The Accuracies of Himawari-8 and MTSAT-2 Sea-Surface Temperatures in the Tropical Western Pacific Ocean
Abstract
:1. Introduction
2. Materials and Methods
+ a5 × (T10 − T9) × Tsfc + a6 × (T10 − T11) × Tsfc + a7 × (T10 − T12) × Tsfc
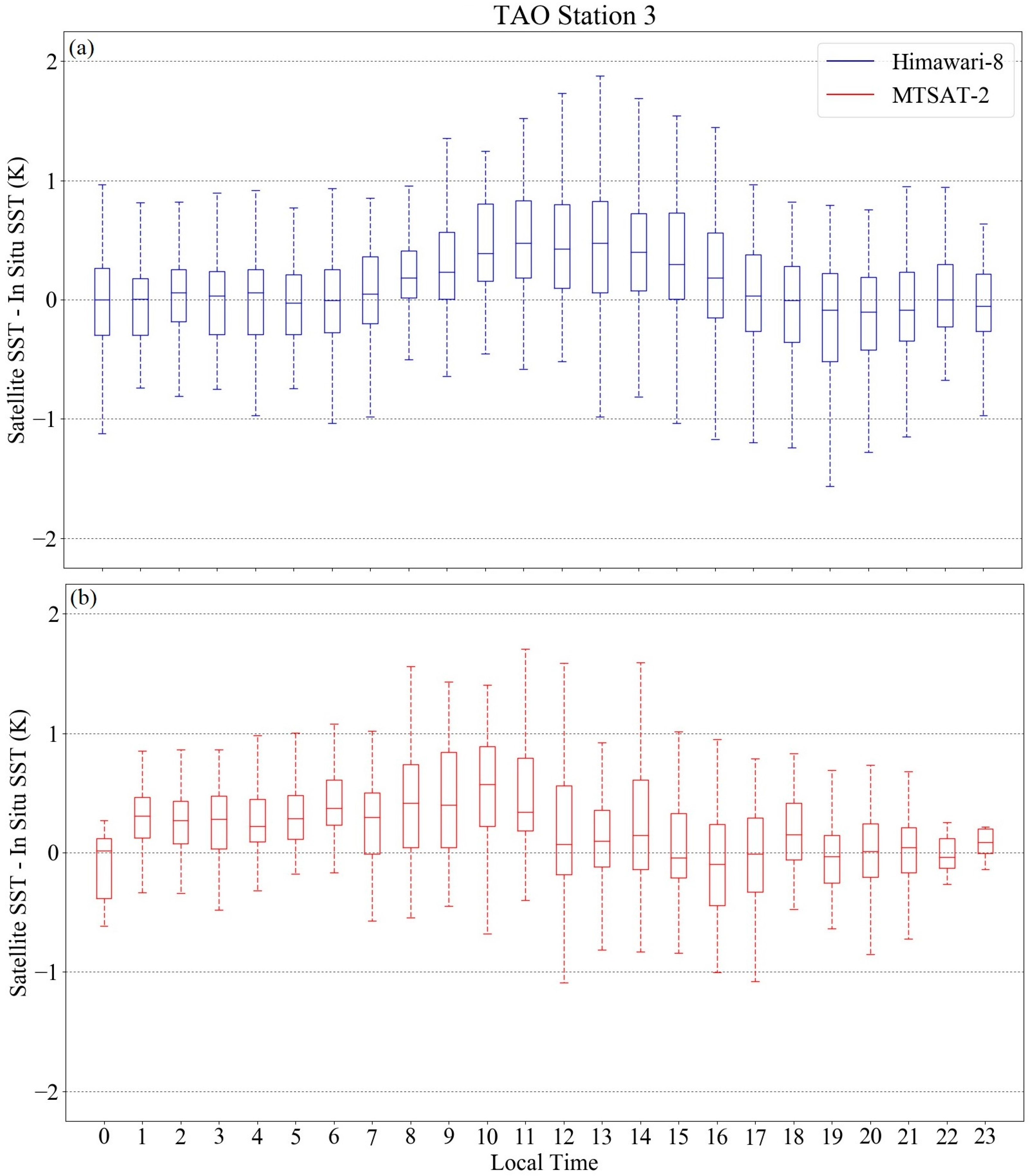
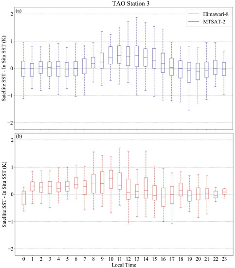
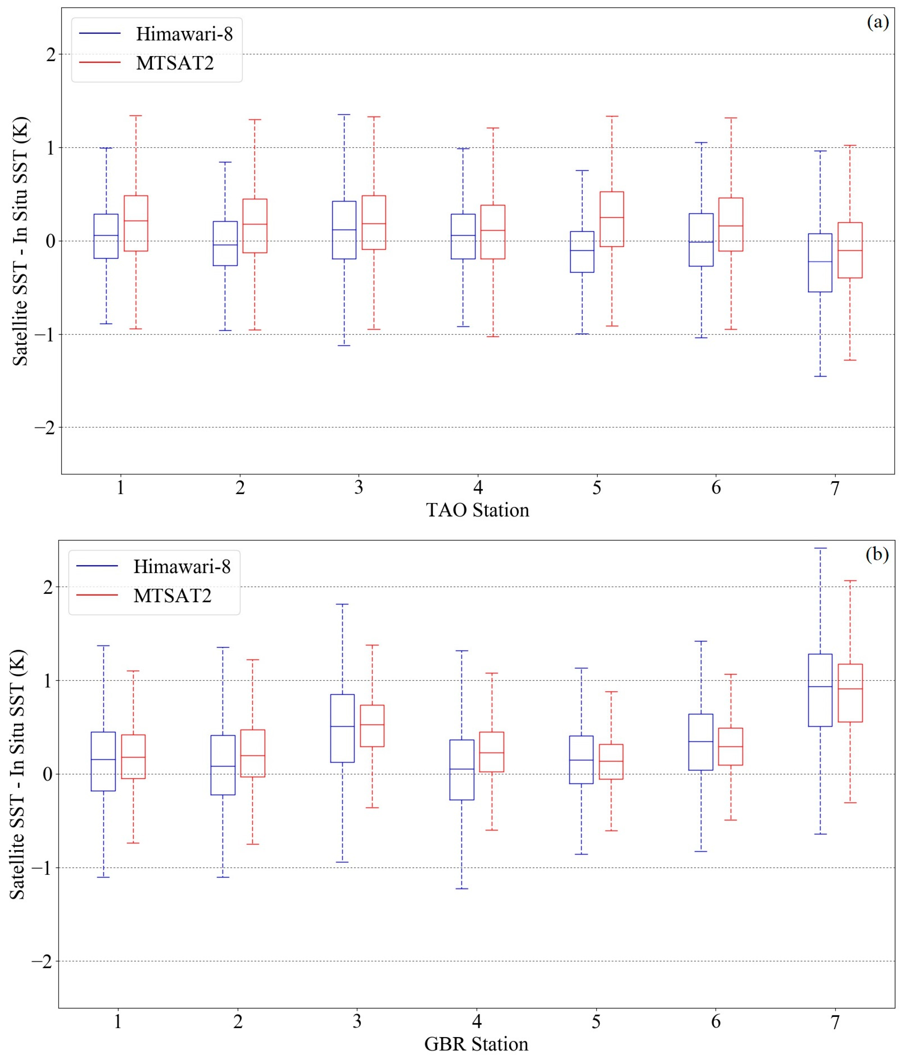
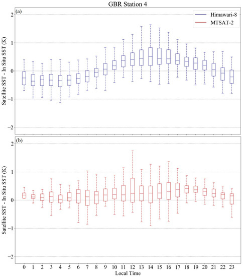
3. Results
4. Discussion
5. Conclusions
Acknowledgments
Author Contributions
Conflicts of Interest
References
- Robinson, I.S. Measuring the Oceans from Space: The Principles and Methods of Satellite Oceanography; Springer Science & Business Media: Berlin, Germany; New York, NY, USA, 2004; p. 670. [Google Scholar]
- Schneider, T.; Bischoff, T.; Haug, G.H. Migrations and dynamics of the intertropical convergence zone. Nature 2014, 513, 45–53. [Google Scholar] [CrossRef] [PubMed]
- Oki, T.; Kanae, S. Global Hydrological Cycles and World Water Resources. Science 2006, 313, 1068–1072. [Google Scholar] [CrossRef] [PubMed]
- Clement, A.C. The Role of the Ocean in the Seasonal Cycle of the Hadley Circulation. J. Atmos. Sci. 2006, 63, 3351–3365. [Google Scholar] [CrossRef]
- Wada, A.; Chan, J.C.L. Relationship between typhoon activity and upper ocean heat content. Geophys. Res. Lett. 2008, 35, 36–44. [Google Scholar] [CrossRef]
- Benestad, R.E. On tropical cyclone frequency and the warm pool area. Nat. Hazards Earth Syst. Sci. 2009, 9, 635–645. [Google Scholar] [CrossRef]
- Zhang, Q.; Liu, Q.; Wu, L. Tropical Cyclone Damages in China 1983–2006. Bull. Am. Meteorol. Soc. 2009, 90, 489–495. [Google Scholar] [CrossRef]
- Dunn, S.R.; Thomason, J.C.; Le Tissier, M.D.A.; Bythell, J.C. Heat stress induces different forms of cell death in sea anemones and their endosymbiotic algae depending on temperature and duration. Cell Death Differ. 2004, 11, 1213–1222. [Google Scholar] [CrossRef] [PubMed]
- Fitt, W.; Brown, B.; Warner, M.; Dunne, R. Coral bleaching: Interpretation of thermal tolerance limits and thermal thresholds in tropical corals. Coral Reefs 2001, 20, 51–65. [Google Scholar] [CrossRef]
- Rogers, J.S.; Monismith, S.G.; Koweek, D.A.; Torres, W.I.; Dunbar, R.B. Thermodynamics and hydrodynamics in an atoll reef system and their influence on coral cover. Limnol. Oceanogr. 2016, 61, 2191–2206. [Google Scholar] [CrossRef]
- Berkelmans, R.; De’ath, G.; Kininmonth, S.; Skirving, W.J. A comparison of the 1998 and 2002 coral bleaching events on the Great Barrier Reef: Spatial correlation, patterns, and predictions. Coral Reefs 2004, 23, 74–83. [Google Scholar] [CrossRef]
- Hughes, T.P.; Kerry, J.T.; Álvarez-Noriega, M.; Álvarez-Romero, J.G.; Anderson, K.D.; Baird, A.H.; Babcock, R.C.; Beger, M.; Bellwood, D.R.; Berkelmans, R.; et al. Global warming and recurrent mass bleaching of corals. Nature 2017, 543, 373–377. [Google Scholar] [CrossRef] [PubMed]
