.; Burrows, J.P.; Bovensmann, H.; Schneising, O.; Khlystova, I.; Bruns, M.; Bremer, H.; Bergamaschi, P.; et al. Atmospheric carbon gases retrieved from SCIAMACHY by WFM-DOAS: Version 0.5 CO and CH4 and impact of calibration improvements on CO2 retrieval. Atmos. Chem. Phys. 2006, 6, 2727–2751. [Google Scholar] [CrossRef]
- O’Brien, D.M.; Rayner, P.J. Global observations of the carbon budget, 2, CO2 column from differential absorption of reflected sunlight in the 1.61 μm band of CO2. J. Geophys. Res. 2002, 107, 4354. [Google Scholar] [CrossRef]
- Warneke, T.; Yang, Z.; Olsen, S.; Körner, S.; Notholt, J.; Toon, G.C.; Velazco, V.; Schulz, A.; Schrems, O. Seasonal and latitudinal variations of column averaged volume-mixing ratios of atmospheric CO2. Geophys. Res. Lett. 2005, 32, L03808. [Google Scholar] [CrossRef]
- Rayner, P.J.; O’Brien, D.M. The utility of remotely sensed CO2 concentration data in surface source inversions. Geophys. Res. Lett. 2001, 28, 175–178. [Google Scholar] [CrossRef]
- Dai, T.; Shi, G.; Zhang, X.; Xu, N. Influence of HITRAN database updates on retrievals of atmospheric CO2 from near-infrared spectra. Acta Meteorol. Sin. 2012, 26, 629–641. [Google Scholar] [CrossRef]
- Aumann, H.H.; Chahine, M.T.; Gautier, C.; Goldberg, M.D.; Kalnay, E.; McMillin, L.M.; Revercomb, H.; Rosenkranz, P.W.; Smith, W.L.; Staelin, D.H.; et al. AIRS/AMSU/HSB on the Aqua mission: Design, science objectives, data products, and processing systems. IEEE Trans. Geosci. Remote Sens. 2003, 41, 253–264. [Google Scholar] [CrossRef]
- Chahine, M.T.; Pagano, T.S.; Aumann, H.H.; Atlas, R.; Barnet, C.; Blaisdell, J.; Chen, L.; Divakarla, M.; Fetzer, E.J.; Goldberg, M.; et al. AIRS: Improving weather forecasting and providing new data on greenhouse gases. Bull. Am. Meteorol. Soc. 2006, 87, 911–926. [Google Scholar] [CrossRef]
- Crevoisier, C.; Chédin, A.; Matsueda, H.; Machida, T.; Armante, R.; Scott, N.A. First year of upper tropospheric integrated content of CO2 from IASI hyperspectral infrared observations. Atmos. Chem. Phys. 2009, 9, 4797–4810. [Google Scholar] [CrossRef]
- Bovensmann, H.; Burrows, J.P.; Buchwitz, M.; Frerick, J.; Noel, S.; Rozanov, V.V.; Chance, K.V.; Goede, A.P.H. SCIAMACHY: Mission objectives and measurement modes. J. Atmos. Sci. 1999, 56, 127–150. [Google Scholar] [CrossRef]
- Noël, S.; Bovensmann, H.; Burrows, J.P.; Frerick, J.; Chance, K.V.; Goede, A.H.P. Global atmospheric monitoring with SCIAMACHY. Phys. Chem. Earth Part C 1999, 24, 427–434. [Google Scholar] [CrossRef]
- Yokota, T.; Yoshida, Y.; Eguchi, N.; Ota, Y.; Tanaka, T.; Watanabe, H.; Maksyutov, S. Global concentrations of CO2 and CH4 retrieved from GOSAT: First preliminary results. Sola 2009, 5, 160–163. [Google Scholar] [CrossRef]
- Yoshida, Y.; Ota, Y.; Eguchi, N.; Kikuchi, N.; Nobuta, K.; Tran, H.; Morino, I.; Yokota, T. Retrieval algorithm for CO2 and CH4 column abundances from short-wavelength infrared spectral observations by the Greenhouse gases observing satellite. Atmos. Meas. Tech. 2011, 4, 717–734. [Google Scholar] [CrossRef]
- Barkley, M.P.; Monks, P.S.; Engelen, R.J. Comparison of SCIAMACHY and AIRS CO2 measurements over North America during the summer and autumn of 2003. Geophys. Res. Lett. 2006, 33. [Google Scholar] [CrossRef]
- Zhang, L.; Jiang, H.; Zhang, X. Comparison analysis of the global carbon dioxide concentration column derived from SCIAMACHY, AIRS, and GOSAT with surface station measurements. Int. J. Remote Sens. 2015, 36, 1406–1423. [Google Scholar] [CrossRef]
- Crevoisier, C.; Heilliette, S.; Chédin, A.; Serrar, S.; Armante, R.; Scott, N.A. Midtropospheric CO2 concentration retrieval from AIRS observations in the tropics. Geophys. Res. Lett. 2004, 31. [Google Scholar] [CrossRef]
