Abstract
A ten-year data-set descriptive of Italian forest gross primary production (GPP) has been recently constructed by the application of Modified C-Fix, a parametric model driven by remote sensing and ancillary data. That data-set is currently being used to develop multivariate regression models which link the inter-year GPP variations of five forest types (white fir, beech, chestnut, deciduous and evergreen oaks) to seasonal values of temperature and precipitation. The five models obtained, which explain from 52% to 88% of the inter-year GPP variability, are then applied to predict the effects of expected environmental changes (+2 °C and increased CO2 concentration). The results show a variable response of forest GPP to the simulated climate change, depending on the main ecosystem features. In contrast, the effects of increasing CO2 concentration are always positive and similar to those given by a combination of the two environmental factors. These findings are analyzed with reference to previous studies on the subject, particularly concerning Mediterranean environments. The analysis confirms the plausibility of the scenarios obtained, which can cast light on the important issue of forest carbon pool variations under expected global changes.
1. Introduction
The increasing level of atmospheric CO2 and consequent global climate change are enhancing the need for assessing the amount of carbon stored by terrestrial ecosystems. Among them, forest ecosystems cover about 40% of the Earth’s ice-free land surface and represent a great part of the global carbon stock [1,2], which must be quantified also in view of the carbon emission trading by countries [3]. Worldwide forests account for about 75% of the carbon stored in terrestrial ecosystems (organic carbon, OC) and approximately 40% of the carbon exchange between the atmosphere and the terrestrial biosphere each year [4].
It is widely accepted that OC sequestration in forest plants and soils is sensitive to meteorological factors such as air temperature and humidity, rainfall, radiation, etc. [5]. Consequently, climate changes that are already visible and that are expected to increase in the next decades may play a fundamental role in the capacity of carbon sequestration of forest ecosystems located in vulnerable areas like the Mediterranean basin [3]. A better understanding of the interactions between climate changes and the terrestrial biosphere is therefore crucial in planning future land management options [3].
Different approaches have been used for such a purpose, including FACE [6,7,8,9], air-soil warming experiments and carbon isotopic techniques [10,11]. Most of the studies are conducted on a stand scale [e.g., 12] or at a coarse resolution [e.g., 13] to derive general information on forest development and biomass accumulation in future scenarios. Unfortunately, the experimental techniques applied cannot be easily extended to larger spatial and temporal scales. A more comprehensive understanding of change impact in highly heterogeneous Mediterranean areas would require the consideration of both climate and morphological spatial variability. This has stimulated the use of remotely sensed images, which offer the fundamental advantage of being directly applicable to estimate forest production over wide areas for multiyear periods.
The current work examines a 1-km resolution data-set which includes meteorological measurements and estimates of forest gross primary production (GPP) covering the whole Italian national territory. The spatially distributed forest GPP estimates have been obtained by the application of Modified C-Fix, a parametric model driven by remote sensing and ancillary data. This data-set is statistically analyzed in order to develop multivariate regression models which link the inter-year GPP variations of five forest types to seasonal values of temperature and rainfall. The models obtained are then applied to predict the effects of expected environmental changes (+2 °C and increased CO2 concentration).
The paper is organized as follows. The next section introduces the study area and data utilized. Modified C-Fix is then described together with the statistical methodology applied to quantify the effects of inter-year meteorological variations on forest GPP. The results section first introduces the present and expected future climate conditions for different forest areas. Next, the multivariate regression models developed are described, followed by the possible changes in forest productivity resulting from the considered environmental scenarios. The likely consequences of each scenario are finally discussed together with the main sources of uncertainty introduced.
2. Study Area
Italy is geographically situated between 36° and 47°30’ North latitude and between 5°30’ and 18°30’ East longitude. Its orography is quite complex, due to the presence of two main mountain chains, the Alps in the north and the Apennines in the centre-south. Italian climate ranges from Mediterranean warm to temperate cool and Alpine following the latitudinal and altitudinal gradients and the distance from the sea.
The land is mostly covered by agricultural areas, forests and pastures. The total extent of forest areas varies around 90,000–100,000 km2, depending on the definition used [14]. 95% of forest land is on hills and mountains. 32% of the forest formations are included in the Alpine biogeographical region, 16% in the Continental region and 52% in the Mediterranean region (sensu Habitat Directive of the European Commission 43/92). Due to such a pronounced biogeographical variability, forest ecosystems in Italy are characterized by a high biodiversity (e.g., 117 native forest tree species). The most widespread forest formations are dominated by various oak species (Quercus spp.) and beeches (Fagus sylvatica L.). Among conifers, the most abundant are white fir (Abies alba Mill.) and Norway spruce (Picea abies), followed by various pines (Pinus spp.). 53% of forest land is managed as coppices, 43% as high-stands, and 4% is Mediterranean maquis. Even-aged stands represent 60% of the total high-stands [14].
3. Study Data
Daily meteorological data from 1999 to 2008 were collected from the national network of weather stations managed by UCEA (http://www.ucea.it). In particular, monthly average minimum and maximum temperatures and total precipitation were collected from about 90 stations spread all over the national territory. These data were interpolated following the method described by Blasi et al. [15], which provided digital maps of mean monthly temperatures and rainfall having a pixel size of 1 km2.
A digital forest map at the same resolution was derived from the original CORINE Land Cover 2,000 map of Italy [16]. This map was produced by manual photointerpretation of Landsat imagery supported by ancillary information [17]. The map classifies forests and other wooded land in 13 types on the basis of the prevalent species, maintaining the geometric and thematic congruency with the original dataset [18]. In the present work the five forest types (FT) which are most widespread over the Italian territory were selected: Norway spruce/white fir (FT 1), chestnut (FT 2), beech (FT 4), Holm oak (FT 7) and deciduous oak (FT 8). The main features of these five forest types are summarised in Table 1, whilst their spatial distribution is shown in Figure 1.