- Donner, S.D.; Skirving, W.J.; Little, C.M.; Oppenheimer, M.; Hoegh-Guldberg, O.V.E. Global assessment of coral bleaching and required rates of adaptation under climate change. Glob. Chang. Biol. 2005, 11, 2251–2265. [Google Scholar] [CrossRef]
- Kemp, D.W.; Colella, M.A.; Bartlett, L.A.; Ruzicka, R.R.; Porter, J.W.; Fitt, W.K. Life after cold death: Reef coral and coral reef responses to the 2010 cold water anomaly in the Florida Keys. Ecosphere 2016, 7, e01373. [Google Scholar] [CrossRef]
- Hoegh-Guldberg, O.; Fine, M. Low temperatures cause coral bleaching. Coral Reefs 2004, 23, 444. [Google Scholar] [CrossRef]
- Kavousi, J.; Parkinson, J.E.; Nakamura, T. Combined ocean acidification and low temperature stressors cause coral mortality. Coral Reefs 2016, 35, 903–907. [Google Scholar] [CrossRef]
- Langdon, C.; Atkinson, M.J. Effect of elevated pCO2 on photosynthesis and calcification of corals and interactions with seasonal change in temperature/irradiance and nutrient enrichment. J. Geophys. Res. 2005, 110, C09S07. [Google Scholar] [CrossRef]
- Veron, J.E.N.; Devantier, L.M.; Turak, E.; Green, A.L.; Kininmonth, S.; Stafford-Smith, M.; Peterson, N. Delineating the Coral Triangle. Galaxea J. Coral Reef Stud. 2009, 11, 91–100. [Google Scholar] [CrossRef]
- Barber, P.H. The challenge of understanding the Coral Triangle biodiversity hotspot. J. Biogeogr. 2009, 36, 1845–1846. [Google Scholar] [CrossRef]
- Great Barrier Reef Marine Park Authority. Interim Report: 2016 Coral Bleaching Event on the Great Barrier Reef. Preliminary Findings of a Rapid Ecological Impact Assessment and Summary of Environmental Monitoring and Incident Response; Great Barrier Reef Marine Park Authority: Townsville, Australia, 2016; p. 27.
- Cave, D.; Gillis, J. Large Sections of Australia’s Great Reef Are Now Dead, Scientists Find. New York Times, 15 March 2017. [Google Scholar]
- Eakin, C.M.; Liu, G.; Gomez, A.M.; De La Cour, J.L.; Heron, S.F.; Skirving, W.J.; Geiger, E.F.; Tirak, K.V.; Strong, A.E. Global Coral Bleaching 2014–2017: Status and an Appeal for Observations. Reef Encount. 2016, 43, 20–26. [Google Scholar]
- Ainsworth, T.D.; Heron, S.F.; Ortiz, J.C.; Mumby, P.J.; Grech, A.; Ogawa, D.; Eakin, C.M.; Leggat, W. Climate change disables coral bleaching protection on the Great Barrier Reef. Science 2016, 352, 338–342. [Google Scholar] [CrossRef] [PubMed]
- Reverdin, G.; Boutin, J.; Martin, N.; Lourenco, A.; Bouruet-Aubertot, P.; Lavin, A.; Mader, J.; Blouch, P.; Rolland, J.; Gaillard, F.; et al. Temperature Measurements from Surface Drifters. J. Atmos. Ocean. Technol. 2010, 27, 1403–1409. [Google Scholar] [CrossRef]
- Zhang, H.-M.; Reynolds, R.W.; Lumpkin, R.; Molinari, R.; Arzayus, K.; Johnson, M.; Smith, T.M. An Integrated Global Observing System for Sea Surface Temperature Using Satellites and in Situ Data: Research to Operations. Bull. Am. Meteorol. Soc. 2009, 90, 31–38. [Google Scholar] [CrossRef]