- Maddy, E.S.; Barnet, C.D.; Goldberg, M.; Sweeney, C.; Liu, X. CO2 retrievals from the Atmospheric Infrared Sounder: Methodology and validation. J. Geophys. Res. 2008, 113, D11301. [Google Scholar] [CrossRef]
- Zhang, L.; Zhang, X.; Jiang, H. Accuracy comparisons of AIRS, SCIAMACHY and GOSAT with ground-based data based on global CO2 concentration. In Proceedings of the 2013 21st International Conference on Geoinformatics, Kaifeng, China, 20–22 June 2013; pp. 1–5. [Google Scholar]
- Zhang, L.L.; Yue, T.X.; Wilson, J.P.; Zhao, N.; Zhao, Y.P.; Du, Z.P.; Liu, Y. A comparison of satellite observations with the XCO2 surface obtained by fusing TCCON measurements and GEOS-Chem model outputs. Sci. Total Environ. 2017, 601, 1575–1590. [Google Scholar] [CrossRef]
- Jiang, X.; Crisp, D.; Olsen, E.T.; Kulawik, S.S.; Miller, C.E.; Pagano, T.S.; Liang, M.; Yung, Y.L. CO2 annual and semiannual cycles from multiple satellite retrievals and models. Earth Space Sci. 2016, 3, 78–87. [Google Scholar] [CrossRef]
- Jing, Y.; Shi, J.; Wang, T.; Sussmann, R. Mapping Global Atmospheric CO2 Concentration at High Spatiotemporal Resolution. Atmos 2014, 5, 870–888. [Google Scholar] [CrossRef]
- Pagano, T.S.; Olsen, E.T.; Chahine, M.T.; Ruzmaikin, A.; Nguyen, H.; Jiang, X. Monthly representations of mid-tropospheric carbon dioxide from the atmospheric infrared sounder. In Proceedings of the Imaging Spectrometry XVI, San Diego, CA, USA, 6 September 2011. [Google Scholar]
- Pagano, T.S.; Olsen, E.T.; Hai, N.; Ruzmaikin, A.; Jiang, X.; Perkins, L. Global variability of midtropospheric carbon dioxide as measured by the Atmospheric Infrared Sounder. J. Appl. Remote Sens. 2014, 8, 084984. [Google Scholar] [CrossRef]
- Kumar, K.R.; Revadekar, J.V.; Tiwari, Y.K. AIRS retrieved CO2 and its association with climatic parameters over India during 2004-2011. Sci. Total Environ. 2014, 476, 79–89. [Google Scholar] [CrossRef]
- Tiwari, Y.K.; Revadekar, J.V.; Kumar, K.R. Variations in atmospheric Carbon Dioxide and its association with rainfall and vegetation over India. Atmos. Environ. 2013, 68, 45–51. [Google Scholar] [CrossRef]
- Tiwari, Y.K.; Revadekar, J.V.; Kumar, K.R. Anomalous features of mid-tropospheric CO2 during Indian summer monsoon drought years. Atmos. Environ. 2014, 99, 94–103. [Google Scholar] [CrossRef]
- Chahine, M.T.; Chen, L.; Dimotakis, P.; Jiang, X.; Li, Q.; Olsen, E.T.; Pagano, T.; Randerson, J.; Yung, Y.L. Satellite remote sounding of mid-tropospheric CO2. Geophys. Res. Lett. 2008, 35, L17807. [Google Scholar] [CrossRef]
- Chahine, M.; Barnet, C.; Olsen, E.T.; Chen, L.; Maddy, E. On the determination of atmospheric minor gases by the method of vanishing partial derivatives with application to CO2. Geophys. Res. Lett. 2005, 32, L22803. [Google Scholar] [CrossRef]
- Engelen, R.J.; McNally, A.P. Estimating atmospheric CO2 from advanced infrared satellite radiances within an operational four-dimensional variational (4D-Var) data assimilation system: Results and validation. J. Geophys. Res. 2005, 110, D18305. [Google Scholar] [CrossRef]
- Kumar, K.R.; Tiwari, Y.K.; Revadekar, J.V.; Vellore, R.; Guha, T. Impact of ENSO on variability of AIRS retrieved CO2 over India. Atmos. Environ. 2016, 142, 83–92. [Google Scholar] [CrossRef]
- Olsen, E.T.; Licata, S.J. AIRS Version 5 Release Tropospheric CO2 Products. Available online: https://docserver.gesdisc.eosdis.nasa.gov/repository/Mission/AIRS/3.3_ScienceDataProductDocumentation/3.3.4_ProductGenerationAlgorithms/AIRS-V5-Tropospheric-CO2-Products.pdf (accessed on 6 Septemper 2018).