NDVI images taken by the SPOT Vegetation (VGT) sensor were downloaded from the archive of VITO (http://free.vgt.vito.be), which freely distributes preprocessed ten-day Maximum Value Composite (MVC) images for the entire globe since April, 1998. The applied preprocessing steps comprise the radiometric calibration of the original channels and their geometric and atmospheric corrections [19]. The final product of these steps were 10-day NDVI MVC images having a pixel size of 1 km2. These images were acquired from 1999 to 2008, a ten-year period which should be sufficient to depict the mean environmental situation of the study forests.
Table 1.
Main characteristics of the forest types examined. The annual average GPP refers to the 10-year study period used as baseline (1999–2008).
| Index | Forest type | BIOME-BGC type | Area (km2) | Mean altitude (Low/High altitudinal belt) | Mean annual C-Fix GPP (g C/m2/y) |
|---|---|---|---|---|---|
| FT 1 | White fir / Norway spruce | Evergreen needleleaf | 7,742 | 1,424 m asl.(H) | 997 |
| FT 2 | Chestnut | Deciduous broadleaf | 8,437 | 691 m asl.(L) | 1,442 |
| FT 4 | Beech | Deciduous broadleaf | 11,602 | 1,256 m asl.(H) | 1,141 |
| FT 7 | Holm oak | Evergreen broadleaf | 7,025 | 516 m asl.(L) | 1,489 |
| FT 8 | Deciduous oaks | Deciduous broadleaf | 21,347 | 651 m asl.(L) | 1,444 |
Figure 1.
Spatial distribution of the five forest types considered in Italy.
Figure 1.
Spatial distribution of the five forest types considered in Italy.

4. Methodology
4.1. Application of C-Fix to Present Environmental Conditions
C-Fix is a Monteith type parametric model driven by temperature, radiation and the fraction of absorbed photosynthetically active radiation (fAPAR), quantified through its generalized relationship with the normalized difference vegetation index (NDVI) [20,21]. C-Fix combines satellite-derived fAPAR with field based estimates of incoming solar radiation and air temperature, which are jointly used to simulate total photosynthesis. C-Fix is therefore conceptually simple and generally applicable, and can use inputs averaged over different time periods (most commonly ten-day to monthly). In particular, the monthly GPP (g C m−2 month−1) of a forest can be computed as:
where ε is the radiation use efficiency, N is the number of periods considered, Tcori is a factor accounting for the dependence of photosynthesis on air temperature Ti, fAPARi is the fraction of absorbed PAR, CO2fert is the normalised CO2 fertilisation factor, and Radi is the solar incident PAR, all referred to month i. fAPAR can be derived from the top of canopy NDVI according to the linear equation proposed by Myneni and Williams, [22]. The normalized CO2 fertilization factor (CO2fert) is computed as [20]:
where Km is the affinity constant for CO2 of Rubisco (%CO2), K0 is the inhibition constant for O2 [%O2] and [CO2] and [O2] are the CO2 and O2 concentration in the mesophyll tissue of leaves, respectively.
The original C-Fix does not include a specific index which accounts for the possible short-term effect of water stress on photosynthesis, as is done by other Monteith type models [e.g., 5,23]. The need to apply C-Fix also in Mediterranean environments, that are characterized by a long summer dry season during which vegetation growth is limited by water availability [24], induced Maselli et al. [25] to include such an additional water stress index. This modification is currently accompanied by the use of the MODIS temperature correction factors and radiation use efficiency [26] in place of the original coefficients proposed by Veroustraete et al. [20]. A justification of all these choices is provided in Chiesi et al. [27].
Modified C-Fix was applied to simulate monthly GPP values of Italian forests for the present study period (1999–2008) following the multistep methodology which is fully described in [25]. In summary, a 1-km dataset of monthly minimum and maximum temperatures, precipitation and solar radiation was derived from the available meteorological maps. These data were further processed to compute relevant maps of the temperature and water stress correction factors which are needed to predict forest GPP. The Spot-VGT 10-day NDVI images of the ten study years were composed over monthly periods and processed to obtain fAPAR maps. All these maps were used to apply Modified C-Fix using a normalized CO2 fertilization factor equal to 370 ppm. This operation yielded 1-km2 monthly GPP images descriptive of present forest conditions; an example of these images is shown in Figure 2 for August 2003.
Figure 2.
Monthly GPP image of August 2003 obtained by the application of Modified C-Fix (see text for details).
Figure 2.
Monthly GPP image of August 2003 obtained by the application of Modified C-Fix (see text for details).

4.2. Simulation of Future Environmental Scenarios
Monthly meteorological data were extracted from the maps previously produced for the five CORINE forest types. Only pixels almost completely covered by forests (>90%) were considered in this process. The obtained data were averaged for each forest type and used to create future climate scenarios. Specifically, the meteorological data for the future period (2080–2099) were derived from the MRI-20km-AGCM model [30] and empirically downscaled over the observed data using the “delta-approach” technique [31].
The MRI-20km-AGCM is a regional circulation model (RCM) jointly developed by the Meteorological Research Institute (MRI), the Advanced Earth Science and Technology Organization (AESTO) and the Japan Meteorological Agency (JMA). This RCM is based on an operational numerical weather prediction model used at JMA with some modifications in radiation and land surface processes deriving from a climate model of MRI. The model is commonly applied over the European domain at a spatial resolution of 20 × 20 km. The present-day climate or baseline simulation of the MRI-20km-AGCM for the 20-year period 1979–1998 was forced with sea surface temperature (SST) taken from 20th-Century climate simulations (20C3M) of the MRI-CGCM2.3. The future climate simulation of the MRI-20km-AGCM for the 20-year period 2080–2099 was forced with SST taken from SRES A1B simulations of the MRI-CGCM2.3 [32].