- Lumpkin, R.; Özgökmen, T.; Centurioni, L. Advances in the application of surface drifters. Annu. Rev. Mar. Sci. 2017, 9, 59–81. [Google Scholar] [CrossRef] [PubMed]
- Lumpkin, R.; Maximenko, N.; Pazos, M. Evaluating Where and Why Drifters Die. J. Atm. Ocean. Technol. 2012, 29, 300–308. [Google Scholar] [CrossRef]
- Elipot, S.; Lumpkin, R.; Perez, R.C.; Lilly, J.M.; Early, J.J.; Sykulski, A.M. A global surface drifter data set at hourly resolution. J. Geophys. Res. Ocean. 2016, 121, 2937–2966. [Google Scholar] [CrossRef]
- Ando, K.; Kuroda, Y.; Fujii, Y.; Fukuda, T.; Hasegawa, T.; Horii, T.; Ishihara, Y.; Kashino, Y.; Masumoto, Y.; Mizuno, K.; et al. Fifteen years progress of the TRITON array in the Western Pacific and Eastern Indian Oceans. J. Oceanogr. 2017, 73, 403–426. [Google Scholar] [CrossRef]
- Zhu, X.; Minnett, P.J.; Berkelmans, R.; Hendee, J.; Manfrino, C. Diurnal warming in shallow coastal seas: Observations from the Caribbean and Great Barrier Reef regions. Cont. Shelf Res. 2014, 82, 85–98. [Google Scholar] [CrossRef]
- Zhu, X.; Minnett, P.J.; Beggs, H.; Berkelmans, R. Thermal features and diurnal warming at the Great Barrier Reef derived from satellite data. Remote Sens. Environ. 2018. in review. [Google Scholar]
- Donlon, C.J.; Robinson, I.; Casey, K.S.; Vazquez-Cuervo, J.; Armstrong, E.; Arino, O.; Gentemann, C.; May, D.; LeBorgne, P.; Piollé, J.; et al. The Global Ocean Data Assimilation Experiment High-resolution Sea Surface Temperature Pilot Project. Bull. Am. Meteorol. Soc. 2007, 88, 1197–1213. [Google Scholar] [CrossRef]
- Donlon, C.J.; Minnett, P.J.; Gentemann, C.; Nightingale, T.J.; Barton, I.J.; Ward, B.; Murray, J. Toward improved validation of satellite sea surface skin temperature measurements for climate research. J. Clim. 2002, 15, 353–369. [Google Scholar] [CrossRef]
- Kurihara, Y.; Murakami, H.; Kachi, M. Sea surface temperature from the new Japanese geostationary meteorological Himawari-8 satellite. Geophys. Res. Lett. 2016, 43, 1234–1240. [Google Scholar] [CrossRef]
- Zou, X.; Zhuge, X.; Weng, F. Characterization of Bias of Advanced Himawari Imager Infrared Observations from NWP Background Simulations Using CRTM and RTTOV. J. Atmos. Ocean. Technol. 2016, 33, 2553–2567. [Google Scholar] [CrossRef]
- Petrenko, B.; Ignatov, A.; Kihai, Y.; Dash, P. Sensor-Specific Error Statistics for SST in the Advanced Clear-Sky Processor for Oceans. J. Atmos. Ocean. Technol. 2016, 33, 345–359. [Google Scholar] [CrossRef]
- Walton, C.C.; Pichel, W.G.; Sapper, J.F.; May, D.A. The development and operational application of nonlinear algorithms for the measurement of sea surface temperatures with the NOAA polar-orbiting environmental satellites. J. Geophys. Res. 1998, 103, 27999–28012. [Google Scholar] [CrossRef]
