Evaluation of ISS-RapidScat Wind Vectors Using Buoys and ASCAT Data
Abstract
:1. Introduction
2. Data and Methods
2.1. Data
2.1.1. ISS-RapidScat Wind Vectors
2.1.2. Wind Observations by Moored Buoys
2.1.3. The Advanced Scatterometer Wind Data
2.2. Methods
2.2.1. Data Collocation
2.2.2. Statistical Methods
3. Results and Discussions
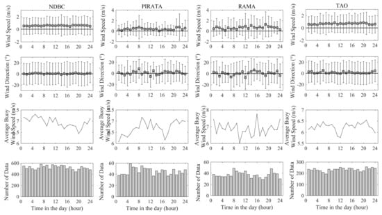
3.1. Comparison with Moored Buoys
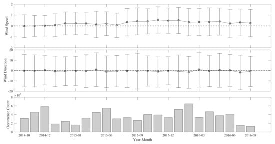
3.2. Comparison with Advanced Scatterometer Wind Vectors
4. Conclusions
Acknowledgments
Author Contributions
Conflicts of Interest
References
- Ulaby, F.T.; Moore, R.K.; Fung, A.K. Microwave Remote Sensing: Active and Passive; Vol. 3: From Theory to Applications; Artech House: Norwood, MA, USA, 1986; pp. 1660–1685. [Google Scholar]
- Grantham, W.L.; Bracalente, E.; Jones, W.; Johnson, J. The Seasat-A satellite scatterometer. IEEE J. Ocean. Eng. 1977, 2, 200–206. [Google Scholar] [CrossRef]
- Durden, S.L.; Perkovic-Martin, D. The Rapidscat ocean winds scatterometer: A radar system engineering perspective. IEEE Geosci. Remote Sens. Mag. 2017, 5, 36–43. [Google Scholar] [CrossRef]
- Freilich, M.H.; Dunbar, R.S. The accuracy of the NSCAT 1 vector winds: Comparisons with National Data Buoy Center buoys. J. Geophys. Res. 1999, 104, 11231–11246. [Google Scholar] [CrossRef]
- Quilfen, Y.; Charpon, B.; Vandemark, D. The ERS scatterometer wind measurement Accuracy: Evidence of seasonal and regional biases. J. Atmos. Ocean. Technol. 2001, 18, 1684–1697. [Google Scholar] [CrossRef]
- Ebuchi, N.; Graber, H.C.; Caruso, M.J. Evaluation of Wind Vectors Observed by QuikSCAT/SeaWinds Using Ocean Buoy Data. J. Atmos. Ocean. Technol. 2002, 19, 2049–2062. [Google Scholar] [CrossRef]
- Bentamy, A.; Croize-fillon, D.; Perigaud, C. Characterization of ASCAT measurements based on buoy and QuikSCAT wind vector observations. Ocean Sci. 2008, 4, 265–274. [Google Scholar] [CrossRef]
- Sudha, A.K.; Prasada Rao, C.V.K. Comparison of Oceansat-2 scatterometer winds with buoy observations over the Indian Ocean and the Pacific Ocean. Remote Sens. Lett. 2013, 4, 171–179. [Google Scholar] [CrossRef]
- Wang, H.; Zhu, J.H.; Lin, M.S.; Huang, X.Q.; Zhao, Y.L.; Chen, C.T.; Zhang, Y.G.; Peng, H.L. First six months quality assessment of HY-2A SCAT wind products using in situ measurements. Acta Oceanol. Sin. 2013, 32, 27–33. [Google Scholar] [CrossRef]
- Ebuchi, N. Evaluation of marine vector winds observed by RapidScat on the international space station using statistical distribution. In Proceedings of the 2015 IEEE International Geoscience and Remote Sensing Symposium (IGARSS), Milan, Italy, 26–31 July 2015; pp. 4901–4904. [Google Scholar]
- Verhoef, A.; Vogelzang, J.; Stoffelen, A. RapidScat Wind Validation Report; Ocean and Sea Ice SAF Technical Note, SAF/OSI/CDOP2/KNMI/TEC/MA/228; OSI SAF Tech.: De Bilt, The Netherlands, 2015. [Google Scholar]
- Fore, A.G.; Stiles, B.W.; Chau, A.H.; Williams, B.A.; Dunbar, R.S.; Rodriguez, E. Point-wise Wind Retrieval and Ambiguity Removal Improvements for the QuikSCAT Climatological Data Set. IEEE Trans. Geosci. Remote Sens. 2013, 52, 51–59. [Google Scholar] [CrossRef]
- Physical Oceanography Distributed Active Archive Center (PO.DAAC). Jet Propulsion Laboratory. RapidScat Level 2B NetCDF Guide Document. Document Clearance Number: CL#16-1418. March 2016. Available online: ftp://podaac.jpl.nasa.gov/allData/rapidscat/retired/L2B12/docs/rscat_l2b_user_guide_v1.pdf (accessed on 19 April 2018).