The RCM deltas for monthly average temperature and cumulated rainfall were obtained as average differences between the baseline period 1979–1998 and the future time slice 2080–2099 over the study areas. In particular, for average temperature the delta was expressed as absolute difference between baseline and future periods, while a delta ratio was calculated for rainfall. Since the model baseline differs from the time slice used for the GPP model calibration, the simulated baseline 1979–1998 was corrected to match the observed baseline 1999–2008 using the CRU dataset TS 3.0 (http://badc.nerc.ac.uk/data/cru/). This dataset contains global monthly average data from 1901 to 2006 at a spatial resolution of 0.5° × 0.5° and was used to calculate the differences between the periods 1979–1998 (baseline of the RCM model) and 1999–2006 (baseline of the observed data). The obtained CRU deltas were then used to force the relevant RCM deltas to the periods 1999–2008 and 2080–2099. The resulting corrected monthly dataset, having a spatial resolution of 20 × 20 km2, was spatially interpolated to match the areas covered by the five forest types considered. The 2080–2099 concentration of CO2 in A1B scenario was set to 670 ppm, which approximately corresponds to the average CO2 concentration throughout the relevant period.
4.3. Evaluation of Future GPP
The effects of the expected climate changes on forest GPP were simulated both separately and jointly to those of the corresponding ambient CO2 increase. In particular, the effects of temperature and rainfall changes on GPP were assessed through the application of a statistical methodology. First, the strength of the present relationships between these variables was quantified by performing correlation analyses between annual GPP and seasonal temperature and rainfall values. Monthly GPP values were extracted from the pixels covered by each forest type. These values were aggregated on an annual basis and correlated to the corresponding seasonal values of the two weather variables derived from the same pixels. Correlation coefficients were computed for each ecosystem type using the ten years of observed GPP and weather data [33].
Linear regression models were then developed which could explain GPP variability on the basis of the available meteorological data. A model was constructed for each forest type using the annual GPP as dependent variable and the seasonal temperature and rainfall as independent (explanatory) variables [33]. Since data from ten years were available to train each model, a maximum of six independent variables was considered, including temperature and rainfall series of all seasons from winter to summer. The exclusion of autumn was justified by the low influence which is generally exerted by this season on the GPP of the concurrent year, which was verified by examining the results of the previous correlation analyses (see results).
The five models found were applied to predict the GPP which would correspond to the expected climate changes. First, the temperature and rainfall values of the expected scenario were extracted from the pixels covered by each forest type and averaged on a seasonal basis. These plausible temperature and rainfall averages were then inserted into the five models.
The effect of changing CO2 was simulated by considering the previously mentioned CO2 concentration (670 ppm) within equation 2. The combined effect of changing climate and increasing CO2 concentration was simulated by adding the effects of the two simulations. The interaction between the two factors was taken into account by using an increased temperature to compute Km and K0 within equation 2, which simulated the enhancement of future CO2 fixation due to the expected climate change.
5. Results
Figure 3 shows the monthly average temperature and total precipitation of the areas covered by deciduous oaks (FT 8), which is the most widespread and uniformly distributed forest type in Italy (Table 1); the data are reported both for the present and the future scenarios. The present annual mean temperature is about 11.9 °C, with a minimum in January of about 4 °C and a maximum in August of about 21 °C. The present annual rainfall total is about 1,178 mm. The distribution of rainfall is bimodal, with a primary peak in autumn and a secondary peak in spring. The summer dry period lasts about one month. The expected future scenario implies an average temperature increase of almost 2 °C (from about 11.9 °C to 13.6 °C), mostly effective during late summer and winter. Total annual rainfall is almost stable, but its seasonal distribution is irregularly reduced during some months and increased in others.