- Liang, X.; Ignatov, A.; Kramar, M.; Yu, F. Preliminary Inter-Comparison between AHI, VIIRS and MODIS Clear-Sky Ocean Radiances for Accurate SST Retrievals. Remote Sens. 2016, 8, 203. [Google Scholar] [CrossRef]
- Bessho, K.; Date, K.; Hayashi, M.; Ikeda, A.; Imai, T.; Inoue, H.; Kumagai, Y.; Miyakawa, T.; Murata, H.; Ohno, T.; et al. An Introduction to Himawari-8/9—Japan’s New-Generation Geostationary Meteorological Satellites. J. Meteorol. Soc. Jpn. Ser. II 2016, 94, 151–183. [Google Scholar] [CrossRef]
- Kramar, M.; Ignatov, A.; Petrenko, B.; Kihai, Y.; Dash, P. Near Real Time SST Retrievals from Himawari-8 at NOAA Using ACSPO System. In Proceedings of the Ocean Sensing and Monitoring VIII, Baltimore, MD, USA, 17–21 April 2016; Arnone, R.A., Hou, W.W., Eds.; SPIE: Baltimore, MD, USA, 2016; p. 98270L. [Google Scholar]
- Liang, X.-M.; Ignatov, A.; Kihai, Y. Implementation of the Community Radiative Transfer Model in Advanced Clear-Sky Processor for Oceans and validation against nighttime AVHRR radiances. J. Geophys. Res. Atmos. 2009, 114. [Google Scholar] [CrossRef]
- Brasnett, B.; Surcel-Colan, D. Assimilating Retrievals of Sea Surface Temperature from VIIRS and AMSR2. J. Atmos. Ocean. Technol. 2016, 33, 361–375. [Google Scholar] [CrossRef]
- Xu, F.; Ignatov, A. In situ SST Quality Monitor (iQuam). J. Atmos. Ocean. Technol. 2014, 31, 164–180. [Google Scholar] [CrossRef]
- Kawai, Y.; Kawamura, H.; Tanba, S.; Ando, K.; Yoneyama, K.; Nagahama, N. Validity of sea surface temperature observed with the TRITON buoy under diurnal heating conditions. J. Oceanogr. 2006, 62, 825–838. [Google Scholar] [CrossRef]
- Wolanski, E. Physical Oceanographic Processes of the Great Barrier Reef; CRC Press: Boca Raton, FL, USA, 1994; p. 208. [Google Scholar]
- Zhang, H.; Beggs, H.; Majewski, L.; Wang, X.H.; Kiss, A. Investigating sea surface temperature diurnal variation over the Tropical Warm Pool using MTSAT-1R data. Remote Sens. Environ. 2016, 183, 1–12. [Google Scholar] [CrossRef]
- Gentemann, C.L.; Minnett, P.J. Radiometric measurements of ocean surface thermal variability. J. Geophys. Res. 2008, 113, C08017. [Google Scholar] [CrossRef]
- Saha, S.; Moorthi, S.; Wu, X.; Wang, J.; Nadiga, S.; Tripp, P.; Behringer, D.; Hou, Y.-T.; Chuang, H.-Y.; Iredell, M.; et al. The NCEP Climate Forecast System Version 2. J. Clim. 2014, 27, 2185–2208. [Google Scholar] [CrossRef]
- Ward, B. Near-Surface Ocean Temperature. J. Geophys. Res. 2006, 111, C02005. [Google Scholar] [CrossRef]
- Corlett, G.K.; Merchant, C.J.; Minnett, P.J.; Donlon, C.J. Assessment of Long-Term Satellite Derived Sea Surface Temperature Records. In Experimental Methods in the Physical Sciences, Optical Radiometry for Ocean Climate Measurements; Zibordi, G., Donlon, C.J., Parr, A.C., Eds.; Academic Press: Cambridge, MA, USA, 2014; Volume 47, pp. 639–677. [Google Scholar]