- Stiles, B.W.; Dunbar, R.S. A Neural Network Technique for Improving the Accuracy of Scatterometer Winds in Rainy Conditions. IEEE Trans. Geosci. Remote Sens. 2010, 48, 3114–3122. [Google Scholar] [CrossRef]
- Mcphaden, M.J.; Busalacchi, A.J.; Cheney, R.; Donguy, J.R.; Gage, K.S.; Halpern, D.; Ji, M.; Julian, P.; Meyers, G.; Mitchum, G.T.; et al. The tropical ocean-global atmosphere observing system: A decade of progress. J. Geophys. Res. 1998, 103, 14169–14240. [Google Scholar] [CrossRef]
- Liu, W.T.; Katsaros, K.B.; Businger, J.A. Bulk Parameterization of Air-Sea Exchanges of Heat and Water Vapor Including the Molecular Constraints at the Interface. J. Atmos. Sci. 1979, 36, 1722–1735. [Google Scholar] [CrossRef]
- Liu, W.T.; Tang, W.Q. Equivalent Neutral Wind; Jet Propulsion Laboratory Publication 96-17; 1996. Available online: https://ntrs.nasa.gov/archive/nasa/casi.ntrs.nasa.gov/19970010322.pdf (accessed on 7 March 2018).
- Fairall, C.W.; Bradley, E.F.; Hare, J.E.; Grachev, A.A.; Edson, J.B. Bulk Parameterization of Air–Sea Fluxes: Updates and Verification for the COARE Algorithm. J. Clim. 2003, 16, 571–591. [Google Scholar] [CrossRef]
- Bidlot, J.R.; Holmes, D.J.; Wittmann, P.A.; Lalbeharry, R.; Chen, H.S. Intercomparison of the performance of operational ocean wave forecasting systems with buoy data. Weather Forecast. 2001, 17, 287–310. [Google Scholar] [CrossRef]
- Verhoef, A.; Vogelzang, J.; Stoffelen, A. ASCAT L2 Winds Data Record Validation Report; Ocean and Sea Ice SAF Technical Note, SAF/OS /CDOP2/KNMI/TEC/RP/239; OSI SAF Tech.: De Bilt, The Netherlands, 2016. [Google Scholar]
- ASCAT Wind Product User Manual, Ocean and Sea Ice SAF, EUMETSAT Advanced Retransmission Service, Version 1.14. March 2016. Available online: http://profects.knmi.nl/scatterometer/publications/pdf/ASCAT_Product_Manual.pdf (accessed on 19 April 2018).
- Chakraborty, A.; Kumar, R. Generation and validation of analyzed wind vectors over the global oceans. Remote Sens. Lett. 2013, 4, 114–122. [Google Scholar] [CrossRef]
- Ulgen, K.; Hepbasli, A. Determination of Weibull parameters for wind energy analysis of İzmir, turkey. Int. J. Energy Res. 2002, 26, 495–506. [Google Scholar] [CrossRef]











| Sensor/Mission | Frequency | Launch Time (UTC) | Spatial Resolution | Swath | Design Accuracy |
|---|---|---|---|---|---|
| SASS/SeaSat-A | 14.6 GHz | 27 June 1978 | 50 km | 1000 km | 2 m/s and 20° |
| AMI/ERS-1&2 | 5.3 GHz | 17 July 1991 21 April 1995 | 50 km | 500 km | 2 m/s and 20° |
| NSCAT/ADEOS-1 | 14.0 GHz | 17 August 1996 | 50 km | 600 km | 2 m/s and 20° |
| SeaWinds/ADEOS-II | 13.4 GHz | 14 December 2002 | 25 km | 1800 km | 2 m/s and 20° |
| SeaWinds/QuikSCAT | 13.4 GHz | 19 June 1999 | 25 km | 1800 km | 2 m/s and 20° |
| ASCAT/Metop-A&B | 5.3 GHz | A: 19 October 2006 B: 17 September 2012 | 25 km | 2 × 550 km | 2 m/s and 20° |
| Oscat/OCEANSAT-2 | 13.5 GHz | 23 September 2009 | 50 km | 1400–1840 km | 2 m/s and 20° |
| HSCAT/HY-2A | 13.3 GHz | 16 August 2011 | 25 km | 1350–1700 km | 2 m/s and 20° |
| RapidScat/ISS | 13.4 GHz | 20 September 2014 | 12.5 km | 900–1100 km | 2 m/s and 20° |
| Buoy | Buoy Wind Speed | Number of Collocation | Wind Speed | Wind Direction | ||||