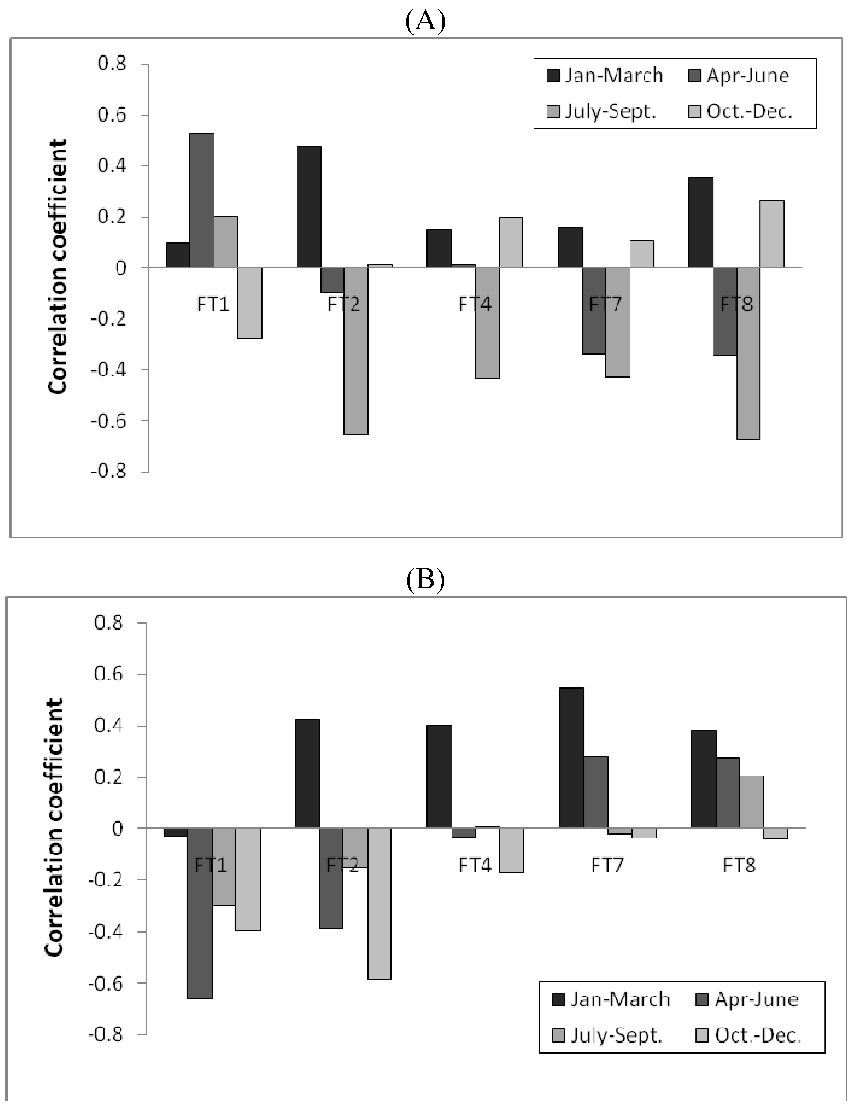
Figure 4 shows the correlation coefficients computed between the seasonal GPP averages estimated by Modified C-Fix and the corresponding temperature (A) and rainfall (B) averages of the four seasons. These statistics highlight the importance of the different driving variables in relation to the ecophysiological characteristics of each species. In general, the positive influence of temperature is stronger for the forest types which are spread on the high altitudinal belt (especially for FT 1), while forest types that cover the warmest and driest areas (i.e., FT 7 and FT 8) are more sensitive to rainfall. As expected, autumn temperature and rainfall variations have generally marginal correlations with annual GPP.
Figure 3.
Thermo-pluviometric diagram descriptive of the present and future climate scenarios for the areas covered by deciduous oaks forests (FT 8), which are the most widespread forest type over the Italian territory.
Figure 3.
Thermo-pluviometric diagram descriptive of the present and future climate scenarios for the areas covered by deciduous oaks forests (FT 8), which are the most widespread forest type over the Italian territory.

The other four forest types are spatially spread, following a gradient from temperate-humid to Mediterranean-arid climates (Table 2). FT 1 and FT 4 characterize the high Italian altitudinal belt and show the lowest average temperature (respectively of 6.0 °C and 7.6 °C) and the highest precipitation. FT 7 shows the highest annual temperature and the lowest total rainfall. These spatial distributions are obviously reflected in the autoecological characteristics of these species, which are differently adapted to the typical Mediterranean summer dryness.
The multivariate regression models derived from the same data-set are summarized in Table 3. The models account for 52% to 88% of the total GPP variations. In general, the regression coefficients are positive for spring temperatures, mixed for winter temperatures and negative for summer temperatures. This reflects the relevance of the thermal factor in controlling the beginning of the growing season and the negative effect of high summer temperatures, which usually coincide with drought occurrence [24]. The patterns are more complex and variable for rainfall, whose regression coefficients are positive in winter and mixed in spring and summer. This indicates that winter water recharge is important for all forest types, while spring and summer rainfall exerts a positive effect on FT 7 and FT 8 due to the relevance of water availability in these arid Mediterranean environments.
As regards to the expected climate changes (Figure 3 and Table 2), all future scenarios show rather uniform monthly temperature increases (from 1.7 to 2.1 °C) and more variable rainfall variations (from 3% up to 9%). The highest temperature increase is simulated for FT 1 (2.1 °C), which is placed in the coldest, most humid areas.
The GPP responses of the five forest types to these expected scenarios are summarized in Figure 5. The effects of the simulated climate changes are generally negative except for FT 1 (fir/spruce), which covers the highest altitudinal belt. The productivity of this forest type increases of about 3%, while that of the other forest types shows a variable reduction. This reduction is low for deciduous broadleaves (FT 8) and Holm oak (FT 7) forests (−4% and −5% respectively), that are the most adapted to high temperatures, is intermediate for beech (FT 4, −6%), and is more evident for chestnut forests (FT 2, −15%). The last forests are spread on relatively low altitudes (Table 1), but are more sensitive to high temperature than deciduous oaks and Holm oak.
Table 2.
Mean annual temperature and precipitation found over the five forest types examined for the present and future scenarios.
| Forest type | OBSERVED | FUTURE | ||
|---|---|---|---|---|
| Temperature (°C) | Rainfall (mm) | Temperature (°C) | Rainfall (mm) | |
| FT 1 | 6.0 | 1,463.7 | 8.1 | 1,582.1 |
| FT 2 | 11.1 | 1,537.8 | 12.8 | 1,696.9 |
| FT 4 | 7.6 | 1,983.8 | 9.4 | 2,092.6 |
| FT 7 | 13.3 | 1,011.3 | 15.1 | 1,043.0 |
| FT 8 | 11.9 | 1,177.7 | 13.6 | 1,221.1 |
Figure 4.
Correlation coefficients found for the five forest types between annual GPP estimated by Modified C-Fix and seasonal temperatures (A) and rainfall (B).
Figure 4.
Correlation coefficients found for the five forest types between annual GPP estimated by Modified C-Fix and seasonal temperatures (A) and rainfall (B).

Table 3.