- Working Group 1 of the Joint Committee for Guides in Metrology. Evaluation of Measurement Data—Guide to the Expression of Uncertainty in Measurement; BIPM: Sèvres, France, 2008; p. 134. [Google Scholar]
- Bell, S. A Beginner’s Guide to Uncertainty of Measurement; National Physical Laboratory: Teddington, UK, 2001; p. 41. [Google Scholar]
- Kilpatrick, K.A.; Podestá, G.; Walsh, S.; Williams, E.; Halliwell, V.; Szczodrak, M.; Brown, O.B.; Minnett, P.J.; Evans, R. A decade of sea surface temperature from MODIS. Remote Sens. Environ. 2015, 165, 27–41. [Google Scholar] [CrossRef]
- Embury, O.; Merchant, C.J.; Corlett, G.K. A reprocessing for climate of sea surface temperature from the along-track scanning radiometers: Initial validation, accounting for skin and diurnal variability effects. Remote Sens. Environ. 2012, 116, 62–78. [Google Scholar] [CrossRef]
- Merchant, C.J.; Harris, A.R. Toward the elimination of bias in satellite retrievals of skin sea surface temperature. 2: Comparison with in situ measurements. J. Geophys. Res. 1999, 104, 23579–23590. [Google Scholar] [CrossRef]
- Minnett, P.J. Consequences of sea surface temperature variability on the validation and applications of satellite measurements. J. Geophys. Res. 1991, 96, 18475–18489. [Google Scholar] [CrossRef]
- Emery, W.J.; Baldwin, D.J.; Schlüssel, P.; Reynolds, R.W. Accuracy of in situ sea surface temperatures used to calibrate infrared satellite measurements. J. Geophys. Res. 2001, 106, 2387–2405. [Google Scholar] [CrossRef]
- O'Carroll, A.G.; Eyre, J.R.; Saunders, R.W. Three-Way Error Analysis between AATSR, AMSR-E, and In Situ Sea Surface Temperature Observations. J. Atmos. Ocean. Technol. 2008, 25, 1197–1207. [Google Scholar] [CrossRef]
- Kennedy, J.J. A review of uncertainty in in situ measurements and data sets of sea surface temperature. Rev. Geophys. 2014, 51, 1–32. [Google Scholar] [CrossRef]
- Woods, S.; Minnett, P.J.; Gentemann, C.L.; Bogucki, D. Influence of the oceanic cool skin layer on global air–sea CO2 flux estimates. Remote Sens. Environ. 2014, 145, 15–24. [Google Scholar] [CrossRef]
- Dai, A.; Deser, C. Diurnal and semidiurnal variations in global surface wind and divergence fields. J. Geophys. Res. Atmos. 1999, 104, 31109–31125. [Google Scholar]
- Kawai, Y.; Ando, K.; Kawamura, H. Distortion of Near-Surface Seawater Temperature Structure by a Moored-Buoy Hull and Its Effect on Skin Temperature and Heat Flux Estimates. Sensors 2009, 9, 6119–6130. [Google Scholar] [CrossRef] [PubMed]
- Goldberg, M.; Ohring, G.; Butler, J.; Cao, C.; Datla, R.; Doelling, D.; Gärtner, V.; Hewison, T.; Iacovazzi, B.; Kim, D.; et al. The Global Space-Based Inter-Calibration System. Bull. Am. Meteorol. Soc. 2011, 92, 467–475. [Google Scholar] [CrossRef]