- Machida, T.; Matsueda, H.; Sawa, Y.; Nakagawa, Y.; Hirotani, K.; Kondo, N.; Goto, K.; Nakazawa, T.; Ishikawa, K.; Ogawa, T. Worldwide measurements of atmospheric CO2 and other trace gas species using commercial airlines. J. Atmos. Ocean. Technol. 2008, 25, 1744–1754. [Google Scholar] [CrossRef]
- Umezawa, T.; Matsueda, H.; Sawa, Y.; Niwa, Y.; Machida, T.; Zhou, L. Seasonal evaluation of tropospheric CO2 over the Asia-Pacific region observed by the CONTRAIL commercial airliner measurements. Atmos. Chem. Phys. Discuss. 2018, 2018, 1–28. [Google Scholar] [CrossRef]
- Janssens-Maenhout, G.; Crippa, M.; Guizzardi, D.; Muntean, M.; Schaaf, E.; Dentener, F.; Bergamaschi, P.; Pagliari, V.; Olivier, J.G.J.; Peters, J.A.H.W.; et al. EDGAR v4.3.2 Global Atlas of the three major Greenhouse Gas Emissions for the period 1970–2012. Earth Syst. Sci. Data Discuss. 2017, 2017, 1–55. [Google Scholar] [CrossRef]
- Kalnay, E.; Kanamitsu, M.; Kistler, R.; Collins, W.; Deaven, D.; Gandin, L.; Iredell, M.; Saha, S.; White, G.; Woollen, J.; et al. The NCEP/NCAR 40-Year Reanalysis Project. Bull. Am. Meteorol. Soc. 1996, 77, 437–472. [Google Scholar] [CrossRef]
- Hannachi, A.; Jolliffe, I.T.; Stephenson, D.B. Empirical orthogonal functions and related techniques in atmospheric science: A review. Int. J. Climatol. 2007, 27, 1119–1152. [Google Scholar] [CrossRef]
- Weare, B.C.; Nasstrom, J.S. Examples of extended empirical orthogonal function analyses. Mon. Weather Rev. 1982, 110, 481–485. [Google Scholar] [CrossRef]
- North, G.R.; Bell, T.L.; Cahalan, R.F.; Moeng, F.J. Sampling errors in the estimation of empirical orthogonal functions. Mon. Weather Rev. 1982, 110, 699–706. [Google Scholar] [CrossRef]
- Dettinger, M.D.; Ghil, M. Seasonal and interannual variations of atmospheric CO2 and climate. Tellus B Chem. Phys. Meteorol. 1998, 50, 1–24. [Google Scholar] [CrossRef]
- Cochran, F.; Brunsell, N. Temporal scales of tropospheric CO2, precipitation, and ecosystem responses in the central Great Plains. Remote Sens. Environ. 2012, 127, 316–328. [Google Scholar] [CrossRef]
- Cao, L.; Chen, X.; Zhang, C.; Kurban, A.; Yuan, X.; Pan, T.; de Maeyer, P. The Temporal and Spatial Distributions of the Near-Surface CO2 Concentrations in Central Asia and Analysis of Their Controlling Factors. Atmos 2017, 8, 85. [Google Scholar] [CrossRef]
- Krishnamurti, T.N. Tropical East-West Circulations During the Northern Summer. J. Atmos. Sci. 1971, 28, 1342–1347. [Google Scholar] [CrossRef]
- Mancuso, R.L. A Numerical Procedure for Computing Fields of Stream Function and Velocity Potential. J. Appl. Meteorol. 1967, 6, 994–1001. [Google Scholar] [CrossRef]