Determination and regression coefficients and offsets of the multivariate linear models found for the five forest types examined. The models relate annual forest GPP (g C /m2/year) to seasonal temperature (°C) and rainfall (mm), with the exclusion of winter (see text for details).
| Temperature | Rainfall | |||||||
|---|---|---|---|---|---|---|---|---|
| r2 | Winter | Spring | Summer | Winter | Spring | Summer | Offset | |
| FT1 | 0.718 | 4.433 | 41.139 | −1.898 | 0.147 | −0.323 | 0.065 | 666.87 |
| FT2 | 0.876 | −11.317 | 46.918 | −98.756 | 0.072 | −0.289 | −0.271 | 2,783.09 |
| FT4 | 0.521 | −10.656 | 47.212 | −44.719 | 0.153 | 0.033 | −0.092 | 1,240.69 |
| FT7 | 0.563 | −2.610 | 20.898 | −37.422 | 0.671 | 0.500 | 0.329 | 1,633.60 |
| FT8 | 0.607 | 5.385 | 23.150 | −50.240 | 0.315 | 0.238 | 0.221 | 1,840.39 |
Figure 5.
Annual GPP predicted by Modified C-Fix for the five Italian forest types in the environmental scenarios considered (present scenario, climate change, increased atmospheric CO2 and combination of the two factors).
Figure 5.
Annual GPP predicted by Modified C-Fix for the five Italian forest types in the environmental scenarios considered (present scenario, climate change, increased atmospheric CO2 and combination of the two factors).

The increased ambient CO2 concentration yields effects which are summarized in the same histogram (Figure 5). Overall, such concentration leads to quite uniform increases in forest production (about 31%). Deciduous broadleaf (FT 8), chestnut (FT 2) and Holm oak (FT 7) forests are the most sensitive ecosystems, showing increases of about 36%. The lowest increase is found for Norway spruce/white fir forests (FT 1, about 23%).
The last simulated scenario, which considers the combined effects of the two factors (climate change + increased CO2 concentration), leads to GPP rises which are almost coincident with those brought by the latter factor. The highest GPP increases are found for Norway spruce/white fir (FT 1), deciduous broadleaf (FT 8) and Holm oak (FT 7) (+35%, +37% and 38%, respectively). The GPP increase of beech forests (FT 4) is of 27%, while that of chestnut (FT 2) is 23%.
6. Discussion and Conclusions
The performance of the statistical methodology applied to simulate future GPP patterns is dependent on the quality of the data-set analyzed and on its representativeness for the inter-year meteorological variability which can affect forest production.
As regards the first issue, the meteorological data layers (temperature, rainfall and radiation) which describe the present climate conditions were produced by a method which has been fully tested by Blasi et al. [15]. Similarly, the capacity of Modified C-Fix to correctly estimate forest production variations in space and time has been assessed in previous investigations [18,20,21,25]. The theoretical basis of this model has also been recently validated by Jung et al. [34], who indicated that cumulative fAPAR of the growing season derived from space is directly linked to gross carbon uptake in European ecosystems.
The length of the data-set analysed (10 years), which is imposed by the availability of Spot-VGT imagery, represents a major constraint for the current investigation. This length is actually suboptimal to grasp the temporal variability of the relationships which link weather factors to forest GPP. The period considered, however, includes growing seasons with extreme characteristics, such as that of 2002, quite humid, and that of 2003, exceptionally hot and dry. This should guarantee a sufficiently high representativeness of the regression models found for most possible weather situations which can occur in Italy.
As regards the definition of future environmental conditions, the climate data currently considered are the results of a General Circulation Model (GCM) dynamical downscaling. Raw outputs of GCMs, in fact, are not directly suitable for local impact studies since their spatial resolution (~300 km) does not resolve important subscale hydro-meteorological processes [e.g., 35]. Dynamical downscaling, that consists of a high resolution regional climate model (RCM) (20 km in this specific case) nested inside a GCM, provides a more accurate reproduction of local topography and a more realistic simulation of fine scale weather features [36]. Unfortunately, systematic errors in variable simulations, as found comparing RCM to observed data [37,38], may compromise the direct use of RCM data for impact assessment. The relevance of these systematic errors was currently reduced by expressing the climate change for the 2080–2099 period as difference (temperature) and ratio (rainfall) values with respect to the baseline 1999–2008.
The CO2 concentration corresponding to this future scenario (670 ppm) derives from consolidated theoretical and experimental observations. The enhancements in photosynthetic activity simulated in the current study critically depend on this concentration and on the robustness of Equation 2. This equation was calibrated using the results of various FACE experiments, which should guarantee its applicability to a wide range of ecosystems and environmental situations [21,39].
In general, the application of the simulation methodology produces plausible results for all forest types considered. The simulated climate scenarios reduce ecosystem production in all cases except for FT 1 (white fir / Norway spruce forests). This increase is in accordance with other works on the same subject which demonstrate that GPP is strictly dependent on mean annual temperature in temperate-humid climates [40]. In contrast, a decrease in productivity similar to that currently observed can be expected for forest ecosystems placed in warmer and drier areas, since in these conditions plants limit photosynthetic activity in order to reduce water loss by transpiration [1,41].
The rise of ambient CO2 leads to notable simulated GPP increases (from 23% to 39%), which can be explained by the improved water use efficiency due to reduced stomata conductance and canopy transpiration rates [42,43]. These reductions improve plant and soil water relations, slowing the rate of soil water loss during droughts [44,45]. Such an interpretation is supported by the results of Hattenschwiler and Korner [46], who found that trees exposed to higher CO2 levels are more tolerant to drought stress.
A number of other experimental studies confirm the fertilizing effect of CO2 on forest production. Most of these studies, however, refer to a concentration of 550 ppm instead of the currently used 670 ppm, and consequently indicate lower GPP increases. For example, Norby et al. [6] and Gielen et al. [9] reported increases of 18% for Liquidambar at 530 ppm, and of 11% and 22% for poplar at 550 ppm, respectively. Similar effects were found in Tuscany by our research group [47]. Also in that case the GPP increase caused by a CO2 rise to 550 ppm was lower than that currently found (21% versus 31%). That study also indicated that the GPP increase is maximum for more thermophylous species, due to the positive effect of temperature on CO2 fertilization.