- Blumstein, D.; Chalon, G.; Carlier, T.; Buil, C.; Hebert, P.; Maciaszek, T.; Ponce, G.; Phulpin, T.; Tournier, B.; Simeoni, D.; et al. IASI Instrument: Technical Overview and Measured Performances. In Proceedings of the Optical Science and Technology, the SPIE 49th Annual Meeting, Denver, CO, USA, 2–6 August 2004; Strojnik, M., Ed.; Volume 5543, pp. 196–207. [Google Scholar]
- Hewison, T.J.; Wu, X.; Yu, F.; Tahara, Y.; Hu, X.; Kim, D.; Koenig, M. GSICS inter-calibration of infrared channels of geostationary imagers using Metop/IASI. IEEE Trans. Geosci. Remote Sens. 2013, 51, 1160–1170. [Google Scholar] [CrossRef]
- Okuyama, A.; Andou, A.; Date, K.; Hoasaka, K.; Mori, N.; Murata, H.; Tabata, T.; Takahashi, M.; Yoshino, R.; Bessho, K. Preliminary Validation of Himawari-8/AHI Navigation and Calibration. In Proceedings of the Earth Observing Systems XX, San Diego, CA, USA, 10–13 August 2015; Butler, J.J., Jack, X., Gu, X., Eds.; p. 96072E. [Google Scholar]
- Yu, F.; Wu, X.; Raja, M.R.V.; Li, Y.; Wang, L.; Goldberg, M. Diurnal and scan angle variations in the calibration of GOES imager infrared channels. IEEE Trans. Geosci. Remote Sens. 2013, 51, 671–683. [Google Scholar] [CrossRef]
- Aumann, H.H.; Chahine, M.T.; Gautier, C.; Goldberg, M.D.; Kalnay, E.; McMillin, L.M.; Revercomb, H.; Rosenkranz, P.W.; Smith, W.L.; Staelin, D.H.; et al. AIRS/AMSU/HSB on the Aqua Mission: Design, science objectives, data products, and processing systems. IEEE Trans. Geosci. Remote Sens. 2003, 41, 253–264. [Google Scholar] [CrossRef]
- Han, Y.; Revercomb, H.; Cromp, M.; Gu, D.; Johnson, D.; Mooney, D.; Scott, D.; Strow, L.; Bingham, G.; Borg, L.; et al. Suomi NPP CrIS measurements, sensor data record algorithm, calibration and validation activities, and record data quality. J. Geophys. Res. Atmos. 2013, 118, 12734–12748. [Google Scholar] [CrossRef]
- Saunders, R.W.; Blackmore, T.A.; Candy, B.; Francis, P.N.; Hewison, T.J. Monitoring Satellite Radiance Biases Using NWP Models. IEEE Trans. Geosci. Remote Sens. 2013, 51, 1124–1138. [Google Scholar] [CrossRef]
- Minnett, P.J. The regional optimization of infrared measurements of sea-surface temperature from space. J. Geophys. Res. 1990, 95, 13497–13510. [Google Scholar] [CrossRef]










| Satellite Name | Spatial Resolution | Temporal Resolution | Position | No. of Spectral Bands | Operation Period |
|---|---|---|---|---|---|
| MTSAT-2 | 4 km | Hourly | 0°N, 145.0°E | 5 | 2010 to 2015 |
| Himawari-8 | 2 km | 10 min | 0°N, 140.7°E | 16 | 2015 to 2022 |
| Station | Lat | Lon | Thermometer Depth |
|---|---|---|---|
| TAO 1 | 0°N | 147°E | 1.5 m |
| TAO 2 | 0°N | 156°E | 1.5 m |
| TAO 3 | 2°N | 137°E | 1.5 m |
| TAO 4 | 2°N | 147°E | 1.5 m |
| TAO 5 | 8°N | 137°E | 1.5 m |
| TAO 6 | 2°N | 156°E | 1.5 m |
| TAO 7 | 2°S | 156°E | 1.5 m |
| GBR 1 | 21.87°S | 152.52°E | 10.4 m |
| GBR 2 | 16.64°S | 146.11°E | 7.0 m |
| GBR 3 | 18.83°S | 147.63°E | 3.3 m |
| GBR 4 | 18.49°S | 146.87°E | 1.9 m |