- Wang, C. Atlantic Climate Variability and Its Associated Atmospheric Circulation Cells. J. Clim. 2002, 15, 1516–1536. [Google Scholar] [CrossRef]
- Wang, C. Atmospheric Circulation Cells Associated with the El Niño–Southern Oscillation. J. Clim. 2002, 15, 399–419. [Google Scholar] [CrossRef]
- Brienen, R.J.W.; Phillips, O.L.; Feldpausch, T.R.; Gloor, E.; Baker, T.R.; Lloyd, J.; Lopez-Gonzalez, G.; Monteagudo-Mendoza, A.; Malhi, Y.; Lewis, S.L.; et al. Long-term decline of the amazon carbon sink. Nature 2015, 519, 344. [Google Scholar] [CrossRef] [PubMed]
- Schaefer, K.; Zhang, T.; Bruhwiler, L.; Barrett, A.P. Amount and timing of permafrost carbon release in response to climate warming. Tellus B Chem. Phys. Meteorol. 2011, 63, 168–180. [Google Scholar] [CrossRef]
- Zimov, S.; Davidov, S.; Voropaev, Y.V.; Prosiannikov, S.; Semiletov, I.; Chapin, M.; Chapin, F. Siberian CO2 efflux in winter as a CO2 source and cause of seasonality in atmospheric CO2. Clim. Chang. 1996, 33, 111–120. [Google Scholar] [CrossRef]
- Ciais, P.; Sabine, C.; Bala, G.; Bopp, L.; Brovkin, V.; Canadell, J.; Chhabra, A.; DeFries, R.; Galloway, J.; Heimann, M.; et al. Carbon and other biogeochemical cycles. In Climate Change 2013: The Physical Science Basis. Contribution of Working Group I to the Fifth Assessment Report of the Intergovernmental Panel on Climate Change; Cambridge University Press: Cambridge, UK; New York, NY, USA, 2014; pp. 465–570. ISBN 9781107415324. [Google Scholar]
- Ito, T.; Follows, M. Preformed phosphate, soft tissue pump and atmospheric CO2. J. Mar. Res. 2005, 63, 813–839. [Google Scholar] [CrossRef]
- Sarmiento, J.L.; Slater, R.; Barber, R.; Bopp, L.; Doney, S.C.; Hirst, A.; Kleypas, J.; Matear, R.; Mikolajewicz, U.; Monfray, P.; et al. Response of ocean ecosystems to climate warming. Glob. Biogeochem. Cycles 2004, 18, GB3003. [Google Scholar] [CrossRef]
- Riebesell, U.; Körtzinger, A.; Oschlies, A. Sensitivities of marine carbon fluxes to ocean change. Proc. Natl. Acad. Sci. USA 2009, 106, 20602–20609. [Google Scholar] [CrossRef]
- Olsen, E.T.; Chahine, M.T.; Chen, L.L.; Pagano, T.S. Retrieval of mid-tropospheric CO2 directly from AIRS measurements. In Algorithms and Technologies for Multispectral, Hyperspectral, and Ultraspectral Imagery XIV; International Society for Optics and Photonics: Bellingham, WA, USA, 2008; p. 696613. [Google Scholar]









| Coordinates (°) | Yearly Growth (ppm/a) | Monthly Average (ppm) | ||||||
|---|---|---|---|---|---|---|---|---|
| Aircraft | Satellite | Deviation | Aircraft | Satellite | Deviation | R | ||
| CONTRAIL a area | 20°S–30°S,148°E–155°E | 1.85 | 2.00 | 0.15 | 380.8 | 381.2 | 0.39 | 0.99 *** |