A significant increase in forest production is obtained for all forest types also when the effects of climate changes and increased ambient CO2 are jointly considered. This implies that, in general, the effects of the CO2 rise tends to prevail on that of the climate changes. These combined effects, however, are more difficult to evaluate against experimental evidences, because the interaction of the two factors is usually not considered by FACE experiments. Consequently, comparisons can only be made with the results of previous modelling approaches. For instance, the simulation experiment of Chiesi et al. [47] indicated a mean production increase of 19% for Tuscany forests (Central Italy) exposed to increased temperatures (+2 °C) and a CO2 concentration of 550 ppm.
The approach currently applied has some relevant limitations. For example, changes in plant species composition or nutrient soil contents cannot be considered, which can have profound consequences in primary production. Some authors indicated that also changes related to the genetic characteristics of the existing populations should be taken into consideration [48]. Additionally, the use of remotely sensed and ancillary data at 1-km spatial resolution may be not sufficient to accurately reproduce the spatial variability of Italian Mediterranean landscapes, which are extremely heterogeneous and fragmented [24,49].
In spite of these limitations, the approach has been successful in combining conventional and remote sensing data to simulate the large scale responses of Italian forests to three likely environmental scenarios. The plausibility of the results obtained is supported by their substantial coherency with the findings of previous studies carried out in similar environments. Already in their present form, these results can provide important information on the expected evolution of Italian forest ecosystems. Moreover, the approach can be easily replicated on different spatial and temporal resolutions (e.g., using MODIS data) in order to assess the likely responses of other forest areas.
Acknowledgements
The authors wish to thank F. Veroustraete for his precious suggestions on the development and application of Modified C-Fix.
References
- Waring, H.R.; Running, S.W. Forest ecosystems. In Analysis at Multiples Scales, 3rd ed.; Academic Press: San Diego, CA, USA, 2007. [Google Scholar]
- Hagedorn, F.; Maurer, S.; Egli, P.; Blaser, P.; Bucher, J.B.; Siegwolf, R. Carbon sequestration in forest soils: effects of soil type, atmospheric CO2 enrichment, and N deposition. Europ. J. Soil Scie. 2001, 52, 619–628. [Google Scholar] [CrossRef]
- Pachauri, R.K.; Reisinger, A. (Eds.) Climate change 2007; IPPC Forth Assessment Report; IPCC: Geneva, Switzerland, 2007; p. 104.
- Schlesinger, W.H. Biogeochemestry: an analysis of global change, 2nd ed.; Academic Press: San Diego, CA, USA, 1997. [Google Scholar]
- Field, C.B.; Randerson, J.T.; Malmstrom, C.M. Global net primary production: combining ecology and remote sensing. Remote Sens. Environ. 1995, 51, 74–88. [Google Scholar] [CrossRef]
- Norby, R.J.; Hanson, P.J.; O'Neill, E.G.; Tschaplinski, T.J.; Weltzin, J.F.; Hansen, R.A.; Cheng, W.; Wullschleger, S.D.; Gunderson, C.A.; Edwards, N.T.; Johnson, D.W. Net Primary Productivity of a CO2-Enriched Deciduous Forest and the Implications for Carbon Storage. Ecol. Appl. 2002, 12, 1261–1266. [Google Scholar] [CrossRef]
- Schlesinger, W.H.; Lichter, J. Limited carbon storage in soil and litter of experimental forest plots under increased atmospheric CO2. Nature 2001, 411, 466–469. [Google Scholar] [CrossRef] [PubMed]
- Beerling, D.J. Long-term responses of boreal vegetation to global change: an experimental and modelling investigation. Glob. Change Biol. 1999, 5, 55–74. [Google Scholar] [CrossRef]
- Gielen, B.; Calfapietra, C.; Lukac, M.; Wittig, V.E.; De Angelis, P.; Janssen, I.A.; Moscatelli, M.C.; Grego, S.; Cotrufo, M. F.; Godbold, D.L.; Hoosbeek, M.R.; Long, S.P.; Miglietta, F.; Polle, A.; Bernacchi, C.J.; Davey, P.A.; Ceulemans, R.; Scarascia-Mugnozza, G.E. Net carbon storage in a poplar plantation (POPFACE) after three years of free-air CO2 enrichment. Tree Physiol. 2005, 25, 1399–1408. [Google Scholar] [CrossRef] [PubMed]
- Melillo, J.M.; Steudler, P.A.; Aber, J.D. Soil warming and carbon cycle feedbacks to the climate system. Science 2002, 298, 2173–2175. [Google Scholar] [CrossRef] [PubMed]
- Bronson, D.R.; Gower, S.T.; Tanner, M.; Linder, S.; Van Herk, I. Response of soil surface CO2 flux in a boreal forest to ecosystem warming. Glob. Change Biol. 2008, 14, 856–867. [Google Scholar] [CrossRef]
- Sabatè, S.; Gracia, C.A.; Sanchez, A. Likely effects of climate change on growth of Quercus ilex, Pinus halepensis, Pinus pinaster, Pinus sylvestris and Fagus sylvatica forests in the Mediterranean region. For. Ecol. Manag. 2002, 162, 23–37. [Google Scholar] [CrossRef]