|---|---|---|---|---|---|---|---|---|
| Bias (m/s) | RMSE (m/s) | R | Bias (°) | RMSE (°) | R | |||
| NDBC | 0–24 m/s | 12,578 | 0.56 | 1.38 | 0.93 | 0.44 | 19.8 | 0.78 |
| PIRATA | 0–20 m/s | 1092 | 0.38 | 1.35 | 0.82 | 0.64 | 17.4 | 0.79 |
| RAMA | 0–20 m/s | 899 | 0.63 | 1.76 | 0.86 | 0.31 | 19.7 | 0.82 |
| TAO | 0–15 m/s | 5603 | 0.68 | 1.47 | 0.84 | 1.41 | 19.2 | 0.66 |
| ALL | 0–24 m/s | 20,131 | 0.59 | 1.42 | 0.91 | 0.72 | 19.5 | 0.79 |
| Month | Number of Collocation | Wind Speed | Wind Direction | ||||
|---|---|---|---|---|---|---|---|
| Bias (m/s) | RMSE (m/s) | R | Bias (°) | RMSE (°) | R | ||
| Oct. 2014 | 312,514 | −0.02 | 1.04 | 0.96 | −0.21 | 15.67 | 0.89 |
| Nov. 2014 | 455,124 | 0.01 | 0.96 | 0.96 | −0.34 | 15.53 | 0.08 |
| Dec. 2014 | 583,358 | 0.03 | 0.95 | 0.96 | 0.19 | 14.14 | 0.94 |
| Jan. 2015 | 184,001 | 0.06 | 1.06 | 0.96 | −0.85 | 14.85 | 0.88 |
| Feb. 2015 | 246,063 | 0.23 | 1.05 | 0.96 | −0.58 | 13.89 | 0.93 |
| Mar. 2015 | 158,950 | 0.23 | 1.04 | 0.96 | −0.25 | 14.09 | 0.83 |
| Apr. 2015 | 321,073 | 0.23 | 1.04 | 0.96 | −0.58 | 15.86 | 0.87 |
| May 2015 | 449,212 | 0.14 | 1.22 | 0.94 | 0.87 | 16.28 | 0.80 |
| Jun. 2015 | 550,082 | 0.22 | 1.08 | 0.95 | −1.14 | 15.39 | 0.87 |
| Jul. 2015 | 303,726 | 0.07 | 1.12 | 0.96 | −0.59 | 15.30 | 0.94 |
| Aug. 2015 | 330,595 | 0.34 | 1.26 | 0.95 | −0.31 | 16.15 | 0.87 |
| Sep. 2015 | 267,640 | 0.42 | 1.24 | 0.95 | −0.57 | 17.31 | 0.84 |
| Oct. 2015 | 400,119 | 0.42 | 1.16 | 0.95 | −0.36 | 14.66 | 0.93 |
| Nov. 2015 | 392,022 | 0.55 | 1.21 | 0.95 | −1.03 | 15.08 | 0.88 |
| Dec. 2015 | 329,652 | 0.49 | 1.16 | 0.94 | −0.26 | 13.62 | 0.96 |
| Jan. 2016 | 519,671 | 0.51 | 1.20 | 0.95 | −0.73 | 15.78 | 0.86 |
| Feb. 2016 | 646,977 | 0.34 | 1.25 | 0.95 | −1.71 | 15.51 | 0.83 |
| Mar. 2016 | 332,428 | 0.36 | 1.24 | 0.94 | 0.87 | 16.92 | 0.92 |
| Apr. 2016 | 466,392 | 0.38 | 1.28 | 0.93 | −0.33 | 15.20 | 0.88 |
| May 2016 | 373,794 | 0.41 | 1.24 | 0.94 | 0.26 | 16.47 | 0.87 |
| Jun. 2016 | 409,699 | 0.22 | 1.31 | 0.93 | 0.11 | 15.37 | 0.84 |
| Jul. 2016 | 155,656 | 0.32 | 1.24 | 0.94 | −1.85 | 16.80 | 0.07 |
| Aug. 2016 | 131,296 | 0.26 | 1.26 | 0.94 | −0.80 | 14.68 | 0.70 |
| ALL | 8,320,044 | 0.27 | 1.15 | 0.95 | −0.42 | 15.21 | 0.83 |
© 2018 by the authors. Licensee MDPI, Basel, Switzerland. This article is an open access article distributed under the terms and conditions of the Creative Commons Attribution (CC BY) license (http://creativecommons.org/licenses/by/4.0/).
Share and Cite
Yang, J.; Zhang, J. Evaluation of ISS-RapidScat Wind Vectors Using Buoys and ASCAT Data. Remote Sens. 2018, 10, 648. https://doi.org/10.3390/rs10040648
Yang J, Zhang J. Evaluation of ISS-RapidScat Wind Vectors Using Buoys and ASCAT Data. Remote Sensing. 2018; 10(4):648. https://doi.org/10.3390/rs10040648
Chicago/Turabian StyleYang, Jungang, and Jie Zhang. 2018. "Evaluation of ISS-RapidScat Wind Vectors Using Buoys and ASCAT Data" Remote Sensing 10, no. 4: 648. https://doi.org/10.3390/rs10040648
APA StyleYang, J., & Zhang, J. (2018). Evaluation of ISS-RapidScat Wind Vectors Using Buoys and ASCAT Data. Remote Sensing, 10(4), 648. https://doi.org/10.3390/rs10040648