| CONTRAIL b area | 10°S–20°S,146°E–154°E | 1.90 | 1.92 | 0.02 | 380.9 | 381.1 | 0.16 | 0.98 *** |
| CONTRAIL c area | 0–10°S,142°E–151°E | 2.03 | 2.00 | 0.03 | 381.1 | 381.4 | 0.30 | 0.99 *** |
| CONTRAIL d area | 0–10°N,142°E–149°E | 1.98 | 1.92 | 0.08 | 381.5 | 381.9 | 0.36 | 0.97 *** |
| CONTRAIL e area | 10°N–20°N,137°E–148°E | 1.94 | 1.92 | 0.02 | 381.7 | 381.6 | 0.09 | 0.95 *** |
| CONTRAIL f area | 20°N–30°N,135°E–146°E | 1.91 | 1.87 | 0.04 | 381.6 | 381.5 | 0.14 | 0.95 *** |
| Average | 1.93 | 1.94 | 0.06 | 381.3 | 381.5 | 0.24 | ||
| Ground Station Information | Yearly Growth (ppm/a) | |||||
|---|---|---|---|---|---|---|
| GAW Category | Coordinate (°) | Altitude | Ground | Satellite | Deviation | |
| Alert | Global | 82.45°N,62.51°W | 210 | 1.95 | 2.29 | 0.34 |
| Anmyeon-do | Regional | 36.54°N,126.33°E | 112 | 2.11 | 2.14 | 0.04 |
| Ascension Island | Regional | 7.92°S,14.42°W | 54 | 1.86 | 2.17 | 0.31 |
| Assekrem | Global | 23.27°N,5.63°E | 2710 | 2.00 | 2.04 | 0.05 |
| Barrow | Global | 71.32°N,156.61°W | 27 | 1.96 | 2.32 | 0.36 |
| Cape Point | Global | 34.35°S,18.49°E | 260 | 1.87 | 2.15 | 0.28 |
| Mt. Dodaira | Contributing | 36°N,139.2°E | 860 | 1.98 | 2.15 | 0.17 |
| Niwot Ridge | Regional | 40.04°N,105.54°W | 3021 | 1.97 | 2.16 | 0.18 |
| Izaña | Global | 28.31°N,16.5°W | 2381 | 2.13 | 2.08 | 0.05 |
| Kisai | Contributing | 36.08°N,139.55°E | 33 | 1.98 | 2.15 | 0.17 |
| Mauna Loa | Global | 19.54°N,155.58°W | 3437 | 1.98 | 2.04 | 0.06 |
| Pallas | Global | 67.97°N,24.12°E | 567 | 1.96 | 2.20 | 0.23 |
| Plateau Rosa | Regional | 45.93°N,7.7°E | 3480 | 1.95 | 2.08 | 0.13 |
| Pic du Midi | Contributing | 42.94°N,0.14°E | 2877 | 1.97 | 2.00 | 0.03 |
| Mt. Waliguan | Global | 36.28°N,100.9°E | 3890 | 2.10 | 2.14 | 0.05 |
| Wendover | Regional | 39.88°N,113.72°W | 1320 | 2.01 | 2.14 | 0.12 |
| Yonagunijima | Regional | 24.47°N,123.01°E | 50 | 2.00 | 2.12 | 0.13 |
| Ryori | Regional | 39.03°N,141.82°E | 280 | 1.95 | 2.17 | 0.23 |
| Samoa | Global | 14.25°S,170.56°W | 60 | 1.92 | 2.04 | 0.11 |
| Zugspitze | Global | 47.42°N,10.98°E | 2656 | 1.81 | 2.11 | 0.30 |
| Average | 1.97 | 2.13 | 0.17 | |||
| Yearly Average (ppm) | Annual Growth (ppm/a) | Seasonal Average (ppm) | Seasonal Fluctuation (ppm) | ||||||
|---|---|---|---|---|---|---|---|---|---|
| Spring | Summer | Autumn | Winter | Average | Maximum | Minimum | |||
| 0–10°N | 382.5 | 2.00 | 382.6 | 382.8 | 382.8 | 382.3 | 0.54 | 1.60 | 0.02 |
| 10°N–20°N | 382.7 | 2.01 | 383.2 | 383.2 | 382.5 | 382.1 | 0.89 | 2.25 | 0.02 |
| 20°N–30°N | 383.1 | 2.04 | 383.9 | 383.6 | 382.3 | 382.9 | 1.29 | 2.28 | 0.04 |
| 30°N–40°N | 383.9 | 2.08 | 384.9 | 384.2 | 383.0 | 383.8 | 1.44 | 2.39 | 0.02 |