| GBR 5 | 21.03°S | 150.85°E | 7.1 m |
| GBR 6 | 21.41°S | 151.64°E | 7.1 m |
| GBR 7 | 21.11°S | 152.55°E | 8.3 m |
| GBR | TAO | ||
|---|---|---|---|
| MTSAT-2 | 1 h sampling interval | In situ temperatures within the hour following the satellite SST measurement were averaged. | Hourly in situ temperatures were paired with corresponding hour of the satellite SST. |
| Himawari-8 AHI | 10 min sampling interval | Although same sampling intervals, they were not synchronized. In situ temperatures were interpolated to satellite sample times. | Satellite SST samples that were within the hour of the in situ sample were averaged. |
| Station | θ | N | N of Outliers | Min | Max | Day Mean | Night Mean | Day Median | Night Median | Day STD | Night STD | Day RSD | Night RSD |
|---|---|---|---|---|---|---|---|---|---|---|---|---|---|
| TAO 1 | 7° | 1464 | 19 | −1.294 | 1.759 | 0.034 | 0.009 | 0.033 | 0.022 | 0.368 | 0.353 | 0.349 | 0.330 |
| 2° | 848 | 15 | −1.385 | 1.670 | 0.141 | 0.268 | 0.194 | 0.300 | 0.447 | 0.341 | 0.409 | 0.250 | |
| TAO 2 | 18° | 909 | 6 | −1.045 | 0.977 | −0.048 | −0.058 | −0.057 | −0.060 | 0.336 | 0.324 | 0.349 | 0.349 |
| 13° | 480 | 13 | −1.480 | 1.970 | 0.113 | 0.224 | 0.157 | 0.283 | 0.453 | 0.353 | 0.427 | 0.263 | |
| TAO 3 | 5° | 1768 | 64 | −1.810 | 2.605 | 0.119 | −0.036 | 0.105 | −0.007 | 0.554 | 0.439 | 0.473 | 0.395 |
| 10° | 1105 | 45 | −2.000 | 2.230 | 0.160 | 0.165 | 0.161 | 0.189 | 0.500 | 0.358 | 0.413 | 0.315 | |
| TAO 4 | 8° | 1255 | 46 | −2.039 | 1.419 | 0.005 | −0.037 | 0.046 | 0.010 | 0.441 | 0.420 | 0.355 | 0.362 |
| 3° | 639 | 22 | −1.565 | 2.020 | 0.053 | 0.197 | 0.094 | 0.243 | 0.467 | 0.321 | 0.416 | 0.331 | |
| TAO 5 | 10° | 1004 | 26 | −1.791 | 0.758 | −0.158 | −0.233 | −0.124 | −0.184 | 0.359 | 0.327 | 0.319 | 0.299 |
| 13° | 550 | 23 | −1.535 | 1.833 | 0.181 | 0.226 | 0.203 | 0.252 | 0.457 | 0.291 | 0.400 | 0.295 | |
| TAO 6 | 18° | 1008 | 6 | −1.286 | 2.520 | −0.011 | −0.047 | −0.027 | −0.055 | 0.385 | 0.346 | 0.403 | 0.333 |
| 13° | 507 | 20 | −1.980 | 1.825 | 0.096 | 0.220 | 0.121 | 0.225 | 0.489 | 0.292 | 0.399 | 0.295 | |
| TAO 7 | 18° | 880 | 14 | −2.184 | 0.967 | −0.279 | −0.310 | −0.243 | −0.286 | 0.498 | 0.431 | 0.441 | 0.374 |
| 13° | 458 | 14 | −2.240 | 1.530 | −0.179 | −0.025 | −0.128 | −0.008 | 0.513 | 0.423 | 0.478 | 0.474 | |
| GBR 1 | 29° | 1886 | 58 | −2.523 | 2.003 | 0.089 | −0.239 | 0.121 | −0.177 | 0.545 | 0.497 | 0.491 | 0.383 |
| 27° | 1136 | 46 | −2.271 | 1.763 | 0.147 | −0.137 | 0.159 | −0.042 | 0.437 | 0.429 | 0.367 | 0.343 | |
| GBR2 | 20° | 1844 | 21 | −1.300 | 2.873 | 0.117 | −0.163 | 0.095 | −0.174 | 0.490 | 0.353 | 0.504 | 0.360 |
| 19° | 977 | 38 | −1.513 | 2.174 | 0.231 | 0.079 | 0.205 | 0.108 | 0.433 | 0.380 | 0.375 | 0.341 | |
| GBR3 | 23° | 1980 | 22 | −1.665 | 2.922 | 0.474 | 0.116 | 0.507 | 0.132 | 0.545 | 0.447 | 0.575 | 0.437 |