- Osborne, C.P.; Mitchell, P.L.; Sheehy, J.E.; Woodward, F.I. Modelling the recent historical impacts of atmospheric CO2 and climate change on Mediterranean vegetation. Glob. Change Biol. 2000, 6, 445–458. [Google Scholar] [CrossRef]
- Corona, P.; Macrì, A.; Marchetti, M. Boschi e foreste in Italia secondo le più recenti fonti informative. L’Italia Forestale e Montana 2004, 2, 119–136. [Google Scholar]
- Blasi, C.; Chirici, G.; Corona, P.; Marchetti, M.; Maselli, F.; Puletti, N. Spazializzazione di dati climatici a livello nazionale tramite modelli regressivi localizzati. Forest 2007, 2, 213–221. [Google Scholar]
- Maricchiolo, C.; Sambucini, V.; Pugliese, A.; Blasi, C.; Marchetti, M.; Chirici, G.; Corona, P. La realizzazione in Italia del progetto europeo I&CLC2000: metodologie operative e risultati. In Proceedings, 8th National Conference ASITA Geomatica: Standardizzazione, Interoperabilità e Nuove tecnologie; Roma, Italy, 2004; vol. 1, pp. CXIII–CXXVIII. [Google Scholar]
- Bologna, S.; Chirici, G.; Corona, P.; Marchetti, M.; Pugliese, A.; Munafò, M. Sviluppo e implementazione del IV livello CORINE Land Cover per i territori boscati e ambienti semi-naturali in Italia. In Proceedings, 8th National Conference ASITA Geomatica: Standardizzazione, Interoperabilità e Nuove Tecnologie; Roma, Italy, 2004; vol. 1, pp. 467–472. [Google Scholar]
- Maselli, F.; Barbati, A.; Chiesi, M.; Chirici, G.; Corona, P. Use of remotely sensed and ancillary data for estimating forest gross primary productivity in Italy. Remote Sens. Environ. 2006, 100, 563–575. [Google Scholar] [CrossRef]
- Maisongrande, P.; Duchemin, B.; Dedieu, G. Vegetation/Spot: an operational mission for the Earth monitoring; presentation of new standard products. Inter. J. Remote Sens. 2004, 25, 9–14. [Google Scholar] [CrossRef]
- Veroustraete, F.; Sabbe, H.; Eerens, H. Estimation of carbon mass fluxes over Europe using the C-Fix model and Euroflux data. Remote Sens. Environ. 2002, 83, 376–399. [Google Scholar] [CrossRef]
- Veroustraete, F.; Sabbe, H.; Rasse, D.P.; Bertels, L. Carbon mass fluxes of forests in Belgium determined with low resolution optical sensors. Inter. J. Remote Sens. 2004, 25, 769–792. [Google Scholar]
- Myneni, R.B.; Williams, D.L. On the relationship between FAPAR and NDVI. Remote Sens. Environ. 1994, 49, 200–211. [Google Scholar] [CrossRef]
- Running, S.W.; Nemani, R.R.; Heinsch, F.A.; Zhao, M.; Reeves, M.; Hashimoto, H. A continuous satellite-derived measure of global terrestrial primary production. Bioscience 2004, 54, 547–560. [Google Scholar] [CrossRef]
- Bolle, H.J.; Eckardt, M.; Koslowsky, D.; Maselli, F.; Melia-Miralles, J.; Menenti, M.; Olesen, F.S.; Petkov, L.; Rasool, I.; Van de Griend, A. (Eds.) Mediterranean Land-Surface Processes Assessed from Space; Springer: Berlin, Germany, 2006.
- Maselli, F.; Papale, D.; Puletti, N.; Chirici, G.; Corona, P. Combining remote sensing and ancillary data to monitor the gross productivity of water-limited forest ecosystems. Remote Sens. Environ. 2009, 113, 657–667. [Google Scholar] [CrossRef]
- Heinsch, F.A.; Reeves, M.; Votava, P.; Kang, S.; Milesi, C.; Zhao, M.; Glassy, J.; Jolly, W.M.; Loehman, R.; Bowker, C.F.; Kimball, J.S.; Nemani, R.R.; Running, S.W. User’s Guide GPP and NPP (MOD17A2/A3) Products NASA MODIS Land Algorithm. Version 2.0. 2 December 2003. Available online: http://www.ntsg.umt.edu/modis/ (Accessed on November 5th 2009).
- Chiesi, M.; Fibbi, L.; Genesio, L.; Gioli, B.; Maselli, F.; Magno, R.; Moriondo, M.; Vaccari, F. Testing of a strategy to model the carbon fluxes of Mediterranean forest ecosystems. Ecosystems 2009a, in press. [Google Scholar]
- Thornton, P.E.; Running, S.W.; White, M.A. Generating surfaces of daily meteorological variables over large regions of complex terrain. J. Hydrol. 1997, 190, 214–251. [Google Scholar] [CrossRef]
- Thornton, P.E.; Hasenauer, H.; White, M.A. Simultaneous estimation of daily solar radiation and humidity from observed temperature and precipitation: an application over complex terrain in Austria. Agric. For. Meteorol. 2000, 104, 255–271. [Google Scholar] [CrossRef]
- Mizuta, R.; Oouchi, K.; Yoshimura, H.; Noda, A.; Katayama, K.; Yukimoto, S.; Hosaka, M.; Kusunoki, S.; Kawai, H.; Nakagawa, M. 20km-mesh global climate simulations using JMA-GSM model. J. Meteor. Soc. Japan 2006, 84, 165–185. [Google Scholar] [CrossRef]
- Arnell, N.W.; Hudson, D.A.; Jones, R.G. Climate change scenarios from a regional climate model: Estimating change in runoff in southern Africa. J. Geophys. Res. 2003, 108, 4519. [Google Scholar] [CrossRef]