| 40°N–50°N | 384.3 | 2.13 | 385.8 | 384.6 | 383.6 | 383.8 | 1.60 | 3.29 | 0.49 |
| 50°N–60°N | 384.2 | 2.20 | 386.4 | 384.0 | 383.8 | 383.1 | 1.83 | 5.17 | 0.07 |
| 60°N–70°N | 384.0 | 2.27 | 386.9 | 383.6 | 383.9 | 382.2 | 2.50 | 7.40 | 0.09 |
| 70°N–80°N | 383.8 | 2.26 | 386.7 | 383.5 | 384.0 | 381.3 | 2.88 | 8.21 | 0.10 |
| 80°N–89°N | 383.6 | 2.27 | 386.8 | 383.4 | 384.2 | 380.4 | 3.59 | 10.52 | 0.07 |
| 0–10°S | 382.1 | 2.01 | 381.8 | 382.2 | 382.6 | 382.2 | 0.50 | 1.10 | 0.11 |
| 10°S–20°S | 382.1 | 2.03 | 381.5 | 382.2 | 382.8 | 382.2 | 0.51 | 1.05 | 0.00 |
| 20°S–30°S | 382.8 | 2.03 | 382.1 | 383.2 | 383.5 | 382.7 | 0.55 | 1.48 | 0.04 |
| 30°S–40°S | 383.2 | 2.07 | 382.2 | 383.4 | 384.3 | 383.2 | 0.70 | 1.63 | 0.02 |
| 40°S–50°S | 382.9 | 2.11 | 382.3 | 382.3 | 384.2 | 383.1 | 0.69 | 2.48 | 0.01 |
| 50°S–60°S | 382.3 | 2.08 | 383.1 | 381.7 | 382.7 | 382.0 | 1.25 | 2.70 | 0.00 |
| NH (0–60°N) | 383.6 | 2.14 | 385.2 | 383.7 | 383.3 | 382.4 | 1.84 | 4.79 | 0.10 |
| SH (0–60°S) | 382.6 | 2.06 | 382.2 | 382.5 | 383.3 | 382.6 | 0.70 | 2.70 | 0.00 |
| Global (89°N–60°S) | 383.2 | 2.11 | 384.0 | 383.2 | 383.3 | 382.5 | 1.38 | 10.52 | 0.00 |
© 2019 by the authors. Licensee MDPI, Basel, Switzerland. This article is an open access article distributed under the terms and conditions of the Creative Commons Attribution (CC BY) license (http://creativecommons.org/licenses/by/4.0/).
Share and Cite
Cao, L.; Chen, X.; Zhang, C.; Kurban, A.; Qian, J.; Pan, T.; Yin, Z.; Qin, X.; Ochege, F.U.; Maeyer, P.D. The Global Spatiotemporal Distribution of the Mid-Tropospheric CO2 Concentration and Analysis of the Controlling Factors. Remote Sens. 2019, 11, 94. https://doi.org/10.3390/rs11010094
Cao L, Chen X, Zhang C, Kurban A, Qian J, Pan T, Yin Z, Qin X, Ochege FU, Maeyer PD. The Global Spatiotemporal Distribution of the Mid-Tropospheric CO2 Concentration and Analysis of the Controlling Factors. Remote Sensing. 2019; 11(1):94. https://doi.org/10.3390/rs11010094
Chicago/Turabian StyleCao, Liangzhong, Xi Chen, Chi Zhang, Alishir Kurban, Jin Qian, Tao Pan, Zuozhong Yin, Xiugong Qin, Friday Uchenna Ochege, and Philippe De Maeyer. 2019. "The Global Spatiotemporal Distribution of the Mid-Tropospheric CO2 Concentration and Analysis of the Controlling Factors" Remote Sensing 11, no. 1: 94. https://doi.org/10.3390/rs11010094
APA StyleCao, L., Chen, X., Zhang, C., Kurban, A., Qian, J., Pan, T., Yin, Z., Qin, X., Ochege, F. U., & Maeyer, P. D. (2019). The Global Spatiotemporal Distribution of the Mid-Tropospheric CO2 Concentration and Analysis of the Controlling Factors. Remote Sensing, 11(1), 94. https://doi.org/10.3390/rs11010094