| 22° | 1260 | 46 | −1.625 | 3.007 | 0.512 | 0.298 | 0.530 | 0.382 | 0.402 | 0.357 | 0.327 | 0.293 | |
| GBR 4 | 23° | 1838 | 20 | −1.445 | 2.287 | 0.082 | −0.193 | 0.086 | −0.208 | 0.483 | 0.365 | 0.498 | 0.381 |
| 22° | 1138 | 44 | −1.037 | 2.485 | 0.249 | 0.155 | 0.236 | 0.169 | 0.380 | 0.265 | 0.306 | 0.222 | |
| GBR 5 | 27° | 1996 | 19 | −1.428 | 1.252 | 0.133 | −0.050 | 0.150 | −0.030 | 0.381 | 0.349 | 0.395 | 0.356 |
| 25° | 1334 | 41 | −1.365 | 1.578 | 0.122 | 0.069 | 0.141 | 0.101 | 0.311 | 0.251 | 0.273 | 0.235 | |
| GBR6 | 28° | 1944 | 17 | −1.304 | 1.700 | 0.334 | 0.127 | 0.346 | 0.143 | 0.433 | 0.388 | 0.460 | 0.400 |
| 26° | 1163 | 38 | −1.609 | 1.360 | 0.280 | 0.187 | 0.288 | 0.218 | 0.331 | 0.288 | 0.282 | 0.232 | |
| GBR 7 | 28° | 1787 | 9 | −0.821 | 2.451 | 0.885 | 0.675 | 0.930 | 0.736 | 0.548 | 0.530 | 0.575 | 0.548 |
| 26° | 954 | 7 | −1.325 | 2.379 | 0.849 | 0.829 | 0.894 | 0.889 | 0.449 | 0.385 | 0.466 | 0.414 |
| N | Mean | Median | STD | RSD | |
|---|---|---|---|---|---|
| Himawari-8 | 21563 | 0.180 | 0.155 | 0.534 | 0.492 |
| MTSAT-2 | 12549 | 0.261 | 0.269 | 0.480 | 0.402 |
| N | Day Mean | Night Mean | Day Median | Night Median | Day STD | Night STD | Day RSD | Night RSD | |
|---|---|---|---|---|---|---|---|---|---|
| TAO/Himawari-8 | 8288 | −0.022 | −0.086 | −0.015 | −0.075 | 0.454 | 0.399 | 0.393 | 0.366 |
| TAO/MTSAT-2 | 4587 | 0.099 | 0.189 | 0.137 | 0.230 | 0.487 | 0.351 | 0.420 | 0.321 |
| GBR/Himawari-8 | 13,275 | 0.299 | 0.037 | 0.283 | 0.006 | 0.561 | 0.510 | 0.543 | 0.461 |
| GBR/MTSAT-2 | 7962 | 0.329 | 0.196 | 0.302 | 0.189 | 0.452 | 0.424 | 0.392 | 0.325 |
© 2018 by the authors. Licensee MDPI, Basel, Switzerland. This article is an open access article distributed under the terms and conditions of the Creative Commons Attribution (CC BY) license (http://creativecommons.org/licenses/by/4.0/).
Share and Cite
Ditri, A.L.; Minnett, P.J.; Liu, Y.; Kilpatrick, K.; Kumar, A. The Accuracies of Himawari-8 and MTSAT-2 Sea-Surface Temperatures in the Tropical Western Pacific Ocean. Remote Sens. 2018, 10, 212. https://doi.org/10.3390/rs10020212
Ditri AL, Minnett PJ, Liu Y, Kilpatrick K, Kumar A. The Accuracies of Himawari-8 and MTSAT-2 Sea-Surface Temperatures in the Tropical Western Pacific Ocean. Remote Sensing. 2018; 10(2):212. https://doi.org/10.3390/rs10020212
Chicago/Turabian StyleDitri, Angela L., Peter J. Minnett, Yang Liu, Katherine Kilpatrick, and Ajoy Kumar. 2018. "The Accuracies of Himawari-8 and MTSAT-2 Sea-Surface Temperatures in the Tropical Western Pacific Ocean" Remote Sensing 10, no. 2: 212. https://doi.org/10.3390/rs10020212
APA StyleDitri, A. L., Minnett, P. J., Liu, Y., Kilpatrick, K., & Kumar, A. (2018). The Accuracies of Himawari-8 and MTSAT-2 Sea-Surface Temperatures in the Tropical Western Pacific Ocean. Remote Sensing, 10(2), 212. https://doi.org/10.3390/rs10020212