- Yukimoto, S.; Noda, A.; Kitoh, A.; Hosaka, M.; Yoshimura, H.; Uchiyama, T.; Shibata, K.; Arakawa, O.; Kusunoki, S. The Meteorological Research Institute Coupled GCM, Version 2.3 (MRI-CGCM2.3). Control climate and climate sensitivity. J. Meteor. Soc. Japan 2006, 84, 333–363. [Google Scholar] [CrossRef]
- Anderson, T.W. An Introduction to Multivariate Statistical Analysis; John Wiley & Sons: New York, NY, USA, 1984. [Google Scholar]
- Jung, M.; Verstraete, M.; Gobron, N.; Reichstein, M.; Papale, D.; Bondeau, A.; Robustelli, M.; Pinty, B. Diagnostic assessment of European gross primary production. Glob. Change Biol. 2008, 14, 2349–2364. [Google Scholar] [CrossRef]
- Hay, L.E.; Wilby, R.L.; Leavesley, G.H. A comparison of delta change and downscaled GCM scenarios for three mountainous basins in the United States. J. Am. Water Resour. Assoc. 2000, 36, 387–397. [Google Scholar] [CrossRef]
- Giorgi, F.; Mearns, L.O. Approaches to the simulation of regional climate change: a review. Rev. Geophys 1991, 29, 191–216. [Google Scholar] [CrossRef]
- Moberg, A.; Jones, P.D. Regional climate model simulations of daily maximum and minimum near-surface temperatures across Europe compared with observed station data 1961–1990. Clim. Dyn. 2004, 23, 695–715. [Google Scholar] [CrossRef]
- Jacob, D.; Bärring, L.; Christensen, O.B.; Christensen, J.H.; de Castro, M.; Déqué, M.; Giorgi, F.; Hagemann, S.; Hirschi, M.; Jones, R.; Kjeström, E.; Lenderink, G.; Rockel, B.; Sánchez, E.S.; Schär, C.; Seneviratne, S.I.; Somot, S.; van Ulden, A.; van den Hurk, B. An inter-comparison of regional climate models for Europe: model performance in present-day climate. Clim. Change 2007, 81, 31–52. [Google Scholar] [CrossRef]
- Veroustraete, F.; Patyn, J.; Myneni, R.B. Estimating Net Ecosystem Exchange of carbon using the Normalized Difference Vegetation Index and an ecosystem model. Remote Sens. Environ. 1996, 58, 115–130. [Google Scholar] [CrossRef]
- Law, B.E.; Falge, E.; Gu, L.; Baldocchi, D.D.; Bakwin, P.; Berbigier, P.; Davis, K.; Dolman, A.J.; Falk, M.; Fuentes, J.D.; Goldstein, A.; Granier, A.; Grelle, A.; Hollinger, D.; Janssens, I.A.; Jarvis, P.; Jensen, N.O.; Katul, G.; Mahli, Y.; Matteucci, G.; Meyers, T.; Monson, R.; Munger, W.; Oechel, W.; Olson, R.; Pilegaard, K.; Paw, U.K.T.; Thorgeirsson, H.; Valentini, R.; Verma, S.; Vesala, T.; Wilson, K.; Wofsy, S. Environmental controls over carbon dioxide and water vapor exchange of terrestrial vegetation. Agric. For. Met. 2002, 113, 97–120. [Google Scholar] [CrossRef]
- De La Maza, M.; Lima, M.; Meserve, P.L.; Gutierrez, J.R.; Jaksic, F.M. Primary production dynamics and climate variability: ecological consequences in semiarid Chile. Glob. Change Biol. 2009, 15, 1116–1126. [Google Scholar] [CrossRef]
- Ainsworth, E.A.; Long, S.P. What have we learned from 15 years of free-air CO2 enrichment (FACE)? A meta-analytic review of the responses of photosynthesis, canopy properties and plant production to rising CO2. New Phytol. 2005, 165, 351–372. [Google Scholar] [CrossRef] [PubMed]
- Nowak, R.S.; Ellsworth, D.S.; Smith, S.S. Functional responses of plants to elevated atmospheric CO2 – do photosynthetic and productivity data from FACE experiments support early predictions? New Phytol. 2004, 162, 253–280. [Google Scholar] [CrossRef]
- Jones, M.B.; Clifton Brown, J.; Raschi, A.; Miglietta, F. The effects on Arbutus unedo L. of long-term exposure to elevated CO2. Glob. Change Biol. 1995, 1, 295–302. [Google Scholar] [CrossRef]
- Tognetti, R.; Longobucco, A.; Miglietta, F.; Raschi, A. Transpiration and stomatal behavior of Quercus ilex plants during the summer in a Mediterranean carbon dioxide spring. Plant Cell Environ. 1998, 21, 613–622. [Google Scholar] [CrossRef]
- Hattenschwiler, S.; Korner, C. Does elevated CO2 facilitate naturalization of the non-indigenous Prunus laurocerasus in Swiss temperate forests. Funct. Ecol. 2003, 17, 778–785. [Google Scholar] [CrossRef]
- Chiesi, M.; Moriondo, M.; Maselli, F.; Gardin, L.; Fibbi, L.; Bindi, M.; Running, S.W. Simulation of Mediterranean forest carbon pools under expected environmental scenarios. Can. J. For. Res. 2009b, in press. [Google Scholar] [CrossRef]
- Boisvenue, C.; Running, S.W. Impacts of climate change on natural forest productivity – evidence since the middle of the 20th century. Glob. Change Biol. 2006, 12, 862–882. [Google Scholar] [CrossRef]
- Maselli, F.; Chiesi, M.; Bindi, M. Multi-year simulation of Mediterranean forest transpiration by the integration of NOAA-AVHRR and ancillary data. Inter. J. Remote Sens. 2004, 25, 3929–3941. [Google Scholar] [CrossRef]
© 2009 by the authors; licensee Molecular Diversity Preservation International, Basel, Switzerland. This article is an open-access article distributed under the terms and conditions of the Creative Commons Attribution license (http://creativecommons.org/licenses/by/3.0/).